Abstract
Yarrowia lipolytica is a unique, strictly aerobic yeast with the ability to degrade efficiently hydrophobic substrates. In the present work, we evaluated the degrading potential of Yarrowia lipolytica IMUFRJ 50682, isolated from tropical estuarine water in Rio de Janeiro (Brazil), and the possible biomolecules produced during this process. To investigate which crude oil compounds are degraded by Y. lipolytica IMUFRJ 50682, this microorganism was grown in a medium containing Marlim petroleum (19 °API, American Petroleum Institute gravity) at 28 °C and 160 rpm for 5 days. The residual petroleum was submitted to gas chromatograph-mass spectrometric analysis (GC-MS). The chromatographic fingerprints of the residual petroleum were compared with the abiotic control test incubated in the same conditions. Y. lipolytica assimilates high molecular weight hydrocarbons, such as n-alkanes (C11-C19), isoprenoids (pristane and phytane), aromatics with two or three aromatics rings (naphthalene, methylnaphthalenes, dimethylnaphthalenes, trimethylnaphthalenes, phenanthrene, methylphenanthrenes, dimethylphenanthrenes, anthracene). This strain was also capable of consuming more complex hydrocarbons, such as tricyclic terpanes. During this biodegradation, the emulsification index of the culture medium increased significantly, showing that biosurfactant molecules can be produced from this process. Therefore, Y. lipolytica IMUFRJ 50682 showed to be a potential crude oil degrading yeast, which can be used for bioremediation processes and simultaneously produce bioproducts of commercial interest.
1. Introduction
The invention and rapid adoption of the internal combustion engine in most transport systems has spread the use of oil, not to mention the energy and manufacturing industries that also depend deeply on this raw material, with increasing demand. The offshore oil exploration is carried out through production systems distributed between fixed and floating platforms and adapted ships. The flow of this production is carried out through pipelines and ships. All of these activities involve risks of accidental spills, which can be minimized, but not eliminated. Oil spills are among the major threats to the marine environment [1]. In recent years, numerous marine oil spill accidents have caused a severe decrease in the biodiversity and sorely damaged marine ecosystem health in polluted areas [2]. They can irreversibly impair the marine environment through extensive negative effects on the marine ecological environment and the ecosystems of the coastal countries and humanity [3]. According to the International Tanker Owners Pollution Federation LTD (ITOPF) oil tanker spill statistics in 2021, the oil transportation by tankers alone has caused the wastage of about 5.875 million tons of oil into the marine environment from 1970 to 2021 [4].
Petroleum is composed of a complex mixture of organic compounds, such as olefins, n-alkanes, branched paraffins, cyclic paraffins, aromatic compounds, oxygenated compounds, and sulfur compounds [5]. Petroleum hydrocarbons are recalcitrant complex compounds that could pose persistent or potential hazards to human health through the ecological cycle of marine and terrestrial ecosystems [6,7]. Several approaches to mitigate the presence of petroleum hydrocarbons in the environment have been proposed by researchers [8,9,10] and the agenda of managers linked to the oil sector.
Bioremediation approaches are cost-effective, environmentally sustainable, and can carry out the complete pollutant degradation. Microbial communities, taken as a whole, play a crucial role in hydrocarbon pollution events [11]. The biodegradation of hydrocarbons takes place in a multiphase system, which involves water, dissolved salts, organic material insoluble in water, gases (mainly O2/CO2), and solids. As these substrates are not miscible in water, their absorption requires morphological and physiological modifications, especially cell adhesion properties [12]. The assimilation of hydrocarbons requires cell surface hydrophobicity. However, not all microorganisms with surface hydrophobicity are hydrocarbon degraders, and not all hydrocarbon degraders can survive on an oily surface [13]. Becarelli et al. [14] evaluated four Ascomycetes strains for the biodegradation of petroleum hydrocarbons in real contaminated matrices, using a co-composting stage with lignocellulosic residues. Lambertella sp. displayed the highest diesel oil oxidation degree and was able to promote the degradation of around 48% of the petroleum hydrocarbons after two months of incubation. Koolivand et al. (2022) [15] studied the ability of isolated oil-degrading bacteria to reduce petroleum hydrocarbons in a composting process and found that the six bacteria strains as a consortium degraded 72–75% of crude oil after seven days. In the bioremediation treatment of crude oil, aerobic microbial degradation is the primary process [16].
