Preserving Nature’s Treasure: A Journey into the In Vitro Conservation and Micropropagation of the Endangered Medicinal Marvel—Podophyllum hexandrum Royle
Abstract
1. Introduction
2. Materials and Methods
2.1. Plant Material
2.2. Sterilization of Plant Materials
2.3. Isolation and Aseptic Transfer of Explants
2.4. In Vitro Conservation and Propagation of P. hexandrum
2.5. Callus Induction in Explants of P. hexandrum
- BA (0.5, 1.5, and 2.0 mg L−1) + 2,4-D (1.0, 2.5, and 3.0 mg L−1)
- KIN (0.2, 0.5, and 1.0 mg L−1) + 2,4-D (1.0, 2.5, and 3.0 mg L−1)
- BA (1.0, 1.5, and 2.5 mg L−1) + NAA (0.5 and 1.0 mg L−1)
- TDZ (1.0, 1.5, and 2.0 mg L−1) + NAA (0.5 and 1.0 mg L−1)
2.6. Indirect Shoots and Root Induction
- BA (0.1–0.5 mg L−1)
- KIN (0.1–1.0 mg L−1)
- TDZ (1.0–2.0 mg L−1)
- BA (0.1–0.5 mg L−1) + IAA (0.1–0.5 mg L−1)
- NAA (0.5–1.5 mg L−1)
- IAA (0.5–1.5 mg L−1)
- 2,4-D (1.0–2.0 mg L−1)
2.7. Direct Shoot Induction
- BA (1.5–3.5 mg L−1)
- TDZ (2.0–4.5 mg L−1)
- KIN (2.5–4.5 mg L−1)
- BA (3.5–4.5 mg L−1) + IAA (0.1–0.5 mg L−1)
- BA (2.0–4.5 mg L−1) + NAA (0.1–0.5 mg L−1)
2.8. Hardening off and Acclimatization of In Vitro Plantlet
2.9. Statistical Analysis and Data Visualization
3. Results
3.1. Sterilization of Plant Materials
3.2. Callus Induction from the Explants of P. hexandrum
3.3. Shoot Induction of P. hexandrum from Calluses via Indirect Organogenesis
3.4. Root Induction in Calluses of P. hexandrum
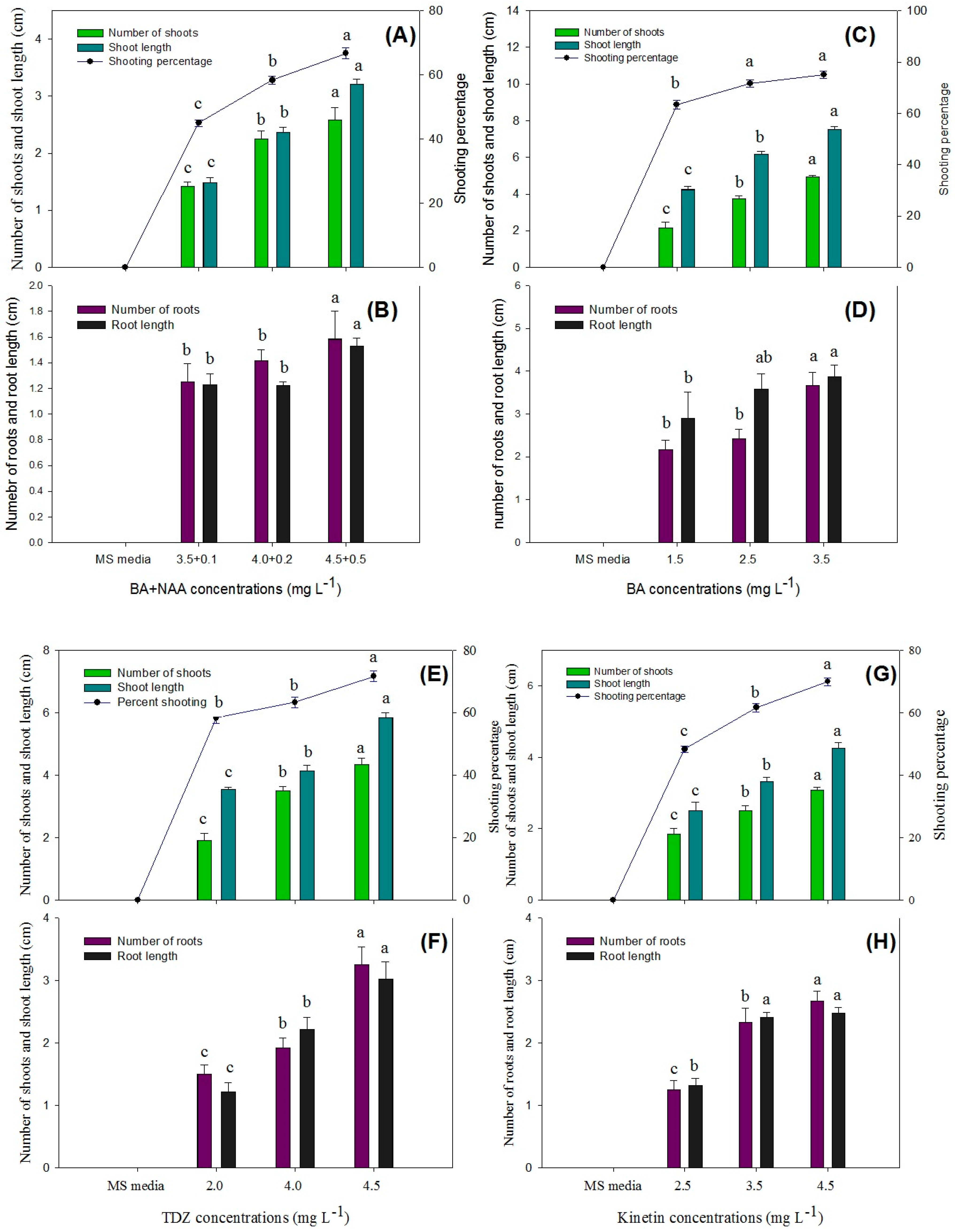
3.5. In Vitro Shoot Proliferation from the P. hexandrum Explants through Direct Organogenesis
3.6. Hardening off and Acclimatization
4. Discussion
4.1. Seed Sterilization and Growth Response
4.2. Callus Induction
4.3. Shoot Induction of P. hexandrum from Calluses via Indirect Organogenesis
4.4. In Vitro Root Induction in Calluses of P. hexandrum
4.5. In Vitro Shoot Proliferation from Explants via Direct Organogenesis
5. Conclusions
Author Contributions
Funding
Data Availability Statement
Acknowledgments
Conflicts of Interest
References
- Kour, J.; Balgotra, S.; Rajput, P.; Kour, H.; Verma, P.K.; Sawant, S.D. Medicinal value of high-altitude plants of Indian Himalaya. In Botanical Leads for Drug Discovery; Springer: Berlin/Heidelberg, Germany, 2020; pp. 295–324. [Google Scholar]
- El Merzougui, S.; Benelli, C.; El Boullani, R.; Serghini, M.A. The Cryopreservation of Medicinal and Ornamental Geophytes: Application and Challenges. Plants 2023, 12, 2143. [Google Scholar] [CrossRef] [PubMed]
- Ionkova, I. Podophyllotoxin and related lignans: Biotechnological production by in vitro plant cell cultures. Med. Plant Biotechnol. 2010, 8, 138–155. [Google Scholar]
