Enhancing the Chemical Composition of Kombucha Fermentation by Adding Indian Gooseberry as a Substrate
Abstract
1. Introduction
2. Materials and Methods
2.1. Preparation of Kombucha Starter
2.2. Preparation of Indian Gooseberry
2.3. Evaluation of Indian Gooseberry as a Supplement in Kombucha Fermentation: A Comparative Study of Five Treatments
2.4. Microbiological Analysis
2.5. Measurement of Total Soluble Solids (TSS), Alcohol Content, pH and Acetic Acid Content
2.6. Determination of Total Phenolic Content
2.7. Determination of Total Flavonoid Content
2.8. Antioxidant Activity Analysis
2.8.1. DPPH Assay
2.8.2. ABTS Assay
2.9. Determination of Organic Acids
2.10. Statistical Analysis
3. Results
3.1. Physical Characterization
3.2. Microbiological Analysis
3.3. Total Soluble Solids (TSS), Alcohol Content, pH and Acetic Acid Content
3.4. Total Phenolic Content (TPC)
3.5. Total Flavonoid Content (TFC)
3.6. Antioxidant Activity Analysis
3.6.1. DPPH Assay
3.6.2. ABTS Assay
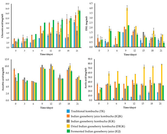
3.7. Organic Acids
4. Discussion
5. Conclusions
Supplementary Materials
Author Contributions
Funding
Institutional Review Board Statement
Informed Consent Statement
Data Availability Statement
Acknowledgments
Conflicts of Interest
References
- Abaci, N.; Senol Deniz, F.S.; Orhan, I.E. Kombucha—An Ancient Fermented Beverage with Desired Bioactivities: A Narrowed Review. Food Chem. X 2022, 14, 100302. [Google Scholar] [CrossRef] [PubMed]
- Villarreal-Soto, S.A.; Beaufort, S.; Bouajila, J.; Souchard, J.-P.; Taillandier, P. Understanding Kombucha Tea Fermentation: A Review: Understanding Kombucha Tea Fermentation: A Review. J. Food Sci. 2018, 83, 580–588. [Google Scholar] [CrossRef] [PubMed]
- Bishop, P.; Pitts, E.R.; Budner, D.; Thompson-Witrick, K.A. Chemical Composition of Kombucha. Beverages 2022, 8, 45. [Google Scholar] [CrossRef]
- Jakubczyk, K.; Kupnicka, P.; Melkis, K.; Mielczarek, O.; Walczyńska, J.; Chlubek, D.; Janda-Milczarek, K. Effects of Fermentation Time and Type of Tea on the Content of Micronutrients in Kombucha Fermented Tea. Nutrients 2022, 14, 4828. [Google Scholar] [CrossRef] [PubMed]
- Silva, K.A.; Uekane, T.M.; de Miranda, J.F.; Ruiz, L.F.; da Motta, J.C.B.; Silva, C.B.; Pitangui, N.d.S.; Gonzalez, A.G.M.; Fernandes, F.F.; Lima, A.R. Kombucha Beverage from Non-Conventional Edible Plant Infusion and Green Tea: Characterization, Toxicity, Antioxidant Activities and Antimicrobial Properties. Biocatal. Agric. Biotechnol. 2021, 34, 102032. [Google Scholar] [CrossRef]
- Jayabalan, R.; Malbaša, R.V.; Lončar, E.S.; Vitas, J.S.; Sathishkumar, M. A Review on Kombucha Tea-Microbiology, Composition, Fermentation, Beneficial Effects, Toxicity, and Tea Fungus. Compr. Rev. Food Sci. Food Saf. 2014, 13, 538–550. [Google Scholar] [CrossRef] [PubMed]
- Liu, Y.; Zheng, Y.; Yang, T.; Mac Regenstein, J.; Zhou, P. Functional Properties and Sensory Characteristics of Kombucha Analogs Prepared with Alternative Materials. Trends Food Sci. Technol. 2022, 129, 608–616. [Google Scholar] [CrossRef]