Yarrowia lipolytica is a unique strictly aerobic yeast with the ability to utilize hydrocarbons as sole carbon sources of energy and degrade very efficiently hydrophobic substrates, such as n-alkanes, fatty acids, fats, and oils, for which it has specific metabolic pathways [6,12]. The literature reports its applications in the biodegradation of aliphatic hydrocarbons, such as n-hexadecane, n-tetradecane, n-octadecane, n-decane, and n-dodecane [17], aromatic compounds, including naphthalene, biphenyl, and benzo(a)pyrene [18] and organic pollutants, such as, for example, 2,4,6-trinitrotoluene [19], phenol, and 4-chlorophenol [20]. So, Y. lipolytica has emerged as a potential microorganism for the bioremediation of aquatic and terrestrial environments because, additionally, this fungus has the inherent ability to tolerate heavy metals, salt, and other pollutants [21]. Although being one of the most well-studied non-conventional yeasts, the elucidation of the order and degree of degradation of hydrophobic compounds should also support the utilization of this yeast’s superior characteristics for the suitable employment and the possibility of obtaining bioproducts during this process.
Therefore, in the present study, the ex-situ degrading potential of Y. lipolytica IMUFRJ 50682, isolated from tropical estuarine water in Rio de Janeiro (Brazil), was evaluated to investigate the compounds present in the crude oil that this strain can assimilate and the possible bioproducts that can be obtained simultaneously.
2. Materials and Methods
2.1. Materials
Peptone and yeast extract were obtained from Oxoid (Hampshire, UK) and glucose from Reagen (Rio de Janeiro, Brazil). The crude oil used was Marlim petroleum, provided by Petróleo Brasileiro S.A. (PETROBRAS, Brazil) with the following characteristics: 18.93 API (American Petroleum Institute) gravity, which is considered a heavy oil; average molecular weight ≈ 3000; asphaltenes = 3.1%; resins/asphaltenes = 8.1; saturated hydrocarbons/aromatic hydrocarbons = 1.6; 2.66% of N, S and O. The seawater was obtained from the Camurupim Field, Santos Basin (Espírito Santo, Brazil).
2.2. Strain
A wild-type strain of Yarrowia lipolytica (IMUFRJ 50682), selected from an estuary in Rio de Janeiro, Brazil [22] was used in this study. The cell culture was maintained at 4 °C on a YPD-agar medium (w/v: yeast extract, 1%; peptone, 2%; glucose, 2%, agar, 3%).
2.3. Crude Oil Biodegradation Tests
The cells from a preculture, cultivated for 48 h in a YPD medium (w/v: yeast extract, 1%; peptone, 2%; glucose, 2%) at 160 rpm, were centrifuged and inoculated in 250 mL flasks containing 50 mL of autoclaved seawater with 1.0% v/v crude oil, or 2.0% w/v glucose, or 1.0% v/v crude oil and 2% w/v glucose. The cells were cultivated for 120 h in a rotary shaker, agitated at 250 rpm at 28 °C. The abiotic control test was performed without cells. The samples were taken for the cell growth determination in the aqueous phase and biosurfactant, lipase, and citric acid determination in the free-cell medium after centrifugation (2000× g).
At the end of the biodegradation tests, the remaining crude oil was extracted and analyzed by a spectrophotometric method and a gas chromatograph-mass spectrometric analysis (GC-MS).
2.4. Determination of the Crude Oil Biodegradation
An oil phase extraction was performed with chloroform (1:1), diluted, and analyzed in a spectrophotometer (DR4000UV (HACH)) at 240 nm. The higher absorption was detected at 240 nm for Marlim petroleum after scanning the absorbance from 200 to 700 nm and, therefore, a standard curve was prepared at this wavelength to relate the absorbance to the petroleum concentration. This is an estimation of the crude oil removal since only the aromatic compounds are absorbed in this wavelength. The percentage of oil removal was calculated with the abiotic experiment as a control.