- Chhetri, D.R. Medicinal Plants of the Himalaya: Production Technology and Utilization; Agrobios: Nepal, 2014. [Google Scholar]
- Hamayun, M.; Khan, S.A.; Lee, I.J.; Khan, M.A. Conservation assessment of Hindu-Kush Mountain Region of Pakistan: A case study of Utror and Gabral Valleys, District Swat, Pakistan. Asian J. Plant Sci. 2006, 4, 34–39. [Google Scholar]
- Sharma, N.; Thakur, M.; Sharma, P.; Sharma, Y.P.; Dutt, B. In vitro propagation from rhizomes, molecular evaluation and podophyllotoxin production in Himalayan May Apple (Sinopodophyllum hexandrum Royle TS Ying): An endangered medicinal plant. Plant Cell Tissue Organ Cult. (PCTOC) 2022, 149, 159–173. [Google Scholar] [CrossRef]
- Singh, J.; Shah, N.C. Podophyllum: A review. Curr. Res. Med. 1994, 16, 53–83. [Google Scholar]
- Wong, S.-K.; Tsui, S.-K.; Kwan, S.-Y.; Su, X.-L.; Lin, R.-C. Identification and characterization of Podophyllum emodi by API-LC/MS/MS. J. Mass Spectrom. 2000, 35, 1246–1251. [Google Scholar] [CrossRef]
- Regassa, H.; Sourirajan, A.; Kumar, V.; Pandey, S.; Kumar, D.; Dev, K. A review of medicinal plants of the himalaya with anti-proliferative activity for the treatment of various cancers. Cancers 2022, 14, 3898. [Google Scholar] [CrossRef] [PubMed]
- Haq, F. Conservation status of the critically endangered and endangered species in the Nandiar Khuwar catchment District Battagram, Pakistan. Int. J. Biodivers. Conserv. 2011, 3, 27–35. [Google Scholar]
- Qazi, P.H.; Rashid, A.; Shawl, S.A. Podophyllum hexandrum: A versatile medicinal plant. Int. J. Pharm. Sci. 2011, 3, 261–268. [Google Scholar]
- Shah, Z.; Gohar, U.F.; Jamshed, I.; Mushtaq, A.; Mukhtar, H.; Zia-UI-Haq, M.; Toma, S.I.; Manea, R.; Moga, M.; Popovici, B. Podophyllotoxin: History, recent advances and future prospects. Biomolecules 2021, 11, 603. [Google Scholar] [CrossRef]
- Nadeem, M.; Palni, L.M.S.; Purohit, A.N.; Pandey, H.; Nandi, S.K. Propagation and conservation of Podophyllum hexandrum Royle: An important medicinal herb. Biol. Conserv. 2009, 92, 121–129. [Google Scholar] [CrossRef]
- Setyawati, A.; Samanhudi, S.; Prameswari, W.; Syukri, D.; Ramadhani, D.F.; Talitha, O. In vitro Propagation and Secondary Metabolite Production of Medicinal Plant of Euchresta horsfieldii (Lesch) Benn. Plant Breed. Biotechnol. 2023, 11, 34–48. [Google Scholar] [CrossRef]
- Zuhra, Z.; Saleem, D.; Akhtar, W.; Mahmood, T. Tissue culture optimization of Podophyllum hexandrum L., an endangered medicinal plant. J. Ani. Plant Sci. 2021, 31, 2. [Google Scholar]
