Physical Ripening Indices Improve the Assessment of Mechanical Harvesting Time for Olive Cultivars Resistant to Xylella fastidiosa subsp. pauca
Abstract
1. Introduction
2. Materials and Methods
2.1. Experimental Design
2.2. Physical Ripening Indices
2.3. Statistical Analysis
2.4. Climatic Pattern
3. Results and Discussion
3.1. ‘Fs-17’
3.2. ‘Leccino’
3.3. ‘Frantoio’
3.4. ‘Cipressino’
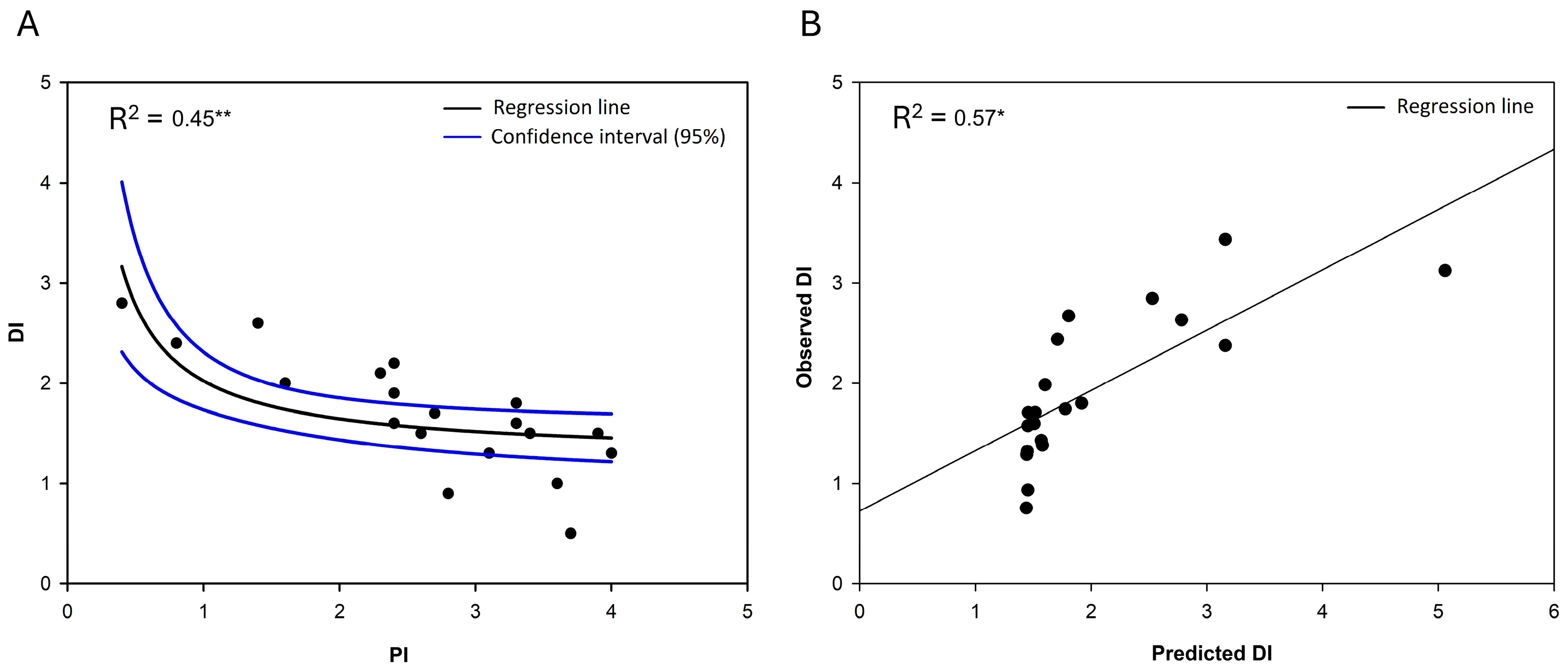
3.5. Relation Between Parameters
4. Conclusions
Supplementary Materials
Author Contributions
Funding
Data Availability Statement
Acknowledgments
Conflicts of Interest
References
- Giampetruzzi, A.; Morelli, M.; Saponari, M.; Loconsole, G.; Chiumenti, M.; Boscia, D.; Savino, V.; Martelli, G.P.; Saldarelli, P. Transcriptome profiling of two olive cultivars in response to infection by the CoDiRO strain of Xylella fastidiosa subsp. pauca. BMC Genom. 2016, 17, 475. [Google Scholar] [CrossRef] [PubMed]
- Saponari, M.; Loconsole, G.; Cornara, D.; Yokomi, R.K.; De Stradis, A.; Boscia, D.; Bosco, D.; Martelli, G.P.; Krugner, R.; Porcelli, F. Infectivity and transmission of Xylella fastidiosa by Philaenus spumarius (Hemiptera: Aphrophoridae) in Apulia, Italy. J. Econ. Entomol. 2014, 107, 1316–1319. [Google Scholar] [CrossRef] [PubMed]
- Garofalo, S.P.; Giannico, V.; Costanza, L.; Alhajj Ali, S.; Camposeo, S.; Lopriore, G.; Pedrero Salcedo, F.; Vivaldi, G.A. Prediction of Stem Water Potential in Olive Orchards Using High-Resolution Planet Satellite Images and Machine Learning Techniques. Agronomy 2024, 14, 1. [Google Scholar] [CrossRef]
- Costanza, L.; Maldera, F.; Garofalo, S.P.; Vivaldi, G.A.; Camposeo, S. Ecological optima show the potential diffusion of minor tree crops in Xylella fastidiosa subsp. pauca-infected areas through a GIS-based approach. Front. Agron. 2024, 6, 1421627. [Google Scholar] [CrossRef]
- Medda, S.; Fadda, A.; Mulas, M. Influence of Climate Change on Metabolism and Biological Characteristics in Perennial Woody Fruit Crops in the Mediterranean Environment. Horticulturae 2022, 8, 273. [Google Scholar] [CrossRef]
- Garofalo, S.P.; Intrigliolo, D.S.; Camposeo, S.; Alhajj Ali, S.; Tedone, L.; Lopriore, G.; De Mastro, G.; Vivaldi, G.A. Agronomic Responses of Grapevines to an Irrigation Scheduling Approach Based on Continuous Monitoring of Soil Water Content. Agronomy 2023, 13, 2821. [Google Scholar] [CrossRef]
- Baù, A.; Delbianco, A.; Stancanelli, G.; Tramontini, S. Susceptibility of Olea europaea L. varieties to Xylella fastidiosa subsp. pauca ST53: Systematic literature search up to 24 March 2017. EFSA J. 2017, 15, 4772. [Google Scholar] [CrossRef]
- Available online: https://burp.regione.puglia.it/documents/20135/2470544/DET_48_3_5_2024.pdf/d498e6e8-31a7-812d-791f-23a911a943b7?version=1.0&t=1715264053967 (accessed on 2 September 2024).