2.5. Cell Growth
The cell concentration in g dry weight of cells per liter (g D.W. cell/L): Cell growth was followed by the optical density measurements of the samples from the aqueous phase at 570 nm, converted to g.L−1 using a factor previously established.
The colony forming units (CFUs): Following the suitable dilution of the cell suspension in saline solution (0.9% (w/v) of sterile NaCl), a known volume (0.1 mL) of each diluted suspension was spread over a solid YPD culture medium deposited in a Petri dish. The colonies originated from each cell could be visible to the naked eye after 48 h of incubation at 28 °C. The degree of dilution of the cell suspension was chosen so that the number of colonies isolated on each plate was not less than 20 or greater than 300 colonies.
2.6. Lipase Production
The cell-free samples were used to measure the lipase activity by following the hydrolysis of p-nitrophenyl laurate (p-NFL) solution (560 μM) in a potassium phosphate buffer (50 mM, pH 7.0) [23]. The lipase activity was expressed in U/L. One unit is defined as the amount of enzyme which releases 1 mmol of p-nitrophenol per minute at pH 7.0 and 37 °C.
2.7. Biosurfactant Production
The biosurfactant production was estimated by the surface tension measurements and by the emulsification index (EI) of cell-free samples.
The determination of surface tension was performed using the K100 tensiometer Krüss, according to the De Nöuy plate and ring method. For each sample analyzed, 30 mL of a cell-free supernatant kept at 30 °C, was required. The equipment was previously calibrated with distilled water at the same temperature.
The EI was determined by the method described by Fontes et al. [24], by adding 1 mL of hexadecane to the same amount of sample, vortex-mixing this mixture for 2 min, and leaving it to stand for 24 h. The EI is given as a percentage of the height of the emulsified layer (cm) divided by the total height of the liquid column (cm).
2.8. Glucose Concentration
The glucose concentration was measured by the glucose oxidase method using an enzymatic kit for the colorimetric analysis of glucose (HUMAN GmbH—Germany). The absorbance of the enzymatic reaction is measured in a spectrophotometer at 500 nm, against the reaction blank, which is composed of water and the enzymatic mixture (phosphate buffer (pH 7.5) 100 mmol/L; 4-aminophenazone 0.25 mmol/L; phenol 0.75 mmol/L; glucose oxidase 15,000 U/L; Peroxidase 1500 U/L; Mutarotase 2000 U/L). The cell-free samples (15 μL) are mixed with 1500 μL of the enzymatic mixture and incubated for 10 min at 37 °C. Then, the absorbance of the sample and the standard (glucose, 100 mg/dL) are measured.
2.9. GC-MS Analysis
The gas chromatograph-mass spectrometric analysis (GC-MS) was carried out on an Agilent Technologies 6890N CG coupled to an Agilent Technologies 5973 mass spectrophotometer, using a DB-5 capillary column (J&W Scientific, 30 m × 0.25 mm i.d., 0.25 µm). The column temperature was programmed from 60 °C to 320 °C, at a rate of 6 °C/min and held at 320 °C for 20 min. The injector was heated at 290 °C. Helium was used as the carrier gas. The data acquisition was in electron impact (70 eV), and the selected ion monitoring (SIM) mode was used. The samples were injected in the splitless mode, injection volume of 1 µL, and analyzed in the scan mode in the mass range of 40–600 u.
2.10. Statistical Analysis
The statistical analysis was performed using the STATISTICA 7.1 software (StatSoft, Inc., Tulsa, OK, USA), using data obtained from three experimental repetitions. The means of different experimental conditions were compared using Student’s t-test (t-test). The statistical significance was set at p < 0.05.