- Kumar, J.; Sandal, P.; Singh, A.; Kumar, A.; Arya, V.; Devi, R.; Sharma, B.P.; Verma, R. Conservation status, anticancer compounds and pharmacological aspects of Podophyllum hexandrum Royle: A review. Indian J. Ecol. 2022, 49, 1096–1102. [Google Scholar]
- Tariq, A.S.; Naz, K.; Shahzadi, S.; Ilyas, S.; Javed, S. Study of genetic stability in in vitro conserved Podophyllum hexandrum using RAPD markers. J. Anim. Plant. Sci. 2015, 4, 1114–1120. [Google Scholar]
- Kuldeep, Y.; Narender, S.; Sharuti, V.; Gupta, R.; Sethi, K.L. Conservation of medicinal plant resources in Himalayan region. Conserve. Trop. Plant Res. 1983, 1, 101–107. [Google Scholar]
- Rizwan, A.; Saurabh, S.; Vishal, K.; Chhavi, V. Invitro Propagation of Podophyllum hexandrum. Int. J. Pharm. Res. Appl. 2021, 6, 169–172. [Google Scholar]
- Chakraborty, A.; Bhattacharya, D.; Ghanta, S.; Chattopadhyay, S.; Steinitz, B.; Tabib, Y.; Gaba, V.; Gefen, T.; Vaknin, Y. Vegetative micro-cloning to sustain biodiversity of threatened Moringa species. In Vitro Cell. Dev. Biol. Plant 2009, 45, 65–71. [Google Scholar]
- Nazir, K.; Hassan, S.W.; Khan, M.I.; Elamin, K.M.; Niyazi, H.A. The use of ZnO NPs and Ag NPs along with sterilizing agents for managing contamination in banana tissue culture. Biomass Convers. Biorefin. 2023, 17, 1–8. [Google Scholar] [CrossRef]
- Boruah, J. Effect of 0.1% HgCl2 on surface sterilization of som (Persea bombycina King) explant during tissue culture-a major host plant of muga silkworm. Int. J. Curr. Microbiol. Appl. Sci. 2020, 9, 954–958. [Google Scholar] [CrossRef]
- Chakraborty, A.; Bhattacharya, D.; Ghanta, S.; Chattopadhyay, S. An efficient protocol for in vitro regeneration of Podophyllum hexandrum, a critically endangered medicinal plant. Indian J. Biotechnol. 2010, 9, 217–220. [Google Scholar]
- Padhi, M.; Singh, S.P. Surface sterilization for reducing microbial contamination in in vitro propagation of lasora (Cordia myxa Roxb.) using nodal segments. Int. J. Curr. Microbiol. Appl. Sci. 2017, 6, 836–842. [Google Scholar] [CrossRef]
- Li, M.F.; Li, W.; Yang, D.L.; Sun, P. The dormancy mechanism and bioactivity of hydroquinone extracted from Podophyllum hexandrum Royle seed. Electr. J. Biol. 2009, 5, 11–16. [Google Scholar]
- Gu, M.; Li, Y.; Jiang, H.; Zhang, S.; Que, Q.; Chen, X.; Zhou, W. Efficient in vitro sterilization and propagation from stem segment explants of Cnidoscolus aconitifolius (Mill.) IM Johnst, a multipurpose woody plant. Plants 2022, 11, 1937. [Google Scholar] [CrossRef]
