Next Article in Journal
Grafting Genotype Combination Effect of Vitis ssp. on Roots Phylloxeration Degree and Vigor of Grapevine
Next Article in Special Issue
Promising and Failed Breeding Techniques for Overcoming Sterility and Increasing Seed Set in Bananas (Musa spp.)
Previous Article in Journal
Development of SSRs Based on the Whole Genome and Screening of Bolting-Resistant SSR Marker in Brassica oleracea L.
Previous Article in Special Issue
Phytoene Desaturase (PDS) Gene-Derived Markers Identify “A” and “B” Genomes in Banana (Musa spp.)
 
 
Font Type:
Arial Georgia Verdana
Font Size:
Aa Aa Aa
Line Spacing:
Column Width:
Background:
Article

Using Mutation Breeding to Improve the Eating Characteristics of the Fusarium Wilt-Resistant Banana Variety, ‘Goldfinger’ (AAAB)

1
Queensland Department of Agriculture and Fisheries, South Johnstone Research Facility, Boogan 4871, Australia
2
Queensland Department of Agriculture and Fisheries, Maroochy Research Facility, Nambour 4560, Australia
3
Queensland Department of Agriculture and Fisheries, Mareeba Research Facility, Mareeba 4880, Australia
4
Queensland Department of Agriculture and Fisheries, Health and Food Sciences Precinct, Coopers Plains 4108, Australia
*
Authors to whom correspondence should be addressed.
Horticulturae 2024, 10(5), 444; https://doi.org/10.3390/horticulturae10050444
Submission received: 27 March 2024 / Revised: 15 April 2024 / Accepted: 19 April 2024 / Published: 26 April 2024
(This article belongs to the Special Issue Developments in the Genetics and Breeding of Banana Species)

Abstract

Banana production in Australia is under threat from Fusarium wilt Tropical Race 4 (TR4), and the option of growing a disease-resistant variety is sought after by many farmers. Goldfinger is one such alternative; however, it was previously rejected by Australian consumers. In Phase I of this investigation, mutagenesis was employed as a practical method to generate large numbers of novel variants. In Phase II, 631 variants were established in a field trial where agronomic and postharvest assessments, including taste-testing, identified 20 improved selections. Phase III involved a replicated field evaluation of the selections with favourable mutations, where further taste-testing revealed five selections with the most promising eating characteristics. In Phase IV, the five selections underwent large-scale consumer and sensory evaluations where four of them performed as well as the industry standard controls ‘Williams’ Cavendish and Lady Finger. The sensory analysis revealed differences in the fruit flavour profile and textural attributes, and these features will play a key role in bringing a new banana variety to market and for promotion to consumers. Screening of the variants’ resistance to yellow Sigatoka was integrated into the project, but further work is needed to ensure these four selections have retained their TR4 resistance.

1. Introduction

Australia, like other banana-producing countries, is fighting to slow the spread of the destructive Fusarium oxysporum f. sp. cubense fungus (Fusarium wilt Tropical Race 4, TR4) through its AUD 583 million Cavendish-dominated banana industry [1]. This soil-borne vascular-wilt disease has the capacity to devastate entire plantations with little prospect of recovery. At present, there is no treatment to eradicate the fungal chlamydospores which can remain dormant indefinitely in the soil or in the tissue of asymptomatic alternative host species [2]. Currently, in Australia’s main production region of North Queensland, bananas are not permitted to be grown within 10 m of where an infected plant has been detected [3]. No resistant Cavendish variety so far evaluated in the region has demonstrated itself to be agronomically competitive with the industry standard ‘Williams’ grown in the absence of the disease. TR4 remains a severe threat to the livelihood of the producers of Australia’s most widely consumed fruit [4], and disease-resistant varieties are seen to be an important part of the solution in the medium to long term.
The Queensland Department of Agriculture and Fisheries (DAF) has had previous success using mutagenesis to develop the Cavendish selection ‘DPM25’, with resistance to Subtropical Race 4 (SR4) [5], pioneering the way for future mutagenesis work within the organisation. A pilot study commenced in 2016 to better examine the potential for mutagenesis to help with developing a commercially viable TR4-resistant variety. This involved three Cavendish cultivars and Goldfinger, the latter being the sole focus of this research. Mutagenic treatments, such as gamma irradiation, have the potential to accelerate crop improvement through inducing novel allele combinations resulting in a genetically diverse population from which selections can be made [6]. This is particularly useful for plants with a narrow genetic base and low fertility, like bananas. To date, there are four banana varieties registered with the International Atomic Energy Agency (IAEA) that have been bred through mutagenesis across various countries. These include Al-Beely (Sudan), Klue Hom Thong KU1 (Thailand), Novaria (Malaysia), and Pirama 1 (Indonesia) [7].
Goldfinger (AAAB), also known as SH-3481 or FHIA-01, is a tetraploid hybrid which was originally developed through cross-pollinating Dwarf Prata (AAB, Pome, female parent) with the AA diploid SH-3142 (male parent). It was considered to have strong potential for commercialisation, as discussed by Rowe and Rosales [8]. Goldfinger arrived in Australia in 1989 directly from Honduras, and subsequent field evaluations were encouraging [9]. So, in 1995, it was commercially released as a Lady Finger (AAB, Pome) alternative for growers in the subtropics, due to its resistance to both Race 1 (R1) and SR4 of Fusarium wilt, along with its cold tolerance [10]. Studies have also confirmed its resistance to TR4 [11] and black Sigatoka (Pseudocercospora fijiensis) leaf disease [8], with less susceptibility to yellow Sigatoka (Pseudocercospora musae) than Cavendish [12]. Despite having sound agronomic qualities and disease resistance, Goldfinger struggled in the marketplace. Its inconsistent fruit quality, soft fruit texture, and lacklustre flavour failed to impress consumers and inhibited the variety’s commercial success [13,14,15].
Goldfinger was included for mutagenesis because of its resistance to TR4. In the present study, improvement in its eating quality was sought whilst still retaining its disease resistance and other favourable features. This might then enhance its market prospects and, therefore, provide an alternative option to banana producers as the disease spreads. Goldfinger’s tolerance to yellow Sigatoka is also of potential significance to Australian banana growers, with informal observations in Phase II suggesting some plants appeared to have more leaf disease present than others. Therefore, assessing the selected variants’ reaction to this leaf disease was later included in the investigation to determine if mutagenesis had potentially impacted the plant’s level of resistance. Presented here is an overview of the project which was conducted over seven years and had multiple phases, from the initial gamma-irradiation treatment to arriving at the top four improved Goldfinger selections.

2. Materials and Methods

2.1. Phase I

Mutation Induction

Goldfinger material was sourced from plants maintained in the Queensland DAF germplasm collection. In vitro, plantlets in the multiplication phase were subject to a dose–response trial (0, 10, 20, 30, 40, 50, or 75 Gy) to determine the highest non-lethal exposure level to gamma irradiation under which plants would not only survive but also continue to multiply. The irradiation of the plants occurred in June 2016. The plant material used did not have any viruses detected prior to irradiation (viz. banana bunchy top virus [BBTV], cucumber mosaic virus [CMV], banana mild mosaic virus [BanMMV], or banana streak viruses [BSVs]). One hundred Goldfinger plantlets were prepared by growing them on Murashige and Skoog medium with 30 g/L of sucrose and 2.5 mg/L of benzylamino purine (MSM) until they were multiplying [16]. The plantlets with shoots were evenly spaced into four polypropylene containers (120 mm × 80 mm), each containing 25 plants. Seven days later, when the plants were established, they were irradiated within the Gammacell 220® Irradiation Unit at the University of Queensland, St Lucia, Australia, following the procedure outlined by Smith et al. [17]. The day after irradiation, the plants were subcultured onto MSM for a further two cycles (four weeks apart) to determine survival and multiplication.
In September 2016, 500 Goldfinger plantlets that were growing in MSM and producing shoots were divided between 25 polypropylene containers as described above, and exposed to 35 Gy, as determined by the dose–response trial. The following day, the irradiated plantlets were subcultured onto MSM medium into 125 mL glass jars each containing three of the plantlets. They were then subcultured at six-weekly intervals a further four times on MSM medium for in vitro stabilisation at the DAF Maroochy Research Facility (26°38′28″ S, 152°56′17″ E), allowing the irradiated buds to develop and multiply. Following this multiplication and stabilisation phase, the plants were put on elongation/rooting media (Murashige and Skoog media with 30 g/L of sucrose but no growth regulators) for plants to elongate and grow into individual plantlets. Plants identified with serious deformities or low vigour were removed during each of the subculture cycles and in the elongation/rooting phase. Over the stabilisation period, approximately 50% or more of the plantlets produced were removed, resulting in a final population of 5822 plants. Due to the available resources and glasshouse and field space constraints, 728 of the stabilised plantlets and 100 unirradiated Goldfinger controls were supplied to the DAF South Johnstone Research Facility (SJRF) in North Queensland (17°36′12″ S, 145°59′55″ E) for acclimatisation and field evaluation.

2.2. Phase II

2.2.1. Establishment and Maintenance of Field Trials

The tissue culture plantlets were transported to DAF SJRF in two batches (May and July 2017), where they were de-flasked into a sterile vermiculite–perlite–cocopeat (1:1:1) medium for acclimatisation. After three months, they were hardened and ready for field planting at the research facility. The first planting of 351 irradiated plants and 39 control plants was on 13 September 2017 where plants were randomised in five single rows (5.0 × 1.5 m spacing). The controls were arranged systematically to every 10th position down a row from random starting positions, with 7 or 8 controls per row. The irradiated plants were then randomly allocated between the controls. The second planting was on 21 November 2017 alongside the first planting, also using a systematic allocation of the replicated control plants (four rows of 280 irradiated and 32 control plants). Non-systemic fungicide was applied monthly to control foliar disease. Total fertiliser applications approximately equated to 300 kg N/ha/yr and 550 kg K/ha/yr. De-suckering was carried out at 4 months, with follower selection based primarily on the position in the row and those most advanced in development.

2.2.2. Agronomic Evaluation

Plants were examined weekly for bunch emergence. Two weeks following emergence (when all hands were exposed), plant height (from the base of the pseudostem to the peduncle) and girth (at 1 m above the ground) were measured and a rapid finger and hand count was performed to estimate the amount of fruit on each bunch, as per Turner et al. [18].
Light-blue perforated plastic bunch covers impregnated with bifenthrin (FMC, Starbunch® Banana Bags) were used to cover emerged bunches. No bunch trimming or male bud removal was performed to observe the morphological diversity of the irradiated plants.
Bunch harvest occurred when the diameter of the middle finger of the outer whorl on the third proximal hand reached the ¾-full stage (36–39 mm) [13], or once the hang time exceeded the earliest harvested bunch of the same bunch emergence date by 4 weeks. Bunches were harvested at weekly intervals, at which time they were photographed (Panasonic Lumix TZ-110), weighed (kg), and the length of a finger from the first, middle, and n − 1 hand was measured (cm). The second and third proximal hands were rinsed in water, placed into cardboard cartons, and reserved for postharvest assessments. Cartons were stored in a cold room (16 ± 2 °C, >85% RH) for one week prior to ripening.

