Abstract
The phytoremediation of soil and water that has been significantly contaminated with metals has potential ecological and economical ramifications, as well as the advantages of high efficiency, and is an environmentally friendly method of ecological pollution control. This study aimed to examine the impact of varying concentrations of Copper (Cu2+) (0, 5, 10, 15, 20, and 25 mg·L−1) on the growth, development, physiology, biochemistry, mineral elements, and features of Cu2+ enrichment of Impatiens uliginosa. This plant is endemic to Yunnan Province in China and is a wetland species. The results showed that the root lengths, stem diameters, plant height, and stem and leaf biomass of I. uliginosa showed a phenomenon of “low promotion and high inhibition,” while the root biomass showed a trend of gradual decreasing. At the early stage of Cu2+ stress (day 6), the activities of peroxidase and catalase and the contents of malondialdehyde (MDA) of I. uliginosa were directly proportional to the concentration of Cu2+. As the treatment time increased, the activation of a defense mechanism in vivo enabled I. uliginosa to adapt to the high Cu2+ environment, and the content of MDA gradually decreased. As the concentration of Cu2+ increased, its contents in the roots, stems, and leaves also gradually increased. In particular, when the concentration of Cu2+ reached 25 mg·L−1, its contents in the roots of I. uliginosa increased by 39.16-fold compared with that of the control group (CK). The concentration-dependent influence of the contents of iron (Fe) and zinc (Zn) in the roots and leaves were observed. Low concentrations of Cu2+ promoted iron content in roots and leaves, and vice versa, while Zn content decreased with the increasing concentration of Cu2+. It was conclusively shown that I. uliginosa has the potential to remediate low concentrations of Cu2+ pollution in water and is a textbook ornamental plant to remediate bodies of water that are polluted with Cu2+.
1. Introduction
Heavy metal pollution is strongly destructive for the environment and organisms and is characterized by long-term and potential irreversibility. It can be enriched or amplified through the food chain, thereby harming animal, plant, and human health [1]. As the industrial and agricultural economy has rapidly expanded, the handling of mineral resource exploration and smelting waste has unfortunately fallen short of proper standards, leading to inadequate disposal methods such as careless discharges from factories and inappropriate sewage irrigation practices in agriculture. A large amount of heavy metals enters the environment through the activities of humans, which results in a series of problems of environmental pollution. The frequency of the occurrence of cases of metal toxicity has been increasing [2,3,4]. Over the past 20 years, owing to the needs of human production and life, copper has become one of the three metals with the largest output in the world [5], and in the past half century, copper has been the second most widely discharged metal into the natural environment in the world with a content of 9.39 × 105 t [6]. The control and remediation of Cu2+ pollution has become an important topic in today’s society, and it is an important environmental problem that merits urgent remediation [7].
The research has shown that Cu2+ is among the eight crucial trace elements that are required for optimal plant growth and development, and it is involved in many physiological and biochemical processes [8,9]. Cu2+ can regulate various physiological and metabolic processes in plants [10], including photosynthesis and respiration and the metabolism of glucose, protein, and cell walls. However, excess Cu2+ in plants can lead to changes in DNA, cell membrane integrity, and enzyme activity, thereby affecting the yields of crops and plants [10,11,12,13]. The toxicity of Cu2+ is limited to a narrow range of concentrations, which is typically between 0.19 mg·L−1 and 6.4 mg·L−1 for most plant species [14]. A deficiency in Cu2+ primarily affects plant reproductive organs and young leaves and leads to tissue necrosis, leaf yellowing, discoloration, developmental retardation, and the inhibition of root growth. It promotes the production of reactive oxygen species (ROS) and also affects the development of pollen and plant embryos, viable pollen and seeds, fruit yield, and nutritional characteristics [15,16,17]. However, excessive Cu2+ inhibits the division and elongation of cells and the activity of many enzymes, which leads to a decrease in respiration and photosynthesis. It then inhibits seed germination, seedling growth, and the accumulation of biomass, which causes disorders of the physiological metabolic networks and eventually leads to significant toxicity to plants [18,19,20]. Dianchi Lake is a typical shallow plateau lake in China. The average concentration of Cu2+ in the water in Dianchi Lake has been found to be 105.32 µg·L−1, which is far higher than the average concentration of Cu2+ in non-polluted natural water (2 µg·L−1) [21]. The selection of plants resistant to Cu2+ is the key to the successful implementation of phytoremediation technology in controlling and repairing the water area of Dianchi Lake.
Impatiens uliginosa is an annual herb of the Balsaminaceae family. It is widely distributed in Guangxi and Yunnan Provinces. It grows under wet forests and next to gullies and streams. Its bright colors, long flowering period, large biomass, developed root system, and strong adaptability have led to its high value as an ornamental plant that is frequently grown in gardens. It is also valuable medicinally [22]. I. uliginosa grows luxuriously in Dianchi Lake where the Cu2+ concentration is 50-fold higher than that of non-polluted natural water [21], which indicates that the plant is somewhat tolerant to copper. Thus, it is a facultative metal plant, which makes it an ideal candidate for bioremediation. Currently, relatively little research has been conducted on I. uliginosa. What research has been conducted has focused on the characteristics of seed germination [22,23], the cloning of genes regulating flower development [24,25,26], and the determination of metal elements [27,28]. Studies on the physiological and biochemical characteristics of I. uliginosa have been limited to changes in the seeds, seedlings, and flower color [23,29,30]. Although the influence of Cu2+ on I. uliginosa in the natural environment is a dynamic and long-lasting process, to our knowledge, research on this topic has not yet been reported. This study examined the effects of Cu2+ stress on the morphology and development of growth, physiological and biochemical parameters, and the contents of metal ions of I. uliginosa. The characteristics of Cu2+ in response to stress are discussed, and technical advice for the scientific cultivation of I. uliginosa is provided.
2. Materials and Methods
2.1. Plant Materials and Cu2+ Treatments
To enhance the simulation of a natural habitat and improve the observation of morphological indicators in the stress experiment, a soil culture was first used, followed by a hydroponic setup. I. uliginosa seeds were collected in Laoyuhe Wetland Park, Kunming, Yunnan Province, China (102°46′7.15″ E, 24°49′22.79″ N). The heavy metal tested was CuSO4·5H2O (Damao Chemical Reagent Factory, Tianjin, China), which was dissolved in deionized water. The seeds were germinated in distilled water in Petri dishes. Two weeks later, the seedlings with uniform growth were selected and transplanted into the arboreal garden of Southwest Forestry University (Kunming, China). After 50 days, the seedlings with uniform biomass were collected, and the bases of the seedlings were washed with distilled water. The seedlings were affixed to a foam plastic tray with holes, which were used for planting cups. They were then placed in a 60 × 40 × 40 cm incubator for subsequent use. After acclimation with one-half Hoagland nutrient solution for two weeks, the seedlings were subjected to Cu2+ stress treatment on September 7, 2019. Five gradients of Cu2+ concentration were established, including 5 mg·L−1, 10 mg·L−1, 15 mg·L−1, 20 mg·L−1, and 25 mg·L−1, and seedlings in one-half Hoagland nutrient solution were used as the control. Samples were taken at 0 d, 6 d, 12 d, 18 d, and 24 d after treatment. The roots, stems, and leaves were wrapped in tin foil and placed in tanks of liquid nitrogen for further use.
2.2. Biomass Determination
After the experimental treatment, I. uliginosa was separated into three parts, including the roots, stems, and leaves. The surface water was removed using filter paper, and the fresh weight (g) was measured. It was dried in an oven (EYELA, Tokyo, Japan) at 105 °C for 15 min and then dried at 80 °C until a constant weight was reached. The dry weight (g) was then obtained.
2.3. Plant Height, Root Length, and Stem Diameter
On days 0, 6, 12, 18, and 24 after the experiment had been started, the dimensions of I. uliginosa, including its elevation, root extension, and stem width, were meticulously gauged using a Vernier caliper and documented in centimeters. The plant height was measured as the height from stem base to the plant tip, stem diameter as the width of stem base, and root length was determined by averaging the longest and shortest root lengths for an overall representation.
2.4. Determination of Oxidative Stress Indicators and Antioxidant Responses
After Cu2+ stress, 0.5 g of fresh leaves of the treated groups were weighed and placed in a pre-cooled mortar. After 5 mL of sodium phosphate buffer (pH 7.8) (Tianjin Zhiyuan Chemical Reagent Co. Ltd., Tianjin, China) had been added several times, the leaves were ground in an ice bath. After the ground homogenate turned white, it was poured into a 10 mL centrifuge tube and centrifuged at 4000 rpm at 4 °C for 20 min. The supernatant (crude enzyme solution) was added to a test tube and stored at 4 °C for later use, as described by Dhindsa et al. [31]. The activity of superoxide dismutase (SOD) was determined using the method of inhibition of photochemical reduction of nitroblue tetrazolium chloride [32]. The samples were exposed to 4000 Lux for 20 min in the plant incubator (SANYO, Osaka, Japan), and the absorbance readings were recorded at 560 nm. The activity of peroxidase (POD) was analyzed through the guaiacol method, as outlined by Sakharov et al. [33], with absorbance readings taken at a wavelength of 470 nm. The activity of the enzyme catalase (CAT) was determined using the procedure outlined by Chaoui et al. [34], with absorbance readings taken at a wavelength of 240 nm. The measurement of malondialdehyde (MDA) content was conducted through the thiobarbituric acid method, as outlined by Tewari et al. [35], with absorbance readings taken at wavelengths of 600 nm, 532 nm, and 450 nm.