- Wang, B.; Rutherfurd-Markwick, K.; Zhang, X.-X.; Mutukumira, A.N. Kombucha: Production and Microbiological Research. Foods 2022, 11, 3456. [Google Scholar] [CrossRef] [PubMed]
- Wang, Y.; Ji, B.; Wu, W.; Wang, R.; Yang, Z.; Zhang, D.; Tian, W. Hepatoprotective Effects of Kombucha Tea: Identification of Functional Strains and Quantification of Functional Components. J. Sci. Food Agric. 2014, 94, 265–272. [Google Scholar] [CrossRef] [PubMed]
- Miranda, J.F.; Ruiz, L.F.; Silva, C.B.; Uekane, T.M.; Silva, K.A.; Gonzalez, A.G.M.; Fernandes, F.F.; Lima, A.R. Kombucha: A Review of Substrates, Regulations, Composition, and Biological Properties. J. Food Sci. 2022, 87, 503–527. [Google Scholar] [CrossRef] [PubMed]
- Barbosa, E.L.; Netto, M.C.; Bendel Junior, L.; de Moura, L.F.; Brasil, G.A.; Bertolazi, A.A.; de Lima, E.M.; Vasconcelos, C.M. Kombucha Fermentation in Blueberry (Vaccinium myrtillus) Beverage and Its in Vivo Gastroprotective Effect: Preliminary Study. Future Foods 2022, 5, 100129. [Google Scholar] [CrossRef]
- Kim, D.; Wang, Y. Health-Beneficial Aroma and Taste Compounds in a Newly Developed Kombucha Using a Huanglongbing-Tolerant Mandarin Hybrid. J. Food Sci. 2022, 87, 2595–2615. [Google Scholar] [CrossRef]
- Zubaidah, E.; Dewantari, F.J.; Novitasari, F.R.; Srianta, I.; Blanc, P.J. Potential of Snake Fruit (Salacca zalacca (Gaerth.) Voss) for the Development of a Beverage through Fermentation with the Kombucha Consortium. Biocatal. Agric. Biotechnol. 2018, 13, 198–203. [Google Scholar] [CrossRef]
- Akbarirad, H.; Assadi, M.M.; Pourahmad, R.; Khaneghah, A.M. Employing of the Different Fruit Juices Substrates in Vinegar Kombucha Preparation. Curr. Nutr. Food Sci. 2017, 13, 303–308. [Google Scholar] [CrossRef]
- Rahmani, R.; Beaufort, S.; Villarreal-Soto, S.A.; Taillandier, P.; Bouajila, J.; Debouba, M. Kombucha Fermentation of African Mustard (Brassica Tournefortii) Leaves: Chemical Composition and Bioactivity. Food Biosci. 2019, 30, 100414. [Google Scholar] [CrossRef]
- Sun, T.-Y.; Li, J.-S.; Chen, C. Effects of Blending Wheatgrass Juice on Enhancing Phenolic Compounds and Antioxidant Activities of Traditional Kombucha Beverage. J. Food Drug Anal. 2015, 23, 709–718. [Google Scholar] [CrossRef]
- Zhang, J.; Van Mullem, J.; Dias, D.R.; Schwan, R.F. The Chemistry and Sensory Characteristics of New Herbal Tea-Based Kombuchas. J. Food Sci. 2021, 86, 740–748. [Google Scholar] [CrossRef]
- Vitas, J.S.; Cvetanović, A.D.; Mašković, P.Z.; Švarc-Gajić, J.V.; Malbaša, R.V. Chemical Composition and Biological Activity of Novel Types of Kombucha Beverages with Yarrow. J. Funct. Foods 2018, 44, 95–102. [Google Scholar] [CrossRef]
- Četojević-Simin, D.D.; Velićanski, A.S.; Cvetković, D.D.; Markov, S.L.; Mrđanović, J.Ž.; Bogdanović, V.V.; Šolajić, S.V. Bioactivity of Lemon Balm Kombucha. Food Bioprocess Technol. 2012, 5, 1756–1765. [Google Scholar] [CrossRef]
- Velićanski, A.S.; Cvetković, D.D.; Markov, S.L.; Šaponjac, V.T.T.; Vulić, J.J. Antioxidant and Antibacterial Activity of the Beverage Obtained by Fermentation of Sweetened Lemon Balm (Melissa officinalis L.) Tea with Symbiotic Consortium of Bacteria and Yeasts. Food Technol. Biotechnol. 2014, 52, 420–429. [Google Scholar] [CrossRef] [PubMed]
