Effects of Dazomet Fumigation Combined with Trichoderma harzianum on Soil Microbial Community Structure of Continuously Cropped Strawberry
Abstract
1. Introduction
2. Materials and Methods
2.1. Experimental Materials
2.2. Experimental Methods
2.2.1. Dazomet Fumigation Treatment
2.2.2. Microbial Inoculant Treatment
2.3. Soil Microbial Genomic DNA Extraction, PCR Amplification, and High-Throughput Sequencing
2.4. Effects of Different Treatments on Growth and Yield of Strawberry
2.5. Statistical Analysis
3. Results
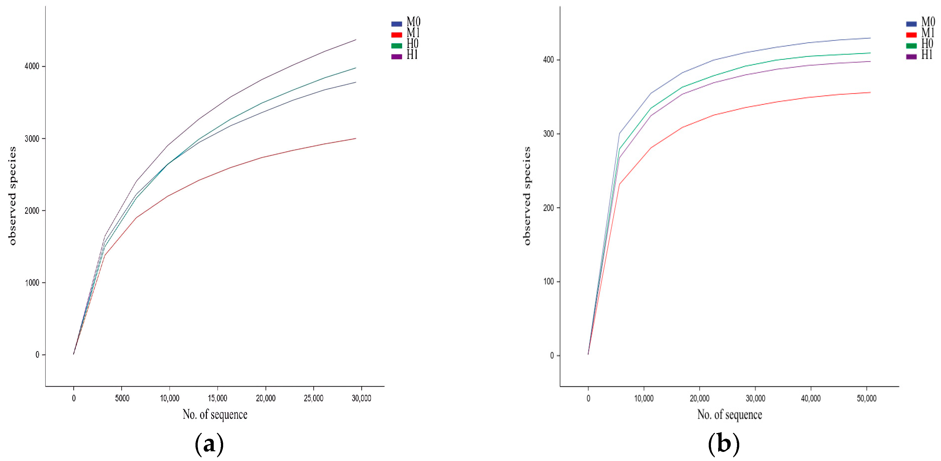
3.1. Evaluation of the Sequencing Depth of the Soil Samples
3.2. Analysis of the Soil Bacterial and Fungal Groups
3.3. Alpha Diversity Analysis of the Soil Bacterial and Fungal Communities
3.4. Analysis of the Soil Bacterial and Fungal Community Compositions
3.4.1. Analysis of Soil Bacterial and Fungal Phylum-Level Community Composition
3.4.2. Analysis of the Soil Bacterial and Fungal Community Compositions at the Genus Level
3.4.3. Analysis of Soil Dominant Bacteria and Fungi Community at Genus Level
3.4.4. Analysis of Beneficial and Harmful Dominant Bacteria and Fungi in Soil at the Genus Level
3.4.5. Effects of Different Treatments on the Growth and Yield of Strawberry
4. Discussion
5. Conclusions
Author Contributions
Funding
Data Availability Statement
Acknowledgments
Conflicts of Interest
References
- Basu, A.; Nguyen, A.; Betts, N.M.; Lyons, T.J. Strawberry as a functional food: An evidence-based review. Crit. Rev. Food Sci. Nutr. 2014, 54, 790–806. [Google Scholar] [CrossRef] [PubMed]
- Ariza, M.T.; Reboredo-Rodríguez, P.; Cervantes, L.; Soria, C.; Martínez-Ferri, E.; González-Barreiro, C.; Cancho-Grande, B.; Battino, M.; Simal-Gándara, J. Bioaccessibility and potential bioavailability of phenolic compounds from achenes as a new target for strawberry breeding programs. Food Chem. 2018, 248, 155–165. [Google Scholar] [CrossRef] [PubMed]
- Liu, Z.; Liang, T.; Kang, C. Molecular bases of strawberry fruit quality traits: Advances, challenges, and opportunities. Plant Physiol. 2023, 193, 900–914. [Google Scholar] [CrossRef] [PubMed]
- Chen, P.; Wang, Y.-Z.; Liu, Q.-Z.; Zhang, Y.-T.; Li, X.-Y.; Li, H.-Q.; Li, W.-H. Phase changes of continuous cropping obstacles in strawberry (Fragaria× ananassa Duch.) production. Appl. Soil Ecol. 2020, 155, 103626. [Google Scholar] [CrossRef]
- She, S.; Niu, J.; Zhang, C.; Xiao, Y.; Chen, W.; Dai, L.; Liu, X.; Yin, H. Significant relationship between soil bacterial community structure and incidence of bacterial wilt disease under continuous cropping system. Arch. Microbiol. 2017, 199, 267–275. [Google Scholar] [CrossRef]