2.5. Determination of the Concentration of Metals
To analyze the content of the metals in dried plant parts (roots, stems, leaves), a 0.15 g sample was ground and passed through a 60-mesh sieve. The sample was then mixed with HNO3 (Damao Chemical Reagent Factory, Tianjin, China) and HCl (Yanglin Industrial Development Zone Shandian Pharmaceutical Co. Ltd., Yunnan, China) (3:1) and put in ETHOS A (Milestone, Santa Clara, CA, USA) for microwave fermentation. The digestion tank was removed after the heating procedure was completed, and the temperature decreased to below 80 °C. The sample was transferred to a polyethylene tank in a fume hood (ShuangXu Electronics Co. Ltd., Shanghai, China) and placed on a C-MAG HS 10 digital (IKA, Staufen, Germany) magnetic floating agitator to remove the acid. The liquid was transferred to a 25 mL volume bottle after it had become transparent. The concentration of metal ions was determined by flame atomic absorption spectrometer (Shimadzu Corporation, Kyoto, Japan).
2.6. Transfer Coefficient, Enrichment Coefficient, and the Rate of Distribution of Cu2+ in Plants
The bioenrichment factor (BCF) and transport factor (TF) were used to evaluate the ability of plants to accumulate metals from the soil and transport them from the root to stem [36].
Bioconcentration factor (BCF) = Cu2+ concentration in tissue/Cu2+ concentration in solution
Translocation factor (TF) = Cu2+ concentration in tissues/Cu2+ concentration in roots
where i refers to different parts of I. uliginosa (roots, stems, and leaves); Ci is the concentration of Cu2+ (mg·kg−1) in the tissues of I. uliginosa, and Wi is the biomass dry weight (kg) of all the parts of I. uliginosa.
Allocation rate = {Ci × Wi/∑(Ci × Wi)} × 100%
2.7. Statistical Analysis
Each experimental group was repeated three times and analyzed using SPSS 24.0 (IBM, Inc., Armonk, NY, USA). The variability of the samples was expressed as the mean ± standard deviation (SD). Statistical significance was determined at the 0.05 level using the least significant difference (LSD) test. The graphs and tables were created using Microsoft Excel 2010 (Redmond, WA, USA) and Adobe Photoshop CS6 (San Jose, CA, USA).
3. Results
3.1. Effects of Cu2+ Stress on the Growth and Development of I. uliginosa
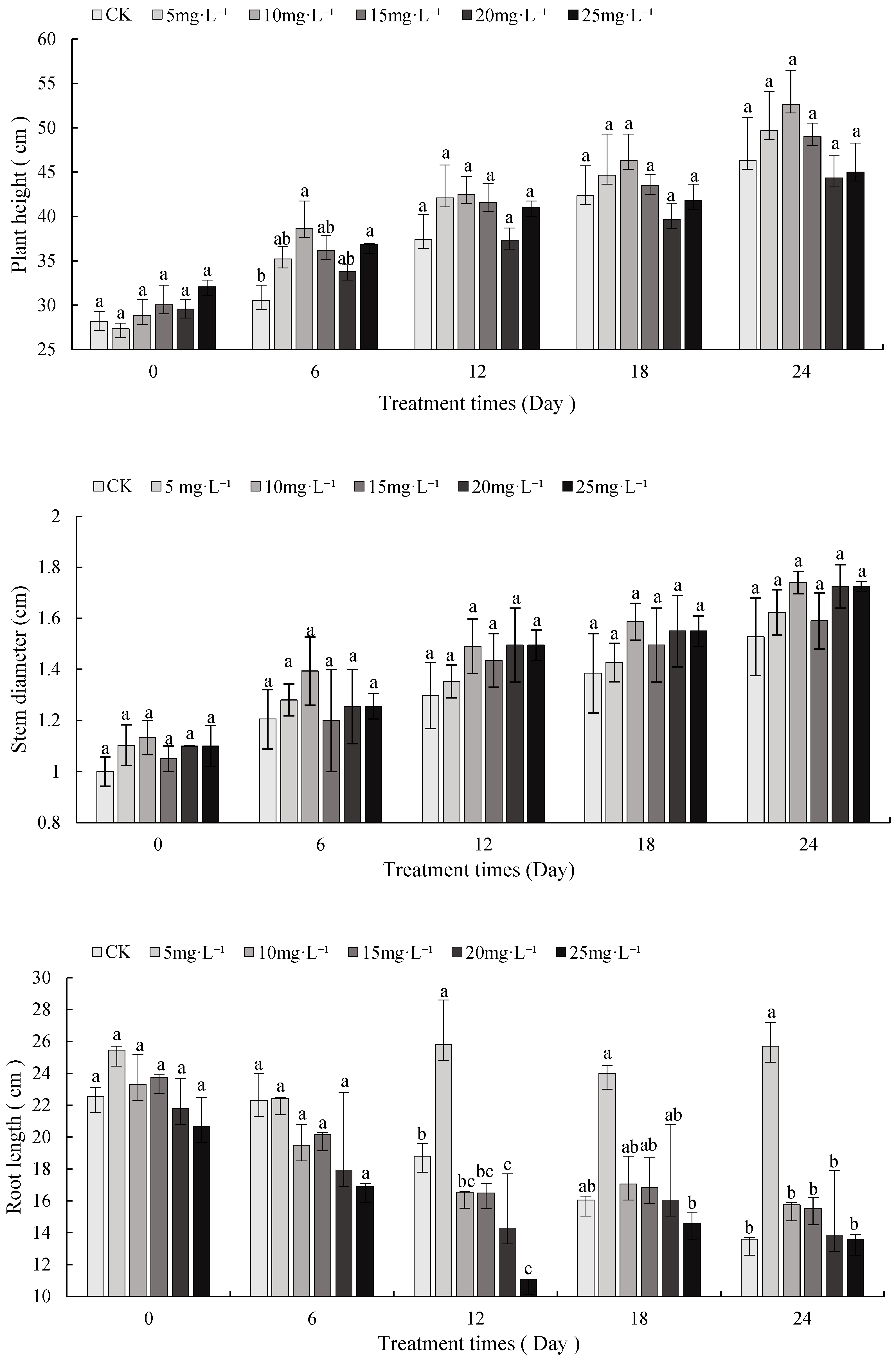
As shown in Figure 1, the height and stem diameter of I. uliginosa gradually increased with the extension of treatment time under different levels of Cu2+ stress. However, these parameters varied under this type of treatment. Compared with the treatment on day 0, the height of I. uliginosa increased by 64.50% (CK), 81.74%, 82.66%, 63.15%, 49.94%, and 40.33% after treatment. Under treatment with the same concentrations, the height of I. uliginosa after treatment at 6 d was as follows: 28.80%, 34.70%, 20.55%, 14.41%, and 14.84%, which were all higher than the height of CK (8.38%). Compared with the 0 d treatment, the increase in height of I. uliginosa after 24 d was 62.73% (CK), 59.22%, 55.45%, 51.43%, 57.27%, and 50.42%. The height increased the most during the 0–6 d period, and the values were 25.45% (CK), 18.45%, 15.45%, 14.29%, 14.55% and 6.84%. The amount of increase decreased in the following order: CK > 5 mg·L−1 > 10 mg·L−1 > 15 mg·L−1 > 20 mg·L−1 > 25 mg·L−1.
Figure 1.
Effects of different levels of Cu2+ stress on the growth indices of I. uliginosa. Note: Values represent the mean ± standard error of three replicates. Different lowercase letters indicate significant differences in values within the same concentration (p < 0.05).
Roots are the first natural barriers that enable plants to sense and respond to their environment. Under stress conditions, the root system will be affected to varying degrees and can even die and fall off. As shown in Figure 1, the length of I. uliginosa roots gradually decreased as the concentration of Cu2+ increased, and the treatment time was extended. These changes were significantly different from those of the control group (CK) (p > 0.05). The length of I. uliginosa roots decreased gradually as the treatment time increased despite being treated with the same concentration. This decrease was influenced by various factors, such as the external environment and root damage. However, when subjected to 5–10 mg·L−1 Cu2+ stress, the roots grew longer than those of the CK. However, the difference between them was not significant (p > 0.05). Under 15–25 mg·L−1 Cu2+ stress, the roots grew slowly owing to the high concentration of Cu2+ stress, which indirectly protected the artificial damage and other factors caused by the overly long roots during the measurements.