2.2.3. Postharvest Evaluation

To ripen fruit, Ripegas™ was manually injected into the cold room periodically (every 8–12 h) over a four-day period using the Bactigas™ Auto Handgun, exposing the fruit to 10–20 ppm of ethylene [13,19]. Once the fruit had broken colour, the cartons were removed and placed in the ambient conditions of the laboratory (21.5 ± 4 °C). This was carried out to emulate storage conditions fruit would typically be exposed to after being purchased from a store. In addition, this slightly higher temperature is believed to help changes in fruit colour and firmness occur simultaneously [20]. After 3–4 days under these conditions, the fruit had reached colour stage 6 (all yellow) and was assumed to be in its optimal eating stage.
Postharvest assessments were performed using the middle three fingers from the outer whorl of the second proximal hand. The length, width, girth, and weight of each finger were measured following the INIBAP Technical Guidelines [21]. After completing non-destructive assessments, the peel was removed and the fruit was cut into thirds. A stick blender was used to pulverise the pulp from the bottom third (flower end) of the fruit into a smooth paste. A pulp sample was spooned onto a digital bench-mounted refractometer (Hanna Instruments, HI 96801 Digital Sucrose Refractometer, Belgrade, Serbia) to determine the Total Soluble Solids (TSS, expressed in °Brix) [22]. The middle third of the fruit (15–30 g) was weighed (Shimadzu, BL-620S electronic balance) and then dried at 60 °C until the sample had reached a constant weight. The dry matter content (DM) was expressed as the proportion (%) of dry tissue weight relative to the initial fresh weight. The top third of the fruit was used to assess the titratable acidity (TA) of the variants. Using a Mettler Toledo T50 autotitrator with a DG115-SC pH electrode, 5 g of blended pulp samples were titrated to a pH of 8.2 with 0.1 M of NaOH to obtain the concentration of citric acid (%). Results were converted to malic acid as it is present in slightly higher concentrations and contributes more to the ‘sour’ taste sensation [23]. The fruits’ sugar–acid ratio was calculated according to the following formula and expressed as a pure number [24]:
T o t a l   S o l u b l e   S o l i d s / T i t r a t a b l e   A c i d i t y   r a t i o = T S S   ( ° B r i x ) T A   ( m a l i c   a c i d )
The physiological disorder of ‘finger drop’ (pedicel rupture) was also noted for each variant as it is a characteristic which can reduce marketability [25]. When the fruit was ripe, a cluster from each variant was lifted by the crown end and gently shaken for a few seconds. If the fingers started coming away from cushioning and breaking at the neck, a rating of ‘true’ was given. If there was no evidence of pedicel weakening, the variant was given a rating of ‘false’.

2.2.4. Taste-Testing

Fruit was taste-tested by available staff at the research facility to gauge consumer acceptance. There was a median number of eight participants per session. To avoid taste fatigue, only six pieces of fruit (including a Goldfinger control where available) were involved in each taste-testing session. In 38% of the harvest weeks, 30 or more variants were harvested at once, with up to 48 variants at the peak. This resulted in more fruit than could practically be taste-tested with the relatively small number of participants available. Consequently, variants were prioritised for taste-testing based on the plant having favourable or distinctive agronomic qualities, or if the fruit was rated highly in a screening session which involved one or two researchers vetting the more promising variants. Using fruit from the third hand, samples were prepared by peeling and cutting a 7–8 cm piece of fruit pulp from each of the selected six variants. They were placed on a white ceramic, oblong plate with a three-digit blinding code written above. Samples were randomised on each plate to account for potential order effects or position bias [26]. Volunteers were instructed to bite into the fruit as if they were eating a whole banana and to rinse their mouths out between consecutive samples with the carbonated water supplied [27]. For each piece of fruit tasted, a four-part questionnaire was completed. The first part asked for a rating of the overall eating experience of the fruit on a 9-point hedonic scale (1 = dislike extremely; 9 = like extremely) [13,28]. Next, a ‘Just-About-Right’ (JAR) scale was used to assess the relative sweetness, tartness, firmness, creaminess, and how mucilaginous (slimy/sticky texture) the samples were, similar to Bugaud et al. [29]. The aftertaste was also rated on a 3-point scale of ‘neutral’, ‘pleasant’, or ‘unpleasant’. Each survey was accompanied by a list of definitions to clarify the meaning of these sensory characteristics (Supplementary Table S1). The third section asked if the respondent would choose to purchase the product if it was commercially available (Yes/No) [28], and the final part of the questionnaire was optional and allowed the taster to add their own comments.

2.2.5. Data Analysis and Selecting the Top 20 Variants

A two-sample t-test on the Goldfinger controls grouped by planting date (September or November) was used to determine if the time of year had impacted the agronomic and postharvest attributes. Spatial methods using linear mixed models were then fitted to the agronomic and objective postharvest data obtained from each planting to adjust for field trends [30]. Models with a basic identity correlation structure were compared to first-order autoregressive models and the most appropriate structure for each attribute was fitted. The predicted means from the spatial analysis for the agronomic and objective postharvest attributes (DM, TA, TSS, and TSS/TA ratio) were individually ranked for each variant relative to the Goldfinger control. Differences were declared if the measurement fell beyond ±1 standard error (SEM) of Goldfinger.
Multiple linear regressions were fitted to investigate the relationship between the taste-testing feedback and the objective postharvest attributes. The mean sensory score per fruit was fitted as the response variable and the postharvest measurements as the explanatory variables. Results from the above analyses were taken into consideration when shortlisting the top 20 variants for further evaluation in Phase III of the project. All analyses in this project, apart from the large-scale consumer evaluation, were performed using Genstat for Windows, 22nd edition [31].

2.3. Phase III

2.3.1. Replicating and Assessing the Top 20 Variants

Following the selection of the top 20 variants (referred to as Goldfinger Mutant Selections, GMSs), corm material was dug from the original trial site in September 2019. The cut rhizomes were left to air-dry for several days before being directly field-planted in a newly prepared block at the SJRF. Along with Goldfinger, these 20 variants represented the 21 treatments arranged as a randomised complete block design with 2 replicates and 5 plants per plot. GMS 255 was notably taller than the other selections and, to ensure it did not inhibit the growth of other plants, the two plots of this variant were established in the southern guard row of the block that was otherwise planted with Lady Finger selections. In instances where the prepared material did not survive transplantation, gaps were filled with newly dug suckers and bits in January 2020. Crop management was performed as outlined in Section 2.2.1; however, this time, emerging bunches were injected with a 60 mL acephate solution (65 g of Orthene® Xtra/100 L of water) to control rust thrips (Chaetanaphothrips signipennis) and banana scab moths (Nacoleia octasema). In addition, the male bud was removed upon trimming the false and penultimate hands before covering the bunch with a 40 µm plastic bunch cover.
To validate the assessments made on the original plant crop, agronomic and yield data were collected the same as in Phase II to measure plant height, pseudostem circumference, finger count, time to bunch emergence and harvest, bunch weight, and finger length. Bunches were harvested between July 2020 and January 2021. Again, staff at SJRF tasted the fruit, which was presented as a whole, intact banana finger, each labelled with a randomly generated three-digit code to de-identify the variant. Samples were also randomised between each panellist to ensure they were not being tasted in the same order. The accompanying questionnaire was modified from Phase II and included the 9-point hedonic scale to score their overall eating experience; six JAR questions regarding fruit size, ripeness, tartness, sweetness, firmness, and peelability; a yes/no question asking if they would purchase the fruit if it were commercially available; and an optional free text section where further feedback could be written. For each variant, two to five bunches were included in tasting panels over this six-month period. No more than six samples were tasted in one session and, when available, a Goldfinger control and Lady Finger ‘Dwarf Rossi’ from the guard row of the field trial were included as reference varieties.

2.3.2. Data Analysis and Selecting the Top Five Variants

Analysis of variance (ANOVA) was used to analyse the agronomic and yield variables. Replicate block was fitted as a random term. A linear mixed model was applied to the overall tasting scores, while the binary (Yes/No) purchase intent feedback was analysed using a generalised linear mixed model (GLMM) with a binomial distribution and probit link function. In both the linear mixed model and GLMM, the fixed model comprised a term representing variants and the random model included terms for the tasting date, and survey respondent and variant nested within the tasting date. For all analyses, significance testing was performed at the 0.05 level and Fisher’s protected 95% least significant difference (LSD) was used to make pairwise comparisons. Based on the results from these analyses, five variants were selected to move forward into the large-scale consumer and sensory assessments in Phase IV.

2.4. Phase IV

2.4.1. Nurse-Suckering and Second Agronomic Evaluation

In February 2021, a form of ‘nurse-suckering’ was performed in the trial block to synchronise plant development, as per Lindsay et al. [32], and coordinate fruit availability for large-scale consumer panelling as best as possible. The growing point was gouged out from the side leaving the ‘nurse’ standing while stimulating the development of suckers from its corm. The ratooned plants began bunching in June, and the agronomic characteristics from the first two phases were again repeated on all 20 selections from Phase III, for which the data were analysed in the same manner.

2.4.2. Sensory and Consumer Analysis of Five Goldfinger Selections

Fruit from the best five performing variants (GMSs 144, 521, 544, 903, and 211), along with two reference varieties (Goldfinger and Lady Finger ‘Dwarf Rossi’), was sent to the DAF Health and Food Sciences Precinct (HFSP) in Brisbane (27°33′30″ S, 153°02′41″ E) to be evaluated in a large-scale consumer and detailed sensory analysis. Due to variations in plant cycle times, fruit was not available from all five selections at once, requiring assessments to be performed on two occasions, December 2021 and April 2022. Two to three bunches of each selection were required for the assessments. At harvest, bunches were de-handed and rinsed in water. Damaged fingers were removed, and hands were packed in standard 15 kg cartons lined with a plastic sheet. They were immediately transported to a logistics centre in Tully (a 40 min drive from SJRF) where they were loaded into a refrigerated truck with a commercial banana consignment and transported within 48 h to a commercial ripening facility in Brisbane. The fruit was collected when it had reached colour stage 3–4, after which it was then stored in temperature- and humidity-controlled cabinets (16 °C, >85% RH) until reaching colour stage 6 and becoming ready for assessment. The commercial ripening facility supplied cartons of North Queensland-grown ‘Williams’ Cavendish fruit to include in the consumer and sensory evaluations.
Sensory profiling was conducted at the DAF HFSP by a trained sensory panel of 11 assessors, comprising 3 males and 8 females, with ages ranging from 20 to 64 years. The assessors were selected and trained according to ISO Standard (2012) [33]. Assessors attended eight hours of training, led by a trained panel leader, where they developed and agreed upon 26 sensory attributes (including appearance, aroma, flavour, and texture), as well as definitions and anchors onto which they would rate each sample on a 0–100 unstructured line scale (Supplementary Table S2). Triplicate formal analysis was carried out on a single day to ensure that fruit ripeness was consistent across each of the evaluations. Samples were prepared (cut into 2.5 cm segments, peel on), coded with a three-digit blinding code and presented to assessors in a balanced block design. Assessors were instructed to remove the peel before assessing. Palette cleansers of water and water crackers were provided and instructed to be used between each sample.
Consumer evaluations took place at the same facility in December 2021 and April 2022 with 122 and 112 respondents, respectively, aged between 26 and 55 years. Consumers were recruited through a specialist recruitment agency, and all consented to take part in the research. They were recruited based on their purchase and consumption behaviour (purchase and consume Lady Finger and/or Cavendish bananas weekly), with a cross-section of age and gender. Samples (Table 1) were served whole (peel on) and labelled with three-digit blinding codes. They were served one at a time in a balanced block design. Consumers assessed their liking of external appearance, internal appearance, aroma, texture, flavour, and their overall liking on a 9-point hedonic scale. JAR evaluations were carried out on external colour, visual ripeness, length, width (outer), shape, peel thickness, internal colour, width (inner), firmness, moistness, and sweetness (5-point scale where 1 = far too little, 3 = just about right, and 5 = far too much). The ease of peeling and aroma ripeness were rated on a 5-point scale: ease of peeling (1 = easy, 3 = moderate, and 5 = difficult); aroma ripeness (1 = intense green banana, 3 = sweet with a hint of green banana, and 5 = over-ripe banana).
Sensory and consumer data were captured using EyeQuestion® (version 5.0.7.8 [build 2182]) and analysed using EyeOpenR® software (version 5.0.7.8) [34]. Two-way ANOVA with Tukey’s post hoc analysis was carried out to indicate any statistically significant differences in the data at a 95% confidence level. For the sensory results, Principal Component Analysis (PCA) and agglomerative hierarchical clustering were performed to group samples based on their similarity and describe the dominant attributes characterising the samples in each cluster. In the consumer responses, the frequency distribution of responses was calculated for each product on each of the JAR and 5-point scale attributes.