- Sperandio, G.; Biocca, M.; Fedrizzi, M.; Toscano, P. Economic and technical features of different levels of mechanization in olive harvesting. Chem. Eng. Trans. 2017, 58, 853–858. [Google Scholar] [CrossRef]
- Gucci, R.; Caruso, G.; Canale, A.; Loni, A.; Raspi, A.; Urbani, S.; Taticchi, A.; Esposto, S.; Servili, M. Qualitative Changes of Olive Oils Obtained from Fruits Damaged by Bactrocera oleae (Rossi). HortScience Horts 2012, 47, 301–306. [Google Scholar] [CrossRef]
- Vossen, P.M.; Connell, J.H.; Kreuger, W.H.; Klonsky, K.M.; Livingston, P. Sample Costs to Establish a Super-High Density Olive Orchard and Produce Olive Oil; University of California, Department of Agricultural and Resource Economics, Cooperative Extension: Davis, CA, USA, 2017. [Google Scholar]
- Connor, D.J.; Gómez-del-Campo, M.; Rousseaux, M.C.; Searles, P.S. Structure, management and productivity of hedgerow olive orchards: A review. Sci. Hortic. 2014, 169, 71–93. [Google Scholar] [CrossRef]
- Gomez-del-Campo, M.; Connor, D.J.; Trentacoste, E.R. Long-term Effect of Intra-Row Spacing on Growth and Productivity of Super-High Density Hedgerow Olive Orchards (cv. Arbequina). Front. Plant Sci. 2017, 8, 1790. [Google Scholar] [CrossRef] [PubMed]
- Maldera, F.; Carone, V.; Castellarnau, I.I.; Vivaldi, G.A.; Camposeo, S. Available PAR, Growth and Yield of a Super High-Density Almond Orchard Are Influenced by Different Row Orientations. Agronomy 2023, 13, 874. [Google Scholar] [CrossRef]
- Montesinos, Á.; Maldera, F.; Thorp, G.T.; Rubio-Cabetas, M.J. Scion–Rootstock Combination Determines Pruning Responses in Young Almond Trees. HortScience 2024, 59, 1–7. [Google Scholar] [CrossRef]
- Tous, J.; Romero, A.; Hermoso, J.F. New trends in olive orchard design for continuous mechanical harvesting. Adv. Hortic. Sci. 2010, 24, 43–52. [Google Scholar]
- Sola-Guirado, R.R.; Aragon-Rodriguez, F.; Castro-Garcia, S.; Gil-Ribes, J. The Vibration Behaviour of Hedgerow Olive Trees in Response to Mechanical Harvesting with Straddle Harvester. Biosyst. Eng. 2019, 184, 81–89. [Google Scholar] [CrossRef]
- Lavee, S. Integrated mechanical, chemical and horticultural methodologies for harvesting of oil olives and the potential interaction with different growing systems. A general review. Adv. Hortic. Sci. 2010, 24, 5–15. [Google Scholar]
- Visco, T.; Molfese, M.; Cipolletti, M.; Corradetti, R.; Tombesi, A. The influence of vibration applied to the trunk and to the branches of different sized olive trees on the efficiency of mechanical harvesting. Acta Hortic. 2008, 791, 438–735. [Google Scholar] [CrossRef]
- Visco, T.; Molfese, M.; Cipolletti, M.; Corradetti, R.; Tombesi, A. The influence of variety and harvesting period on the efficiency of mechanical harvesting of adult olive trees in Abruzzo, Italy. Acta Hortic. 2008, 791, 431–434. [Google Scholar] [CrossRef]