3.2. Effects of Cu2+ Stress on the Biomass of I. uliginosa
Table 1 shows a gradual decrease in the root biomass of I. uliginosa with an increase in the concentration of Cu2+. Additionally, the root biomass was found to be lower than that of the control group (CK) at all ranges of concentration. At a concentration of Cu2+ of 25 mg·L−1, the root fresh weight reached its lowest point at 9.87 g, which did not reveal any significant difference when compared with the control group (CK) (p > 0.05). However, the dry weight differed significantly when compared with the control group (CK) (p < 0.05) at 0.66 g. With the increase in concentration of Cu2+, the biomass of stems and leaves of I. uliginosa increased first and then decreased. When the Cu2+ concentration was 20 mg·L−1, the fresh weight of the stems and leaves reached their maximum values of 58.22 g and 13.40 g, respectively. This represents an increase of 89.21% and 52.79% compared with the control group (CK), although this difference was not statistically significant (p > 0.05).
Table 1.
Effects of different levels of Cu2+ stress on the biomass of I. uliginosa.
3.3. Effects of Cu2+ Stress on the Activities of Antioxidant Enzymes and Content of Malondialdehyde in I. uliginosa
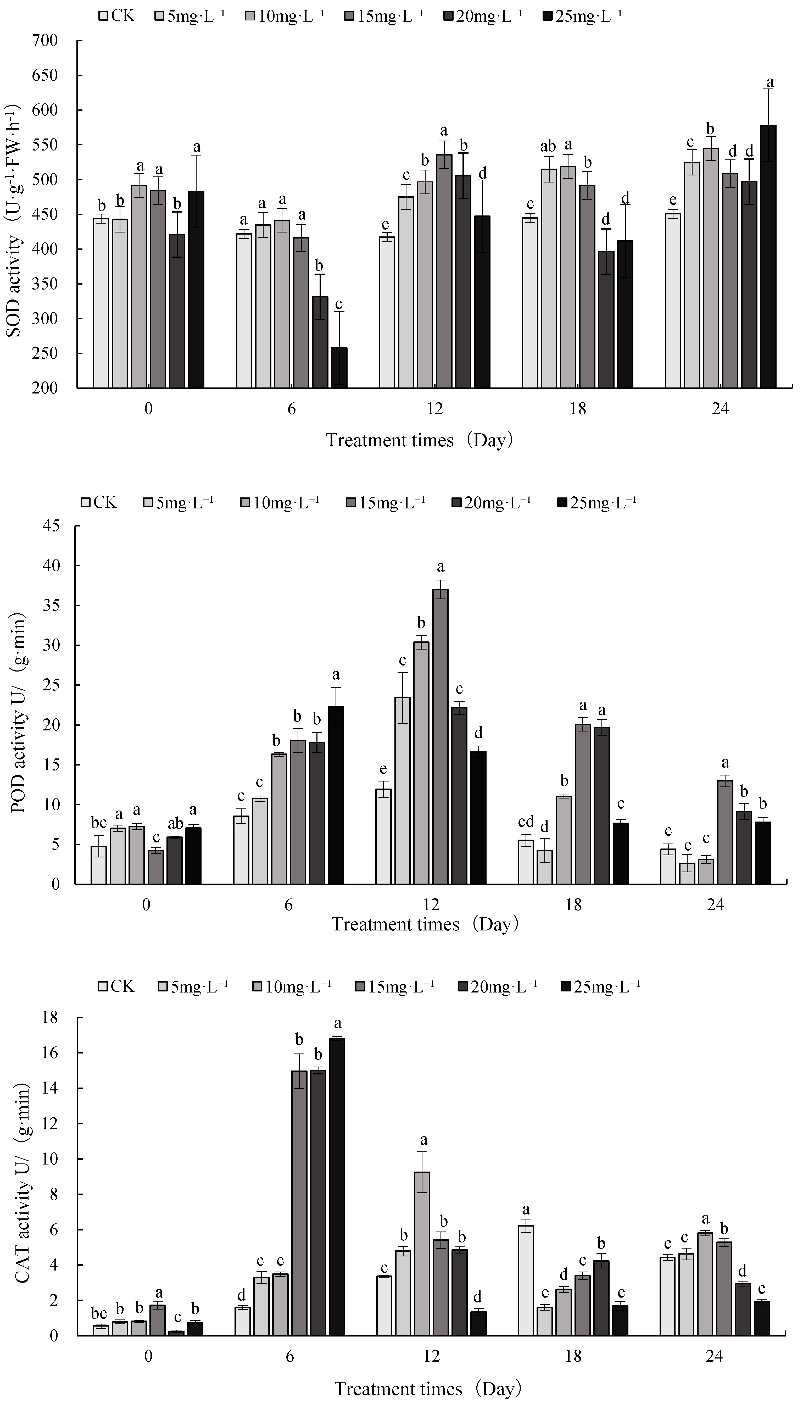
Oxidative stress was assessed by measuring MDA content in the leaves, which is an important biomarker of oxidative injury. In the range of low concentrations (0–15 mg·L−1), the content of MDA of I. uliginosa tended to decrease first and then increased with the extension of treatment time, and the difference was significant when compared with the CK (p < 0.05) (Figure 2). In the range of high concentrations (20–25 mg·L−1), the content of MDA tended to increase first and then decrease with the extension of treatment time, and the difference was significant compared with the CK (p < 0.05). From 6 to 18 days post-treatment, the content of MDA gradually increased as the concentration of Cu2+ increased. At a concentration of 25 mg·L−1, the contents of MDA were 31.19, 24.39, and 15.91 µmol·L−1 FW, respectively, which were significantly different from those of the control group (p < 0.05). The increases were as follows: 190.41%, 301.15%, and 121.90%. After 24 d of stress with different concentrations of Cu2+, the content of MDA fluctuated over a small range. When the concentration reached 25 mg·L−1, the content of MDA was 19.10 µmol·L−1 FW, which was significantly different from that of Cu2+ (15.72 µmol·L−1 FW) (p < 0.05). The increase was 21.50%.

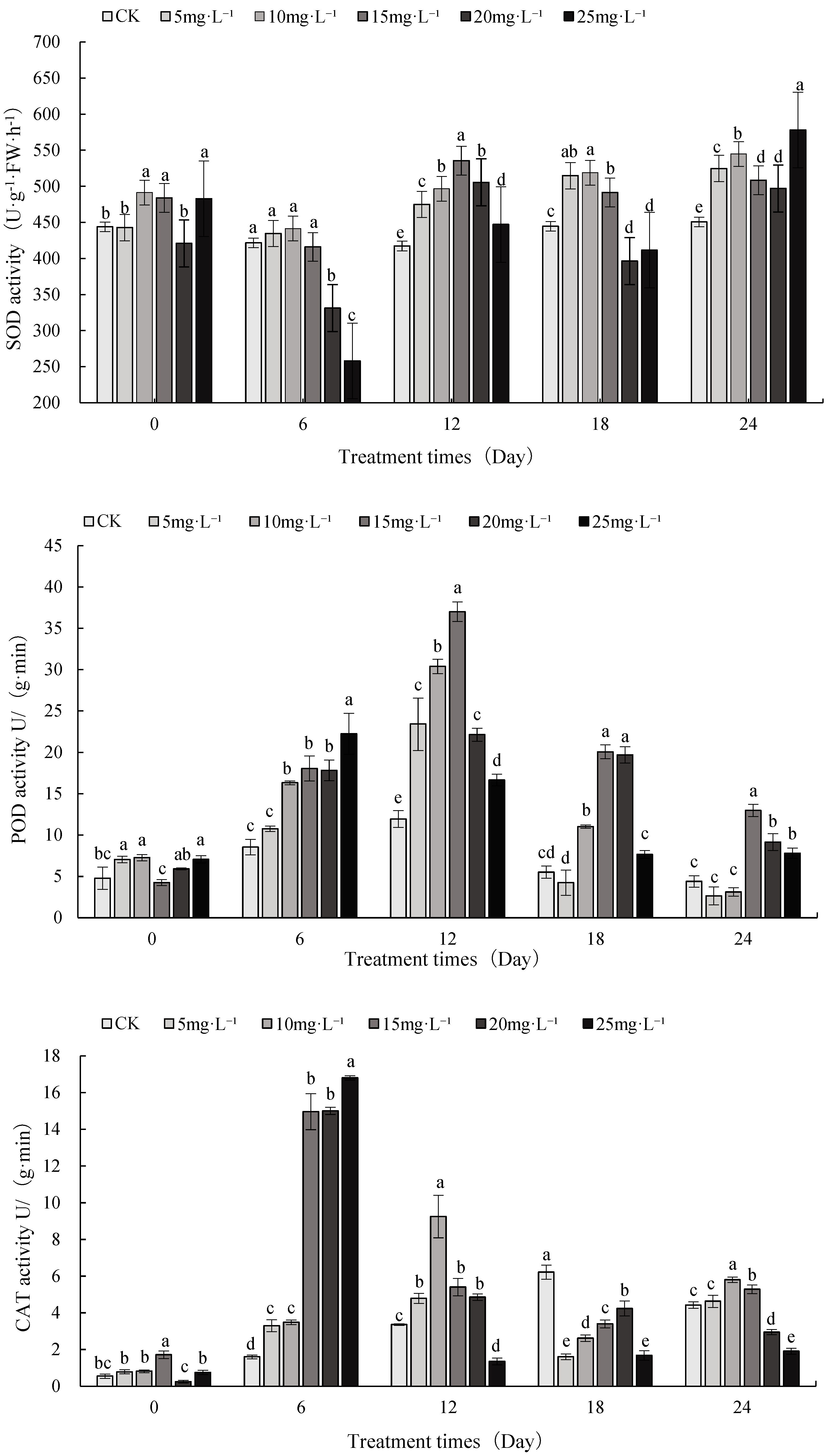
Figure 2.
