Population Genetic Characteristics of the Cultivated Coffea arabica with Whole-Genome Resequencing
Abstract
1. Introduction
2. Materials and Methods
2.1. Material and Total DNA Extraction
2.2. Library Preparation and Sequencing
2.3. Quality Control and Alignment
2.4. Variation Detection and Annotation
2.5. Principal Component Analysis (PCA)
2.6. SNPs-Based Phylogenetic Tree
2.7. Population Genetic Structure and Genetic Diversity Analysis
2.8. Selective Sweep Analysis
3. Results
3.1. Resequencing 61 C. arabica Accessions
3.2. Identification, Characterization and Annotation of SNPs and InDels
3.3. Population Structure Analysis
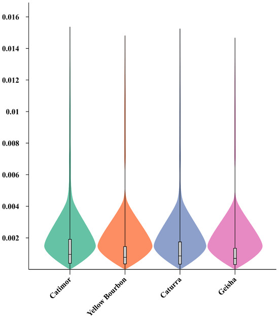
3.4. Genetic Diversity and Linkage Disequilibrium Analysis
3.5. Detection of Selective Signatures in Four Cultivated Arabica Coffee Populations
4. Discussion
4.1. Whole-Genome Resequencing Analysis of C. arabica Cultivars
4.2. Genetic Structure Analysis
4.3. Selection Signal Analysis
5. Conclusions
Supplementary Materials
Author Contributions
Funding
Data Availability Statement
Conflicts of Interest
References
- Davis, A.P.; Govaerts, R.; Bridson, D.M.; Stoffelen, P. An annotated taxonomic conspectus of the genus Coffea (Rubiaceae). Bot. J. Linn. Soc. 2006, 152, 465–512. [Google Scholar] [CrossRef]
- Catelani, T.A.; Santos, J.R.; Páscoa, R.; Pezza, L.; Pezza, H.R.; Lopes, J.A. Real-time monitoring of a coffee roasting process with near infrared spectroscopy using multivariate statistical analysis: A feasibility study. Talanta 2018, 179, 292–299. [Google Scholar] [CrossRef] [PubMed]
- Tian, H.; Zhou, T.; Huang, Z.; Wang, J.; Cheng, H.; Yang, Y. Integration of spent coffee grounds valorization for co-production of biodiesel and activated carbon: An energy and techno-economic case assessment in China. J. Clean. Prod. 2021, 324, 129187. [Google Scholar] [CrossRef]
- Davis, A.P.; Tosh, J.; Ruch, N.; Fay, M.F. Growing coffee: Psilanthus (Rubiaceae) subsumed on the basis of molecular and morphological data; Implications for the size, morphology, distribution and evolutionary history of Coffea. Bot. J. Linn. Soc. 2011, 167, 357–377. [Google Scholar] [CrossRef]
- Philippe, L.; Benoít, B.; Hervé, E. Breeding Coffee (Coffea arabica) for Sustainable Production. In Breeding Plantation Tree Crops: Tropical Species; Jain, S.M., Priyadarshan, P.M., Eds.; Springer: New York, NY, USA, 2009; Volume 14, pp. 525–543. [Google Scholar]
- Labouisse, J.; Bellachew, B.; Kotecha, S.; Bertrand, B. Current status of coffee (Coffea arabica L.) genetic resources in Ethiopia: Implications for conservation. Genet. Resour. Crop. Evol. 2008, 55, 1079–1093. [Google Scholar] [CrossRef]
- Maurin, O.; Davis, A.P.; Chester, M.; Mvungi, E.F.; Jaufeerally-Fakim, Y.; Fay, M.F. Towards a Phylogeny for Coffea (Rubiaceae): Identifying well-supported lineages based on nuclear and plastid DNA sequences. Ann. Bot. 2007, 100, 1565–1583. [Google Scholar] [CrossRef]
- Cong, S.; Dong, W.; Zhao, J.; Hu, R.; Long, Y.; Chi, X. Characterization of the Lipid Oxidation Process of Robusta Green Coffee Beans and Shelf Life Prediction during Accelerated Storage. Molecules 2020, 25, 1157. [Google Scholar] [CrossRef]