2.5. Phase V

2.5.1. Third Crop Agronomic Evaluation

The second ratoon agronomic performance for the 20 variants from Phase III was again assessed, as detailed in Section 2.3.1.

2.5.2. Screening for Yellow Sigatoka Resistance

The trial block was nurse-suckered for a second time in late January 2023 to standardise the plant development stage for rating variants against yellow Sigatoka leaf spot. Leaf disease control ceased a few months prior to nurse-suckering to build up inoculum levels and ensure adequate disease pressure. Towards the end of the wetter part of the year, plants were assessed for severity of leaf spot disease on three occasions, at monthly intervals (May–July) leading up to bunching. The assessments were conducted as per Daniells et al. [35] and consisted of determining the Youngest Leaf Spotted (10 or more mature necrotic lesions) (YLS), and the Youngest Leaf with greater than 33% of the leaf lamina destroyed by disease (YL33). The Total number of Functional Leaves (TFL) was recorded if the disease was not present or had not progressed to the >33% necrosis severity level. Leaf Emergence Rates (LER) between the monthly rating intervals were also determined.
For YLS and YL33, means over the three assessments for each individual plant were calculated and then used to obtain the plot mean. A linear mixed model was applied with variety as the fixed effects model and replicate and row within replicate as the random model. All significance testing was performed at the 0.05 level and Fisher’s protected 95% LSD was used to make pairwise comparisons.

3. Results

3.1. Gamma Irradiation

The 50 and 75 Gy treatments were too high and resulted in a 100% plantlet mortality rate. There were high levels of survival in treatments of 10 and 20 Gy and little difference to the control. The 30 and 40 Gy treatments were more lethal doses, with survival at 57.5 and 55.0%, respectively, after two subculture cycles. Up to 50% of the surviving plants could subsequently be multiplied from the 30 Gy treatment, while few of the plants produced from the 40 Gy treatment were able to continue to multiply. It was therefore decided that the rate of 35 Gy would be the most appropriate for maximising mutations of the exposed Goldfinger plantlets while still inducing buds that survived and multiplied.

3.2. Morphological and Organoleptic Diversity Observed in the Goldfinger Variants

The field screening trial in Phase II revealed a substantial amount of morphological diversity throughout the irradiated plants (Figure 1). Using the characterisations outlined by the International Plant Genetic Resources Institute [36], Goldfinger can be described as having a slightly angled, compact bunch producing slightly curved, ridged fruit with a blunt-tipped fruit apex. The irradiation treatment impacted all aspects of the inflorescence, with a bunch angle ranging from vertical and perpendicular to the pseudostem, to horizontal. The curvature of the fruit and its size also varied and ranged from being short and wide with rounded fruit apices (gourd-shaped), to more slender with lengthily pointed ends. There was one bunch which only produced male flowers and had no fruit development altogether. The male bud of Goldfinger is described as a short heart shape with wide shoulders [37]. Variants exhibited an array of differently shaped male buds which had the bracts attached with varying degrees of imbrication, angularity, and retention on the rachis, as well as changes to pigmentation. Distinct pigmentation differences were also observed on the pseudostem and leaf petioles of plants, variably flushed with shades of green, purple, and pink. Leaf habit was altered in some instances, and plants with more erect or drooping leaves contrasted with the more intermediate arrangement of the Goldfinger control.
A two-sample t-test comparing planting dates revealed that the Goldfinger controls in planting 1 (September) statistically differed from the control plants in planting 2 (November) when it came to measures such as cycle time and bunch weight. It was not unexpected for differences to be present between the plantings due to seasonal climatic effects. Given the differences between the two plantings (hereon in referred to as planting 1: P1 and planting 2: P2), each planting is analysed as a separate experiment. Across both planting dates, a number of variants either died before bunch emergence (9.7%), were alive but did not produce a bunch before the completion of the trial (3.6%), developed unfavourable bunch/plant characteristics and no harvest data was collected (10.3%), or developed necrotic blotches on green fruit and were positive for banana streak OL virus (BSOLV, K. Crew pers. comm) (1.6%) (Figure 2). All 71 unirradiated Goldfinger control plants survived and were included in the postharvest assessments.
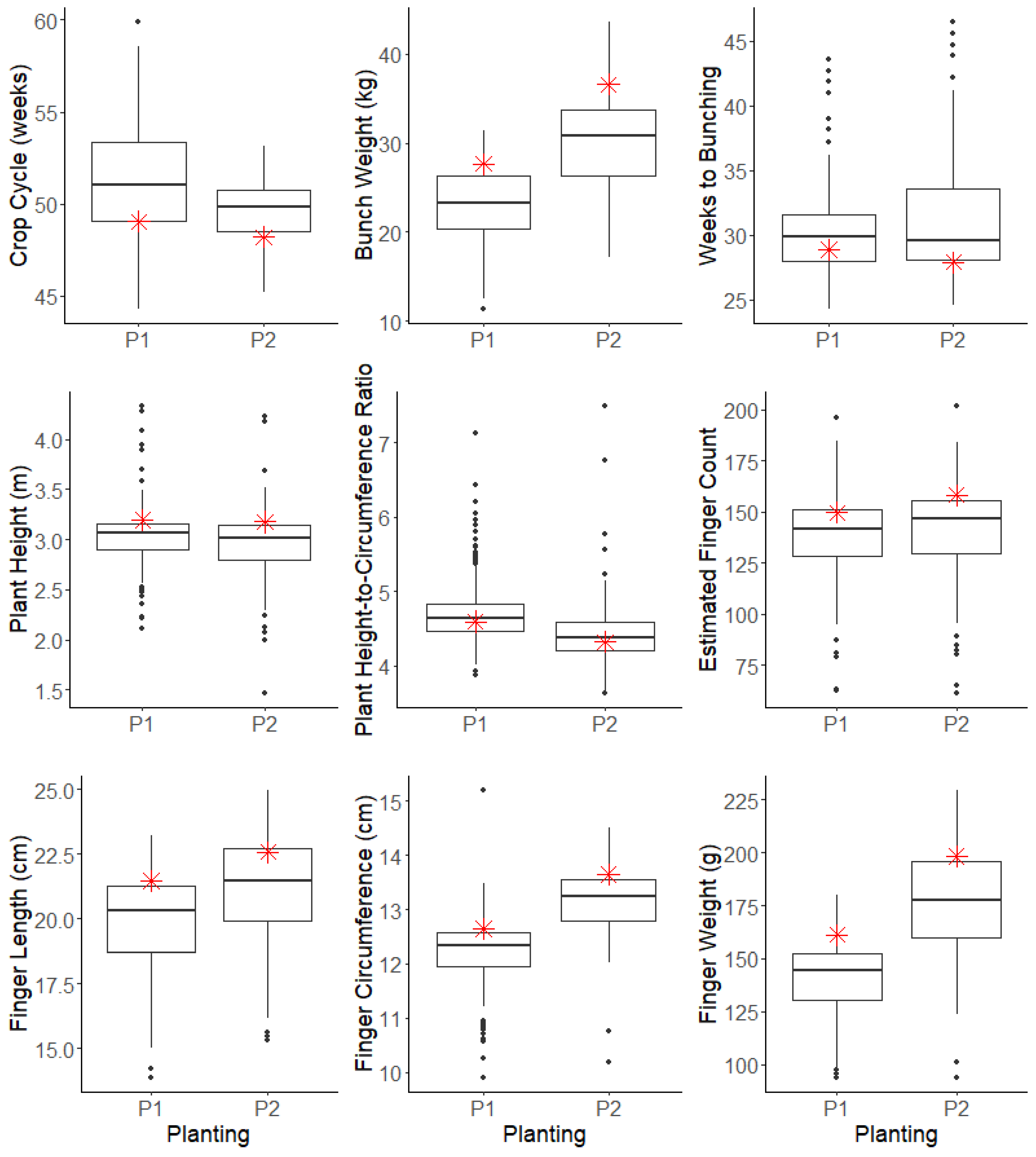
Among the variants which produced a bunch, emergence occurred between 24 and 46 weeks after field planting and 50% had bunched within 30 weeks of being planted (Figure 3). The mean time to the bunching of the unirradiated Goldfinger plants was one week longer in the first planting (P1 = 29 ± 0.2 weeks, P2 = 28 ± 0.3 weeks [mean ± SEM]). The spread of the variants’ crop cycle length was more condensed in P2, strongly influenced by removing any plants not ready for harvest by mid-December 2018, as their late bunch emergence was considered unfavourable for commercial production, as well as trial time constraints. Goldfinger controls in P1 had a planting-to-harvest length of 49 ± 0.4 weeks, slightly longer than those in P2 of 48 ± 0.2 weeks.
Pseudostem height and circumference measurements of the variants revealed considerable variation in relation to standard Goldfinger, which averaged a height of 3.2 m (SEMP1 = 0.05, SEMP2 = 0.04) in both planting dates. Overall, the tallest variant stood at 4.3 m, while the shortest was 1.5 m and the median height was similar in both plantings (P1 = 3.1 m, P2 = 3.0 m). The height-to-circumference ratio of Goldfinger was 4.6 ± 0.02 and 4.3 ± 0.05 in P1 and P2, respectively. In P1, 9% of variants fell within the ±1 SEM limits calculated from the 39 unirradiated Goldfinger control plants, while around half (53%) of the variants had greater pseudostem height-to-circumference ratios, and 38% had lower ratios. A similar spread was observed in the P2 variants: 53% higher, 32% lower, and the remaining 15% comparable to the unirradiated control.
The Goldfinger control bunches from the November planting (P2) were 25% heavier than those from September (P1). While procedures were in place to harvest fruit at a similar stage of maturity each week, it was, on average, harvested slightly fuller from the control plants in P2 (35 ± 0.3 mm vs. 38 ± 0.4 mm on the second proximal hand). There were also more fingers per bunch on Goldfinger control plants from P2 (159 ± 2.5 fingers) compared to P1 (150 ± 3.4 fingers). The smallest bunch recorded among all variants weighed 11.3 kg while the largest was 43.6 kg, with a median weight of 23.3 kg and 30.7 kg in P1 and P2, respectively.
Fruit size was evaluated by measuring the finger length, diameter, circumference, and weight on three fingers from the outer whorl of the second hand. For both planting dates, the majority of the fruit from the variants was smaller than that of the Goldfinger control, which was demonstrated through shorter finger lengths (77% in P1, 69% in P2) and reduced circumferences (74% in P1, 76% in P2) which subsequently weighed less (86% in P1, 73% in P2). The finger drop assessment revealed 74% of variants continued to demonstrate pedicel weakening when ripe, while 24% did not (the remaining 2% were not assessed).
In total, 72% of the 631 variants reached the postharvest assessment stage. DM and TSS were quantified as an indicator of the fruit’s sugar content. The sugar–acid ratio (TSS/TA) can give a clearer indication of the potentially perceived sweetness sensed on the tongue and consumer acceptability [38]. A calibration error with the automatic titrator resulted in the loss of TA data for 27% of the variants involved in the postharvest assessments. Unaffected samples are incorporated into the TSS/TA ratio figure, along with the DM and TSS data (Figure 4). Again, there was a statistical difference between the first and second planting of the Goldfinger controls when it came to fruit sensory characteristics. For example, the TSS score was 20.9 ± 0.15 °Brix in P1 and 22.5 ± 0.10 °Brix in P2. Not all the unirradiated Goldfinger bunches were included in the taste-testing sessions (P1, n = 12; P2, n = 4); however, the survey respondents gave the fruit in P1 a mean score of 1.51 ± 0.04 on the 3-point JAR scale for sweetness, with P2 scoring similarly at 1.67 ± 0.11.
In total, 109 variants and 17 Goldfinger controls were included in 26 taste-testing sessions from July to December 2018, for which the median number of participants per session was eight. A further 291 variants were tasted in the vetting process, equating to 89% of the available variants being tasted by at least one person. The remaining fruit was excluded due to the plant displaying inferior agronomic characteristics and lacking strong commercial prospects. Like the diversity seen in the plants’ agronomic features, there was a considerable amount of variation in the fruits’ organoleptic characteristics. Goldfinger had a mean overall likeness rating of 5.5 ± 0.17; however, that varied from session to session, fluctuating between 4.1 and 6.6. For this reason, the variants were directly compared to the Goldfinger controls in their respective tasting sessions when it came to selecting the top 20 variants (data not presented).
Significant linear regressions were identified between the taste-testing feedback and the objective postharvest measurements of DM, TA, TSS, and the TSS/TA ratio. Although the relationships were statistically significant (p < 0.05), the percentage of variation explained did not exceed 12% and, therefore, is not considered to be of practical importance.
Results from the agronomic, postharvest, and taste-testing assessments identified 20 variants to progress to Phase II. Compromises were made as not all attributes outperformed Goldfinger in every category. In some instances, variants were selected because respondents found the taste to be notably ‘different’ to Goldfinger which warranted further exploration.