Effects of Cu2+ stress on the activities of antioxidant enzymes and the contents of malondialdehyde (MDA) of I. uliginosa. Note: Values represent the mean ± standard error of three replicates, and different lowercase letters indicate significant differences (p < 0.05).
As shown in Figure 2, the activity of SOD from I. uliginosa tended to increase first and then decrease at different times after Cu2+ stress. On the sixth day after treatment, the activity increased slowly at first and then decreased rapidly with the increase in treatment concentration. When the concentration reached 25 mg·L−1, the activity of SOD decreased to its lowest level (258.10 U·g−1·FW·h−1), which was significantly different from that of the CK (421.66 U·g−1·FW·h−1) (p < 0.05). Within the range of Cu2+ concentrations of 5–20 mg·L−1, the activity first increased and then decreased with the increase in Cu2+ concentration. This difference was significant when compared with that of the CK (p < 0.05). However, at a concentration of 25 mg·L−1, the activity of SOD increased gradually with the increase in treatment time.
Under different concentrations of Cu2+ stress, the activity of POD first increased and then decreased over time (Figure 2). It increased sharply from 0–12 d and reached its maximum on 12 d. The activity of POD decreased gradually from 12 to 24 days. Under the 6 d treatment, the activity gradually increased with increasing concentrations. When the concentration of Cu2+ reached 25 mg·L−1, the activity of POD increased by 160.17% compared with the CK, and this difference was found to be statistically significant (p < 0.05). After 12–24 d of processing conditions, the POD activity of I. uliginosa exhibited a pattern of initially rising and then declining as the Cu2+ concentration increased. When the concentration was 15 mg·L−1, the POD activity of I. uliginosa peaked on the days 12, 18 and 24, compared with that of the CK. The respective increases were 209.62%, 263.11%, and 193.41%, with a statistically significant difference (p < 0.05).
Over time, the CAT activity of I. uliginosa increased rapidly at first and then decreased and maintained a stable trend (Figure 2). In the treatment time of 0–6 d, the activity increased rapidly and reached its maximum at 6 d. In the treatment time of 6 d, the CAT activity increased gradually as the concentration of Cu2+ increased and reached its maximum at 25 mg·L−1 (16.81 U·g−1·min−1), which was significantly different from that of the CK (1.61 U·g−1·min−1) (p < 0.05). From days 12 to 24, the CAT activity gradually decreased and remained mostly stable. As the concentration of Cu2+ increased, the CAT activity first increased and then decreased.
3.4. Effect of Cu2+ Stress on the Mineral Contents in Different Parts of I. uliginosa
As shown in Table 2, the contents of Cu2+ in the roots, stems, and leaves of I. uliginosa gradually increased as the degree of Cu2+ stress increased, which was significantly different from that in the CK (p < 0.05). The degree of Cu2+ stress significantly increased the contents of Cu2+ in the roots. This increase was found to be 16.50-, 22.63-, 29.42-, 37.51-, and 38.16-fold higher than that of the control group (CK), and the difference was statistically significant (p < 0.05). The contents of Cu2+ in the stems of I. uliginosa increased by 0.91-, 1.94-, 3.36-, 6.26-, and 9.50-fold, respectively. The contents of Cu2+ in the leaves increased by 1.7-, 6.04-, 7.92-, 5.12-, and 4.2- fold, respectively. This study showed that the contents of iron (Fe) in the roots and leaves first increased and then decreased with the increase in degree of Cu stress. When the concentration of Cu2+ was 10 mg·L−1, the highest contents of Fe in the roots and leaves were 2076.75 mg·kg−1 and 764.97 mg·kg−1, respectively. This was a significant improvement compared with the CK (1634.40 mg·kg−1 and 582.29 mg·kg−1, respectively) with a difference of 27.06% and 31.37%, respectively (p < 0.05). The content of Fe in the stems decreased first and then increased with the increase in degree of Cu2+ stress. When the concentration reached 15 mg·L−1, the content of Fe in stems was at its lowest, 157.55 mg·kg−1, which was not significantly different from that of the CK (184.33 mg·kg−1) (p > 0.05). Under the stress of Cu2+, the contents of Zn in the roots, stems, and leaves of I. uliginosa generally decreased. Under different degrees of Cu2+ stress, the contents of Zn in different parts of the plant decreased compared with the CK. The changes in the roots were 28.34%, 22.62%, 49.33%, 26.18%, and 17.21%, stems (18.18%, 2.10%, 35.22%, 51.26%, and 82.22%), and leaves (67.35%, 16.63%, 30.39%, 44.94%, and −3.05%).
Table 2.
Effects of Cu2+ stress on the content of metal elements in different parts of I. uliginosa.
The contents of potassium (K) in the roots and stems of I. uliginosa did not change significantly compared with that of the CK under Cu2+ stress, and the increase was between 5.65% and 15% with no significant difference (p > 0.05). The contents of K in the leaves tended to increase with the increase in concentration, which resulted in readings of 1.98, 1.77, 1.98, 1.92, and 1.76 g·kg−1, respectively. Compared with the CK (1.64 g·kg−1), the increase was in the following order: 20.73%, 7.92%, 20.73%, 17.07%, and 7.32%, and the differences were significant (p < 0.05). Under the conditions of Cu2+ stress, the contents of Ca in the roots of I. uliginosa decreased with the increase in concentration, and the values were 6.68, 6.84, 5.48, 5.08, and 6.46 g·kg−1, respectively. Compared with the CK (8.10 g·kg−1), the degree of decrease was as follows: 17.53%, 15.56%, 32.35%, 37.28%, and 20.24%, and these changes were significant (p < 0.05). The content of Ca in the stems and leaves tended to increase in parallel with the concentration of Cu2+ applied. With this increase in Cu2+, the contents of Mg in the roots, stems, and leaves of I. uliginosa barely changed. In the treatment of 5–20 mg·L−1, the content of Mg in the roots and stems of I. uliginosa was higher than that of the CK with an increase of 0.36–4.87%. When the concentration reached 25 mg·L−1, the contents of Mg in the roots and stems were slightly lower than those of the CK with a decrease of 0.13–0.59%, and there was no significant difference between them (p > 0.05). At a concentration of 5 mg·L−1, there was a 2.31% decrease compared with the control (591.93 mg·kg−1), but the difference was not statistically significant (p > 0.05). In the treatment of 10–25 mg·L−1, the content of Mg in the leaves of I. uliginosa was higher than that of the CK, and the amount of increase was between 0.39% and 5.54%.
Under varying degrees of Cu2+ stress, the contents of Na in the roots of I. uliginosa were 118.29, 1259.09, 945.49, 971.24, and 1258.16 mg·kg−1, respectively, which were significantly different from that of the CK (833.62 mg·kg−1). The increases were as follows: 42.67%, 51.04%, 13.42%, 16.51%, and 50.93%. The content of Na in the stem increased first and then decreased. When the concentration reached 20 mg·L−1, the content of Na in the stem decreased to its lowest value, 369.99 mg·kg−1, which was 21.09% lower than that of the CK (468.87), and the difference was significant (p < 0.05). Compared with the CK (419.22), the content of Na in leaves of I. uliginosa tended to decrease. However, this difference was not significant (p > 0.05). The percentage of decrease was between 2.12% and 14.21%.
3.5. Effect of Cu2+ Stress on the Enrichment and Transport of Cu2+ in I. uliginosa
As shown in Table 3, as the degree of Cu2+ stress increased, the enrichment coefficient of Cu2+ in each part of I. uliginosa decreased. The root showed the highest level of Cu2+ enrichment, followed by the leaf and then the stem. This suggests that I. uliginosa primarily stores Cu2+ in its roots and transports less Cu2+ to the tissues of its shoots. The characteristics of enrichment were significantly enhanced with the increase in degree of Cu2+ stress. However, in the Cu2+ stress treatment, the enrichment coefficients of the roots and leaves decreased gradually with the increase in the degree of treatment, and the difference was significant compared with the CK (p < 0.05). When the plants were treated with 10–25 mg·L−1 of Cu2+, the enrichment coefficient of the stem of I. uliginosa tended to gradually increase, but it was always lower than 5 mg·L−1. As indicated by the transport coefficient of Cu2+ to I. uliginosa, the ratio of middle leaf to root of I. uliginosa was higher than that of the stem to root under different concentrations of Cu2+. In addition, it showed different changes with the increase in concentration. These ratios could reflect the ability of I. uliginosa to transport Cu2+ from the belowground parts to those aboveground. The results also indicated that under Cu2+ stress, I. uliginosa could control the Cu2+ in the belowground parts and effectively transport it to the aboveground parts, thus, reducing the amount of damage to the belowground parts. Therefore, I. uliginosa can tolerate Cu2+ and has the ability to enrich it.
Table 3.
Cu2+ concentration and translocation during Cu2+ stress in I. uliginosa.