- Tran, H.T.M.; Vargas, C.A.C.; Slade Lee, L.; Furtado, A.; Smyth, H.; Henry, R. Variation in bean morphology and biochemical composition measured in different genetic groups of arabica coffee (Coffea arabica L.). Tree Genet. Genomes 2017, 13, 54. [Google Scholar] [CrossRef]
- Benti, T. Progress in Arabica Coffee Breeding in Ethiopia: Achievements, Challenges and Prospects. Int. J. Sci. Basic. Appl. Res. 2017, 33, 15–25. [Google Scholar]
- Scalabrin, S.; Toniutti, L.; Di Gaspero, G.; Scaglione, D.; Magris, G.; Vidotto, M.; Pinosio, S.; Cattonaro, F.; Magni, F.; Jurman, I.; et al. A single polyploidization event at the origin of the tetraploid genome of Coffea arabica is responsible for the extremely low genetic variation in wild and cultivated germplasm. Sci. Rep. 2020, 10, 4642. [Google Scholar] [CrossRef]
- Maluf, M.; Silvestrini, M.; Ruggiero, L.; Guerreiro Filho, O.; Colombo, C. Genetic diversity of cultivated Coffea arabica inbred lines assessed by RAPD, AFLP and SSR marker systems. Sci. Agric. 2005, 62, 366–373. [Google Scholar] [CrossRef]
- Al-Murish, T.; Elshafei, A.; Al-Doss, A.; Doss, A.; Barakat, M. Genetic diversity of coffee (Coffea arabica L.) in Yemen via SRAP, TRAP and SSR markers. J. Food Agric. Environ. 2013, 1111, 411–416. [Google Scholar]
- Moncada, P.; Mccouch, S. Simple sequence repeat diversity in diploid and tetraploid Coffea species. Genome 2004, 47, 501–509. [Google Scholar] [CrossRef] [PubMed]
- Anthony, F.; Combes, M.; Astorga, C.; Bertrand, B.; Graziosi, G.; Lashermes, P. The origin of cultivated Coffea arabica L. varieties revealed by AFLP and SSR markers. Theor. Appl. Genet. 2002, 104, 894–900. [Google Scholar] [CrossRef]
- Sera, T.; Ruas, P.; Ruas, C.; Diniz, L.; Paula, C.; Rampim, L.; Ruas, E.; Silveira, S. Genetic polymorphism among 14 elite Coffea arabica L. cultivars using RAPD markers associated with restriction digestion. Genet. Mol. Biol. 2003, 26, 59–64. [Google Scholar] [CrossRef]
- Salojärvi, J.; Rambani, A.; Yu, Z.; Guyot, R.; Strickler, S.; Lepelley, M.; Wang, C.; Rajaraman, S.; Rastas, P.; Zheng, C.; et al. The genome and population genomics of allopolyploid Coffea arabica reveal the diversification history of modern coffee cultivars. Nat. Genet. 2024, 56, 721–731. [Google Scholar] [CrossRef]
- Lashermes, P. Achieving Sustainable Cultvation of Coffee: Breeding and Quality Traits, 1st ed.; Cambridge Burleigh Dodds Science Publishing Limited: Cambridge, UK, 2018; pp. 14–32. [Google Scholar]
- Van Treuren, R.; van Hintum, T.J.L. Next-generation genebanking: Plant genetic resources management and utilization in the sequencing era. Plant Genet. Resour. 2014, 12, 298–307. [Google Scholar] [CrossRef]
- Jiang, Z.; Wang, H.; Michal, J.J.; Zhou, X.; Liu, B.; Woods, L.C.; Fuchs, R.A. Genome Wide Sampling Sequencing for SNP Genotyping: Methods, Challenges and Future Development. Int. J. Biol. Sci. 2016, 12, 100–108. [Google Scholar] [CrossRef]