- Ślusarski, C.; Pietr, S.J. Combined application of dazomet and Trichoderma asperellum as an efficient alternative to methyl bromide in controlling the soil-borne disease complex of bell pepper. Crop Prot. 2009, 28, 668–674. [Google Scholar] [CrossRef]
- Zhang, D.; Ji, X.; Meng, Z.; Qi, W.; Qiao, K. Effects of fumigation with 1,3-dichloropropene on soil enzyme activities and microbial communities in continuous-cropping soil. Ecotoxicol. Environ. Saf. 2019, 169, 730–736. [Google Scholar] [CrossRef]
- Peng, N.; Bi, Y.; Jiao, X.; Zhang, X.; Li, J.; Wang, Y.; Yang, S.; Liu, Z.; Gao, W. A soil fumigant increases American ginseng (Panax quinquefolius L.) survival and growth under continuous cropping by affecting soil microbiome assembly: A 4-year in situ field experiment. Microbiol. Spectr. 2024, 12, e01757-01723. [Google Scholar] [CrossRef]
- Trabelsi, D.; Mhamdi, R. Microbial inoculants and their impact on soil microbial communities: A review. BioMed Res. Int. 2013, 2013, 863240. [Google Scholar] [CrossRef]
- O’Callaghan, M.; Ballard, R.A.; Wright, D. Soil microbial inoculants for sustainable agriculture: Limitations and opportunities. Soil. Use Manag. 2022, 38, 1340–1369. [Google Scholar] [CrossRef]
- Wu, J.; Zhu, J.; Zhang, D.; Cheng, H.; Hao, B.; Cao, A.; Yan, D.; Wang, Q.; Li, Y. Beneficial effect on the soil microenvironment of Trichoderma applied after fumigation for cucumber production. PLoS ONE 2022, 17, e0266347. [Google Scholar] [CrossRef] [PubMed]
- Cheng, H.; Zhang, D.; Ren, L.; Song, Z.; Li, Q.; Wu, J.; Fang, W.; Huang, B.; Yan, D.; Li, Y. Bio-activation of soil with beneficial microbes after soil fumigation reduces soil-borne pathogens and increases tomato yield. Environ. Pollut. 2021, 283, 117160. [Google Scholar] [CrossRef] [PubMed]
- Li, Q.; Andom, O.; Fang, W.; Yan, D.; Li, Y.; Wang, Q.; Jin, X.; Cao, A. Effects of Soil Amendments on Soil Properties, Soil-Borne Pathogens, and Strawberry Growth after Dazomet Fumigation. Agriculture 2023, 14, 9. [Google Scholar] [CrossRef]
- Fu, J.; Xiao, Y.; Wang, Y.-F.; Liu, Z.-H.; Yang, K.-J. Trichoderma affects the physiochemical characteristics and bacterial community composition of saline–alkaline maize rhizosphere soils in the cold-region of Heilongjiang Province. Plant Soil 2019, 436, 211–227. [Google Scholar] [CrossRef]
- Sridharan, A.; Sugitha, T.; Karthikeyan, G.; Nakkeeran, S.; Sivakumar, U. Metabolites of Trichoderma longibrachiatum EF5 inhibits soil borne pathogen, Macrophomina phaseolina by triggering amino sugar metabolism. Microb. Pathog. 2021, 150, 104714. [Google Scholar] [CrossRef]