- Madhale, S.V. Effect of HgCl2 on Surface Sterilization of Explants of Momordica Cymbalaria Hook. F. J. Sci. Res. Int. 2016, 2, 1. [Google Scholar]
- Babu, G.A.; Mosa Christas, K.; Kowsalya, E.; Ramesh, M.; Sohn, S.I.; Pandian, S. Improved sterilization techniques for successful in vitro micropropagation. In Commercial Scale Tissue Culture for Horticulture and Plantation Crops; Springer Nature: Singapore, 2022; pp. 1–21. [Google Scholar]
- Sharma, R.K.; Sharma, S.; Sharma, S.S. Seed germination behavior of some medicinal plants of Lahaul and Spiti cold desert (Himachal Pradesh): Implications for conservation and cultivation. Curr. Sci. 2006, 11, 1118. [Google Scholar]
- Mng’omba, S.A.; du Toit, E.S.; Akinnifesi, F.K.; Sileshi, G. Efficacy and Utilization of Fungicides and Other Antibiotics for Aseptic Plant Cultures; INTECH Open Access Publisher: London, UK, 2012. [Google Scholar]
- Bhojwani, S.S.; Dantu, P.K.; Bhojwani, S.S.; Dantu, P.K. Micropropagation. In Plant Tissue Culture: An Introductory Text; Springer: Berlin/Heidelberg, Germany, 2013; pp. 245–274. [Google Scholar]
- Karunaratne, M.L.; Peries, S.E.; Egodawatta, W.C. Callus induction and organogenesis from leaf explants of Tectona grandis. Ann. Biol. Res. 2014, 5, 74–82. [Google Scholar]
- Shin, J.; Bae, S.; Seo, P.J. De novo shoot organogenesis during plant regeneration. J. Exp. Bot. 2020, 1, 63–72. [Google Scholar] [CrossRef]
- Kharkwal, A.C.; Tellez, M.; Lata, H.; Khan, I.; Cushman, K.E.; Moraes, R.M. Post-harvest and scale-up extraction of American Mayapple leaves for podophyllotoxin production. Ind. Crops Prod. 2006, 24, 3–7. [Google Scholar]
- Chen, X.; Ye, C.; Yang, H.; Ji, W.; Xu, Z.; Ye, S.; Wang, H.; Jin, S.; Yu, C.; Zhu, X. Callogenesis and plant regeneration in peony (Paeonia suffruticosa) using flower petal explants. Horticulturae 2022, 8, 357. [Google Scholar] [CrossRef]
- Chawla, S.U.; Kumar, A.S.; Kajla, S.U.; Goyal, S.C.; Choudhary, P.O. In vitro development of plantlets from axillary buds of Nyctanthes arbortristis Linn. A medicinal plant. Haryana J. Hortic. Sci. 2010, 39, 295–297. [Google Scholar]
- Waoo, A.A.; Khare, S.; Ganguly, S. In vitro culture of Latana camera from nodal and shoot-tip explants in phytoremediation studies. Curr. Trends Tech. Sci. 2013, 2, 183–186. [Google Scholar]
- Steephen, M.; Nagarajan, S.; Ganesh, D. Phloroglucinol and silver nitrate enhance axillary shoot proliferation in nodal explants of Vitex negundo L.—An aromatic medicinal plant. Iran. J. Biotechnol. 2010, 8, 82–89. [Google Scholar]