- Gramazio, P.; Yan, H.; Hasing, T.; Vilanova, S.; Prohens, J.; Bombarely, A. Whole-Genome Resequencing of Seven Eggplant (Solanum melongena) and One Wild Relative (S. incanum) Accessions Provides New Insights and Breeding Tools for Eggplant Enhancement. Front. Plant Sci. 2019, 10, 1220. [Google Scholar] [CrossRef]
- Huq, M.; Akter, S.; Nou, I.; Kim, H.; Jung, Y.J.; Kang, K. Identification of functional SNPs in genes and their effects on plant phenotypes. J. Plant Biotechnol. 2016, 43, 1–11. [Google Scholar] [CrossRef]
- Tanaka, N.; Shenton, M.; Kawahara, Y.; Kumagai, M.; Sakai, H.; Kanamori, H.; Yonemaru, J.; Fukuoka, S.; Sugimoto, K.; Ishimoto, M.; et al. Whole-Genome Sequencing of the NARO World Rice Core Collection (WRC) as the Basis for Diversity and Association Studies. Plant Cell Physiol. 2020, 61, 922–932. [Google Scholar] [CrossRef] [PubMed]
- An, Y.; Mi, X.; Zhao, S.; Guo, R.; Xia, X.; Liu, S.; Wei, C. Revealing Distinctions in Genetic Diversity and Adaptive Evolution Between Two Varieties of Camellia sinensis by Whole-Genome Resequencing. Front. Plant Sci. 2020, 11, 603819. [Google Scholar] [CrossRef] [PubMed]
- Li, L.; Zhang, C.; Huang, J.; Liu, Q.; Wei, H.; Wang, H.; Liu, G.; Gu, L.; Yu, S. Genomic analyses reveal the genetic basis of early maturity and identification of loci and candidate genes in upland cotton (Gossypium hirsutum L.). Plant Biotechnol. J. 2021, 19, 109–123. [Google Scholar] [CrossRef] [PubMed]
- Huang, L.; Wang, X.; Dong, Y.; Long, Y.; Hao, C.; Yan, L.; Shi, T. Resequencing 93 accessions of coffee unveils independent and parallel selection during Coffea species divergence. Plant Mol. Biol. 2020, 103, 51–61. [Google Scholar] [CrossRef]
- Aboul-Maaty, N.A.; Oraby, H.A. Extraction of high-quality genomic DNA from different plant orders applying a modified CTAB-based method. Bull. Natl. Res. Cent. 2019, 43, 25. [Google Scholar] [CrossRef]
- Chen, S.; Zhou, Y.; Chen, Y.; Gu, J. fastp: An ultra-fast all-in-one FASTQ preprocessor. Bioinformatics 2018, 34, i884–i890. [Google Scholar] [CrossRef]
- Jung, Y.; Han, D. BWA-MEME: BWA-MEM emulated with a machine learning approach. Bioinformatics 2022, 38, 2404–2413. [Google Scholar] [CrossRef]
- Mckenna, A.; Hanna, M.; Banks, E.; Sivachenko, A.; Cibulskis, K.; Kernytsky, A.; Garimella, K.; Altshuler, D.; Gabriel, S.; Daly, M.; et al. The Genome Analysis Toolkit: A MapReduce framework for analyzing next-generation DNA sequencing data. Genome Res. 2010, 20, 1297–1303. [Google Scholar] [CrossRef]
- Wang, K.; Li, M.; Hakonarson, H. ANNOVAR: Functional annotation of genetic variants from high-throughput sequencing data. Nucleic Acids Res. 2010, 38, e164. [Google Scholar] [CrossRef]
- He, W.; Xu, L.; Wang, J.; Yue, Z.; Jing, Y.; Tai, S.; Yang, J.; Fang, X. VCF2PCACluster: A simple, fast and memory-efficient tool for principal component analysis of tens of millions of SNPs. Bmc Bioinform. 2024, 25, 173. [Google Scholar] [CrossRef]
- Price, M.N.; Dehal, P.S.; Arkin, A.P. FastTree 2—Approximately maximum-likelihood trees for large alignments. PLoS ONE 2010, 5, e9490. [Google Scholar] [CrossRef] [PubMed]
- Zhou, H.; Alexander, D.; Lange, K. A quasi-Newton acceleration for high-dimensional optimization algorithms. Stat. Comput. 2011, 21, 261–273. [Google Scholar] [CrossRef] [PubMed]