- Fa’bio, A.S.; Vandinelma, O.V.; Rafael, C.S.; Daniel, G.P.; Marcos, A.S. Introduction of Trichoderma spp. biocontrol strains against Sclerotinia sclerotiorum (Lib.) de Bary change soil microbial community composition in common bean (Phaseolus vulgaris L.) cultivation. Biol. Control 2021, 163, 104755. [Google Scholar]
- Kleifeld, O.; Chet, I. Trichoderma harzianum—Interaction with plants and effect on growth response. Plant Soil 1992, 144, 267–272. [Google Scholar] [CrossRef]
- Barakat, R.M.; Al-Masri, M.I. Effect of Trichoderma harzianum in combination with fungicides in controlling gray mould disease (Botrytis cinerea) of strawberry. Am. J. Plant Sci. 2017, 8, 651–665. [Google Scholar] [CrossRef][Green Version]
- Morales-Mora, L.A.; Andrade-Hoyos, P.; Valencia-de Ita, M.; Romero-Arenas, O.; Silva-Rojas, H.V.; Contreras-Paredes, C.A. Characterization of strawberry associated fungi and in vitro antagonistic effect of Trichoderma harzianum. Rev. Mex. De Fitopatol. 2020, 38, 434–449. [Google Scholar] [CrossRef]
- Xiong, W.; Zhao, Q.; Zhao, J.; Xun, W.; Li, R.; Zhang, R.; Wu, H.; Shen, Q. Different continuous cropping spans significantly affect microbial community membership and structure in a vanilla-grown soil as revealed by deep pyrosequencing. Microb. Ecol. 2015, 70, 209–218. [Google Scholar] [CrossRef]
- Yim, B.; Smalla, K.; Winkelmann, T. Evaluation of apple replant problems based on different soil disinfection treatments—Links to soil microbial community structure? Plant Soil 2013, 366, 617–631. [Google Scholar] [CrossRef]
- Li, J.-p.; Li, M.-q.; Hui, N.-n.; Wang, L.; Ma, Y.-q.; Qi, Y.-h. Population dynamics of main fungal pathogens in soil of continuously cropped potato. Acta Prataculturae Sin. 2013, 22, 147. [Google Scholar]
- Yao, H.; Jiao, X.; Wu, F. Effects of continuous cucumber cropping and alternative rotations under protected cultivation on soil microbial community diversity. Plant Soil 2006, 284, 195–203. [Google Scholar] [CrossRef]
- Li, Q.; Zhang, D.; Cheng, H.; Song, Z.; Ren, L.; Hao, B.; Zhu, J.; Fang, W.; Yan, D.; Li, Y. Chloropicrin alternated with dazomet improved the soil’s physicochemical properties, changed microbial communities and increased strawberry yield. Ecotoxicol. Environ. Saf. 2021, 220, 112362. [Google Scholar] [CrossRef]
- Cabral, A.; Cecília, R.; Crous, P.; Oliveira, H. Virulence and cross-infection potential of Ilyonectria spp. to grapevine. Phytopathol. Mediterr. 2012, 51, 340–354. [Google Scholar]
