Fermentation of the Brown Seaweed Alaria esculenta by a Lactic Acid Bacteria Consortium Able to Utilize Mannitol and Laminari-Oligosaccharides
Abstract
1. Introduction
2. Materials and Methods
2.1. Materials
2.2. Genomic Identification of the Consortium Species and Metagenome Analysis of the Seaweed Biomass
2.3. Cultivation of the LAB Consortium with Different Carbohydrates Available in Brown Seaweed
2.3.1. Fermentation on the Carbohydrate Available in Brown Seaweed
2.3.2. Seaweed Fermentation
2.4. Laminari-Oligosaccharide Production
2.4.1. Laminarin Extraction
2.4.2. Expression and Purification of Laminarinase MlLam17B
2.4.3. Enzymatic Hydrolysis of Laminarin
2.5. Carbohydrate Quantification
2.6. Metabolite Quantification
2.7. Statistical Analysis
3. Results
3.1. Selection and Identification of the Bacterial Species in the LAB Consortium
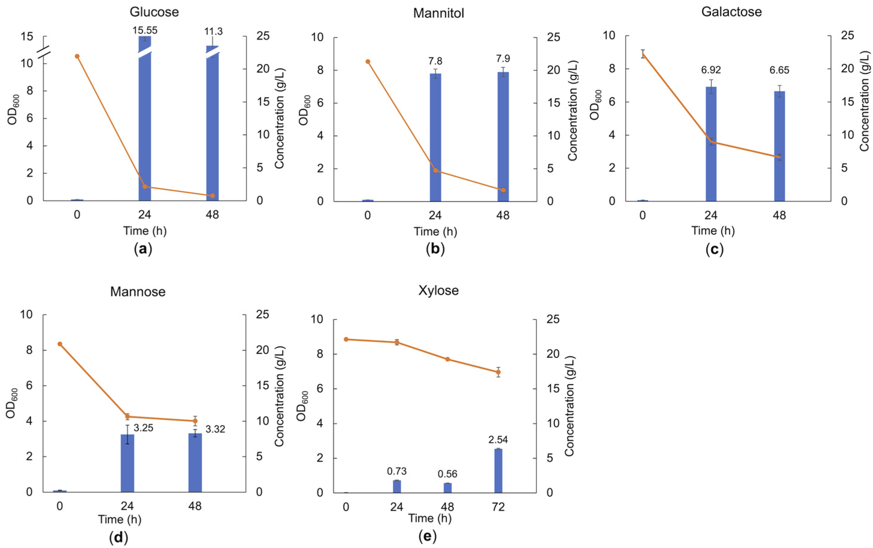
3.2. Growth on Monosaccharides as Sole Carbohydrate Source in MRS, and the Relation to Brown Seaweed Polysaccharides
3.3. Growth of the LAB Consortium on Polysaccharides or Oligosaccharides
3.4. Co-Fermentation of Laminari-Oligosaccharides by the LAB Consortium
3.4.1. Laminari-Oligosaccharides Production from a L. hyperborea Extract
3.4.2. Co-Fermentation of Laminari-Oligosaccharides
3.5. Direct Fermentation of Fresh Frozen A. esculenta
3.6. Analysis of Metabolites Profile
4. Discussion
5. Conclusions
Supplementary Materials
Author Contributions
Funding
Institutional Review Board Statement
Informed Consent Statement
Data Availability Statement
Conflicts of Interest
References
- Hreggviðsson, G.Ó.; Nordberg-Karlsson, E.M.; Tøndervik, A.; Aachmann, F.L.; Dobruchowska, J.M.; Linares-Pastén, J.; Daugbjerg-Christensen, M.; Moneart, A.; Kristjansdottir, T.; Sletta, H.; et al. Chapter 16—Biocatalytic refining of polysaccharides from brown seaweeds. In Sustainable Seaweed Technologies; Torres, M.D., Kraan, S., Dominguez, H., Eds.; Elsevier: Amsterdam, The Netherlands, 2020; pp. 447–504. [Google Scholar]
- Cai, J.; Lovatelli, A.; Aguilar-Manjarrez, J.; Cornish, L.; Dabbadie, L.; Desrochers, A.; Diffey, S.; Garrido Gamarro, E.; Geehan, J.; Hurtado, A.; et al. Seaweeds and microalgae: An overview for unlocking their potential in global aquaculture development. FAO Fish. Aquac. Circ. 2021, 1229, 48. [Google Scholar] [CrossRef]
- MacArtain, P.; Gill, C.I.R.; Brooks, M.; Campbell, R.; Rowland, I.R. Nutritional value of edible seaweeds. Nutr. Rev. 2007, 65, 535–543. [Google Scholar] [CrossRef] [PubMed]
- Adams, J.M.M.; Ross, A.B.; Anastasakis, K.; Hodgson, E.M.; Gallagher, J.A.; Jones, J.M.; Donnison, I.S. Seasonal variation in the chemical composition of the bioenergy feedstock Laminaria digitata for thermochemical conversion. Bioresour. Technol. 2011, 102, 226–234. [Google Scholar] [CrossRef] [PubMed]
- Yeo, S.-K.; Liong, M.-T. Effect of prebiotics on viability and growth characteristics of probiotics in soymilk. J. Sci. Food Agric. 2010, 90, 267–275. [Google Scholar] [CrossRef]