- Danecek, P.; Auton, A.; Abecasis, G.; Albers, C.A.; Banks, E.; Depristo, M.A.; Handsaker, R.E.; Lunter, G.; Marth, G.T.; Sherry, S.T.; et al. The variant call format and VCFtools. Bioinformatics 2011, 27, 2156–2158. [Google Scholar] [CrossRef]
- Pavlopoulos, G.A.; Oulas, A.; Iacucci, E.; Sifrim, A.; Moreau, Y.; Schneider, R.; Aerts, J.; Iliopoulos, I. Unraveling genomic variation from next generation sequencing data. BioData Min. 2013, 6, 13. [Google Scholar] [CrossRef]
- Mekbib, Y.; Tesfaye, K.; Dong, X.; Saina, J.K.; Hu, G.; Wang, Q. Whole-genome resequencing of Coffea arabica L. (Rubiaceae) genotypes identify SNP and unravels distinct groups showing a strong geographical pattern. Bmc Plant Biol. 2022, 22, 69. [Google Scholar] [CrossRef]
- Wu, T.; Hu, E.; Xu, S.; Chen, M.; Guo, P.; Dai, Z.; Feng, T.; Zhou, L.; Tang, W.; Zhan, L.; et al. clusterProfiler 4.0: A universal enrichment tool for interpreting omics data. Innovation 2021, 2, 100141. [Google Scholar] [CrossRef]
- Gomes, S.; Martins-Lopes, P.; Lopes, J.; Guedes-Pinto, H. Assessing Genetic Diversity in Olea europaea L. Using ISSR and SSR Markers. Plant Mol. Biol. Rep. 2009, 27, 365–373. [Google Scholar] [CrossRef]
- Díaz, A.; De la Rosa, R.; Martín, A.; Rallo, P. Development, characterization and inheritance of new microsatellites in olive (Olea europaea L.) and evaluation of their usefulness in cultivar identification and genetic relationship studies. Tree Genet. Genomes 2006, 2, 165–175. [Google Scholar] [CrossRef]
- Hansson, B.; Westerberg, L. On the correlation between heterozygosity and fitness in natural populations. Mol. Ecol. 2002, 11, 2467–2474. [Google Scholar] [CrossRef]
- Aga, E.; Bekele, E.; Bryngelsson, T. Inter-simple sequence repeat (ISSR) variation in forest coffee trees (Coffea arabica L.) populations from Ethiopia. Genetica 2005, 124, 213–221. [Google Scholar] [CrossRef]
- Zhang, C.; Dong, S.S.; Xu, J.Y.; He, W.M.; Yang, T.L. PopLDdecay: A fast and effective tool for linkage disequilibrium decay analysis based on variant call format files. Bioinformatics 2019, 35, 1786–1788. [Google Scholar] [CrossRef] [PubMed]
- Aerts, R.; Berecha, G.; Gijbels, P.; Hundera, K.; Van Glabeke, S.; Vandepitte, K.; Muys, B.; Roldán-Ruiz, I.; Honnay, O. Genetic variation and risks of introgression in the wild Coffea arabica gene pool in south-western Ethiopian montane rainforests. Evol. Appl. 2013, 6, 243–252. [Google Scholar] [CrossRef] [PubMed]
- Kuhner, M.K.; Felsenstein, J. A simulation comparison of phylogeny algorithms under equal and unequal evolutionary rates. Mol. Biol. Evol. 1994, 11, 459–468. [Google Scholar] [PubMed]
- Zhao, Y.; Ning, Y.; Zhang, F.; Ding, M.; Wen, Y.; Shi, L.; Wang, K.; Lu, M.; Sun, J.; Wu, M.; et al. PCA-based GRS analysis enhances the effectiveness for genetic correlation detection. Brief. Bioinform. 2019, 20, 2291–2298. [Google Scholar] [CrossRef]
- Machmoum, M.; Boujenane, I.; Azelhak, R.; Badaoui, B.; Petit, D.; Piro, M. Genetic Diversity and Population Structure of Arabian Horse Populations Using Microsatellite Markers. J. Equine Vet. Sci. 2020, 93, 103200. [Google Scholar] [CrossRef]