- Allalout, A.; Krichene, D.; Methenni, K.; Taamalli, A.; Daoud, D.; Zarrouk, M. Behaviour of super-intensive Spanish and Greek olive cultivars grown in Northern Tunisia. J. Food Biochem. 2011, 35, 27–43. [Google Scholar] [CrossRef]
- Benito, M.; Lasa, J.M.; Gracia, P.; Oria, R.; Abenoza, M.; Varona, L.; Sànchez-Gimeno, A.C. Olive oil quality and ripening in super-high-density Arbequina orchard. J. Sci. Food Agric. 2013, 93, 2207–2220. [Google Scholar] [CrossRef]
- Lazzez, A.; Perri, E.; Caravita, M.A.; Khlif, M.; Cossentini, M. Influence of olive maturity stage and geographical origin on some minor components in virgin olive oil of the Chemlali variety. J. Agric. Food Chem. 2008, 56, 982–988. [Google Scholar] [CrossRef] [PubMed]
- Morales-Sillero, A.; García, J.M. Impact assessment of mechanical harvest on fruit physiology and consequences on oil physicochemical and sensory quality from ‘Manzanilla de Sevilla’ and ‘Manzanilla Cacereña’ super-high-density hedgerows. A preliminary study. J. Sci. Food Agric. 2015, 95, 2445–2453. [Google Scholar] [CrossRef] [PubMed]
- Alowaiesh, B.; Singh, Z.; Fang, Z.; Kailis, S.G. Harvest time impacts the fatty acid compositions, phenolic compounds and sensory attributes of Frantoio and Manzanilla olive oil. Sci. Hortic. 2018, 234, 74–80. [Google Scholar] [CrossRef]
- Rufat, J.; Romero-Aroca, A.J.; Arbones, A.; Villar, J.M.; Hermoso, J.F.; Pascual, M. Mechanical harvesting and irrigation strategy responses on ‘arbequina’ olive oil quality. HortTechnology 2018, 28, 607–614. [Google Scholar] [CrossRef]
- Beltran, G.; Del Rio, C.; Sanchez, S.; Martinez, L. Seasonal changes in olive fruit characteristics and oil accumulation during ripening process. J. Sci. Food Agric. 2004, 84, 1783–1790. [Google Scholar] [CrossRef]
- Beltran, G.; Del Rio, C.; Sanchez, S.; Martinez, L. Influence of harvest date and crop yield on the fatty acid composition of virgin olive oils from cv. Picual. J. Agric. Food Chem. 2004, 52, 3434–3440. [Google Scholar] [CrossRef]
- Criado, M.N.; Motilva, M.J.; Goni, M.; Romero, M.P. Comparative study of the effect of the maturation process of the olive fruit on the chlorophyll and carotenoid fractions of drupes and virgin oils from Arbequina and Fraga cultivars. Food Chem. 2007, 100, 748–755. [Google Scholar] [CrossRef]
- Migliorini, M.; Cherubini, C.; Mugelli, M.; Gianni, G.; Trapani, S.; Zanoni, B. Relationship between the oil and sugar content in olive oil fruits from Moraiolo and Leccino cultivars during ripening. Sci. Hortic. 2011, 129, 919–921. [Google Scholar] [CrossRef]