- Rioux, L.-E.; Turgeon, S.L. Chapter 7—Seaweed carbohydrates. In Seaweed Sustainability; Tiwari, B.K., Troy, D.J., Eds.; Academic Press: San Diego, CA, USA, 2015; pp. 141–192. [Google Scholar]
- O’Sullivan, L.; Murphy, B.; McLoughlin, P.; Duggan, P.; Lawlor, P.G.; Hughes, H.; Gardiner, G.E. Prebiotics from marine macroalgae for human and animal health applications. Mar. Drugs 2010, 8, 2038–2064. [Google Scholar] [CrossRef]
- Li, B.; Lu, F.; Wei, X.; Zhao, R. Fucoidan: Structure and bioactivity. Molecules 2008, 13, 1671–1695. [Google Scholar] [CrossRef]
- Shannon, E.; Conlon, M.; Hayes, M. Seaweed components as potential modulators of the gut microbiota. Mar. Drugs 2021, 19, 358. [Google Scholar] [CrossRef]
- Sardari, R.R.R.; Nordberg Karlsson, E. Marine poly- and oligosaccharides as prebiotics. J. Agric. Food Chem. 2018, 66, 11544–11549. [Google Scholar] [CrossRef]
- Amara, A.A.; Shibl, A. Role of probiotics in health improvement, infection control and disease treatment and management. Saudi Pharm. J. 2015, 23, 107–114. [Google Scholar] [CrossRef]
- Xue, M.; Ji, X.; Liang, H.; Liu, Y.; Wang, B.; Sun, L.; Li, W. The effect of fucoidan on intestinal flora and intestinal barrier function in rats with breast cancer. Food. Funct. 2018, 9, 1214–1223. [Google Scholar] [CrossRef]
- Blikra, M.J.; Altintzoglou, T.; Løvdal, T.; Rognså, G.; Skipnes, D.; Skåra, T.; Sivertsvik, M.; Noriega Fernández, E. Seaweed products for the future: Using current tools to develop a sustainable food industry. Trends Food Sci. Technol. 2021, 118, 765–776. [Google Scholar] [CrossRef]
- Prachyakij, P.; Charernjiratrakul, W.; Kantachote, D. Improvement in the quality of a fermented seaweed beverage using an antiyeast starter of Lactobacillus plantarum DW3 and partial sterilization. World J. Microbiol. Biotechnol. 2008, 24, 1713–1720. [Google Scholar] [CrossRef]
- Reboleira, J.; Silva, S.; Chatzifragkou, A.; Niranjan, K.; Lemos, M.F.L. Seaweed fermentation within the fields of food and natural products. Trends Food Sci. Technol. 2021, 116, 1056–1073. [Google Scholar] [CrossRef]
- Chen, Y.S.; Srionnual, S.; Onda, T.; Yanagida, F. Effects of prebiotic oligosaccharides and trehalose on growth and production of bacteriocins by lactic acid bacteria. Lett. Appl. Microbiol. 2007, 45, 190–193. [Google Scholar] [CrossRef] [PubMed]
- Jönsson, M.; Allahgholi, L.; Sardari, R.R.R.; Hreggviðsson, G.O.; Nordberg Karlsson, E. Extraction and modification of macroalgal polysaccharides for current and next-generation applications. Molecules 2020, 25, 930. [Google Scholar] [CrossRef] [PubMed]
- Allahgholi, L.; Derks, M.G.N.; Friðjónsson, Ó.H.; Óli Hreggviðsson, G.; Nordberg Karlsson, E. Exploring a Novel Laminarinase, MlLam17B, from a Marine Muricauda lutaonensis Strain. 2023; unpublished work. [Google Scholar]
- Christensen, M.D.; Allahgholi, L.; Freysdóttir, J.; Friðjónsson, Ó.; Moenaert, A.; Karlsson, E.N.; Hreggviðsson, G.Ó. Comparison of Distinct Laminarin Structures and Enzymatic Modified Laminarin Oligosaccharides, from Three Species of Brown Seaweed, and Their Effect on Dendritic Cells Maturation. 2023; unpublished work. [Google Scholar]