- Saini, R.; Sharma, N.; Oladeji, O.S.; Sourirajan, A.; Dev, K.; Zengin, G.; El-Shazly, M.; Kumar, V. Traditional Uses, Bioactive Composition, Pharmacology, and Toxicology of Phyllanthus Emblica Fruits: A Comprehensive Review. J. Ethnopharmacol. 2022, 282, 114570. [Google Scholar] [CrossRef] [PubMed]
- Luo, W.; Zhao, M.; Yang, B.; Shen, G.; Rao, G. Identification of Bioactive Compounds in Phyllenthus Emblica L. Fruit and Their Free Radical Scavenging Activities. Food Chem. 2009, 114, 499–504. [Google Scholar] [CrossRef]
- Khan, M.S.; Qais, F.A.; Ahmad, I. Indian Berries and Their Active Compounds. In New Look to Phytomedicine; Elsevier: Amsterdam, The Netherlands, 2019; pp. 179–201. ISBN 978-0-12-814619-4. [Google Scholar]
- Yadav, S.S.; Singh, M.K.; Singh, P.K.; Kumar, V. Traditional Knowledge to Clinical Trials: A Review on Therapeutic Actions of Emblica officinalis. Biomed. Pharmacother. 2017, 93, 1292–1302. [Google Scholar] [CrossRef]
- Variya, B.C.; Bakrania, A.K.; Patel, S.S. Emblica officinalis (Amla): A Review for Its Phytochemistry, Ethnomedicinal Uses and Medicinal Potentials with Respect to Molecular Mechanisms. Pharmacol. Res. 2016, 111, 180–200. [Google Scholar] [CrossRef] [PubMed]
- Jang, H.; Srichayet, P.; Park, W.J.; Heo, H.J.; Kim, D.-O.; Tongchitpakdee, S.; Kim, T.-J.; Jung, S.H.; Lee, C.Y. Phyllanthus emblica L. (Indian Gooseberry) Extracts Protect against Retinal Degeneration in a Mouse Model of Amyloid Beta-Induced Alzheimer’s Disease. J. Funct. Foods 2017, 37, 330–338. [Google Scholar] [CrossRef]
- Kishore, K. Phenological Growth Stages of Indian Gooseberry (Phyllanthus emblica L.) According to the Extended BBCH Scale. Sci. Hortic. 2017, 225, 607–614. [Google Scholar] [CrossRef]
- Naghili, H.; Tajik, H.; Mardani, K.; Razavi Rouhani, S.M.; Ehsani, A.; Zare, P. Validation of Drop Plate Technique for Bacterial Enumeration by Parametric and Nonparametric Tests. Vet. Res. Forum 2013, 4, 179–183. [Google Scholar] [PubMed]
- Lee, K.J.; Oh, Y.C.; Cho, W.K.; Ma, J.Y. Antioxidant and Anti-Inflammatory Activity Determination of One Hundred Kinds of Pure Chemical Compounds Using Offline and Online Screening HPLC Assay. Evid.-Based Complement. Altern. Med. 2015, 2015, 165457. [Google Scholar] [CrossRef]
- Re, R.; Pellegrini, N.; Proteggente, A.; Pannala, A.; Yang, M.; Rice-Evans, C. Antioxidant Activity Applying an Improved ABTS Radical Cation Decolorization Assay. Free Radic. Biol. Med. 1999, 26, 1231–1237. [Google Scholar] [CrossRef]
- Chakravorty, S.; Bhattacharya, S.; Chatzinotas, A.; Chakraborty, W.; Bhattacharya, D.; Gachhui, R. Kombucha Tea Fermentation: Microbial and Biochemical Dynamics. Int. J. Food Microbiol. 2016, 220, 63–72. [Google Scholar] [CrossRef] [PubMed]
- Kaewkod, T.; Bovonsombut, S.; Tragoolpua, Y. Efficacy of Kombucha Obtained from Green, Oolong, and Black Teas on Inhibition of Pathogenic Bacteria, Antioxidation, and Toxicity on Colorectal Cancer Cell Line. Microorganisms 2019, 7, 700. [Google Scholar] [CrossRef] [PubMed]