3.3. Evaluating the Characteristics of 20 Goldfinger Selections

The subsequent replicated trial of the top 20 selections enabled a more thorough examination of the plants’ agronomic and eating characteristics (Supplementary Table S3 presents the agronomic data of the top 20 selections over three crop cycles). In the plant crop, bunches began emerging from the more established plants in March 2020 and the final harvest occurred in January 2021. Six of the selections (GMSs 144, 126, 417, 521, 544, and 903) had comparable bunch sizes to Goldfinger (27.3 ± 0.86 kg), while those of GMS 366 were significantly larger (33.4 ± 1.98 kg). The smallest bunch weight was from GMS 333 at 14.6 ± 1.27 kg, which was 30% smaller than the bunch observed in the original planting—an example of where the agronomic performance of the second-generation variants differed from the original parent material. When cycle time was accounted for, five of the variants (GMSs 126, 417, 521, 544, and 903) had a similar yield to Goldfinger per annum (27.0 ± 0.56 kg/12 months).
This next generation of material revealed a few undesirable characteristics which had gone undetected in the original selection of top performers. GMS 843 had several plants display severely fused fingers—to the point where whole hands in a bunch were unusable—while GMS 119 had fruit which retained a green tinge upon ripening and was unappealing to the consumer panel. The relatively tall (3.5 ± 0.07 m) and thin (54 ± 0.5 cm) pseudostem of GMS 255 contributed to 2 of the 10 plants snapping before bunch maturity; its brittle pseudostem also made harvesting difficult. Such observations undermine the commercial viability of these variants and make them undesirable candidates to pursue further.
The Lady Finger comparison, ‘Dwarf Rossi’, achieved the highest mean overall likeness rating (6.8 ± 0.28) of all the varieties included in the taste panelling (Figure 5), corresponding with 84% of respondents indicating they would purchase it if it were commercially available (Figure 6). This was closely followed by GMS 544, with an average rating for overall likeness of 6.6 ± 0.60. Several comments were made by respondents that this variant had a nice flavour to it. The Goldfinger control rated poorly (4.7 ± 0.20), with only GMS 255 scoring below it at 3.7 ± 0.56. GMSs 211, 521, 144, and 903 joined GMS 544 in making up the five selections which respondents scored the highest for overall eating experience, and which also scored highly for the question regarding purchase intent. These variants were subsequently put forward for further investigation in the large-scale consumer and sensory evaluation. Only five selections were made due to needing to limit the number of samples sent for large-scale testing. GMS 423 was also rated highly in both survey questions; however, the plant’s cycle time was prolonged and its relatively small bunch weights meant it had a low yield per annum. This, coupled with fruit being unavailable at the correct time for the large-scale consumer and sensory panelling, meant it was not sent to Brisbane for further assessment.
Many of the initial observations in the replicated plant crop continued to present throughout the following nurse-suckered ratoon cycles. After the poor performance of GMS 255 in the plant crop and first ratoon, it was excluded from the second ratoon analysis. Of the remaining 19 selections, 6 of the variants which had produced bunches as large or heavier than Goldfinger in the plant crop had remained comparable in size by the second ratoon (but none yielded higher). Calculated from the date of nurse-suckering which includes the first and second crop cycles, seven of the variants achieved a similar yield per annum to Goldfinger. Four of these variants (GMSs 126, 366, 417, and 903) overlapped with the six that had similar bunch weights, while the other three (GMSs 119, 339 and 521) were assisted by having larger bunches in the first ratoon and slightly faster (but not significantly different) cycle times when compared to Goldfinger.
In the second ratoon, none of the variants were significantly taller than Goldfinger, but seven were shorter by between 8 and 28%. Two variants, GMSs 473 and 211, had height-to-pseudostem circumference ratios larger than Goldfinger, while the ratio for GMS 119 was smaller (meaning the plant had a stouter stature). The average finger length of fruit from the third hand was significantly shorter than Goldfinger for most variants, except for GMSs 126, 366, and 417.
The mature bunches and agronomic characteristics of the five variants selected from the top 20 are presented in Figure 7 and Table 2, respectively. Three of the five selections (GMSs 144, 544, and 903) had comparable bunch weights to Goldfinger in the second ratoon, averaging 34.9 ± 0.94 kg, 34.4 ± 2.47 kg, and 38.6 ± 1.46 kg, respectively. The slightly faster cycle time of GMS 521 (19.9 ± 0.003 months from nurse-suckering to second ratoon harvest), coupled with a heavier average bunch weight in the first ratoon, meant that over the two crop cycles, its average yield of 40.9 ± 0.98 kg/12 months was not significantly different to Goldfinger (46.6 ± 0.89 kg/12 months). Variant 903 was also similar, with yields of 48.5 ± 1.95 kg/12 months. With a 10% reduction in height, GMS 903 was the only one out of the five significantly shorter than Goldfinger (3.8 ± 0.10 m vs. 4.2 ± 0.02 m); however, its height-to-circumference ratio remained proportional to that of Goldfinger. Finger length was measured on the top, third, middle, and bottom hands. Across all categories, the five selections had significantly shorter finger lengths by between 8 and 18%, apart from the top hands of GMSs 544 and 903 which were not significantly different to Goldfinger (data from the third hand are presented in Table 2).

3.4. Sensory and Consumer Analysis of Five Goldfinger Selections

To identify the key differences in fruit appearance, aroma, flavour, and texture, a sensory descriptive analysis created a lexicon of 26 attributes (three appearance, eight aroma, four texture/mouthfeel, nine flavour, and two aftertaste/afterfeel attributes) (Supplementary Table S2). The analysis of appearance highlighted the round shape of the Cavendish and Lady Finger varieties, contrasting with the more oval shape of the remaining samples (Figure 8—Appearance). Goldfinger and GMS 521 displayed uniformly coloured flesh, while GMSs 544, 211, 144, and 903 stood out for their glossy or moist appearance. Distinct aromatic profiles were noted (Figure 8—Aroma). Goldfinger, Lady Finger, and GMS 211 exhibited robust sappy/resinous and sour/citrus aromas, with GMS 211 also carrying a perfumed aroma. Cavendish had an intense aroma overall, dominated by confectionary and musty notes. GMSs 144, 521, 903, and 544 presented milder aromas with hints of confectionary and tropical fruits. Regarding flavour (Figure 8—Flavour), Cavendish displayed sweet, confectionary, and starchy notes, with subtle sour and fruity undertones. Goldfinger and Lady Finger boasted fruity, sour, and sappy/resinous flavours, with Lady Finger notably sweeter than Goldfinger. GMSs 544, 521, 144, and 903 exhibited weaker sappy/resinous and starchy flavours, with overall low flavour persistence. GMS 211 showcased strong sour and fruity flavours, possessing the most intense overall flavour profile with a sappy/resinous note. Distinct texture characteristics were also observed (Figure 8—Texture). Cavendish featured a chalky texture, while Goldfinger and GMS 144 were characterised by soft textures. GMSs 521, 544, and 903 provided a mouth-coating sensation with medium firmness. Lady Finger and GMS 211 were lumpy and astringent, with GMS 211 also displaying a gritty texture.
The consumer analysis results indicate that GMSs 144, 521, 544, and 903 scored at parity with industry-standard bananas, Cavendish and Lady Finger, in terms of flavour, texture, and overall liking (Table 3). Consumers particularly appreciated the sweet and sour balance in these variants. These four selections were preferred over Goldfinger (5.8 ± 0.12), which was not favoured due to its less sweet taste, stronger sappy/resin note, and chalkier texture. GMS 211 scored lower (5.4 ± 0.20) than other samples due to its intense sour and sappy/resin flavour, astringent mouthfeel, and unpleasant lumpy and gritty texture, with a small number of respondents reporting to have found one or two under-developed seeds in the fruit. For appearance, consumers rated Cavendish highest (7.1 ± 0.14), describing it as a “perfect” banana, while GMS 211 scored lowest for external appearance (5.1 ± 0.17), criticised for being too short, wide, and misshapen. Regarding aroma, all samples were liked, with Cavendish and GMSs 521 and 544 scoring the highest (6.7 ± 0.17, 6.5 ± 0.13, and 6.2 ± 0.14, respectively), and GMS 211 scoring the lowest (5.6 ± 0.16). Cavendish had the most familiar banana aroma. In texture, GMS 211 scored significantly lower than others (5.7 ± 0.20), while GMSs 521, 544, 903, and 144 scored at parity with Lady Finger and Cavendish. For flavour, GMSs 521, 544, 144, and 903 scored at parity with Lady Finger and Cavendish, while Goldfinger and GMS 211 scored significantly lower.
The analysis of JAR data, ease-of-peeling, and aroma ripeness (Supplementary Table S4) showed preferences for various aspects including colour, shape, peel, aroma ripeness, firmness, moistness, and sweetness. External colour played a significant role in consumer preference, with Cavendish, Goldfinger, and GMSs 544 and 521 being preferred, with the peel colour reflecting ideal ripeness. On the other hand, GMSs 903, 211, 144, and Lady Finger were described as looking over-ripe by one-third of consumers. Most consumers (>70%) found the internal colour to be just right across all samples. Regarding shape and size, consumers prefer bananas that are curved and of medium size, with Cavendish exhibiting the preferred shape and size. GMS 211 and Lady Finger were considered too small, while Goldfinger was deemed too big. Additionally, one-third of consumers found Goldfinger, Lady Finger, and GMSs 144, 903, 544, 521, and 211 to be too straight. In terms of peel characteristics Cavendish and GMSs 544, 521, and 903 were easy to peel, whereas Goldfinger, Lady Finger, and GMSs 144 and 211 were more difficult. Ideal peel thickness was found in Cavendish, Lady Finger, and GMSs 144, 903, and 211. Whereas Goldfinger and GMSs 521 and 544 had peel that was considered too thick.
Of this consumer cohort, Cavendish is purchased by 96% of participants, and Lady Finger by 50% of participants The findings suggest that individuals consuming both varieties are accustomed to more diverse banana flavour attributes and are, therefore, more accustomed to the slight sourness found in some varieties. Conversely, those exclusively consuming Cavendish tend to be less receptive to such unique flavour profiles. Regular Cavendish consumers favoured GMSs 544, 144, 903, and 521 over Lady Finger, Goldfinger, and GMS 211. Regular Lady Finger consumers favoured Cavendish and GMSs 521, 544, and 903 over GMSs 144 and 211 and Goldfinger.