- Klimek-Chodacka, M.; Kadluczka, D.; Lukasiewicz, A.; Malec-Pala, A.; Baranski, R.; Grzebelus, E. Effective callus induction and plant regeneration in callus and protoplast cultures of Nigella damascena L. Plant Cell Tissue Organ Cult. (PCTOC) 2020, 143, 693–707. [Google Scholar] [CrossRef]
- Keutgen, A.J.; Tomaszewska-Sowa, M.; Bomberski, A.; Keutgen, N. The Influence of Phytohormones on the Efficiency of Callus Formation, Its Morphologically Properties and Content of Bioactive Compounds in in vitro Cultures of Daucus carota L. Horticulturae 2022, 8, 100. [Google Scholar] [CrossRef]
- Sati, P.; Chauhan, M.; Trivedi, V.L.; Nautiyal, M.C.; Semwal, P. Challenges and prospects for the in vitro conservation of plants having anticarcinogenic potential in the Western Himalaya, India. Plant Cell Tissue Organ Cult. (PCTOC) 2023, 152, 237–252. [Google Scholar] [CrossRef]
- Rajesh, M.; Sivanandhan, G.; Jeyaraj, M.; Chackravarthy, R.; Manickavasagam, M.; Selvaraj, N.; Ganapathi, A. An efficient in vitro system for somatic embryogenesis and podophyllotoxin production in Podophyllum hexandrum Royle. Protoplasma 2014, 251, 1231–1243. [Google Scholar] [CrossRef] [PubMed]
- Güner, B. In Vitro Culture, Biological Activity and Essential oil Analysis of Yellow Loosestrife (Lysimachia vulgaris L.). Master’s Thesis, Fen Bilimleri Enstitüsü, Ankara, Turkey, 2011. [Google Scholar]
- Parveen, S.; Kamili, A.N.; Shah, A.M. Impact of BAP and different auxins on in vitro shoot proliferation of Rheum emodi Wall. J. Pharm. Biol. Sci. 2012, 4, 47–52. [Google Scholar]
- Geng, F.; Moran, R.; Day, M.; Halteman, W.; Zhang, D. Increasing in vitro Shoot Elongation and Proliferation of ‘G.30’ and ‘G.41’ Apple by Chilling Explants and Plant Growth Regulators. Hort. Sci. 2016, 51, 899–904. [Google Scholar] [CrossRef]
- Alizadeh, S.; Dumanoğlu, H. The effects of zinc oxide nanoparticles loaded with IAA and IBA on in vitro rooting of apple microcuttings. Turk. J. Agric. For. 2022, 46, 306–317. [Google Scholar] [CrossRef]
- Trunjaruen, A.P.; Taratima, W. The Optimization of Medium Conditions and Auxins in the Induction of Adventitious Roots of Pokeweed (Phytolacca americana L.) and Their Phytochemical Constituents. Scientifica 2023, 2023, 2983812. [Google Scholar] [CrossRef] [PubMed]
- Sagar, B.P.S.; Zafar, R. In vitro. Enhanced Production of Podophyllotoxin in Phytohormonal-Induced and Regenerated Roots of Podophyllum hexandrum. Pharm. Biol. 2005, 43, 404–410. [Google Scholar] [CrossRef]
- Jemal, K. In Vitro Regeneration of Allophylus serratus. Roxb (Kurz), an Important Medicinal Plant. 2022. Available online: https://www.researchsquare.com/article/rs-1989679/v1 (accessed on 25 July 2024).