- Leonarski, E.; Cesca, K.; Zanella, E.; Stambuk, B.U.; de Oliveira, D.; Poletto, P. Production of Kombucha-like Beverage and Bacterial Cellulose by Acerola Byproduct as Raw Material. LWT 2021, 135, 110075. [Google Scholar] [CrossRef]
- Ramírez Tapias, Y.A.; Di Monte, M.V.; Peltzer, M.A.; Salvay, A.G. Bacterial Cellulose Films Production by Kombucha Symbiotic Community Cultured on Different Herbal Infusions. Food Chem. 2022, 372, 131346. [Google Scholar] [CrossRef]
- Overal, G.B.; Teusink, B.; Bruggeman, F.J.; Hulshof, J.; Planqué, R. Understanding Start-up Problems in Yeast Glycolysis. Math. Biosci. 2018, 299, 117–126. [Google Scholar] [CrossRef] [PubMed]
- Fletcher, E.; Baetz, K. Multi-Faceted Systems Biology Approaches Present a Cellular Landscape of Phenolic Compound Inhibition in Saccharomyces Cerevisiae. Front. Bioeng. Biotechnol. 2020, 8, 539902. [Google Scholar] [CrossRef]
- Cardoso, R.R.; Neto, R.O.; dos Santos D’Almeida, C.T.; do Nascimento, T.P.; Pressete, C.G.; Azevedo, L.; Martino, H.S.D.; Cameron, L.C.; Ferreira, M.S.L.; de Barros, F.A.R. Kombuchas from Green and Black Teas Have Different Phenolic Profile, Which Impacts Their Antioxidant Capacities, Antibacterial and Antiproliferative Activities. Food Res. Int. 2020, 128, 108782. [Google Scholar] [CrossRef]
- Tewari, R.; Kumar, V.; Sharma, H.K. Physical and Chemical Characteristics of Different Cultivars of Indian Gooseberry (Emblica officinalis). J. Food Sci. Technol. 2019, 56, 1641–1648. [Google Scholar] [CrossRef] [PubMed]
- Graham, H.N. Green Tea Composition, Consumption, and Polyphenol Chemistry. Prev. Med. 1992, 21, 334–350. [Google Scholar] [CrossRef]
- Vitas, J.; Vukmanovic, S.; Cakarevic, J.; Popovic, L.; Malbasa, R. Kombucha Fermentation of Six Medicinal Herbs: Chemical Profile and Biological Activity. Chem. Ind. Chem. Eng. Q 2020, 26, 157–170. [Google Scholar] [CrossRef]
- Umamaheswari, A.; Bhuvaneswari, K.; Muthuraman, P. Effect of Emblica officinalis Fruit Dry Power on Behavior Changes and Antioxidant Level: An In vitro and In vivo Study. Asian. J. Pharm. Clin. Res. 2019, 12, 291–294. [Google Scholar] [CrossRef]
- De Filippis, F.; Troise, A.D.; Vitaglione, P.; Ercolini, D. Different Temperatures Select Distinctive Acetic Acid Bacteria Species and Promotes Organic Acids Production during Kombucha Tea Fermentation. Food Microbiol. 2018, 73, 11–16. [Google Scholar] [CrossRef] [PubMed]
- Martínez-Leal, J.; Ponce-García, N.; Escalante-Aburto, A. Recent Evidence of the Beneficial Effects Associated with Glucuronic Acid Contained in Kombucha Beverages. Curr. Nutr. Rep. 2020, 9, 163–170. [Google Scholar] [CrossRef] [PubMed]
- Mehrotra, S.; Jamwal, R.; Shyam, R.; Meena, D.; Misra, K.; Patra, R.; De, R.; Mukhopadhyay, A.; Srivastava, A.; Nandi, S. Anti-Helicobacter Pylori and Antioxidant Properties of Emblica Officinalis Pulp Extract: A Potential Source for Therapeutic Use against Gastric Ulcer. J. Med. Plant Res. 2011, 5, 2577–2583. [Google Scholar]