- Motejadded, H.; Altenbuchner, J. Construction of a dual-tag system for gene expression, protein affinity purification and fusion protein processing. Biotechnol. Lett. 2009, 31, 543–549. [Google Scholar] [CrossRef] [PubMed]
- van Wychen, S.; Laurens, L.M.L. Determination of Total Carbohydrates in Algal Biomass; NREL/TP-5100-60957; Laboratory NRE: Golden, CO, USA, 2015. [Google Scholar]
- The Jamovi Project. Jamovi, Version 2.3. 2022. Available online: https://www.jamovi.org (accessed on 10 April 2023).
- Nurhikmayani, R.; Daryono, B.S.; Retnaningrum, E. The isolation and molecular identification of antimicrobial-producing lactic acid bacteria from chao, South Sulawesi (Indonesia) fermented fish product. Biodiversitas 2019, 20, 1063–1068. [Google Scholar] [CrossRef]
- Horie, M.; Sato, H.; Tada, A.; Nakamura, S.; Sugino, S.; Tabei, Y.; Katoh, M.; Toyotome, T. Regional characteristics of Lactobacillus plantarum group strains isolated from two kinds of Japanese post-fermented teas, Ishizuchi-kurocha and Awa-bancha. Biosci. Microbiota Food Health 2019, 38, 11–22. [Google Scholar] [CrossRef] [PubMed]
- Zheng, J.; Wittouck, S.; Salvetti, E.; Franz, C.M.A.P.; Harris, H.M.B.; Mattarelli, P.; O’Toole, P.W.; Pot, B.; Vandamme, P.; Walter, J.; et al. A taxonomic note on the genus Lactobacillus: Description of 23 novel genera, emended description of the genus Lactobacillus Beijerinck 1901, and union of Lactobacillaceae and Leuconostocaceae. Int. J. Syst. Evol. Microbiol. 2020, 70, 2782–2858. [Google Scholar] [CrossRef]
- Phuengjayaem, S.; Booncharoen, A.; Tanasupawat, S. Characterization and comparative genomic analysis of gamma-aminobutyric acid (GABA)-producing lactic acid bacteria from Thai fermented foods. Biotechnol. Lett. 2021, 43, 1637–1648. [Google Scholar] [CrossRef]
- Kitahara, K.; Obayashi, A. DL-forming lactic acid bacteria. J. Gen. Appl. Microbiol. 1955, 1, 237–245. [Google Scholar] [CrossRef][Green Version]
- Falck, P.; Precha-Atsawanan, S.; Grey, C.; Immerzeel, P.; Stålbrand, H.; Adlercreutz, P.; Nordberg Karlsson, E. Xylooligosaccharides from hardwood and cereal xylans produced by a thermostable xylanase as carbon sources for Lactobacillus brevis and Bifidobacterium adolescentis. J. Agric. Food Chem. 2013, 61, 7333–7340. [Google Scholar] [CrossRef] [PubMed]
- Tomé, D. Yeast extracts: Nutritional and flavoring food ingredients. ACS Food Sci. Technol. 2021, 1, 487–494. [Google Scholar] [CrossRef]
- Chades, T.; Scully, S.M.; Ingvadottir, E.M.; Orlygsson, J. Fermentation of mannitol extracts from brown macro algae by thermophilic Clostridia. Front. Microbiol. 2018, 9, 1931. [Google Scholar] [CrossRef] [PubMed]
- Wisselink, H.W.; Weusthuis, R.A.; Eggink, G.; Hugenholtz, J.; Grobben, G.J. Mannitol production by lactic acid bacteria: A review. Int. Dairy J. 2002, 12, 151–161. [Google Scholar] [CrossRef]