- Nikitin, D.A.; Ivanova, E.A.; Semenov, M.V.; Zhelezova, A.D.; Ksenofontova, N.A.; Tkhakakhova, A.K.; Kholodov, V.A. Diversity, ecological characteristics and identification of some problematic phytopathogenic Fusarium in soil: A review. Diversity 2023, 15, 49. [Google Scholar] [CrossRef]
- Cordovez, V.; Carrion, V.J.; Etalo, D.W.; Mumm, R.; Zhu, H.; Van Wezel, G.P.; Raaijmakers, J.M. Diversity and functions of volatile organic compounds produced by Streptomyces from a disease-suppressive soil. Front. Microbiol. 2015, 6, 1081. [Google Scholar] [CrossRef]
- Crawford, R.; Mohn, W. Microbiological removal of pentachlorophenol from soil using a Flavobacterium. Enzym. Microb. Technol. 1985, 7, 617–620. [Google Scholar] [CrossRef]
- Soltani, A.-A.; Khavazi, K.; Asadi-Rahmani, H.; Omidvari, M.; Dahaji, P.A.; Mirhoseyni, H. Plant growth promoting characteristics in some Flavobacterium spp. isolated from soils of Iran. J. Agric. Sci. 2010, 2, 106. [Google Scholar] [CrossRef]
- Ozimek, E.; Hanaka, A. Mortierella species as the plant growth-promoting fungi present in the agricultural soils. Agriculture 2020, 11, 7. [Google Scholar] [CrossRef]
- Yilmaz, N.; Visagie, C.M.; Houbraken, J.; Frisvad, J.C.; Samson, R.A. Polyphasic taxonomy of the genus Talaromyces. Stud. Mycol. 2014, 78, 175–341. [Google Scholar] [CrossRef] [PubMed]
- Visagie, C.; Jacobs, K. Three new additions to the genus Talaromyces isolated from Atlantis sandveld fynbos soils. Persoonia-Mol. Phylogeny Evol. Fungi 2012, 28, 14–24. [Google Scholar] [CrossRef] [PubMed]
- Yelle, D.J.; Ralph, J.; Lu, F.; Hammel, K.E. Evidence for cleavage of lignin by a brown rot basidiomycete. Environ. Microbiol. 2008, 10, 1844–1849. [Google Scholar] [CrossRef] [PubMed]
- Schneider, T.; Keiblinger, K.M.; Schmid, E.; Sterflinger-Gleixner, K.; Ellersdorfer, G.; Roschitzki, B.; Richter, A.; Eberl, L.; Zechmeister-Boltenstern, S.; Riedel, K. Who is who in litter decomposition? Metaproteomics reveals major microbial players and their biogeochemical functions. ISME J. 2012, 6, 1749–1762. [Google Scholar] [CrossRef] [PubMed]
- Barrera, V.A.; Martin, M.E.; Aulicino, M.; Martínez, S.; Chiessa, G.; Saparrat, M.C.; Gasoni, A.L. Carbon-substrate utilization profiles by Cladorrhinum (Ascomycota). Rev. Argent. Microbiol. 2019, 51, 302–306. [Google Scholar] [CrossRef]






| Kingdom | Treatment | ASVs | Community Abundance Index | Community Diversity Index | ||
|---|---|---|---|---|---|---|
| Chao1 Index | Observed Species | Shannon | Simpson | |||