| Analysis | Samples | ||||
|---|---|---|---|---|---|
| TK | IGJK | IGK | DIGK | IGJ | |
| Total phenolic content (mg GAE/mL) | 0.82 d ± 0.02 | 5.72 b ± 0.10 | 5.92 b ± 0.72 | 7.08 a ± 0.55 | 3.85 c ± 0.08 |
| Total flavonoid content (mg QE/mL) | 0.72 c ± 0.05 | 2.59 b ± 0.05 | 2.55 b ± 0.09 | 3.16 a ± 0.14 | 0.64 c ± 0.03 |
| % Inhibition at 3 µL/mL (%) | ND | 66.12 b ± 1.87 | 70.83 ab ± 8.05 | 77.51 a ± 1.46 | 33.48 c ± 1.11 |
| IC50 value by DPPH assay (µL/mL) | 19.30 c ± 1.64 | 2.28 a ± 0.03 | 2.10 a ± 0.25 | 1.93 a ± 0.02 | 4.19 b ± 0.09 |
| TEAC (mg/mL) | 1.31 d ± 0.14 | 14.69 b ± 0.50 | 17.24 a ± 2.13 | 19.15 a ± 1.08 | 11.04 c ± 0.37 |
| Organic Acid Content (mg/mL) | Samples | ||||
|---|---|---|---|---|---|
| TK | IGJK | IGK | DIGK | IGJ | |
| Glucuronic | ND | ND | ND | ND | ND |
| Gluconic | 10.46 b ± 0.82 | 13.34 a ± 0.97 | 6.93 c ± 1.68 | 15.35 a ± 1.39 | 15.03 a ± 0.39 |
| DSL | 0.75b c ± 0.11 | 0.45 c ± 0.17 | 1.04 ab ± 0.31 | 1.26 a ± 0.01 | 0.44 c ± 0.13 |
| Ascorbic | 0.14 e ± 0.07 | 6.28 c ± 0.02 | 6.69 b ± 0.10 | 6.95 a ± 0.21 | 5.91 d ± 0.06 |
| Acetic | 16.71 d ± 1.06 | 36.21 b ± 0.92 | 36.24 b ± 1.59 | 78.28 a ± 0.67 | 31.76 c ± 0.82 |
Disclaimer/Publisher’s Note: The statements, opinions and data contained in all publications are solely those of the individual author(s) and contributor(s) and not of MDPI and/or the editor(s). MDPI and/or the editor(s) disclaim responsibility for any injury to people or property resulting from any ideas, methods, instructions or products referred to in the content. |
© 2023 by the authors. Licensee MDPI, Basel, Switzerland. This article is an open access article distributed under the terms and conditions of the Creative Commons Attribution (CC BY) license (https://creativecommons.org/licenses/by/4.0/).
Share and Cite
Klawpiyapamornkun, T.; Uttarotai, T.; Wangkarn, S.; Sirisa-ard, P.; Kiatkarun, S.; Tragoolpua, Y.; Bovonsombut, S. Enhancing the Chemical Composition of Kombucha Fermentation by Adding Indian Gooseberry as a Substrate. Fermentation 2023, 9, 291. https://doi.org/10.3390/fermentation9030291
Klawpiyapamornkun T, Uttarotai T, Wangkarn S, Sirisa-ard P, Kiatkarun S, Tragoolpua Y, Bovonsombut S. Enhancing the Chemical Composition of Kombucha Fermentation by Adding Indian Gooseberry as a Substrate. Fermentation. 2023; 9(3):291. https://doi.org/10.3390/fermentation9030291
Chicago/Turabian StyleKlawpiyapamornkun, Tharinee, Toungporn Uttarotai, Sunanta Wangkarn, Panee Sirisa-ard, Suwalee Kiatkarun, Yingmanee Tragoolpua, and Sakunnee Bovonsombut. 2023. "Enhancing the Chemical Composition of Kombucha Fermentation by Adding Indian Gooseberry as a Substrate" Fermentation 9, no. 3: 291. https://doi.org/10.3390/fermentation9030291
APA StyleKlawpiyapamornkun, T., Uttarotai, T., Wangkarn, S., Sirisa-ard, P., Kiatkarun, S., Tragoolpua, Y., & Bovonsombut, S. (2023). Enhancing the Chemical Composition of Kombucha Fermentation by Adding Indian Gooseberry as a Substrate. Fermentation, 9(3), 291. https://doi.org/10.3390/fermentation9030291