3.5. Screening for Yellow Sigatoka Resistance

The average YLS of Goldfinger was 6.4 ± 0.32, which was similar to 15 of the 20 mutant selections (Figure 9). GMS 766 was the only selection that demonstrated significantly better resistance to leaf spot, having a YLS of 8.0 ± 0.32, while its YL33 was also almost two leaves more than Goldfinger (11.3 ± 0.59 vs. 9.83 ± 0.59 leaves); however, the latter was not deemed significantly different. On the other end of the spectrum, GMSs 602, 211, 145, and 255 had YLS values of between 5.4 and 4.4, demonstrating they were significantly more susceptible to the disease. GMS 333 also performed poorly in the YL33 ratings, with necrotic lesions covering one-third of the leaf area from leaf 8.0 ± 0.59.
There was no significant difference between the LER for the variants, nor was there any evidence of a significant relationship between LER and the YLS. This suggests disease pressure was not compounded by slow leaf emergence. The dwarf Lady Finger selection ‘Dwarf Rossi’ was not significantly different to Goldfinger in its reaction to yellow Sigatoka.

4. Discussion

The amount of phenotypic and organoleptic variability observed in this study has demonstrated that mutagenesis can further enhance diversity and offer scope for continued improvement for banana varieties with limited commercial potential. This rapid breeding approach assists with overcoming some of the constraints faced by conventional banana breeding programs with regard to low reproductive fertility and the amount of time required from seed to seed in triploid lines [39,40]. It is also difficult to progress further with a tetraploid like Goldfinger using traditional breeding methods, as additional crosses risk diluting the desirable traits inherited from the triploid female parent. Such tetraploids have been described as “dead end” targets of a primary cross by Stover and Buddenhagen [41]. Previous mutation work in Musa spp. has focused on improving agronomic characteristics, like plant height [42,43] and yield [5,44,45], and the disease resistance [46,47] of commercially relevant varieties. While these outcomes were not the primary focus of the present study, the phenotypic variation observed in the initial field planting of 631 variants (Phase II) demonstrates the 35 Gy irradiation treatment was effective in generating a population of Goldfinger mutant lines from which such improved agronomic selections could be made. For example, the plant height-to-circumference ratio can be an indicator of sturdiness. Although Goldfinger is generally considered to be a robust plant with no notable issues with pseudostem snapping or leaning [48], just over one-third of irradiated plants had a lower height-to-circumference ratio, which, in the case of identifying variants with better wind resilience, would be an initial starting pool for further selections.
The early culling performed in vitro was an important step in reducing the amount of plant mortality seen in-field; however, it takes multiple cycles after exposure to gamma irradiation for the full effects to be seen. In tissue culture, plants may initially appear to survive but subsequently do not produce buds or eventually die. Alternatively, plants may start to produce buds which later grow abnormally or the plants which arose from the buds do not continue to multiply. The level of irradiation exposure is a balance of mutation effect, survival, and ability to produce stable buds that develop into plants that multiply. In total, 25.2% of field-planted material did not make it to harvest maturity by the completion of the trial. Along with premature plant death, late bunch emergence, and unmarketable agronomic characteristics, contributing to this was the small percentage of plants which presented with BSOLV symptoms. The genome of some BSV species is integrated into the banana B genome as activatable elements (known as endogenous viral DNA); when activated, the episomal infection can be transmitted through mealybug vectors and vegetative propagation [49,50]. The activation of endogenous sequences is thought to be triggered by stress events, including micropropagation via tissue culture [51]. It has been reported in other FHIA hybrid evaluations over the years [52] and has been found to have a transmission rate of 100% into sucker material shooting from the infected parent [53]; therefore, the plants displaying any BSV symptoms were unsuitable for further progression in the selection process.
It is well established that planting dates can influence the subsequent phenological development of banana plants due to seasonal variations in climatic conditions [54,55]. The two field planting dates in Phase II were two months apart, which was found to have significantly influenced the cycle time and yield of the unirradiated Goldfinger control plants. The slightly fuller fingers on the second proximal hand of the control plants in P2 (38 ± 0.4 mm) compared to P1 (35 ± 0.3 mm) were likely influenced by more rapid fruit filling rates during periods of warmer weather. This brings to light the issue of comparing the productivity of cultivars which have not been grown under the same conditions, as well as the importance of carrying out studies over several ratoon cycles to better gauge plant performance. By making initial comparisons of the variants with the controls from their respective planting dates, and then carrying out a replicated trial originating from sucker material over three more crop cycles, there is greater confidence in the accuracy of the data presented on the mutant selections’ agronomic performance. In addition, ensuring the stability and heritability of genetic changes is an important part of crop breeding programs. In vitro mutagenesis can lead to the formation of chimeras, with plants requiring three to four generations of multiplication to allow for disassociation [56] and the subsequent removal of any abnormal or outlying plants from analysis and further propagation. Tissue culture propagation can now more confidently be used to increase the availability of these selections for further trial work.
It is important to scrutinise commercially important traits and ensure the selected variants are acceptably productive while also appealing to consumer preferences. Early flowering and bunch yield are cited as two important production parameters selected for in banana breeding programs [44], and it is useful to examine both in concert for crops, like bananas, which are ratooned. The average yield per annum over several cycles revealed 12 of the 19 selections (excluding GMS 255) were less productive than Goldfinger by the second ratoon through a combination of smaller bunch weights and/or longer cycle times. This included two of the top four mutant selections. However, upon the commercialisation of any new cultivar, ways to adjust production and management practices to best suit the plant’s behaviour, such as the optimum planting density, harvest criteria, and ripening protocols, need to be explored. Investigative trials on growers’ properties are currently underway to examine the commercial performance of the four Goldfinger selections, which will provide answers to some of these questions. Furthermore, the likely disease resistance offered by an improved Goldfinger selection could help reduce the costs of production while also providing a product that fulfils a market niche sought by more environmentally conscious consumers, as discussed by Roberston and Daniells [15].
As cited earlier, mutation breeding in Musa spp. has largely focused on manipulating agronomic features and disease resistance. No detailed postharvest assessments have been reported in the literature as it was not the targeted change sought and it was likely assumed that fruit quality had remained relatively unaffected. Arranging such a large number of unique variants to be taste-tested was arguably the biggest challenge in this project. Taste panelling is often performed on much smaller sample sizes (e.g., n = 8 [57]; n = 3 [58]); it would be unfeasible and impractical to hire a sensory panel or consumer audience for evaluating each of the 454 variants which made it to the postharvest assessment stage. Although protocols were in place to standardise factors which can influence fruit quality and eating experience—such as fruit maturity at harvest [22], ripening and storage conditions [59], and the stage of ripeness at assessment [23]—the very nature of this work (to increase variation) means that each variant could potentially have a unique set of parameters suited to optimise its fruit quality. As there was only one opportunity to examine each variant, the possibility of overlooking promising candidates was an inherent risk. Despite these limitations, by prioritising fruit from plants with satisfactory agronomic characteristics over poorer performers, or those which had notable phenotypic differences in the bunch or fruit compared to Goldfinger, and by holding screening sessions to remove unpalatable fruit from further group taste-testing, there was success in identifying a selection of variants which satisfy consumer taste preferences. In 2006, a spontaneous mutation was identified in a commercial planting of Goldfinger in New South Wales, Australia. The plant’s relatively small fruit and large bunch size were noteworthy, and the ripened fruit was perceived to have a desirable flavour and texture [60]. This variety is currently marketed as ‘Little Gem®’ through the fresh produce supplier, Perfection Fresh Australia. This discovery emphasises the importance of ensuring a wide diversity of bunch and fruit phenotypes in the taste panelling to capture those which may have linked changes in the fruit’s eating characteristics. A link between altered plant phenotype and eating quality was also investigated by Msogoya and Grout [58]. An off-type selection of a local cooking banana cv. ‘Uganda’ was evaluated for its performance both cooked and ripe; however, in contrast to the case of ‘Litte Gem®’, this new selection was less favoured compared to its popular true-to-type parent.
It was originally postulated that correlations between TSS, TA, or DM and the taste-testing feedback could be used to assist with the retrospective selection of promising variants that were unable to be taste-tested. For example, Bugaud et al. [61] identified some measurable chemical predictors of taste and texture in dessert bananas, while Akankwasa et al. [62] identified some associations between consumer assessments (namely colour and texture) and quantitative instrumental measurements for steamed East African highland bananas. Although statistically significant relationships were identified in the present study, these relationships were weaker than those identified by Bugaud et al. [61] and may not be of practical importance. Therefore, if possible, including a larger number of variants in the taste panelling would be recommended for future work as it remains a critical step in selecting variants which align with consumer preferences.
The findings of the sensory and consumer research highlight the importance of considering sensory attributes and consumer preferences in banana varietal development. In understanding consumer preferences for flavour, texture, appearance, and overall liking, banana producers and marketers can optimise product offerings to meet consumer demand effectively and enhance satisfaction. The four variants (GMSs 144, 521, 544, and 903) that performed well across these categories present opportunities for an improved Goldfinger selection to make its way into commercial production. However, attention should be paid to attributes such as appearance, aroma, and peelability, which also influence consumer perceptions and preferences. As apparent in the data, no sample appeared at the extreme liking end of the 9-point hedonic scale. It is important to note that when assessing food products on any structured line scale, consumers may exhibit a tendency to avoid utilising the extreme ends of the scale due to several underlying factors. Firstly, cognitive biases such as anchoring and central tendency might influence consumers’ perceptions, leading them to lean towards the middle range of the scale as a default response [63]. Additionally, individuals may possess varying degrees of familiarity and experience with the product, in this case, different banana varieties, which could impact their ability to discern differences and as a result limit their willingness to assign extreme ratings [64]. Furthermore, sociocultural influences and personal preferences may shape consumers’ expectations and perceptions, potentially leading them to avoid extreme ratings to conform to perceived norms or avoid perceived social risks associated with unconventional preferences [65]. These psychological and sociocultural dynamics underscore the complex nature present in consumer hedonic evaluations and may warrant further investigation to better understand consumer behaviour in fruit preference assessment.
While Goldfinger has resistance to black Sigatoka, this is not the case for yellow Sigatoka, to which it is better described as having an intermediate reaction [66]. Of particular interest was how the new selections compared to Goldfinger and the possible effect mutagenesis may have had on the plants’ reaction to this disease. This screening work was initially not included in the project; however, observations were made during Phase II (after all bunches had been harvested and leaf spot control had ceased) that some plants appeared more symptomatic than others. The variation among the top 20 selections demonstrates that mutagenesis can significantly change a plant’s level of yellow Sigatoka resistance. This result supports the need to now screen the top four selections to ensure their TR4, SR4, and R1 resistance have not been compromised. Mutation breeding has purportedly been used to introduce tolerance to Fusarium wilt into susceptible varieties [46], so it is plausible that it may also have the opposite effect. Resistance to one strain of Fusarium is not always associated with resistance to another, and it is therefore important to evaluate against them independently. GMSs 144, 521, 544, and 903 were recently planted on two R1-infected farms on the Atherton Tablelands, Queensland, with their disease susceptibility soon to be determined. The outcome of the screening trial will be of major significance to growers in parts of Australia, and the world, where R1 is present but which are not yet impacted by TR4. Making up around 4% of Australian banana production are niche varieties, like Lady Finger and Ducasse (ABB, Pisang Awak), which readily succumb to R1 [2,67]. As the disease continues to spread through the regions where these varieties are grown, farmers are seeking to adopt resistant alternatives to continue production and help secure their livelihoods. Screening the improved selections against TR4 and SR4 is yet to be performed but is a top priority.