- Özkul, M.; Özel, Ç.A.; Yüzbaşıoğlu, D.; Ünal, F. Does 2,4-dichlorophenoxyacetic acid (2,4-D) induce genotoxic effects in tissue cultured Allium roots. Cytotechnology 2016, 68, 2395–2405. [Google Scholar] [CrossRef] [PubMed]
- Sosnowski, J.; Truba, M.; Vasileva, V. The Impact of Auxin and Cytokinin on the Growth and Development of Selected Crops. Agriculture 2023, 13, 724. [Google Scholar] [CrossRef]
- Hesami, M.; Daneshvar, M.H. In vitro adventitious shoot regeneration through direct and indirect organogenesis from seedling-derived hypocotyl segments of Ficus religiosa L.: An important medicinal plant. Hort. Sci. 2018, 53, 55–61. [Google Scholar] [CrossRef]
- Shukla, A.; Mishra, P.; Raturi, A. In vitro regeneration of Podophyllum hexandrum from rhizome explants. Asian Pac. J. Trop. Biomed. 2012, 2, 455–458. [Google Scholar]










| Cytokinin + Auxin | Concentration (mg L−1) | Weight (g) | Growth Rate mg/day | Growth (g) | Callus Induction % |
|---|---|---|---|---|---|
| MS0 | 0 | 0 | 0 | 0 | 0 |
| TDZ + NAA | 1 + 0.5 | 203.72 ± 0.43 (14.29) c | 3.11 ± 0.52 (1.90) c | 3.10 ± 0.69 (1.77) c | 80.00 ± 0.00 (8.97) b |
| 1.5 + 0.5 | 207.07 ± 0.45 (14.41) b | 5.55 ± 0.74 (2.46) b | 5.55 ± 0.73 (2.37) b | 80.00 ± 0.00 (8.97) b | |
| 2 + 1.0 | 210.59 ± 0.57 (14.53) a | 8.75 ± 0.41 (3.04) a | 8.75 ± 0.23 (2.97) a | 88.33 ± 1.66(9.43) a | |
| LSD (p ≤ 0.05) | 3.03 | 2.39 | 0.98 | 2.89 | |
| BA + 2,4-D | 0.5 + 1.0 | 205.82 ± 1.11 (14.36) c | 7.41 ± 0.57 (2.81) c | 4.47 ± 0.49 (2.23) c | 100.00 ± 0.00 (10.02) a |
| 1.0 + 2.5 | 210.08 ± 1.17 (14.51) b | 10.59 ± 0.59 (3.33) b | 6.27 ± 0.19 (2.60) b | 100.00 ± 0.00 (10.02) a | |
| 1.0 + 3.0 | 215.88 ± 0.31 (14.71) a | 13.62 ± 0.25 (3.76) a | 8.32 ± 0.32 (2.97) a | 100.00 ± 0.00 (10.02) a | |
| LSD (p ≤ 0.05) | 4.26 | 1.28 | 0.26 | - | |
| BA + NAA | 1.0 + 0.5 | 204.28 ± 0.34 (14.31) c | 3.47 ± 0.39 (1.99) c | 3.27 ± 0.35 (1.94) c | 81.66 ± 1.66 (9.06) c |
| 1.5 + 0.5 | 208.91 ± 0.68 (14.47) b | 7.26 ± 0.49 (2.79) b | 5.89 ± 0.49 (2.53) b | 91.6 ± 1.66 (9.60) b | |
| 2.5 + 1 | 212.97 ± 1.30 (14.58) a | 9.76 ± 0.80 (3.20) a | 8.50 ± 0.66 (3.00) a | 100.00 ± 0.00 (10.02) a | |
| LSD (p ≤ 0.05) | 2.34 | 1.26 | 2.02 | 5.36 | |
| KIN + 2,4-D | 0.2 + 1.0 | 207.59 ± 0.52 (14.43) c | 7.04 ± 0.08 (2.75) c | 3.26 ± 0.05 (1.82) c | 86.78 ± 1.66 (9.34) b |
| 0.2 + 2.5 | 210.56 ± 0.91 (14.53) b | 10.49 ± 0.42 (3.32) ab | 5.51 ± 0.38 (2.36) b | 100.00 ± 0.00 (10.02) a | |