- Camposeo, S.; Vivaldi, G.A.; Montemurro, C.; Fanelli, V.; Cunill Canal, M. Lecciana, a New Low-Vigour Olive Cultivar Suitable for Super High-Density Orchards and for Nutraceutical EVOO Production. Agronomy 2021, 11, 2154. [Google Scholar] [CrossRef]
- Rallo, L.; Barranco, D.; Castro-Gacía, S.; Connor, D.J.; Gómez del Campo, M.; Rallo, P. High-density olive plantations. Hortic. Rev. 2013, 41, 303–382. [Google Scholar] [CrossRef]
- Morello, J.R.; Romero, M.P.; Motilva, M.J. Effect of the maturation process of the olive fruit on the phenolic fraction of drupes and oils from Arbequina, Farga and Morrut cultivars. J. Agric. Food Chem. 2004, 52, 6002–6009. [Google Scholar] [CrossRef] [PubMed]
- Gamlı, Ö.F.; Eker, T. Determination of harvest time of Gemlik olive cultivars by using physical and chemical properties. J. Food Meas. Charact. 2017, 11, 2022–2030. [Google Scholar] [CrossRef]
- Crisosto, C.H. Stone fruit maturity indices: A descriptive review. Postharvest News Inf. 1994, 5, 65–68. [Google Scholar]
- Lavee, S.; Avidan, B.; Ben-Tal, Y. Effect of fruit size and yield on fruit removal- force within and between olive cultivars. Sci. Hortic. 1982, 17, 27–32. [Google Scholar] [CrossRef]
- Tombesi, A. Physiological and mechanical advances in olive harvesting. Acta Hortic. 1990, 286, 399–412. [Google Scholar] [CrossRef]
- Barranco, D.; de Toro, C.C.; Oriq, M.; Rapoport, H.F. Monopotassium phosphate (PO4H2K) for olive fruit abscission. Acta Hortic. 2002, 586, 263–266. [Google Scholar] [CrossRef]
- Farinelli, D.; Tombesi, S.; Famiani, F.; Tombesi, A. The Fruit Detachment Force/Fruit Weight Ratio Can Be Used to Predict the Harvesting Yield and the Efficiency of Trunk Shakers on Mechanically Harvested Olives. Acta Hortic. 2012, 965, 61–64. [Google Scholar] [CrossRef]
- Li, P.; Lee, S.H.; Hsu, H.Y. Review on Fruit Harvesting Method for Potential Use of Automatic Fruit Harvesting Systems. Procedia Eng. 2011, 23, 351–366. [Google Scholar] [CrossRef]
- Camposeo, S.; Vivaldi, G.A.; Gattullo, C.E. Ripening indices and harvesting times of different olive cultivars for continuous harvest. Sci. Hortic. 2013, 151, 1–10. [Google Scholar] [CrossRef]
- Mafrica, R.; Piscopo, A.; De Bruno, A.; Poiana, M. Effects of Climate on Fruit Growth and Development on Olive Oil Quality in Cultivar Carolea. Agriculture 2021, 11, 147. [Google Scholar] [CrossRef]
- Pérez-Ruiz, M.; Rallo, P.; Jiménez, M.R.; Garrido-Izard, M.; Suárez, M.P.; Casanova, L.; Valero, C.; Martínez-Guanter, J.; Morales-Sillero, A. Evaluation of over-the-row harvester damage in a super-high-density olive orchard using on-board sensing techniques. Sensors 2018, 18, 1242. [Google Scholar] [CrossRef] [PubMed]
- Di Vaio, C.; Nocerino, S.; Paduano, A.; Sacchi, R. Influence of Some Environmental Factors on Drupe Maturation and Olive Oil Composition. J. Sci. Food Agric. 2013, 93, 1134–1139. [Google Scholar] [CrossRef] [PubMed]