3. Results
3.1. General Aspects of the Oil Biodegradation by Y. lipolytica
The biodegradation of oil in seawater performed in flasks by Y. lipolytica was evaluated in the presence or absence of glucose. The cell growth was higher when the easily metabolized carbon source was present, as expected (Figure 1). Despite the first impression that Y. lipolytica did not grow on oil as the sole carbon source, the microscopic images revealed the presence of cells attached to the oil phase. It was clear that the cell concentration determined in the aqueous phase was underestimating the cell growth, and the colony forming units (CFUs) determination revealed that (Table 1). The number of CFUs per milliliter of medium (measured after taking a sample as highly homogenized as possible), increased 140 times during the growth with oil, without glucose. More evidence of Y. lipolytica cell growth in oil is the higher cell concentration achieved in media containing oil and glucose, in comparison to only glucose (Table 1 and Figure 1).
Figure 1.
Cell growth profiles of Y. lipolytica IMUFRJ 50682 in seawater with 1% v/v oil (open circles), seawater with 2% glucose (black squares), and seawater with 2% glucose and 1% v/v oil (grey diamonds).
Table 1.
Colony forming units (CFUs), variation of the cell concentration (ΔX), oil removal (measured in a spectrophotometer at 240 nm), and the surface tension during the oil biodegradation by Y. lipolytica in seawater with carbon sources.
Following 120 h of growth in oil, in the presence or absence of glucose, the reduction of the oil content was detected by spectrophotometric analysis (240 nm) (Table 1). Although similar oil removal values were found for both conditions (Table 1), visually, it was evident that the oil was more dispersed when glucose was present (Figure 2).
Figure 2.
Images from the flasks after 120 h of Y. lipolytica IMUFRJ 50682 growth in (A) seawater with 1% v/v oil, (B) seawater with 2% glucose, and (C) seawater with 2% glucose and 1% v/v oil.
In fact, the surface tension measurements of the cell-free samples from the biodegradation tests revealed a higher reduction of the surface tension for the experiments with oil and glucose (29.94 mN/m), in relation to oil (6.60 mN/m) or glucose (7.15 mN/m) alone (Table 1). Probably, the production of a biosurfactant is stimulated by the presence of oil, but glucose is necessary to provide carbon more directly for its structure. With a higher oil dispersion by the production of a biosurfactant, the biodegradation can be increased.
3.2. Identification of the Compounds Reduced/Removed by the Biodegradation with Y. lipolytica
To verify whether Y. lipolytica can really consume some hydrocarbons present in petroleum, the crude oil, and the remaining oil of the biodegradation experiments with 1% v/v of oil were subjected to gas chromatography. An abiotic test, carried out just as the biodegradation test but without the microorganism, was performed to verify if the compounds removed from the medium were assimilated by the microorganism or simply underwent evaporation.
Figure 3 shows the total ion chromatograms of those samples. The reduction of some peaks in the abiotic test (Figure 3b), in relation to the crude oil (Figure 3a), might be associated with the volatilization of some compounds. Still, the absence of some peaks at the chromatographic fingerprints of the biodegradation test (Figure 3c), compared with the abiotic control (Figure 3b), proves that some compounds were indeed degraded by Y. lipolytica IMUFRJ 50682. It is important to depict that the scale of the peak intensity in Figure 3 is reduced 2.5 times for the biodegradation test, in relation to the abiotic test, to highlight the peaks, which demonstrates the actual reduction of several compounds (peaks).
Figure 3.
Total ion chromatograms of (a) crude oil (Marlim) (b) remaining oil after 120 h in the abiotic test and (c) remaining oil after 120 h of Y. lipolytica’s growth in seawater with 1% v/v of oil.
A low concentration of n-paraffins is observed for Marlim petroleum (Figure 3a), which characterizes it as a partially biodegraded oil, with a higher concentration of heavier compounds. This was already expected, due to its °API value, which characterizes it as heavy oil. Figure 3 also depicts that after the biodegradation process, the concentration of lighter compounds decreased, increasing the proportion of heavier compounds (longer retention time), in relation to the light compounds (shorter retention time).