3.6. Effects of Cu2+ Stress on the Allocation of Cu2+ Elements in I. uliginosa
The rate of Cu2+ allocation is the percentage of amount of Cu2+ that accumulates in each part of the total plant based on the total amount of Cu2+ accumulated by the plant. As shown in Figure 3, under different degrees of Cu2+ treatments, the rates of Cu2+ allocation in the roots, stems, and leaves of I. uliginosa ranged from 86.08% to 90.58%, 2.23 to 5.13%, and 6.03 to 11.40%, respectively. As the amount of Cu2+ stress increased, the rate of allocation of Cu2+ in the roots, stems, and leaves of I. uliginosa tended to decrease compared with the CK. However, there were differences in the rate of distribution of Cu2+ between different concentrations of treatments and parts of I. uliginosa. In the range of 5–25 mg·L−1 Cu2+, the rates of Cu2+ that were distributed to the roots of I. uliginosa were 90.58%, 86.09%, 88.50%, 89.62%, and 88.83%, respectively. Compared with the CK (61.41%), the rate of increase was between 40.19% and 47.50%. With the increase in amount of Cu2+ used to stress the plants, its distribution to the stems of I. uliginosa tended to gradually increase. When the concentration reached 25 mg·L−1, the rate of distribution of Cu2+ to the stem reached its highest value, which was 5.13%. However, this value was much lower than that of the CK (13.27%). As the concentration increases, the distribution rate of Cu2+ in leaves initially increases, peaks, and then decreases. The highest allocation rate of Cu2+ to leaves was observed at a concentration of 10 mg·L−1 (11.40%), which was significantly lower than the control group (25.32%).
Figure 3.
Distribution of Cu2+ in different organs of I. uliginosa. The data are the average of three experiments.
4. Discussion
4.1. Effects of Cu2+ Stress on the Morphological Characteristics of I. uliginosa
Following treatment with low concentration (5 mg·L−1), the plant height and stem diameter of I. uliginosa were greater than those of the control, which showed the phenomenon of “low-level promotion and high-inhibition”, which was consistent with the findings of other researchers [37,38,39]. The height and stem diameter of I. uliginosa increased continuously with the increase in time, and the increase reached its maximum on day 6 before gradually decreasing. There was a gradual decrease in root length with increasing time and concentration, and the root gradually turned from white to brown. Part of the root then decayed and fell off. Simultaneously, the germination of fibrous roots and lateral roots could be stimulated at low concentrations of Cu2+, but a high concentration inhibited germination. Under the 24 d stress treatment with different concentrations of Cu2+, the lengths of I. uliginosa roots were between 13.62 and 25.70 cm, and the presence of certain root lengths, root numbers, lateral roots, and fibrous roots can effectively ensure the normal nutritional requirements of the I. uliginosa shoots.
Different concentrations of Cu2+ stress also had significant differences on the biomass of I. uliginosa. The results indicated a decrease in both fresh weight and dry weight of the root system with the rise in Cu2+ stress levels. However, the biomass of stems and leaves was higher than that of the CK and reached its maximum value when the concentration was 20 mg·L−1. The reason may be that the Cu2+ damages the root system and causes a decrease in plant root biomass under the condition of the different effects of varying concentrations of Cu2+ stress [40,41]. Alternatively, Cu2+ is an essential trace element for plants. Thus, at low concentrations, it can compensate for the demands of I. uliginosa. This could still result in the absorption of excess Cu2+ by the lateral roots as they germinate. This Cu2+ can be transferred to the shoot of the first and second branches and the leaves for transfer and fixation.
4.2. Effects of Cu2+ Stress on the Physiology and Biochemistry of I. uliginosa
Heavy metal pollution has a detrimental impact on plants and affects their growth, development, and physical characteristics. Additionally, it leads to an increase in the amounts of ROS, such as superoxide anion (O2−), hydroxide (OH), and H2O2, in plants. The presence of these compounds can lead to the peroxidation of membrane lipids and the degeneration of biological macromolecules, such as proteins and nucleic acids, thus damaging the membrane structure and the plant itself [42]. MDA is one of the products of membrane lipid peroxidation, and the accumulation of MDA reflects the dynamics of free radical activities in plants to some extent [43]. Many studies have shown that MDA always accumulates in amounts proportional to the concentration of heavy metals [44,45,46]. The content of MDA in the sedge Cyperus malaccensis increased by 185.74% when subjected to 500 mg·L−1 of chromium stress [47]. Treatment with high amounts of Cu2+ significantly increased the contents of MDA in the leaves of the grape, and the increase in MDA contents gradually increased as the time of treatment was extended [48].The results of this study are consistent with those of Chen [49]. After 6 days of Cu2+ stress treatment, the content of MDA in I. uliginosa increased significantly with the increase in concentration and was significantly different from the control (CK). At a concentration of 25 mg L−1, the content of MDA in each group reached its maximum under Cu2+ stress. However, when the treatment time was extended, the content of MDA in the leaves of I. uliginosa decreased gradually and tended to be stable, and it recovered to its original level before 24 d after treatment. The antioxidant system in I.uliginosa is activated when exposed to copper stress. This exposure led to a disruption in the homeostasis of scavenging reactive oxygen species (ROS), causing a rapid increase in malondialdehyde (MDA) levels within a short period. However, with the extension of the treatment time, I. uliginosa entered a period of adaptation to Cu2+ stress. Cu2+ activates enzymes in the antioxidant system in I. uliginosa, thus increasing its ability to scavenge superoxide free radicals in the plant.
To help manage the accumulation of ROS caused by Cu2+ stress, plants have formed a series of perfect defense systems to maintain the balance of an intracellular redox state during long-term natural evolution [50]. Plants can resist the damage caused by Cu2+ stress through a system composed of protective enzymes that scavenge ROS. POD, SOD, and CAT can coordinate with each other as the protective enzyme system of plants [51]. SOD catalyzes O2−·to generate H2O2 and O2. CAT can degrade H2O2 and cooperates with SOD to minimize the formation of ·OH. POD can remove peroxides in cells, which can reduce the damage of ROS to plant cells to some extent [52]. The previous research has shown that the activities of POD, SOD, and CAT in grape (Vitis vinifera) roots initially increase and then decrease in response to varying concentrations of Cu (0.5, 1, 1.5, and 2 mmol L−1). However, the scavenging mechanism of ROS in plants also varies with different species. Saleem et al. [53] found that ROS was removed from the plant by increasing the antioxidant activity, while a further increase in the concentration of Cu2+ resulted in a decrease in antioxidant activity. Contreras et al. [54] reported that the activities of SOD, POD, and CAT were enhanced under Cu treatment in Antarctic pearlwort (Colobanthus quitensis). The results of this study demonstrate that in a short period of time (6 days) under Cu2+ stress, the SOD activity of I. uliginosa increased first and then decreased with the increase in concentration. However, there was no significant difference in the low concentration (5–15 mg·L−1), while the activities of POD and CAT gradually increased with the increase in the concentration. This resulted in a significant difference. With the extension of treatment time, the SOD activity reacted in the following manner. As the concentration of Cu2+ stress increased, the SOD activity of I. uliginosa increased first and then decreased, but at 18 d after treatment with 25 mg·L−1, the SOD activity increased more than that of the CK. The reason may be that the change in antioxidant proteins (SOD, POD, and CAT) was related to the type, concentration, and treatment time with heavy metals. The POD activity reached its maximum in the whole treatment cycle at 12 days after treatment, which increased first and then decreased with the increase in concentration. It then gradually decreased over time. On the sixth day after treatment, CAT activity first increased and then decreased with the increase in concentration.
4.3. Effects of Cu2+ Stress on the Uptake of Mineral Elements in I. uliginosa
The balance of mineral nutrient elements is the basis for the normal growth and development of plants [55]. Simultaneously, the uptake of minerals by plants is fundamentally affected by various environmental factors, such as salinity, drought, oxygen content, and heavy metals [56,57]. An appropriate amount of Cu2+ can promote the growth of plants, but excess Cu2+ causes a change in the absorption of nutrients and characteristics of transport of plants, which has have a toxic effect on them [58]. Studies have shown that the absorption and translocation of mineral elements by plants generally occurs through the interaction with other mineral elements [59]. Cu2+ stress decreased the contents of Zn, N, and K in leaves and the contents of K, Ca, P, and Mg in roots. The application of Cu2+ increases the contents of Ca and Mg in leaves [38,60]. Zhang et al. found that with the increase in concentration of copper, the contents of N, P, K, Ca, and Mg in the roots and leaves of sugar beet (Beta vulgaris subsp. vulgaris Altissima Group) tended to increase [60]. Chen et al. [61] found that treatment with a low concentration of Cu2+ increased the contents of K, Mg, Ca, and Zn in the stems and leaves of willow (Salix sp.), while a high concentration of Cu2+ reduced the contents of K, Ca, Mg, and Zn in the stems and leaves of weeping willow (Salix babylonica), and Salix 172 increased the content of Fe. He [62] found that the contents of Na, K, Mg, and Fe in the roots of cockscomb (Celosia cristata) decreased significantly under Cu2+ stress. The results of this study showed that the contents of K and Mg and the absorption of Ca, Na, and Zn in the stems, stems and leaves, and roots and leaves were not affected by Cu2+ stress treatment. However, the content of Ca in the roots decreased significantly with the increase in concentration, while the contents of Ca2+ in the leaves increased significantly. The reason may be that Ca2+ channels on the plasma membrane of roots of plants under Cu2+ stress are blocked, which results in a decrease in the net uptake of Ca2+ by root tip cells [63]. In addition, the contents of Ca in the roots are transported to the shoot, which results in the accumulation of Ca2+ in the leaves. The content of Na in the roots increased significantly, which may be related to the fact that Na, as an osmotic substance in plants, can regulate their levels of osmotic pressure [64]. With the increase in Cu2+ stress, the permeability of cell membranes gradually increased. Owing to the increase in membrane peroxidation, the permeability of the cell membrane increased, which led to an increase in the absorption of metal elements by the cells. The content of Fe was consistent with the results of Dong [65], and there was no significant change in the stem. The contents of Fe in the roots and leaves showed a phenomenon of “low promotion and high inhibition” with the change in concentration, which may be owing to the competition between copper ions and Fe, which resulted in a lack of Fe, thus affecting the formation of chlorophyll [66].