- Ortenzi, L.; Figorilli, S.; Costa, C.; Pallottino, F.; Violino, S.; Pagano, M.; Imperi, G.; Manganiello, R.; Lanza, B.; Antonucci, F. A Machine Vision Rapid Method to Determine the Ripeness Degree of Olive Lots. Sensors 2021, 21, 2940. [Google Scholar] [CrossRef] [PubMed]
- Licausi, E.; Rotondi, A.; Magli, M. Monitoring of Atmospheric Temperatures in Emilia Romagna Region, a New Approach to Estimate the Jaén Index. Acta Hortic. 2011, 924, 55–62. [Google Scholar] [CrossRef]
- Fontanazza, G.; Baldoni, L.; Corona, C. Osservazioni sull’impiego di portainnesti clonali negli olivi “Ascolana tenera” e “Giarraffa”. Riv. Frutticol. 1992, 11, 65–69. [Google Scholar]
- Rallo, L.; Barranco, D.; de la Rosa, R.; León, L. ‘Chiquitita’ olive. HortScience 2008, 43, 529–531. [Google Scholar] [CrossRef]
- Avidan, B.; Birger, R.; Abed-El-Hadi, F.; Salmon, O.; Hekster, O.; Friedman, Y.; Lavee, S. Adopting vigorous olive cultivars to high density hedgerow cultivation by soil applications of uniconazol, a gibberellin synthesis inhibitor. Span. J. Agric. Res. 2011, 9, 821–830. [Google Scholar] [CrossRef]
- Tombesi, S.; Poni, S.; Palliotti, A.; Farinelli, D. Mechanical vibration transmission and harvesting effectiveness is affected by the presence of branch suckers in olive trees. Biosyst. Eng. 2017, 158, 1–9. [Google Scholar] [CrossRef]
- Leporini, M.; Loizzo, M.R.; Tenuta, M.C.; Falco, T.; Sicari, V.; Pellicanò, T.M.; Tundis, R. Calabrian extra-virgin olive oil from Frantoio cultivar: Chemical composition and health properties. Emir. J. Food Agric. 2018, 30, 631–637. [Google Scholar]
- Lo Verde, G.; Perricone, G.; La Mantia, T. Effects of different windbreaks on Arthropods population and bioagronomic characteristics on Sicilian citrus orchard. Firenze University Press. Ital. J. For. Mt. Environ. 2002, 57, 390–408. [Google Scholar]
- Savoia, M.A.; Fanelli, V.; Miazzi, M.M.; Taranto, F.; Procino, S.; Susca, L.; Montilon, V.; Potere, O.; Nigro, F.; Montemurro, C. Apulian Autochthonous Olive Germplasm: A Promising Resource to Restore Cultivation in Xylella fastidiosa-Infected Areas. Agriculture 2023, 13, 1746. [Google Scholar] [CrossRef]
- Sanz-Cortés, F.; Martinez-Calvo, J.; Badenes, M.L.; Bleiholder, H.; Hack, H.; Llácer, G.; Meier, U. Phenological growth stages of olive trees (Olea europaea). Ann. Appl. Biol. 2002, 140, 151–157. [Google Scholar] [CrossRef]
- Soil Classification Portal. 2024. Available online: https://www.fao.org/soils-portal/data-hub/soil-classification/en/ (accessed on 5 October 2024).
- Research Unit for Climatology and Meteorology Applied to Agriculture. 2024. Available online: https://va.mite.gov.it/it-IT/DatiEStrumenti/MetadatoStrato/c46d78db-46d1-354f-b0fc-6ba2269ec47d (accessed on 5 October 2024).