5. Conclusions

This is the first banana mutagenesis study that has focused on improving the eating characteristics of a variety, rather than agronomic features or disease resistance. Assessing the consumer acceptability of over 450 mutant plants was a significant challenge, but 4 selections preferred by consumers over the Goldfinger control were able to be identified during this project. Instrumental high-throughput screening is still limited to detecting banana variants which appeal to consumer preferences, leaving taste-testing as an important part of the selection process for now.
The implications of this study reach further than the development of a commercially acceptable Fusarium wilt-resistant banana variety. It has also demonstrated that a huge amount of diversity can be created in both appearance and taste within a relatively short timeframe, highlighting the potential mutagenesis has for other disease-resistant tetraploid banana varieties which have their commercial prospects limited by inferior taste or agronomic qualities.
The relatively rapid development of new plant varieties through biotechnology-facilitated improvements, like mutagenesis, will only become more important in improving crop resilience in the face of a changing climate [68]. Worldwide, more than 3400 mutation-derived plant varieties have contributed to global agriculture production by increasing the yield and quality of the crop [7,69]. One, or all, of the best-performing Goldfinger selections could eventually join the four other registered banana varieties developed through mutagenesis to become a Fusarium wilt-resistant variety with commercially acceptable agronomic and taste qualities.
The next phase of this work is currently underway to confirm that the four selected variants have retained their Fusarium wilt resistance and to further assess their commercial performance across various production regions in Australia. Developing an increased understanding of the underlying genetic changes which have arisen from the mutagenesis treatment is also being pursued through an upcoming collaboration with Murdoch University in Western Australia. This knowledge aims to further assist banana plant improvement endeavours.

Supplementary Materials

The following supporting information can be downloaded at https://www.mdpi.com/article/10.3390/horticulturae10050444/s1: Table S1—Definition of sensory attributes used to describe bananas in the Phase II taste-testing surveys; Table S2—The 26 sensory attributes developed and defined by the trained sensory panel of 11 assessors; Table S3—The plant crop, first and second ratoon agronomic performance of the top 20 Goldfinger Mutant Selections (GMSs); Table S4—The 5-point Just About Right (JAR) responses from consumers across the two evaluations dates, December 2021 and April 2022, expressed as a percentage of respondents (%).

Author Contributions

Conceptualisation, J.D. and S.H.; Methodology, J.D., S.H., K.R., C.W., S.M., I.P. and P.L.; Validation, S.H., J.D., C.W. and S.M.; Formal Analysis, C.W., K.R., S.M. and I.P.; Investigation, S.H., K.R., M.B., J.D., A.B., S.M. and I.P.; Data Curation, S.H., K.R., C.W. and S.M.; Writing—Original Draft Preparation, K.R., S.M. and P.L.; Writing—Review and Editing, J.D., S.H., C.W., P.L. and M.B.; Visualisation, K.R., C.W., J.D., S.M. and P.L.; Supervision, J.D., S.M. and P.L.; Project Administration, J.D., K.R., S.H. and S.M.; Funding Acquisition, J.D. All authors have read and agreed to the published version of the manuscript.

Funding

This project was part of BA14014 (Fusarium wilt Tropical Race 4 research program) and BA16001 (Improved plant protection for the banana industry) funded by Hort Innovation using the banana industry research and development levy and contributions from the Australian Government.

Data Availability Statement

The raw data supporting the conclusions of this article will be made available by the authors on request, subject to approval by all co-owners of the project data.

Acknowledgments

The authors wish to extend their thanks to the many people who have assisted throughout this project: Firstly, Andrew Chen from the University of Queensland for operating the Gammacell 220® Irradiation Unit. The South Johnstone Research Facility farm staff, John Slingo, Matthew Lodge, Trevor Smith, and Jesse Witt, in addition to Roger Goebel and David East for supporting in various aspects of conducting and maintaining the field trials. Daniel Sole and Chitra Raghavan played an important role in the development of the postharvest assessment protocols, while Melanie Commerford, Armajeet Kaur, and James Drinnan assisted greatly when evaluating the original Goldfinger variants. Richard Clayton provided valuable help in arranging the transport of fruit to Brisbane, and Alice Hassal’s involvement during the consumer and sensory study is appreciated. Thanks to Kathy Crew, John Thomas, and Penny Measham for providing feedback on the manuscript during its development. Finally, the guidance and support of Stewart Lindsay throughout the project has been indispensable, and the advocacy of the late Bob Williams to originally include Goldfinger as a contender for mutagenesis will not be forgotten.

Conflicts of Interest

The authors declare no conflicts of interest.