The Cu2+ content in the roots, stems, and leaves of I. uliginosa increased gradually with the increase in concentration, and the content of Cu2+ in the roots increased more apparently, which may indicate that there is a strong correlation between the content of Cu2+ in the environment and that in plants. The characteristics of Cu2+ enrichment of I. uliginosa were as follows: root > leaf > stem. Excessive Cu2+ would destroy the structure of the cell membrane and lead to a rapid increase in the content of Cu2+ in the plant. This may be a self-protective mechanism for I. uliginosa to manage Cu2+ stress and also indicates that it is a common phenomenon that the content of heavy metals in plant roots is higher than that in the shoots, which is related to the effective precipitation or inactivation of heavy metals by the roots [62]. The transfer coefficient showed that the middle leaf/root was higher than that of the stem/root, indicating that the stem primarily played a role in transport and could not store the excess Cu2+ content transported from the root. Thus, the content of excess Cu2+ would eventually be transferred upward to the leaves for storage in addition to meeting the normal nutritional requirements. Under normal conditions, the rate of distribution of Cu2+ from the roots, stems and, leaves of I. uliginosa is as follows: 61.41%, 13.27%, and 25.32%. As the concentration of stress increased, the distribution of Cu2+ in the root takes place in a water rate of up to 86.09–90.58%. This a self-protective mechanism of I. uliginosa when it has accumulated too much Cu2+ in its system for redistribution to relieve the concentration of Cu2+ in its stems and leaves. After that, the content of Cu2+ in the shoots is preferentially transported to the leaves for isolation to protect the stem tissues and maintain the normal supply of plant nutrients. With the increase in concentration, the leaf partitioning rate of Cu2+ increased first and then decreased. When the concentration reached 10 mg·L−1, the leaf partitioning reached its highest rate, which was 11.40%. When the leaf to Cu2+ partitioning rate reached saturation, the stem to Cu2+ partitioning rate showed a gradual tendency to increase.
5. Conclusions
In a certain range of concentration (5–15 mg·L−1), the morphology of growth and physiological and biochemical characteristics of I. uliginosa showed a phenomenon of “low promotion and high inhibition” to Cu2+ stress, which was accompanied by a prolonged time of Cu2+ stress. The activation of antioxidant enzyme systems in the plant could alleviate the Cu2+ stress and gradually adapt to the adversity by producing enzymes, such as SOD, POD, and CAT. However, beyond a certain range, the effect would be toxic. I. uliginosa has minimal impact on the absorption of mineral nutrients such as Na, Mg, Zn, and K. However, there is interference in the absorption of Ca, Fe, and Cu elements, including the absorption of copper, which increases gradually with the increase in the concentration of processing. It tends to gradually increase and accumulate excess copper elements in the plant through the root–leaf–stem sequence. In conclusion, I. uliginosa can adapt to the environment of Cu2+ stress through the redistribution of metal elements in its tissues and the improvement in antioxidant enzyme activities. It has a certain potential to repair the low concentration of Cu2+ pollution in water. In summary, I. uliginosa is a textbook alternative ornamental plant that can be used for the remediation of water that is contaminated with copper.
Author Contributions
J.Z. and M.H. were responsible for the experimental design. J.Z. carried out sample collection, experiments, data analysis, and article writing. H.H. and X.L. participated in the experiment. All authors have read and agreed to the published version of the manuscript.
Funding
This study was financially supported by Key Project of Yunnan Provincial Agricultural Joint Special Program (202101BD070001-018), the National Natural Science Foundation of China (32060364, 32060366), Doctoral Tutor Team for Genetic Improvement and High-efficient Propagation of Landscape Plants in Yunnan Province, and Yunnan Province Local Undergraduate Universities Basic Research Joint Special Project-Youth Project.(202101BA070001-023).
Data Availability Statement
The original contributions presented in the study are included in the article, further inquiries can be directed to the corresponding authors.
Conflicts of Interest
The authors declare no conflicts of interest.
References
- Hou, D.; O’Connor, D.; Igalavithana, A.D.; Alessi, D.S.; Luo, J.; Tsang, D.C.W.; Sparks, D.L.; Yamauchi, Y.; Rinklebe, J.; Ok, Y.S. Metal contamination and bioremediation of agricultural soils for food safety and sustainability. Nat. Rev. Earth Environ. 2020, 1, 366–381. [Google Scholar] [CrossRef]
- Farid, M.; Ali, S.; Zubair, M.; Saeed, R.; Rizwan, M.; Sallah-Ud-Din, R.; Azam, A.; Ashraf, R.; Ashraf, W. Glutamic acid assisted phyto-management of silver-contaminated soils through sunflower; physiological and biochemical response. Environ. Sci. Pollut. Res. Int. 2018, 25, 25390–25400. [Google Scholar] [CrossRef] [PubMed]
- Kumar, S.; Lai, L.; Kumar, P.; Feliciano, Y.M.V.; Battaglia, M.L.; Hong, C.O.; Owens, V.N.; Fike, J.; Farris, R.; Galbraith, J. Impacts of nitrogen rate and landscape position on soils and switchgrass root growth parameters. Agron. J. 2019, 111, 1046–1059. [Google Scholar] [CrossRef]
- Parveen, A.; Saleem, M.H.; Kamran, M.; Haider, M.Z.; Chen, J.T.; Malik, Z.; Rana, M.S.; Hassan, A.; Hur, G.; Javed, M.T.; et al. Effect of Citric Acid on Growth, Ecophysiology, Chloroplast Ultrastructure, and Phytoremediation Potential of Jute (Corchorus capsularis L.) Seedlings Exposed to Copper Stress. Biomolecules 2020, 10, 592. [Google Scholar] [CrossRef] [PubMed]
- Fu, Z.; Guo, W.; Dang, Z.; Hu, Q.; Wu, F.; Feng, C.; Zhao, X.; Meng, W.; Xing, B.; Giesy, J.P. Refocusing on Nonpriority Toxic Metals in the Aquatic Environment in China. Environ. Sci. Technol. 2017, 51, 3117–3118. [Google Scholar] [CrossRef] [PubMed]
- Singh, O.V.; Labana, S.; Pandey, G.; Budhiraja, R.; Jain, R.K. Phytoremediation: An overview of metallic ion decontamination from soil. Appl. Microbiol. Biotechnol. 2003, 61, 405–412. [Google Scholar] [CrossRef] [PubMed]
- Covre, W.P.; Ramos, S.J.; Pereira, W.V.D.S.; Souza, E.S.; Martins, G.C.; Teixeira, O.M.M.; Amarante, C.B.D.; Dias, Y.N.; Fernandes, A.R. Impact of copper mining wastes in the Amazon: Properties and risks to environment and human health. J. Hazard. Mater. 2022, 421, 126688. [Google Scholar] [CrossRef] [PubMed]
- Nazir, F.; Hussain, A.; Fariduddin, Q. Hydrogen peroxide modulate photosynthesis and antioxidant systems in tomato (Solanum lycopersicum L.) plants under copper stress. Chemosphere 2019, 230, 544–558. [Google Scholar] [CrossRef] [PubMed]
- Garcia, L.; Welchen, E.; Gonzalez, D.H. Mitochondria and copper homeostasis in plants. Mitochondrion 2014, 19 Pt B, 269–274. [Google Scholar] [CrossRef]
- Ravet, K.; Pilon, M. Copper and iron homeostasis in plants: The challenges of oxidative stress. Antioxid. Redox Signal 2013, 19, 919–932. [Google Scholar] [CrossRef]