- Kleerebezem, M.; Boekhorst, J.; van Kranenburg, R.; Molenaar, D.; Kuipers, O.P.; Leer, R.; Tarchini, R.; Peters, S.A.; Sandbrink, H.M.; Fiers, M.W.E.J.; et al. Complete genome sequence of Lactobacillus plantarum WCFS1. Proc. Natl. Acad. Sci. USA 2003, 100, 1990–1995. [Google Scholar] [CrossRef]
- McFeeters, R.F.; Chen, K.-H. Utilization of electron acceptors for anaerobic mannitol metabolism by Lactobacillus plantarum. Compounds which serve as electron acceptors. Food Microbiol. 1986, 3, 73–81. [Google Scholar] [CrossRef]
- Yang, X.; Teng, K.; Su, R.; Li, L.; Zhang, T.; Fan, K.; Zhang, J.; Zhong, J. AcrR and Rex control mannitol and sorbitol utilization through their cross-regulation of aldehyde-alcohol dehydrogenase (AdhE) in Lactobacillus plantarum. Appl. Environ. Microbiol. 2019, 85, e02035-18. [Google Scholar] [CrossRef]
- Zuniga, M.; Jesus Yebra, M.; Monedero, V. Complex oligosaccharide utilization pathways in Lactobacillus. Curr. Issues Mol. Biol. 2021, 40, 49–80. [Google Scholar] [CrossRef]
- Jin, Z.; Ma, Q.; Chen, X.; Wang, H.; Zhu, J.; Lee, Y.K.; Zhang, H.; Zhao, J.; Lu, W.; Chen, W. An α type gluco-oligosaccharide from brown algae Laminaria japonica stimulated the growth of lactic acid bacteria encoding specific ABC transport system components. Food. Funct. 2022, 13, 11153–11168. [Google Scholar] [CrossRef]
- Mäkinen, K.K. Gastrointestinal disturbances associated with the consumption of sugar alcohols with special consideration of xylitol: Scientific review and instructions for dentists and other health-care professionals. Int. J. Dent. 2016, 2016, 5967907. [Google Scholar] [CrossRef] [PubMed]
- Peck, M.W. Bacteria: Clostridium botulinum. In Encyclopedia of Food Safety; Motarjemi, Y., Ed.; Academic Press: Waltham, MA, USA, 2014; pp. 381–394. [Google Scholar]
- Dalgaard, P.; Mejlholm, O. Modeling growth of Listeria and lactic acid bacteria in food environments. Methods Mol. Biol. 2019, 1918, 247–264. [Google Scholar] [CrossRef] [PubMed]
- Koukou, I.; Mejlholm, O.; Dalgaard, P. Cardinal parameter growth and growth boundary model for non-proteolytic Clostridium botulinum—Effect of eight environmental factors. Int. J. Food Microbiol. 2021, 346, 109–162. [Google Scholar] [CrossRef]
- Sørensen, J.S.; Madsen, S.K.; Bang-Berthelsen, C.H.; Hansen, L.T. Quality and safety aspects in fermentation of winged kelp (Alaria esculenta) and sugar kelp (Saccharina latissima) by the natural microbiota with or without addition of a Lactiplantibacillus plantarum starter culture. Food Res. Int. 2021, 150, 110800. [Google Scholar] [CrossRef]
- Blikra, M.J.; Løvdal, T.; Vaka, M.R.; Roiha, I.S.; Lunestad, B.T.; Lindseth, C.; Skipnes, D. Assessment of food quality and microbial safety of brown macroalgae (Alaria esculenta and Saccharina latissima). J. Sci. Food Agric. 2019, 99, 1198–1206. [Google Scholar] [CrossRef] [PubMed]










| Carbohydrate Composition (% DW) | ||||
|---|---|---|---|---|
| Glucose | Mannitol | Laminaribiose (O-LAM2) | Laminaritriose (O-LAM3) | Laminaritetraose (O-LAM4) |