- Castellano, J.M.; Garcia, J.M.; Morilla, A.; Perdiguero, S.; Gutierrez, F. Quality of Picual olive fruits stored under controlled atmospheres. J. Agric. Food Chem. 1993, 41, 537–539. [Google Scholar] [CrossRef]
- Diarte, C.; Iglesias, A.; Graell, J.; Lara, I. Firmness and Cell Wall Changes during Maturation of ‘Arbequina’ Olive Fruit: The Impact of Irrigation. Horticulturae 2022, 8, 872. [Google Scholar] [CrossRef]
- Morales-Sillero, A.; Rallo, P.; Jiménez, M.R.; Casanova, L.; Suárez, M.P. Suitability of Two Table Olive Cultivars (‘Manzanilla de Sevilla’ and ‘Manzanilla Cacereña’) for Mechanical Harvesting in Superhigh-density Hedgerows. HortScience Horts 2014, 49, 1028–1033. [Google Scholar] [CrossRef]
- Castillo-Ruiz, F.J.; Tombesi, S.; Farinelli, D. Olive Fruit Detachment Force against Pulling and Torsional Stress. Spanish J. Agric. Res. 2018, 16, e0202. [Google Scholar] [CrossRef]
- Farinelli, D.; Ruffolo, M.; Boco, M.; Tombesi, A. Yield efficiency and mechanical harvesting with trunk shaker of some International olive cultivars. Acta Hortic. 2012, 949, 379–384. [Google Scholar] [CrossRef]
- Famiani, F.; Proietti, P.; Farinelli, D.; Tombesi, A. Oil Quality in Relation to Olive Ripening. Acta Hortic. 2002, 586, 671–674. [Google Scholar] [CrossRef]
- Fidalgo-Illesca, C.; Vichi, E.; Torresi, D.; Tozzini, L.; Raffaelli, A.; Francini, A.; Sebastiani, L. Predictive Measurements of Pigmentation Index and Polyphenols in Olive Fruits Using a Colorimetric Approach. In Proceedings of the 2023 IEEE International Workshop on Metrology for Agriculture and Forestry (MetroAgriFor), Pisa, Italy, 6–8 November 2023; pp. 736–740. [Google Scholar] [CrossRef]
- Skodra, C.; Titeli, V.S.; Michailidis, M.; Bazakos, C.; Ganopoulos, I.; Molassiotis, A.; Tanou, G. Olive Fruit Development and Ripening: Break on through to the “-Omics” Side. Int. J. Mol. Sci. 2021, 22, 5806. [Google Scholar] [CrossRef]









| FF | DI | CI | PI | |||||
|---|---|---|---|---|---|---|---|---|
| cv | 24.683 | *** | 56.891 | *** | 43.218 | *** | 1.403 | n.s. |
| year | 0.326 | n.s. | 72.045 | *** | 11.6 | *** | 0.512 | n.s. |
| cv × year | 7.338 | *** | 8.697 | *** | 3.212 | * | 0.239 | n.s. |
Disclaimer/Publisher’s Note: The statements, opinions and data contained in all publications are solely those of the individual author(s) and contributor(s) and not of MDPI and/or the editor(s). MDPI and/or the editor(s) disclaim responsibility for any injury to people or property resulting from any ideas, methods, instructions or products referred to in the content. |
© 2024 by the authors. Licensee MDPI, Basel, Switzerland. This article is an open access article distributed under the terms and conditions of the Creative Commons Attribution (CC BY) license (https://creativecommons.org/licenses/by/4.0/).
Share and Cite
Garofalo, S.P.; Maldera, F.; Nicolì, F.; Vivaldi, G.A.; Camposeo, S. Physical Ripening Indices Improve the Assessment of Mechanical Harvesting Time for Olive Cultivars Resistant to Xylella fastidiosa subsp. pauca. Horticulturae 2024, 10, 1108. https://doi.org/10.3390/horticulturae10101108
Garofalo SP, Maldera F, Nicolì F, Vivaldi GA, Camposeo S. Physical Ripening Indices Improve the Assessment of Mechanical Harvesting Time for Olive Cultivars Resistant to Xylella fastidiosa subsp. pauca. Horticulturae. 2024; 10(10):1108. https://doi.org/10.3390/horticulturae10101108
Chicago/Turabian StyleGarofalo, Simone Pietro, Francesco Maldera, Francesco Nicolì, Gaetano Alessandro Vivaldi, and Salvatore Camposeo. 2024. "Physical Ripening Indices Improve the Assessment of Mechanical Harvesting Time for Olive Cultivars Resistant to Xylella fastidiosa subsp. pauca" Horticulturae 10, no. 10: 1108. https://doi.org/10.3390/horticulturae10101108
APA StyleGarofalo, S. P., Maldera, F., Nicolì, F., Vivaldi, G. A., & Camposeo, S. (2024). Physical Ripening Indices Improve the Assessment of Mechanical Harvesting Time for Olive Cultivars Resistant to Xylella fastidiosa subsp. pauca. Horticulturae, 10(10), 1108. https://doi.org/10.3390/horticulturae10101108