- Kohli, S.K.; Handa, N.; Bali, S.; Arora, S.; Sharma, A.; Kaur, R.; Bhardwaj, R. Modulation of antioxidative defense expression and osmolyte content by co-application of 24-epibrassinolide and salicylic acid in Pb exposed Indian mustard plants. Ecotoxicol. Environ. Saf. 2018, 147, 382–393. [Google Scholar] [CrossRef] [PubMed]
- Lu, Y.; Luo, D.; Lai, A.; Liu, G.; Liu, L.; Long, J.; Zhang, H.; Chen, Y. Leaching characteristics of EDTA-enhanced phytoextraction of Cd and Pb by Zea mays L. in different particle-size fractions of soil aggregates exposed to artificial rain. Environ. Sci. Pollut. Res. Int. 2017, 24, 1845–1853. [Google Scholar] [CrossRef]
- Rehman, M.; Liu, L.; Wang, Q.; Saleem, M.H.; Bashir, S.; Ullah, S.; Peng, D. Copper environmental toxicology, recent advances, and future outlook: A review. Environ. Sci. Pollut. Res. Int. 2019, 26, 18003–18016. [Google Scholar] [CrossRef] [PubMed]
- Yruela, I. Copper in plants: Acquisition, transport and interactions. Funct. Plant Biol. 2009, 36, 409–430. [Google Scholar] [CrossRef] [PubMed]
- Hunter, C.; Ware, M.A.; Gleason, S.M.; Pilon-Smits, E.; Pilon, M. Recovery after deficiency: Systemic copper prioritization and partitioning in the leaves and stems of hybrid poplar. Tree Physiol. 2022, 42, 1776–1785. [Google Scholar] [CrossRef] [PubMed]
- Burkhead, J.L.; Gogolin-Reynolds, K.A.; Abdel-Ghany, S.E.; Cohu, C.M.; Pilon, M. Copper homeostasis. New Phytol. 2009, 182, 799–816. [Google Scholar] [CrossRef]
- Lafuente, M.T.; Sampedro, R.; Vélez, D.; Romero, P. Deficient copper availability on organoleptic and nutritional quality of tomato fruit. Plant Sci. 2023, 326, 111537. [Google Scholar] [CrossRef] [PubMed]
- Saleem, M.H.; Ali, S.; Seleiman, M.F.; Rizwan, M.; Rehman, M.; Akram, N.A.; Liu, L.; Alotaibi, M.; Al-Ashkar, I.; Mubushar, M. Assessing the Correlations between Different Traits in Copper-Sensitive and Copper-Resistant Varieties of Jute (Corchorus capsularis L.). Plants 2019, 8, 545. [Google Scholar] [CrossRef] [PubMed]
- Kadri, O.; Karmous, I.; Kharbech, O.; Arfaoui, H.; Chaoui, A. Cu and CuO Nanoparticles Affected the Germination and the Growth of Barley (Hordeum vulgare L.) Seedling. Bull. Environ. Contam. Toxicol. 2022, 108, 585–593. [Google Scholar] [CrossRef]
- Gong, Q.; Wang, L.; Dai, T.; Zhou, J.; Kang, Q.; Chen, H.; Li, K.; Li, Z. Effects of copper on the growth, antioxidant enzymes and photosynthesis of spinach seedlings. Ecotoxicol. Environ. Saf. 2019, 171, 771–780. [Google Scholar] [CrossRef]
- Li, B.; Dao, J.R.; Zhu, R.Y.; He, H.; Meng, X.Q.; Han, F.X. Distribution, accumulation and risk assessment of heavy metal pollution in Dianchi Lake. Environ. Chem. 2021, 40, 1808–1818. (In Chinese) [Google Scholar]
- Zhu, J.P.; Wen, Y.H.; Ji, W.L.; Wang, Q. Exudates of Impatiens uliginosa Franch. on Its own seed germination. Seed 2020, 39, 41–46. (In Chinese) [Google Scholar]
- Zhu, J.P.; Luo, C.; Li, Y.; Li, Q.M.; Zhao, Q.Y.; Wang, Q.; Huang, M.J.; Huang, H.Q. Effects of copper stress on seed germination and seedling growth of Impatiens uliginosa. J. Biol. 2023, 40, 64–68. (In Chinese) [Google Scholar]
- Li, Y.; Wei, C.M.; Li, X.Y.; Meng, D.C.; Gu, Z.J.; Qu, S.P.; Huang, M.J.; Huang, H.Q. De novo transcriptome sequencing of Impatiens uliginosa and the analysis of candidate genes related to spur development. BMC Plant Biol. 2022, 22, 553. [Google Scholar] [CrossRef] [PubMed]
- Wei, C.M.; Li, Y.; Meng, D.C.; Li, Z.F.; Li, Y.; Huang, M.J.; Huang, H.Q. Cloning and expression analysis of TIP genes related to spur development in Impatiens uliginosa Franch. Plant Physiol. J. 2022, 58, 1757–1765. (In Chinese) [Google Scholar]
- Tan, Y.; Zhang, X.; Li, Q.M.; Li, X.Y.; Luo, L.; He, H.H.; Liang, G.R.; Huang, H.Q.; Huang, M.J. Transcriptomic Analysis of Flower Color Changes in Impatiens uliginosa in Response to Copper Stress. Horticulturae 2024, 10, 412. [Google Scholar] [CrossRef]
- Huang, Q.; Guo, J.W.; Wang, Q.; Wen, Y.H.; Huang, M.J.; Huang, H.Q. Determination and analysis of metal elements content in four different colors of Impatiens uliginosas. Heilongjiang Agric. Sci. 2019, 295, 86–89. (In Chinese) [Google Scholar]
- Shao, L.Y.; Guo, J.W.; Wang, Q. Determination of total nitrogen and total phosphorus in Impatiens uliginosa in the Dianchi Lake Watershed. Environ. Sci. Surv. 2021, 40, 36–37. (In Chinese) [Google Scholar]
- Li, Q.M.; Li, W.X.; Cao, M.H.; Liu, S.; Zhang, T.Y.; Wang, Q.; Huang, M.J.; Huang, H.Q. Physiological and biochemical correlations between color of Impatiens uliginosa flower and nutrient supply on copper. Fujian J. Agric. Sci. 2021, 36, 1323–1329. (In Chinese) [Google Scholar]
- Li, Q.M.; Li, W.X.; Li, X.Y.; Li, Y.; Qu, S.P.; Huang, M.J.; Huang, H.Q. Effects of copper stress on flower development and physiological and biochemical characteristics of Impatiens uliginosa. Shandong Agric. Sci. 2022, 54, 74–79. (In Chinese) [Google Scholar]
- Dhindsa, R.S.; Plumb-dhindsa, P.; Thorpe, T.A. Leaf Senescence: Correlated with Increased Levels of Membrane Permeability and Lipid Peroxidation, and Decreased Levels of Superoxide Dismutase and Catalase. J. Exp. Bot. 1981, 32, 93–101. [Google Scholar] [CrossRef]
- Giannopolitis, C.N.; Ries, S.K. Superoxide Dismutases I. Occurrence in higher plants. Plant Physiol. 1977, 59, 309–314. [Google Scholar] [CrossRef] [PubMed]
- Sakharov, I.Y.; Ardila, G.B. Variations of peroxidase activity in cocoa (Theobroma cacao L.) beans during their ripening, fermentation and drying. Food Chem. 1999, 65, 51–54. [Google Scholar] [CrossRef]
- Chaoui, A.; Mazhoudi, S.; Ghorbal, M.H.; Ferjani, E.E. Cadmium and Zinc Induction of Lipid Peroxidation and Effects on Antioxidant Enzyme Activities in Bean (Phaseolus vulgaris L.). Plant Sci. 1997, 127, 139–147. [Google Scholar] [CrossRef]
- Tewari, R.K.; Kumar, P.; Sharma, P.N.; Bisht, S.S. Modulation of oxidative stress responsive enzymes by excess cobalt. Plant Sci. 2002, 162, 381–388. [Google Scholar] [CrossRef]
- Majid, N.M.; Islam, M.M.; Justin, V.; Abdu, A.; Ahmadpour, P. Evaluation of heavy metal uptake and translocation by Acacia mangium as a phytoremediator of copper contaminated soil. Afr. J. Biotechnol. 2011, 10, 8373–8379. [Google Scholar] [CrossRef]
- Xiang, Y.; Wang, X.; Song, W.; Du, J.; Yin, X. Integrative Omics Analyses Reveal the Effects of Copper Ions on Salvianolic Acid Biosynthesis. Front. Plant Sci. 2021, 12, 746117. [Google Scholar] [CrossRef]
- Hossain, M.S.; Abdelrahman, M.; Tran, C.D.; Nguyen, K.H.; Chu, H.D.; Watanabe, Y.; Hasanuzzaman, M.; Mohsin, S.M.; Fujita, M.; Tran, L.P. Insights into acetate-mediated copper homeostasis and antioxidant defense in lentil under excessive copper stress. Environ. Pollut. 2020, 258, 113544. [Google Scholar] [CrossRef] [PubMed]
- Hayat, K.; Khan, A.; Bibi, F.; Salahuddin; Murad, W.; Fu, Y.; Batiha, G.E.; Alqarni, M.; Khan, A.; Al-Harrasi, A. Effect of Cadmium and Copper Exposure on Growth, Physio-Chemicals and Medicinal Properties of Cajanus cajan L. (Pigeon Pea). Metabolites 2021, 11, 769. [Google Scholar] [CrossRef]
- Yue, C.; Wang, Z.; Yang, P. Review: The effect of light on the key pigment compounds of photosensitive etiolated tea plant. Bot. Stud. 2021, 62, 21. [Google Scholar] [CrossRef]