| 1.0 + 3.0 | 213.76 ± 0.33 (14.64) a | 12.87 ± 0.26 (3.66) a | 7.88 ± 0.42 (2.82) a | 100.00 ± 0.00 (10.02) a | |
| LSD (p ≤ 0.05) | 2.01 | 3.26 | 0.39 | 4.26 | |
| BA + IAA | 1.0 + 0.5 | 202.28 ± 0.59 (14.24) c | 2.66 ± 0.32 (1.78) c | 2.57 ± 0.05 (1.75) c | 41.66 ± 1.66 (6.49) c |
| 1.5 + 0.5 | 206.66 ± 0.22 (14.39) b | 4.92 ± 0.11 (2.33) b | 3.37 ± 0.26 (1.97) b | 58.00 ± 1.66 (7.47) b | |
| 3 + 1.0 | 209.37 ± 0.57 (14.49) a | 8.08 ± 0.42 (2.93) a | 5.40 ± 0.28 (2.43) a | 73.33 ± 1.66 (8.59) a | |
| LSD (p ≤ 0.05) | 2.98 | 0.98 | 0.27 | 5.68 |
| Cytokinin + Auxin | Concentration (mg L−1) | Number of Shoots Per Callus Clump | Shoot Length (cm) | Shoot Induction % |
|---|---|---|---|---|
| MS0 | 0 | 0 | 0 | 0 |
| BA + IAA | 1.5 + 0.1 | 1.08 ± 0.08 (1.06) c | 1.67 ± 0.08 (1.31) c | 13.33 ± 1.66 (3.66) c |
| 2.0 + 0.1 | 1.66 ± 0.22 (1.31) b | 2.35 ± 0.11 (1.55) b | 21.66 ± 1.66 (4.66) b | |
| 2.0 + 0.5 | 2.58 ± 0.08 (1.62) a | 3.31 ± 0.08 (1.83) a | 40.00 ± 2.88 (6.33) a | |
| LSD (p ≤ 0.05) | 0.78 | 0.26 | 4.89 | |
| TDZ | 1.0 | 3.75 ± 0.14 (2.06) c | 2.97 ± 0.05 (1.86) c | 41.66 ± 1.66 (6.49) c |
| 1.5 | 4.33 ± 0.08 (2.20) b | 3.71 ± 0.06 (2.05) b | 58.33 ± 3.33 (7.67) b | |
| 2.0 | 4.83 ± 0.08 (2.31) a | 4.85 ± 0.11 (2.31) a | 78.58 ± 1.66 (8.88) a | |
| LSD (p ≤ 0.05) | 0.26 | 0.63 | 5.98 | |
| BA | 0.1 | 4.33 ± 0.08 (2.20) b | 3.77 ± 0.07 (2.07) c | 61.66 ± 3.33 (7.88) c |
| 0.2 | 5.41 ± 0.08 (2.43) b | 4.71 ± 0.09 (2.28) b | 73.33 ± 1.66 (8.59) b | |
| 0.5 | 6.50 ± 0.14 (2.65) a | 5.54 ± 0.18 (2.46) a | 85.00 ± 0.00 (9.25) a | |
| LSD (p ≤ 0.05) | 0.56 | 0.41 | 6.02 | |
| KIN | 0.1 | 1.83 ± 0.08 (1.53) c | 2.08 ± 0.14 (1.61) c | 33.45 ± 1.66 (5.82) c |
| 0.5 | 2.66 ± 0.08 (1.78) b | 2.75 ± 0.06 (1.80) b | 53.333 ± 1.66 (7.34) b | |
| 1.0 | 3.41 ± 0.08 (21.98) a | 3.33 ± 0.10 (1.96) a | 60.00 ± 0.00 (7.78) a | |
| LSD (p ≤ 0.05) | 0.21 | 0.15 | 8.65 |
| Auxin | Concentration (mg L−1) | No. of Root Explants | Root Length (cm) | Rooting % |
|---|---|---|---|---|
| MS0 | 0 | 0 | 0 | 0 |
| IAA | 0.5 | 1.08 ± 0.08 (1.26) c | 1.64 ± 0.04 (1.46) c | 48.00 ± 1.66 (6.99) c |
| 1.0 | 1.58 ± 0.08 (1.44) b | 2.56 ± 0.19 (1.75) b | 56.00 ± 1.66 (7.56) b | |
| 1.5 | 2.33 ± 0.08 (1.68) a | 2.85 ± 0.06 (1.83) a | 66.00 ± 1.66 (8.20) a | |
| LSD (p ≤ 0.05) | 0.45 | 0.65 | 2.26 | |
| 2,4-D | 1 | 1.92 ± 0.08 (1.55) c | 2.53 ± 0.04 (1.74) c | 51.00 ± 1.66 (7.22) c |
| 1.5 | 2.67 ± 0.08 (1.78) b | 3.42 ± 0.14 (1.98) b | 65.00 ± 1.66 (8.20) b | |
| 2.0 | 3.33 ± 0.08 (1.96) a | 4.31 ± 0.08 (2.19) a | 83.00 ± 1.66 (9.16) a | |