References

  1. Australian Horticulture Statistics Handbook. Fresh Bananas Overview. Hort Innovation. 2024. Available online: https://www.horticulture.com.au/contentassets/a36fdfa2427d4ad284c426663b06f15c/hort-stats-fruit-22-23.pdf (accessed on 21 February 2023).
  2. Pegg, K.G.; Coates, L.M.; O’Neill, W.T.; Turner, D.W. The epidemiology of Fusarium wilt of banana. Front. Plant Sci. 2019, 10, 1395. [Google Scholar] [CrossRef] [PubMed]
  3. Australian Banana Growers Council. Code of Practice for the Management and Control of Panama Disease Tropical Race 4 on an Infested Property in Queensland. Available online: https://abgc.org.au/wp-content/uploads/2024/01/Code-of-Practice-Version-1-10-May-2023.pdf (accessed on 1 February 2024).
  4. Nielsen Consumer LLC. How Households Behaved over the Past Year. Available online: https://www.harvesttohome.net.au/fruitmushroomnuts/what-households-buy/bananas (accessed on 1 February 2024).
  5. Smith, M.K.; Hamill, S.D.; Langdon, P.W.; Giles, J.E.; Doogan, V.J.; Pegg, K.G. Towards the development of a Cavendish banana resistant to race 4 of fusarium wilt: Gamma irradiation of micropropagated Dwarf Parfitt (Musa spp., AAA group, Cavendish subgroup). Aust. J. Exp. Agric. 2006, 46, 107–113. [Google Scholar] [CrossRef][Green Version]
  6. Jankowicz-Cieslak, J.; Mba, C.; Till, B.J. Mutagenesis for Crop Breeding and Functional Genomics. In Biotechnologies for Plant Mutation Breeding; Jankowicz-Cieslak, J., Tai, T.H., Kumlehn, J., Till, B.J., Eds.; Springer Nature: Cham, Switzerland, 2017; pp. 3–18. ISBN 978-3-319-45019-3. [Google Scholar]
  7. International Atomic Energy Agency. Mutant Variety Database. Available online: https://mvd.iaea.org/ (accessed on 25 August 2023).
  8. Rowe, P.; Rosales, F. Diploid Breeding at FHIA and the Development of Goldfinger (FHIA-01). InfoMusa 1993, 2, 9–11. [Google Scholar]
  9. Daniells, J.; Pegg, K.; Searle, C.; Smith, M.; Whiley, T.; Langdon, P.; Bryde, N.; O’Hare, T. Goldfinger in Australia: A banana variety with potential. InfoMusa 1995, 4, 5–6. [Google Scholar]
  10. Pegg, K. Goldfinger: Agronomy and disease resistance. In Proceedings of the First National Banana Industry Congress, Gold Coast, QLD, Australia, 9–12 May 1995; pp. 78–81. [Google Scholar]
  11. Mintoff, S.J.L.; Nguyen, T.V.; Kelly, C.; Cullen, S.; Hearnden, M.; Williams, R.; Daniells, J.W.; Tran-Nguyen, L.T.T. Banana Cultivar Field Screening for Resistance to Fusarium oxysporum f.sp. cubense Tropical Race 4 in the Northern Territory. J. Fungi 2021, 7, 627. [Google Scholar] [CrossRef]
  12. Daniells, J.; Bryde, N. Screening of 143 banana varieties for resistance to yellow Sigatoka in north Queensland. InfoMusa 1999, 8, 15–21. [Google Scholar]
  13. Seberry, J.A.; Harris, D.R. Postharvest evaluation of FHIA-01 and other new banana varieties for subtropical Australia. Acta Hortic. 1998, 490, 537–546. [Google Scholar] [CrossRef]
  14. Daniells, J.W. New and Alternative Banana Varieties Designed to Increase Market Growth; Final Report: BA09041; Horticulture Australia Ltd.: Sydney, Australia, 2011; ISBN 0734126786. [Google Scholar]
  15. Robertson, K.R.; Daniells, J.W. Tailoring ‘Goldfinger’ for improved market prospects. Acta Hortic. 2023, 1367, 277–286. [Google Scholar] [CrossRef]
  16. Murashige, T.; Skoog, F. A Revised Medium for Rapid Growth and Bio Assays with Tobacco Tissue Cultures. Physiol. Plant. 1962, 15, 473–497. [Google Scholar] [CrossRef]
  17. Smith, M.K.; Hamill, S.D.; Langdon, P.W.; Pegg, K.G. Mutation breeding for banana improvement in Australia. In The Improvement and Testing of Musa: A Global Partnership: Proceedings of the 1st Global Conference of the International Musa Testing program, FHIA, Honduras, 27–30 April 1994; Jones, D.R., Ed.; International Network for the Improvement of Banana and Plantain: Montpellier, France; pp. 233–242.
  18. Turner, D.W.; Mulder, J.C.; Daniells, J.W. Fruit numbers of bunches of bananas can be estimated rapidly. Sci. Hortic. 1988, 34, 265–274. [Google Scholar] [CrossRef]
  19. Gutiérrez-Martínez, P.; Avila-Peña, R.C.; Bautista-Baños, S. Ripening response of stored black Sigatoka-resistant banana fruits, to external application of ethylene. J. Appl. Bot. Food Qual. 2010, 83, 118–122. [Google Scholar]
  20. Nunes, C.N.; Yagiz, Y.; Emond, J.-P. Influence of environmental conditions on the quality attributes and shelf-life of ‘Goldfinger’ bananas. Postharvest Biol. Technol. 2013, 86, 309–320. [Google Scholar] [CrossRef]
  21. Dadzie, B.K.; Orchard, J.E. INIBAP Technical Guidelines 2—Routine Post-Harvest Screening of Banana/Plantain Hybrids: Criteria and Methods; International Plant Genetic Resources Institute: Rome, Italy; International Network for the Improvement of Banana and Plantain: Montpellier, France; ACP-EU Technical Centre for Agricultural and Rural Cooperation: Wageningen, The Netherlands, 1997; ISBN 2-910810-22-4. [Google Scholar]
  22. Ahmad, S.; Clarke, B.; Thompson, A.K. Banana harvest maturity and fruit position on the quality of ripe fruit. Ann. Appl. Biol. 2001, 139, 329–335. [Google Scholar] [CrossRef]
  23. Vermeir, S.; Hertog, M.; Vankerschaver, K.; Swennen, R.; Nicolaï, B.M.; Lammertyn, J. Instrumental based flavour characterisation of banana fruit. Food Sci. Technol. 2009, 42, 1647–1653. [Google Scholar] [CrossRef]
  24. The Australian Wine Research Institute. Interconversion of Acidity Units. Available online: https://www.awri.com.au/industry_support/winemaking_resources/frequently_asked_questions/interconversion-of-acidity-units/ (accessed on 5 April 2019).
  25. Imsabai, W.; Kesta, S. The structure and biochemical changes during finger drop in ripening bananas. Thai J. Agric. Sci. 2007, 40, 127–132. [Google Scholar]
  26. Dean, M.L. Presentation order effects in product taste tests. J. Psychol. 1980, 105, 107–110. [Google Scholar] [CrossRef] [PubMed]
  27. Bugaud, C.; Deverge, E.; Daribo, M.-O.; Ribeyre, F.; Fils-Lycaon, B.; Mbéguié-A-Mbéguié, D. Sensory characterisation enabled the first classification of dessert bananas. J. Sci. Food Agric. 2011, 91, 992–1000. [Google Scholar] [CrossRef]
  28. Salvador, A.; Sanz, T.; Fiszman, S.M. Changes in colour and texture and their relationship with eating quality during storage of two different dessert bananas. Postharvest Biol. Technol. 2007, 43, 319–325. [Google Scholar] [CrossRef]
  29. Bugaud, C.; Maraval, I.; Daribo, M.-O.; Leclerc, N.; Salmon, F. Optimal and acceptable levels of sweetness, sourness, firmness, mealiness and banana aroma in dessert banana (Musa sp.). Sci. Hortic. 2016, 211, 399–409. [Google Scholar] [CrossRef]
  30. Payne, R.W. New and traditional methods for the analysis of unreplicated experiments. Crop Sci. 2006, 46, 2476–2481. [Google Scholar] [CrossRef]
  31. VSN International. Genstat for Windows, version 22.1; VSN International: Hemel Hempstead, UK, 2022.
  32. Lindsay, S.J.; Lemin, C.; Campagnolo, D.; Pattison, A.B.; Daniells, J.W.; Peterson, R.; Evans, D.; Pinese, B.; Goebel, R.; Wharton, D.; et al. Tropical Banana Information Kit. Agrilink, Your Growing Guide to Better Farming Guide; Department of Primary Industries, Queensland Horticulture Institute: Brisbane, Australia, 1998. [Google Scholar]
  33. ISO 8586:2012; Sensory Analysis: General Guidelines for the Selection, Training and Monitoring of Selected Assessors and Expert Sensory Assessors. International Organization of Standardization: Geneve, Switzerland, 2012.
  34. EyeQuestion® Software, Version 5.0.7.8 (Build 2182); Qi Statistics Ltd.: Kent, UK, 2020. Available online: https://eyequestion.nl/solutions/analyse/ (accessed on 10 December 2021).
  35. Daniells, J.W.; Peterson, R.A.; Reid, D.J.; Bryde, N.J. Screening of 165 Papua New Guinea banana accessions for resistance to yellow Sigatoka (Mycosphaerella musicola Leach) in North Queensland. Infomusa 1996, 5, 31–34. [Google Scholar]
  36. Descriptors for Banana (Musa spp.); IPGRI-INIBAP & CIRAD. 1996. Available online: https://www.musalit.org/seeMore.php?id=14474 (accessed on 14 February 2024).
  37. Alvarez, J.M.; Rosales, F.E. Identification and Characterization Guide for FHIA Banana and Plantain Hybrids; Bioversity International: Montpellier, France, 2008; p. 9. [Google Scholar]
  38. Jayasena, V.; Cameron, I. Brix/Acid ratio as a predictor of consumer acceptability of crimson seedless table grapes. J. Food Qual. 2008, 31, 736–750. [Google Scholar] [CrossRef]
  39. Khayat, E.; Ortiz, R. Genetics of Important Traits in Musa. In Banana Breeding: Progress and Challenges; CRC Press–Taylor & Francis Group: Boca Raton, FL, USA, 2011; pp. 71–83. [Google Scholar]
  40. Ortiz, R. Conventional Banana and Plantain Breeding. Acta Hortic. 2013, 986, 177–193. [Google Scholar] [CrossRef]
  41. Stover, R.H.; Buddenhagen, I.W. Banana breeding: Polyploidy, disease resistance and productivity. Fruits 1986, 41, 175–191. [Google Scholar]
  42. Ganapathi, T.R.; Sidha, M.; Suprasanna, P.; Ujjappa, K.M.; Bapat, V.A.; D’Souza, S.F. Field Performance and RAPD Analysis of Gamma-Irradiated variants of Banana Cultivar ‘Giant Cavendish’ (AAA). Int. J. Fruit Sci. 2008, 8, 147–159. [Google Scholar] [CrossRef]
  43. Bermúdez-Caraballoso, I.; García, L.R.; Veitía, N.; Torres, D.; Padrón, Y.; Romero, C.; Orellana, P. Mutant plantains (Musa spp.) with height reduction obtained by in vitro mutagenesis. Euphytica 2010, 176, 105–112. [Google Scholar] [CrossRef]
  44. Mak, C.; Ho, Y.W.; Tan, Y.P.; Ibrahim, R. Novaria—A new banana mutant induced by gamma irradiation. Infomusa 1996, 5, 35–36. [Google Scholar]
  45. International Atomic Energy Agency. Plant Breeding and Genetics Laboratory. Available online: https://www.iaea.org/topics/plant-breeding/laboratory (accessed on 13 March 2024).
  46. Bhagwat, B.; Duncan, E.J. Mutation breeding of Highgate (Musa acuminata, AAA) for tolerance to Fusarium oxysporum f. sp. cubense using gamma irradiation. Euphytica 1998, 101, 143–150. [Google Scholar] [CrossRef]
  47. Damasco, O.P.; Dela Cueva, F.M.; Descalsota, J.C.; Tayobong, R.R.P. Gamma Radiation and In Vitro Induced Banana Bunchy Top Virus (BBTV) Resistant Mutant lines of Banana cv. ‘Lakatan’ (Musa sp., AA). Philipp. J. Sci. 2019, 149, 159–173. [Google Scholar] [CrossRef]
  48. Langdon, P.W.; Whiley, A.W.; Mayer, R.J.; Pegg, K.G.; Smith, M.K. The influence of planting density on the production of ‘Goldfinger’ (Musa spp., AAAB) in the subtropics. Sci. Hortic. 2008, 115, 238–243. [Google Scholar] [CrossRef]
  49. Iskra-Caruana, M.-L.; Chabannes, M.; Duroy, P.-O.; Muller, E. A possible scenario for the evolution of Banana streak virus in banana. Virus Res. 2014, 186, 155–162. [Google Scholar] [CrossRef] [PubMed]
  50. Lheureux, F.; Carreel, F.; Jenny, C.; Lockhart, B.E.L.; Iskra-Caruana, M.L. Identification of genetic markers linked to banana streak disease expression in inter-specific Musa hybrids. Theor. Appl. Genet. 2003, 106, 594–598. [Google Scholar] [CrossRef] [PubMed]
  51. Côte, F.X.; Galzi, S.; Folliot, M.; Lamagnère, Y.; Teycheney, P.-Y.; Iskra-Caruana, M.-L. Micropropagation by tissue culture triggers differential expression of infectious endogenous Banana streak virus sequence (eBSV) present in the B genome of natural and synthetic interspecific banana plantains. Mol. Plant Pathol. 2010, 11, 137–144. [Google Scholar] [CrossRef] [PubMed]
  52. Irish, B.M.; Goenaga, R.; Rios, C.; Chavarria-Carvajal, J.; Ploetz, R. Evaluation of banana hybrids for tolerance to black leaf streak (Mycosphaerella fijensis Morelet) in Puerto Rico. J. Crop Prot. 2013, 54, 229–238. [Google Scholar] [CrossRef]
  53. Daniells, J.W.; Geering, A.D.W.; Bryde, N.J.; Thomas, J.E. The effect of Banana streak virus on the growth and yield of dessert bananas in tropical Australia. Ann. Appl. Biol. 2001, 139, 51–60. [Google Scholar] [CrossRef]
  54. Turner, D.W.; Hunt, N. Planting Date and Defoliation Influence the Time of Harvest of Bananas. Sci. Hortic. 1987, 32, 233–248. [Google Scholar] [CrossRef]
  55. Stover, R.H.; Simmonds, N.W. Bananas, 3rd ed.; Longman Scientific & Technical–John Wiley & Sons, Inc.: New York, NY, USA, 1987. [Google Scholar]
  56. Subrahmanyeswari, T.; Gantait, S. Biotechnology of banana (Musa spp.): Multi-dimensional progress and prospect of in vitro-mediated system. Appl. Microbiol. Biotechnol. 2022, 106, 3923–3947. [Google Scholar] [CrossRef] [PubMed]
  57. Ahmad, S.; Nasir, M.A.; Hussain, Z.; Anwar, R.; Thompson, A.K. Effect of fruit size and temperature on the shelf life and quality of ripe banana fruit. Sarhad J. Agric. 2007, 23, 45–54. [Google Scholar]
  58. Msogoya, T.J.; Grout, B.W.W. Altered fruit eating quality in tissue culture derived off-type banana (Musa spp.). J. Appl. Biosci. 2012, 49, 3388–3393. [Google Scholar]
  59. Lobo, M.G.; González, M.; Peña, A.; Marrero, A. Effects of Ethylene Exposure Temperature on Shelf Life, Composition and Quality of Artificially Ripened Bananas (Musa acuminata AAA, cv. ‘Dwarf Cavendish’). Food Sci. Technol. Int. 2005, 11, 99–105. [Google Scholar] [CrossRef]
  60. IP Australia. Plant Varieties Journal (Quarter Four 2010, Volume 23, Issue 4). Available online: https://www.ipaustralia.gov.au/tools-and-research/professional-resources/ip-rights-journals/~/-/media/Project/IPA/IPAustralia/PDF/PBR-Journals/Volume-23-Number-4.pdf (accessed on 8 February 2024).
  61. Bugaud, C.; Cazevieille, P.; Daribo, M.-O.; Telle, M.; Julianus, P.; Fils-Lycaon, B.; Mbéguié-A-Mbéguié, D. Rheological and chemical predictors of texture and taste in dessert banana (Musa spp.). Postharvest Biol. Technol. 2013, 84, 1–8. [Google Scholar] [CrossRef]
  62. Akankwasa, K.; Marimo, P.; Bouniol, A.; Tumuhimbise, R.; Asasira, M.; Kisakye, S.; Khakasa, E.; Tinyiro, E.; Mukasa, Y.; Tukashaba, L.; et al. Analysis of association of sensory and laboratory assessments for quality and consumer acceptability of steamed East Africa highland bananas. J. Sci. Food Agric. 2023, 1–13. [Google Scholar] [CrossRef] [PubMed]
  63. Neumann, N.; Böckenholt, U.; Sinha, A. A Meta-analysis of Extremeness Aversion. J. Consum. Psychol. 2016, 26, 193–212. [Google Scholar] [CrossRef]
  64. Sharif, M.K.; Butt, M.S.; Sharif, H.R.; Nasir, M. Sensory Evaluation and Consumer Acceptability. In Handbook of Food Science and Technology; Zahoor, T., Farooq, M.S., Eds.; University of Agriculture: Faisalabad, Pakistan, 2017; pp. 361–386. [Google Scholar]
  65. Simonson, I.; Sela, A.; Sood, S. Preference-construction habits: The case of extremeness aversion. J. Assoc. Consum. Res. 2017, 2, 322–332. [Google Scholar] [CrossRef]
  66. Daniells, J.W.; Davis, R.; Peterson, R.; Pegg, K. Goldfinger: Not as resistant to Sigatoka/yellow Sigatoka as first thought. Infomusa 1995, 4, 6. [Google Scholar]
  67. Australian Banana Growers Council. Our Industry. Available online: https://abgc.org.au/our-industry/ (accessed on 30 August 2023).
  68. Ortiz, R.; Swennen, R. From crossbreeding to biotechnology-facilitated improvement of banana and plantain. Biotechnol. Adv. 2014, 32, 158–169. [Google Scholar] [CrossRef]
  69. Ahloowalia, B.S.; Maluszynski, M.; Nichterlein, K. Global impact of mutation-derived varieties. Euphytica 2004, 135, 187–204. [Google Scholar] [CrossRef]
Figure 1. A sample of plants from Phase II which demonstrate the variation observed in features such as the bunch and fruit features (top and second row), male bud (third row), pseudostem and petiole pigmentation, and plant height and leaf habit (bottom row). As a comparison, an unirradiated Goldfinger control is outlined with a thick, orange border and featured to the left of the irradiated variants.
Figure 1. A sample of plants from Phase II which demonstrate the variation observed in features such as the bunch and fruit features (top and second row), male bud (third row), pseudostem and petiole pigmentation, and plant height and leaf habit (bottom row). As a comparison, an unirradiated Goldfinger control is outlined with a thick, orange border and featured to the left of the irradiated variants.
Horticulturae 10 00444 g001
Figure 2. Necrotic blotches on the fruit peel, attributed to infection by banana streak OL virus (BSOLV).
Figure 2. Necrotic blotches on the fruit peel, attributed to infection by banana streak OL virus (BSOLV).
Horticulturae 10 00444 g002
Figure 3. Boxplots of the observed agronomic diversity of the variants. P1 = September planting, P2 = November planting. Goldfinger mean depicted as the symbol Horticulturae 10 00444 i001.
Figure 3. Boxplots of the observed agronomic diversity of the variants. P1 = September planting, P2 = November planting. Goldfinger mean depicted as the symbol Horticulturae 10 00444 i001.
Horticulturae 10 00444 g003
Figure 4. Boxplots of the observed variation in the assessed fruit quality parameters (DM, TSS, and sugar–acid ratio (TSS/TA)). P1 = September planting, P2 = November planting. Goldfinger mean depicted as the symbol Horticulturae 10 00444 i002.
Figure 4. Boxplots of the observed variation in the assessed fruit quality parameters (DM, TSS, and sugar–acid ratio (TSS/TA)). P1 = September planting, P2 = November planting. Goldfinger mean depicted as the symbol Horticulturae 10 00444 i002.
Horticulturae 10 00444 g004
Figure 5. The mean overall score for the eating experience of each variety, evaluated on a hedonic scale of 1 (dislike extremely) to 9 (like extremely). The error bars display the standard error of the mean. The two control varieties, Goldfinger and Lady Finger, are differentiated with a patterned fill. Variants which are significantly different to Goldfinger are depicted by the symbol *, while those significantly different to Lady Finger are depicted by the symbol ^.
Figure 5. The mean overall score for the eating experience of each variety, evaluated on a hedonic scale of 1 (dislike extremely) to 9 (like extremely). The error bars display the standard error of the mean. The two control varieties, Goldfinger and Lady Finger, are differentiated with a patterned fill. Variants which are significantly different to Goldfinger are depicted by the symbol *, while those significantly different to Lady Finger are depicted by the symbol ^.
Horticulturae 10 00444 g005
Figure 6. The percentage of respondents who answered ‘yes’ to the question “If this product was commercially available would you choose to purchase it? (Yes/No)”. The error bars display ±1 standard error of the mean. The two control varieties, Goldfinger and Lady Finger, are differentiated with a patterned fill. Variants which are significantly different to Goldfinger are depicted by the symbol *, while those significantly different to Lady Finger are depicted by the symbol ^.
Figure 6. The percentage of respondents who answered ‘yes’ to the question “If this product was commercially available would you choose to purchase it? (Yes/No)”. The error bars display ±1 standard error of the mean. The two control varieties, Goldfinger and Lady Finger, are differentiated with a patterned fill. Variants which are significantly different to Goldfinger are depicted by the symbol *, while those significantly different to Lady Finger are depicted by the symbol ^.
Horticulturae 10 00444 g006
Figure 7. The bunches of the five Goldfinger Mutant Selections (GMSs), along with a Goldfinger control, that were identified during Phase III to progress into large-scale consumer and detailed sensory evaluations.
Figure 7. The bunches of the five Goldfinger Mutant Selections (GMSs), along with a Goldfinger control, that were identified during Phase III to progress into large-scale consumer and detailed sensory evaluations.
Horticulturae 10 00444 g007
Figure 8. Principal Component Analysis (PCA) biplots of the sensory attributes (appearance, aroma, flavour, and texture) for Cavendish, Lady Finger, Goldfinger, and the top 5 Goldfinger mutant selections for principal components 1 (PC1) and 2 (PC2).
Figure 8. Principal Component Analysis (PCA) biplots of the sensory attributes (appearance, aroma, flavour, and texture) for Cavendish, Lady Finger, Goldfinger, and the top 5 Goldfinger mutant selections for principal components 1 (PC1) and 2 (PC2).
Horticulturae 10 00444 g008
Figure 9. The Youngest Leaf Spotted (YLS) with 10 or more yellow Sigatoka lesions on the top 20 Goldfinger Mutant Selections. The error bars depict ±1 standard error, and variants which are significantly different to Goldfinger are denoted by the symbol *. The two control varieties, Goldfinger and the Lady Finger selection ‘Dwarf Rossi’, are differentiated with a patterned fill.
Figure 9. The Youngest Leaf Spotted (YLS) with 10 or more yellow Sigatoka lesions on the top 20 Goldfinger Mutant Selections. The error bars depict ±1 standard error, and variants which are significantly different to Goldfinger are denoted by the symbol *. The two control varieties, Goldfinger and the Lady Finger selection ‘Dwarf Rossi’, are differentiated with a patterned fill.
Horticulturae 10 00444 g009
Table 1. Sample serving plan of varieties by date.
Table 1. Sample serving plan of varieties by date.
Testing Month and YearVarietyTrained Sensory PanelConsumer Panel
December 2021GMS 903
GMS 144
GMS 521
GMS 544
Goldfinger
Lady Finger
Cavendishx
April 2022GMS 211
Goldfinger
Lady Finger
Cavendish
Table 2. The plant crop, first and second ratoon agronomic performance of the top five Goldfinger Mutant Selections (GMSs). Significant differences to Goldfinger (α = 0.05) are depicted by the symbol *. The first and second ratoon data were collected after the plant crop had been nurse-suckered.
Table 2. The plant crop, first and second ratoon agronomic performance of the top five Goldfinger Mutant Selections (GMSs). Significant differences to Goldfinger (α = 0.05) are depicted by the symbol *. The first and second ratoon data were collected after the plant crop had been nurse-suckered.
VariantPlanting to Harvest 1 (Months)Bunch wt 2 (kg)Bunch wt/12 Months 3,4,5Pseudostem Height (m)Height–
Circum. Ratio
Fingers/
Bunch
3rd hand
Finger Length (cm)
Plant Crop
GMS 14412.423.022.3 *2.84.413220.8 *
GMS 21113.9 *21.8 *18.9 *3.24.312518.7 *
GMS 52113.2 *28.225.72.94.213820.8 *
GMS 54412.124.724.53.04.413920.6 *
GMS 90312.127.527.32.94.0153 *21.6 *
Goldfinger12.227.327.03.14.212924.0
First Ratoon
GMS 14410.530.4 *34.9 *3.3 *3.915821.8 *
GMS 21113.028.9 *26.9 *3.64.115019.8 *
GMS 52110.333.5 *39.23.53.815822.3 *
GMS 54410.431.4 *36.6 *3.53.915121.6 *
GMS 90310.242.249.83.3 *3.6 *182 *24.0
Goldfinger11.140.644.93.64.015324.4
Second Ratoon
GMS 14420.434.938.6 *4.04.220821.6 *
GMS 21124.1 *21.8 *26.2 *4.14.4 *15717.0 *
GMS 52119.933.7 *40.94.04.119620.3 *
GMS 54420.434.439.2 *4.04.318621.5 *
GMS 90320.238.648.53.8 *3.9222 *22.1 *
Goldfinger21.239.546.64.24.118024.3
1 For the first and second ratoon, this is calculated from the date of nurse-suckering. 2 Excludes stalk weight. 3 Bunch wt/12 months for Plant Crop = (bunch weight [kg]/time from planting to harvest [days]) × 365. 4 Bunch wt/12 months for First Ratoon = (bunch weight [kg]/time from nurse-suckering to harvest [days]) × 365. 5 Bunch wt/12 months for Second Ratoon = ((first ratoon bunch weight [kg] + second ratoon bunch weight [kg])/time from nurse-suckering to second ratoon harvest [days]) × 365.
Table 3. The mean rating for the overall likeness, flavour, aroma, texture, and external appearance of each variety, evaluated on a hedonic scale of 1 (dislike extremely) to 9 (like extremely). Varieties with the same letter are not statistically different at a 95% confidence level.
Table 3. The mean rating for the overall likeness, flavour, aroma, texture, and external appearance of each variety, evaluated on a hedonic scale of 1 (dislike extremely) to 9 (like extremely). Varieties with the same letter are not statistically different at a 95% confidence level.
VarietyOverall
Liking
FlavourAromaTextureExternal
Appearance
GMS 1446.4 ab6.7 a6.1 bcd6.6 a5.7 b
GMS 2115.4 c5.6 b5.6 d5.7 b5.1 c
GMS 5216.6 a6.7 a6.5 ab6.8 a5.7 b
GMS 5446.6 a6.7 a6.2 abc6.7 a5.4 bc
GMS 9036.5 a6.6 a6.1 bc6.7 a5.8 b
Goldfinger5.8 bc6.0 b6.1 bc6.4 a5.8 b
Lady Finger6.5 a6.8 a5.8 cd6.8 a5.3 bc
Cavendish6.7 a6.6 a6.7 a6.8 a7.1 a
Disclaimer/Publisher’s Note: The statements, opinions and data contained in all publications are solely those of the individual author(s) and contributor(s) and not of MDPI and/or the editor(s). MDPI and/or the editor(s) disclaim responsibility for any injury to people or property resulting from any ideas, methods, instructions or products referred to in the content.