- Zunaidi, A.A.; Lim, L.H.; Metali, F. Comparative assessment of the heavy metal phytoextraction potential of vegetables from agricultural soils: A field experiment. Heliyon 2023, 9, e13547. [Google Scholar] [CrossRef]
- Zhao, H.; Guan, J.; Liang, Q.; Zhang, X.; Hu, H.; Zhang, J. Effects of cadmium stress on growth and physiological characteristics of sassafras seedlings. Sci. Rep. 2021, 11, 9913. [Google Scholar] [CrossRef] [PubMed]
- Zhang, L.; Gao, B. Effect of Isosteviol on Wheat Seed Germination and Seedling Growth under Cadmium Stress. Plants 2021, 10, 1779. [Google Scholar] [CrossRef] [PubMed]
- Priyanka, N.; Geetha, N.; Manish, T.; Sahi, S.V.; Venkatachalam, P. Zinc oxide nanocatalyst mediates cadmium and lead toxicity tolerance mechanism by differential regulation of photosynthetic machinery and antioxidant enzymes level in cotton seedlings. Toxicol. Rep. 2021, 8, 295–302. [Google Scholar] [CrossRef]
- Georgiadou, E.C.; Kowalska, E.; Patla, K.; Kulbat, K.; Smolińska, B.; Leszczyńska, J.; Fotopoulos, V. Influence of Heavy Metals (Ni, Cu, and Zn) on Nitro-Oxidative Stress Responses, Proteome Regulation and Allergen Production in Basil (Ocimum basilicum L.) Plants. Front. Plant Sci. 2018, 9, 862. [Google Scholar] [CrossRef]
- Çelekli, A.; Kapı, E.; Soysal, Ç.; Arslanargun, H.; Bozkurt, H. Evaluating biochemical response of filamentous algae integrated with different water bodies. Ecotoxicol. Environ. Saf. 2017, 142, 171–180. [Google Scholar] [CrossRef] [PubMed]
- Saud, S.; Wang, D.; Fahad, S.; Javed, T.; Jaremko, M.; Abdelsalam, N.R.; Ghareeb, R.Y. The impact of chromium ion stress on plant growth, developmental physiology, and molecular regulation. Front. Plant Sci. 2022, 13, 994785. [Google Scholar] [CrossRef] [PubMed]
- Shangguan, L.; Fang, X.; Chen, L.; Cui, L.; Fang, J. Genome-wide analysis of autophagy-related genes (ARGs) in grapevine and plant tolerance to copper stress. Planta 2018, 247, 1449–1463. [Google Scholar] [CrossRef] [PubMed]
- Chen, W. Effects of Heavy Metal Stress on Growth and Physiological Characteristics of Turf Plants. Ph.D. Thesis, Gansu Agricultural University, Lanzhou, China, 2014. (In Chinese). [Google Scholar]
- Peláez-Vico, M.Á.; Fichman, Y.; Zandalinas, S.I.; Van Breusegem, F.; Karpiński, S.M.; Mittler, R. ROS and redox regulation of cell-to-cell and systemic signaling in plants during stress. Free Radic. Biol. Med. 2022, 193, 354–362. [Google Scholar] [CrossRef]
- Salinitro, M.; Hoogerwerf, S.; Casolari, S.; Zappi, A.; Melucci, D.; Tassoni, A. Production of Antioxidant Molecules in Polygonum aviculare (L.) and Senecio vulgaris (L.) under Metal Stress: A Possible Tool in the Evaluation of Plant Metal Tolerance. Int. J. Mol. Sci. 2020, 21, 7317. [Google Scholar] [CrossRef]
- Bellini, E.; Maresca, V.; Betti, C.; Castiglione, M.R.; Fontanini, D.; Capocchi, A.; Sorce, C.; Borsò, M.; Bruno, L.; Sorbo, S.; et al. The Moss Leptodictyum riparium Counteracts Severe Cadmium Stress by Activation of Glutathione Transferase and Phytochelatin Synthase, but Slightly by Phytochelatins. Int. J. Mol. Sci. 2020, 21, 1583. [Google Scholar] [CrossRef] [PubMed]
- Saleem, M.H.; Fahad, S.; Rehman, M.; Saud, S.; Jamal, Y.; Khan, S.; Liu, L. Morpho-physiological traits, biochemical response and phytoextraction potential of short-term copper stress on kenaf (Hibiscus cannabinus L.) seedlings. Peer J. 2020, 8, e8321. [Google Scholar] [CrossRef] [PubMed]
- Contreras, R.A.; Pizarro, M.; Köhler, H.; Sáez, C.A.; Zúñiga, G.E. Copper stress induces antioxidant responses and accumulation of sugars and phytochelatins in Antarctic Colobanthus quitensis (Kunth) Bartl. Biol. Res. 2018, 51, 48. [Google Scholar] [CrossRef] [PubMed]
- Mahender, A.; Ali, J.; Prahalada, G.D.; Sevilla, M.A.L.; Balachiranjeevi, C.H.; Md, J.; Maqsood, U.; Li, Z. Genetic dissection of developmental responses of agro-morphological traits under different doses of nutrient fertilizers using high-density SNP markers. PLoS ONE 2019, 14, e0220066. [Google Scholar] [CrossRef] [PubMed]
- Ma, X.; Fan, L.; Mao, F.; Zhao, Y.; Yan, Y.; Tian, H.; Xu, R.; Peng, Y.; Sui, H. Discrimination of three Ephedra species and their geographical origins based on multi-element fingerprinting by inductively coupled plasma mass spectrometry. Sci. Rep. 2018, 8, 10271. [Google Scholar] [CrossRef] [PubMed]
- Uddin, M.M.; Zakeel, M.C.M.; Zavahir, J.S.; Marikar, F.M.M.T.; Jahan, I. Heavy Metal Accumulation in Rice and Aquatic Plants Used as Human Food: A General Review. Toxics 2021, 9, 360. [Google Scholar] [CrossRef] [PubMed]
- Liu, Z.; Bai, Y.; Luo, L.; Wan, J.; Wang, W.; Zhao, G. Effects of high dose copper on plant growth and mineral nutrient (Zn, Fe, Mg, K, Ca) uptake in spinach. Environ. Sci. Pollut. Res. Int. 2021, 28, 37471–37481. [Google Scholar] [CrossRef] [PubMed]
- Yang, Y.; Xie, J.; Li, J.; Zhang, J.; Zhang, X.; Yao, Y.; Wang, C.; Niu, T.; Bakpa, E.P. Trehalose alleviates salt tolerance by improving photosynthetic performance and maintaining mineral ion homeostasis in tomato plants. Front. Plant Sci. 2022, 13, 974507. [Google Scholar] [CrossRef] [PubMed]
- Zhang, F.S.; Liu, N.X.; Wu, Y.M. Effect of Excessive Cu on the Nutrients Absorption of Sugar Beet. Chin. Agric. Sci. Bull. 2015, 31, 160–165. (In Chinese) [Google Scholar]
- Chen, C.H.; Liu, Z.K.; Chen, G.C.; Zhang, J.F. Effects of copper stress on uptake of mineral elements by Salix jiangsuensis CL J−172 and Salix babylonica Linn. J. Cent. South Univ. For. Technol. 2011, 31, 28–32. (In Chinese) [Google Scholar]
- He, T.T. Study on Physiological Response and Enrichment Ability of Celosia argentea and Celosia cristata to Copper Stress. Master’s Thesis, University of Chinese Academy of sciences, Wuhan, China, 2013. (In Chinese). [Google Scholar]
- Xu, G.D.; Ge, S.F.; Zhang, Y.; Wu, Y.H.; Mei, X.M.; Liu, P. Effect of salicylic acid on growth and nutrient uptake in Hydroponic Tobacco under cu stress. Acta Agron. Sin. 2015, 41, 956–962. (In Chinese) [Google Scholar] [CrossRef]
- Lu, J.L. Plant Nutrition; China Agricultural University Press: Beijing, China, 2003. (In Chinese) [Google Scholar]
- Dong, C.L. Physiological reaction of Paeonia ostii and Paeonia suffruticosa and the transcriptome analyses of Paeonia ostii in response to copper stress. Master’s Thesis, Nanjing Agricultural University, Nanjing, China, 2013. (In Chinese). [Google Scholar]
- Pätsikkä, E.; Kairavuo, M.; Sersen, F.; Aro, E.M.; Tyystjärvi, E. Excess copper predisposes photosystem II to photoinhibition in vivo by outcompeting iron and causing decrease in leaf chlorophyll. Plant Physiol. 2002, 129, 1359–1367. [Google Scholar] [CrossRef] [PubMed]
Disclaimer/Publisher’s Note: The statements, opinions and data contained in all publications are solely those of the individual author(s) and contributor(s) and not of MDPI and/or the editor(s). MDPI and/or the editor(s) disclaim responsibility for any injury to people or property resulting from any ideas, methods, instructions or products referred to in the content. |
© 2024 by the authors. Licensee MDPI, Basel, Switzerland. This article is an open access article distributed under the terms and conditions of the Creative Commons Attribution (CC BY) license (https://creativecommons.org/licenses/by/4.0/).