| LSD (p ≤ 0.05) | 0.09 | 0.16 | 3.32 | |
| NAA | 0.5 | 2.67 ± 0.08 (1.78) c | 3.93 ± 0.11(2.10) a | 53.00 ± 1.66 (7.31) c |
| 1 | 3.25 ± 0.08 (1.94) b | 4.64 ± 0.06 (2.27) b | 60.00 ± 1.66 (7.82) b | |
| 1.5 | 4.08 ± 0.08 (2.14) a | 5.45 ± 0.15 (2.44) a | 87.00 ± 1.66 (9.35) a | |
| LSD (p ≤ 0.05) | 0.19 | 0.14 | 4.26 |
Disclaimer/Publisher’s Note: The statements, opinions and data contained in all publications are solely those of the individual author(s) and contributor(s) and not of MDPI and/or the editor(s). MDPI and/or the editor(s) disclaim responsibility for any injury to people or property resulting from any ideas, methods, instructions or products referred to in the content. |
© 2024 by the authors. Licensee MDPI, Basel, Switzerland. This article is an open access article distributed under the terms and conditions of the Creative Commons Attribution (CC BY) license (https://creativecommons.org/licenses/by/4.0/).
Share and Cite
Khan, Z.; Khan, B.; Shah, S.T.; Iqbal, J.; Basit, A.; Khan, M.S.; Iqbal, W.; Elsadek, M.F.; Jamal, A.; Ali, M.A.; et al. Preserving Nature’s Treasure: A Journey into the In Vitro Conservation and Micropropagation of the Endangered Medicinal Marvel—Podophyllum hexandrum Royle. Horticulturae 2024, 10, 809. https://doi.org/10.3390/horticulturae10080809
Khan Z, Khan B, Shah ST, Iqbal J, Basit A, Khan MS, Iqbal W, Elsadek MF, Jamal A, Ali MA, et al. Preserving Nature’s Treasure: A Journey into the In Vitro Conservation and Micropropagation of the Endangered Medicinal Marvel—Podophyllum hexandrum Royle. Horticulturae. 2024; 10(8):809. https://doi.org/10.3390/horticulturae10080809
Chicago/Turabian StyleKhan, Zahoor, Bushra Khan, Syed Tanveer Shah, Javaid Iqbal, Abdul Basit, Muhammad Suleman Khan, Waleed Iqbal, Mohamed Farouk Elsadek, Aftab Jamal, Mohammad Ajmal Ali, and et al. 2024. "Preserving Nature’s Treasure: A Journey into the In Vitro Conservation and Micropropagation of the Endangered Medicinal Marvel—Podophyllum hexandrum Royle" Horticulturae 10, no. 8: 809. https://doi.org/10.3390/horticulturae10080809
APA StyleKhan, Z., Khan, B., Shah, S. T., Iqbal, J., Basit, A., Khan, M. S., Iqbal, W., Elsadek, M. F., Jamal, A., Ali, M. A., & Prisa, D. (2024). Preserving Nature’s Treasure: A Journey into the In Vitro Conservation and Micropropagation of the Endangered Medicinal Marvel—Podophyllum hexandrum Royle. Horticulturae, 10(8), 809. https://doi.org/10.3390/horticulturae10080809