- Tajima, F. Statistical method for testing the neutral mutation hypothesis by DNA polymorphism. Genetics 1989, 123, 585–595. [Google Scholar] [CrossRef]
- Weir, B.S.; Cockerham, C.C. Estimating F-Statistics for the Analysis of Population Structure. Evolution 1984, 38, 1358–1370. [Google Scholar] [CrossRef]
- Nei, M.; Li, W.H. Mathematical model for studying genetic variation in terms of restriction endonucleases. Proc. Natl. Acad. Sci. USA 1979, 76, 5269–5273. [Google Scholar] [CrossRef]
- Flint-Garcia, S.A.; Thornsberry, J.M.; Buckler, E.T. Structure of linkage disequilibrium in plants. Annu. Rev. Plant Biol. 2003, 54, 357–374. [Google Scholar] [CrossRef]
- Deyoung, B.J.; Innes, R.W. Plant NBS-LRR proteins in pathogen sensing and host defense. Nat. Immunol. 2006, 7, 1243–1249. [Google Scholar] [CrossRef]
- Meyers, B.C.; Kozik, A.; Griego, A.; Kuang, H.; Michelmore, R.W. Genome-wide analysis of NBS-LRR-encoding genes in Arabidopsis. Plant Cell 2003, 15, 809–834. [Google Scholar] [CrossRef]








| Pop ID | Obs_Het | Exp_Het | Pi |
|---|---|---|---|
| Catimor | 0.42138 | 0.28019 | 0.001618 |
| Yellow Bourbon | 0.34137 | 0.26358 | 0.001451 |
| Caturra | 0.32156 | 0.22821 | 0.001404 |
| Geisha | 0.31512 | 0.21858 | 0.001161 |
Disclaimer/Publisher’s Note: The statements, opinions and data contained in all publications are solely those of the individual author(s) and contributor(s) and not of MDPI and/or the editor(s). MDPI and/or the editor(s) disclaim responsibility for any injury to people or property resulting from any ideas, methods, instructions or products referred to in the content. |
© 2024 by the authors. Licensee MDPI, Basel, Switzerland. This article is an open access article distributed under the terms and conditions of the Creative Commons Attribution (CC BY) license (https://creativecommons.org/licenses/by/4.0/).
Share and Cite
Zhang, Q.; Ma, D.; Yang, Y.; Hu, F.; Fu, X.; Li, G.; Zhang, X.; Wang, N.; Liu, D.; Wu, R.; et al. Population Genetic Characteristics of the Cultivated Coffea arabica with Whole-Genome Resequencing. Horticulturae 2024, 10, 1153. https://doi.org/10.3390/horticulturae10111153
Zhang Q, Ma D, Yang Y, Hu F, Fu X, Li G, Zhang X, Wang N, Liu D, Wu R, et al. Population Genetic Characteristics of the Cultivated Coffea arabica with Whole-Genome Resequencing. Horticulturae. 2024; 10(11):1153. https://doi.org/10.3390/horticulturae10111153
Chicago/Turabian StyleZhang, Qin, Dongxiao Ma, Yang Yang, Faguang Hu, Xingfei Fu, Guiping Li, Xiaofang Zhang, Na Wang, Dexin Liu, Ruirui Wu, and et al. 2024. "Population Genetic Characteristics of the Cultivated Coffea arabica with Whole-Genome Resequencing" Horticulturae 10, no. 11: 1153. https://doi.org/10.3390/horticulturae10111153
APA StyleZhang, Q., Ma, D., Yang, Y., Hu, F., Fu, X., Li, G., Zhang, X., Wang, N., Liu, D., Wu, R., Bi, X., Lou, Y., Li, Y., Yu, H., Yan, W., & Li, Y. (2024). Population Genetic Characteristics of the Cultivated Coffea arabica with Whole-Genome Resequencing. Horticulturae, 10(11), 1153. https://doi.org/10.3390/horticulturae10111153