| Bacteria | M0 | 8227 | 4564.11 ± 133.25 b | 3775.20 ± 90.35 c | 10.77 ± 0.15 c | 0.9988 ± 0.0001 a |
| M1 | 6580 | 3386.84 ± 413.67 c | 2998.97 ± 259.75 b | 10.43 ± 0.14 bc | 0.9984 ± 0.0001 b | |
| H0 | 9073 | 4968.16 ± 165.88 ab | 3978.27 ± 171.42 b | 10.58 ± 0.27 ab | 0.9978 ± 0.0005 b | |
| H1 | 9533 | 5569.12 ± 392.3 a | 4368.80 ± 224.63 a | 10.91 ± 0.08 a | 0.9985 ± 0.0002 b | |
| Fungi | M0 | 799 | 434.77 ± 21.6 a | 428.93 ± 17.73 a | 5.71 ± 0.4 a | 0.9338 ± 0.023 a |
| M1 | 660 | 369.19 ± 17.68 b | 355.23 ± 11.25 b | 3.88 ± 0.21 c | 0.8022 ± 0.0354 b | |
| H0 | 744 | 404.28 ± 8.82 a | 397.80 ± 22.84 a | 5.05 ± 0.2 b | 0.9061 ± 0.0149 a | |
| H1 | 764 | 416.94 ± 23.69 a | 409.50 ± 19.74 a | 5.62 ± 0.13 a | 0.946 ± 0.0123 a | |
| Kingdom | Genus | Relative Abundance (%) | |||
|---|---|---|---|---|---|
| M0 | M1 | H0 | H1 | ||
| Bacteria | SBR1031 | 2.11 | 2.81 | 4.78 | 4.39 |
| BIrii41 | 3.12 | 2.83 | 3.17 | 2.71 | |
| Subgroup_6 | 3.31 | 2.65 | 2.40 | 2.82 | |
| Bacillus | 1.87 | 2.23 | 2.90 | 3.13 | |
| TRA3-20 | 2.14 | 1.97 | 1.92 | 1.77 | |
| Haliangium | 1.73 | 2.08 | 2.03 | 1.58 | |
| MND1 | 1.77 | 2.16 | 1.31 | 1.39 | |
| A4b | 1.12 | 1.87 | 1.62 | 1.75 | |
| Micromonospora | 1.03 | 1.28 | 1.71 | 1.27 | |
| Streptomyces | 1.86 | 0.98 | 1.11 | 0.96 | |
| Skermanella | 2.01 | 1.41 | 0.70 | 0.76 | |
| Pseudomonas | 0.73 | 1.54 | 1.34 | 1.16 | |
| Steroidobacter | 1.82 | 1.15 | 0.83 | 0.86 | |
| CCD24 | 0.79 | 1.39 | 1.00 | 0.96 | |
| KD4-96 | 1.03 | 0.99 | 0.94 | 1.12 | |
| IS-44 | 0.71 | 1.29 | 1.12 | 0.87 | |
| Dongia | 0.66 | 0.94 | 1.37 | 0.98 | |
| Flavobacterium | 1.16 | 0.58 | 0.90 | 0.91 | |
| Subgroup_10 | 0.53 | 1.02 | 1.27 | 0.73 | |
| Nitrospira | 0.77 | 1.03 | 0.73 | 0.77 | |
| S0134_terrestrial_group | 0.70 | 0.85 | 0.79 | 0.65 | |
| JG30-KF-CM45 | 0.62 | 0.82 | 0.78 | 0.69 | |
| Acidibacter | 0.98 | 0.73 | 0.71 | 0.46 | |
| 67-14 | 0.82 | 0.72 | 0.61 | 0.71 | |
| S085 | 0.70 | 0.70 | 0.59 | 0.83 | |
| Saccharimonadales | 1.08 | 0.71 | 0.40 | 0.51 | |
| bacteriap25 | 0.64 | 0.46 | 0.70 | 0.75 | |
| Microvirga | 0.67 | 0.60 | 0.47 | 0.59 | |
| TK10 | 0.48 | 0.99 | 0.42 | 0.42 | |
| Chryseolinea | 0.30 | 0.87 | 0.57 | 0.53 | |
| Actinomadura | 1.18 | 0.49 | 0.22 | 0.34 | |
| MB-A2-108 | 0.73 | 0.57 | 0.43 | 0.45 | |
| Aeromicrobium | 0.56 | 0.52 | 0.51 | 0.50 | |
| Mycobacterium | 0.42 | 0.44 | 0.57 | 0.50 | |
| Hyphomicrobium | 0.45 | 0.30 | 0.45 | 0.65 | |
| Sphingomonas | 0.33 | 0.45 | 0.51 | 0.50 | |
| AKYG1722 | 0.21 | 0.41 | 0.66 | 0.49 | |
| Saccharomonospora | 0.51 | 0.36 | 0.44 | 0.44 | |