Share and Cite

MDPI and ACS Style

Robertson, K.; Hamill, S.; Wright, C.; Bianco, M.; Balsom, A.; Moller, S.; Pramanik, I.; Lyons, P.; Daniells, J. Using Mutation Breeding to Improve the Eating Characteristics of the Fusarium Wilt-Resistant Banana Variety, ‘Goldfinger’ (AAAB). Horticulturae 2024, 10, 444. https://doi.org/10.3390/horticulturae10050444

AMA Style

Robertson K, Hamill S, Wright C, Bianco M, Balsom A, Moller S, Pramanik I, Lyons P, Daniells J. Using Mutation Breeding to Improve the Eating Characteristics of the Fusarium Wilt-Resistant Banana Variety, ‘Goldfinger’ (AAAB). Horticulturae. 2024; 10(5):444. https://doi.org/10.3390/horticulturae10050444

Chicago/Turabian Style

Robertson, Katelyn, Sharon Hamill, Carole Wright, Massimo Bianco, Ashley Balsom, Simoné Moller, Ishita Pramanik, Philippa Lyons, and Jeff Daniells. 2024. "Using Mutation Breeding to Improve the Eating Characteristics of the Fusarium Wilt-Resistant Banana Variety, ‘Goldfinger’ (AAAB)" Horticulturae 10, no. 5: 444. https://doi.org/10.3390/horticulturae10050444

APA Style

Robertson, K., Hamill, S., Wright, C., Bianco, M., Balsom, A., Moller, S., Pramanik, I., Lyons, P., & Daniells, J. (2024). Using Mutation Breeding to Improve the Eating Characteristics of the Fusarium Wilt-Resistant Banana Variety, ‘Goldfinger’ (AAAB). Horticulturae, 10(5), 444. https://doi.org/10.3390/horticulturae10050444

Note that from the first issue of 2016, this journal uses article numbers instead of page numbers. See further details here.

Article Metrics

Back to TopTop