| 0.38 | 2.17 | 16.21 | 29.77 | 11.52 |
| Substrate | Lactic Acid (g/L) |
|---|---|
| Glucose (21.93 ± 0.14 g/L) | 21.91 ± 0.32 |
| Mannitol (21.32 ± 0.24 g/L) | 21.38 ± 0.12 |
| Maltose (22.26 ± 0.05 g/L) | 22.21 ± 0.64 |
| Galactose (22.25 ± 0.62 g/L) | 19.22 ± 0.31 |
| Sucrose (21.98 ± 0.23 g/ L) | 16.1 ± 0.24 |
| Glucose + mannitol (12.12 ± 0.49 g/L glucose + 11.87 ± 0.14 g/L mannitol) | 14.21 ± 0.68 |
| Mannose (20.86 ± 0.14 g/L) | 11.13 ± 0.51 |
| Crude laminari-oligosaccharides (5.36 ± 0.1 g/L) + glucose (2.78 ± 0.02 g/L) | 7.65 ± 0.02 |
| Crude laminari-oligosaccharides (5.15 ± 0.1 g/L) | 4.98 ± 0.07 |
| Xylose (21.13 ± 0.1 g/L) | 3.29 ± 0.08 |
| Fermentation, raw A. esculenta, autoclaved (1 g/L mannitol) | 1.03 ± 0.03 |
| Fermentation, raw A. esculenta, non-autoclaved (1 g/L mannitol) | 1.03 ± 0.01 |
Disclaimer/Publisher’s Note: The statements, opinions and data contained in all publications are solely those of the individual author(s) and contributor(s) and not of MDPI and/or the editor(s). MDPI and/or the editor(s) disclaim responsibility for any injury to people or property resulting from any ideas, methods, instructions or products referred to in the content. |
© 2023 by the authors. Licensee MDPI, Basel, Switzerland. This article is an open access article distributed under the terms and conditions of the Creative Commons Attribution (CC BY) license (https://creativecommons.org/licenses/by/4.0/).
Share and Cite
Allahgholi, L.; Jönsson, M.; Christensen, M.D.; Jasilionis, A.; Nouri, M.; Lavasani, S.; Linares-Pastén, J.A.; Hreggviðsson, G.Ó.; Karlsson, E.N. Fermentation of the Brown Seaweed Alaria esculenta by a Lactic Acid Bacteria Consortium Able to Utilize Mannitol and Laminari-Oligosaccharides. Fermentation 2023, 9, 499. https://doi.org/10.3390/fermentation9060499
Allahgholi L, Jönsson M, Christensen MD, Jasilionis A, Nouri M, Lavasani S, Linares-Pastén JA, Hreggviðsson GÓ, Karlsson EN. Fermentation of the Brown Seaweed Alaria esculenta by a Lactic Acid Bacteria Consortium Able to Utilize Mannitol and Laminari-Oligosaccharides. Fermentation. 2023; 9(6):499. https://doi.org/10.3390/fermentation9060499
Chicago/Turabian StyleAllahgholi, Leila, Madeleine Jönsson, Monica Daugbjerg Christensen, Andrius Jasilionis, Mehrnaz Nouri, Shahram Lavasani, Javier A. Linares-Pastén, Guðmundur Óli Hreggviðsson, and Eva Nordberg Karlsson. 2023. "Fermentation of the Brown Seaweed Alaria esculenta by a Lactic Acid Bacteria Consortium Able to Utilize Mannitol and Laminari-Oligosaccharides" Fermentation 9, no. 6: 499. https://doi.org/10.3390/fermentation9060499
APA StyleAllahgholi, L., Jönsson, M., Christensen, M. D., Jasilionis, A., Nouri, M., Lavasani, S., Linares-Pastén, J. A., Hreggviðsson, G. Ó., & Karlsson, E. N. (2023). Fermentation of the Brown Seaweed Alaria esculenta by a Lactic Acid Bacteria Consortium Able to Utilize Mannitol and Laminari-Oligosaccharides. Fermentation, 9(6), 499. https://doi.org/10.3390/fermentation9060499