| Nocardioides | 0.78 | 0.49 | 0.32 | 0.15 | |
| Actinoplanes | 0.35 | 0.45 | 0.47 | 0.44 | |
| Gemmatimonas | 0.39 | 0.47 | 0.42 | 0.41 | |
| Devosia | 0.76 | 0.31 | 0.27 | 0.36 | |
| JG30-KF-CM66 | 0.29 | 0.33 | 0.53 | 0.50 | |
| Actinotalea | 0.44 | 0.32 | 0.33 | 0.51 | |
| Saccharimonadaceae | 0.53 | 0.38 | 0.31 | 0.29 | |
| Blastococcus | 0.30 | 0.35 | 0.43 | 0.43 | |
| OLB14 | 0.48 | 0.28 | 0.28 | 0.44 | |
| Gitt-GS-136 | 0.38 | 0.29 | 0.47 | 0.32 | |
| Ramlibacter | 0.47 | 0.28 | 0.33 | 0.36 | |
| Agromyces | 0.70 | 0.85 | 0.79 | 0.65 | |
| Others | 69.73 | 67.82 | 66.82 | 69.11 | |
| Fungi | Mycothermus | 18.98 | 34.36 | 8.20 | 25.25 |
| Monilinia | 0.31 | 32.69 | 14.97 | 12.07 | |
| Plectosphaerella | 11.70 | 2.91 | 9.26 | 12.55 | |
| Ilyonectria | 3.91 | 1.57 | 5.75 | 4.71 | |
| Tetracladium | 9.19 | 0.22 | 0.69 | 1.07 | |
| Mortierella | 2.41 | 0.57 | 3.24 | 2.58 | |
| Myceliophthora | 0.80 | 4.27 | 0.51 | 2.28 | |
| Fusarium | 2.88 | 0.44 | 2.49 | 1.13 | |
| Iodophanus | 1.47 | 1.08 | 2.92 | 0.76 | |
| Dokmaia | 1.27 | 0.25 | 2.64 | 1.83 | |
| Talaromyces | 2.28 | 1.00 | 1.26 | 0.77 | |
| Acremonium | 0.86 | 1.19 | 1.76 | 0.69 | |
| Remersonia | 1.36 | 0.26 | 0.10 | 2.44 | |
| Stachybotrys | 1.43 | 0.18 | 1.29 | 0.87 | |
| Humicola | 1.20 | 0.26 | 1.08 | 0.71 | |
| Solicoccozyma | 1.27 | 0.20 | 1.00 | 0.56 | |
| Cladosporium | 1.73 | 0.33 | 0.27 | 0.25 | |
| Staphylotrichum | 0.97 | 0.09 | 0.89 | 0.61 | |
| Ascobolus | 1.25 | 0.33 | 0.71 | 0.06 | |
| Cladorrhinum | 0.00 | 0.00 | 0.35 | 1.77 | |
| Penicillium | 0.53 | 0.17 | 0.69 | 0.24 | |
| Dichotomopilus | 0.41 | 0.12 | 0.77 | 0.12 | |
| Nigrospora | 0.39 | 0.23 | 0.25 | 0.15 | |
| Apodus | 0.08 | 0.38 | 0.16 | 0.31 | |
| Lophotrichus | 0.35 | 0.08 | 0.34 | 0.06 | |
| Gibberella | 0.31 | 0.07 | 0.27 | 0.10 | |
| Mycosphaerella | 0.28 | 0.20 | 0.11 | 0.13 | |
| Waitea | 0.68 | 0.00 | 0.00 | 0.00 | |
| Sodiomyces | 0.06 | 0.20 | 0.09 | 0.26 | |
| Fusicolla | 0.30 | 0.05 | 0.17 | 0.07 | |
| Schizothecium | 0.12 | 0.00 | 0.33 | 0.13 | |
| Pseudogymnoascus | 0.16 | 0.05 | 0.16 | 0.20 | |
| Botryotrichum | 0.13 | 0.06 | 0.26 | 0.06 | |
| Acaulium | 0.15 | 0.07 | 0.09 | 0.16 | |
| Aspergillus | 0.18 | 0.06 | 0.16 | 0.08 | |
| Preussia | 0.22 | 0.02 | 0.17 | 0.07 | |
| Metarhizium | 0.22 | 0.03 | 0.06 | 0.04 | |
| Clonostachys | 0.18 | 0.01 | 0.07 | 0.05 | |
| Podospora | 0.11 | 0.09 | 0.08 | 0.02 | |
| Fusariella | 0.06 | 0.07 | 0.02 | 0.09 | |
| Epicoccum | 0.04 | 0.00 | 0.19 | 0.00 | |
| Tausonia | 0.03 | 0.00 | 0.04 | 0.14 | |
| Kernia | 0.03 | 0.05 | 0.08 | 0.05 | |
| Udeniozyma | 0.08 | 0.00 | 0.07 | 0.03 | |
| Metacordyceps | 0.11 | 0.01 | 0.06 | 0.02 | |
| Byssochlamys | 0.04 | 0.07 | 0.03 | 0.04 | |
| Achroiostachys | 0.02 | 0.01 | 0.12 | 0.03 | |
| Myrmecridium | 0.05 | 0.03 | 0.06 | 0.03 | |
| Microdochium | 0.04 | 0.00 | 0.02 | 0.10 | |
| Ustilago | 0.08 | 0.00 | 0.03 | 0.04 | |
| Others | 29.28 | 15.66 | 35.66 | 24.23 | |
| Treatment | Seedling Mortality (%) | Number of Surviving Plants (667 m−2) | Average Fruit per Plant (Units) | Average Single Fruit Weight (g−1) | Yield 667 kg m−2 |
|---|---|---|---|---|---|
| M0 | 11.33 ± 1.52 a | 7093.33 ± 122.20 b | 7.20 ± 0.10 b | 24.23 ± 0.31 b | 1052.08 ± 22.82 c |
| H0 | 4.00 ± 1.00 b | 7680.00 ± 80.00 a | 7.50 ± 0.10 a | 24.70 ± 0.60 b | 1209.44 ± 39.73 b |
| H1 | 3.67 ± 1.52 b | 7706.67 ± 122.20 a | 7.70 ± 0.36 a | 25.70 ± 0.36 a | 1296.57 ± 47.12 a |
Disclaimer/Publisher’s Note: The statements, opinions and data contained in all publications are solely those of the individual author(s) and contributor(s) and not of MDPI and/or the editor(s). MDPI and/or the editor(s) disclaim responsibility for any injury to people or property resulting from any ideas, methods, instructions or products referred to in the content. |
© 2024 by the authors. Licensee MDPI, Basel, Switzerland. This article is an open access article distributed under the terms and conditions of the Creative Commons Attribution (CC BY) license (https://creativecommons.org/licenses/by/4.0/).
Share and Cite
Wu, R.; Li, Y.; Meng, J.; Han, J. Effects of Dazomet Fumigation Combined with Trichoderma harzianum on Soil Microbial Community Structure of Continuously Cropped Strawberry. Horticulturae 2025, 11, 35. https://doi.org/10.3390/horticulturae11010035
Wu R, Li Y, Meng J, Han J. Effects of Dazomet Fumigation Combined with Trichoderma harzianum on Soil Microbial Community Structure of Continuously Cropped Strawberry. Horticulturae. 2025; 11(1):35. https://doi.org/10.3390/horticulturae11010035
Chicago/Turabian StyleWu, Ran, Yan Li, Jian Meng, and Jiangwei Han. 2025. "Effects of Dazomet Fumigation Combined with Trichoderma harzianum on Soil Microbial Community Structure of Continuously Cropped Strawberry" Horticulturae 11, no. 1: 35. https://doi.org/10.3390/horticulturae11010035
APA StyleWu, R., Li, Y., Meng, J., & Han, J. (2025). Effects of Dazomet Fumigation Combined with Trichoderma harzianum on Soil Microbial Community Structure of Continuously Cropped Strawberry. Horticulturae, 11(1), 35. https://doi.org/10.3390/horticulturae11010035