The most studied biomarkers present in fossil fuels are n-alkanes, isoprenoid hydrocarbons, terpanes, and steranes. n-Alkanes are characterized by fragments of m/z 71, 85, and 99. Isoprenoids are characterized by fragments of m/z 113, 183, and 197, with pristane and phytane being the most found. In this sense, these chromatographic fingerprints were analyzed in detail.
The chromatographic fingerprints of fragments with m/z 85 show the presence of n-alkanes and the isoprenoids pristane (Pr) and phytane (F) (Figure 4). n-Paraffins are the most susceptible components to biodegradation [25], but isoparaffins are also consumed by this strain. n-Paraffins were more easily consumed, which can be verified by the abundance of these compounds, in relation to isoparaffins, for example, comparing the abundance of n-heptadecane (n-C17) with the pristane (Pr) or comparing the abundance of octadecane (n-C18) with phytane (F).
Figure 4.
Chromatographic fingerprints of m/z 85 of (a) remaining oil after 120 h in the abiotic test and (b) remaining oil after 120 h of Y. lipolytica’s growth in seawater with 1% v/v of oil.
The chromatographic fingerprints of m/z 78 shows the presence of monoaromatics. Although the aromatic compounds are mutagenic, carcinogenic, and recalcitrant, Y. lipolytica IMUFRJ 50682 was capable to degrade the monoaromatic hydrocarbons, such as trimethylbenzene and tetramethylbenzene (Figure 5). The literature has reported the use of Y. lipolytica and other oleaginous yeasts in the degradation of aromatic persistent organic pollutants [21].
Figure 5.
Chromatographic fingerprints of m/z 78 of (a) remaining oil after 120 h in the abiotic test and (b) remaining oil after 120 h of Y. lipolytica’s growth in seawater with 1% v/v of oil.
Terpanes can be divided into three main groups: tricyclic, tetracyclic, and pentacyclic. Tricyclic terpanes occur as a homologous series with carbon atoms ranging from C19 to C54. Tetracyclic terpanes are restricted to compounds from C24 to C27, and derive, possibly from the degradation of pentacyclic triterpanes [26]. Hopanes are the most common and well-studied pentacyclic terpenoids present in sediments rich in organic matter and oils. Figure 6 shows the extracted ion chromatogram (EIC) m/z 191, characteristic of terpanes, which indicates the presence of some tricyclic terpanes (Tr) and some hopanes (H). Comparing the chromatographic fingerprints of the abiotic test (Figure 6a) with the biodegradation test (Figure 6b), hopanes seem to be more resistant to biodegradation than terpanes, with the exception of C23 tricyclic terpanes (Tr23).
Figure 6.
Chromatographic fingerprints of m/z 191 of (a) remaining oil after 120 h in the abiotic test and (b) remaining oil after 120 h of Y. lipolytica’s growth in seawater with 1% v/v of oil.
Cheng et al. [25] have suggested that the biodegradation of tricyclic terpanes may occur after the removal of almost all hopanes and regular steranes, however C29 and C30 hopanes (H29 and H30) still persist. According to the authors, the biodegradation sequence suggests that C19–C21 tricyclic terpanes (Tr19, Tr20 and Tr21) are the most readily degraded members, followed by C22 and C23 members (Tr22 and Tr23), while the C24+ tricyclic terpanes seem more resistant to biodegradation. The C20 tricyclic terpane (Tr20) seems less susceptible to biodegradation than the C21–C23 species (Tr21, Tr22 and Tr23), corroborating the results obtained herein.
In addition to these compounds, the aromatic hydrocarbons whose biomarkers are monoaromatic and triaromatic steranes, phenanthrene and methylphenanthrenes, naphthalene, and methylnaphthalenes were also studied. The class of naphthalene, methylnaphthalenes, dimethylnaphthalenes, and trimethylnaphthalenes are characterized by the fragments with m/z 128, m/z 142, m/z 156, and m/z 170, respectively. Figure 7 shows the chromatographic fingerprints referring to these classes. Naphthalene was easily consumed by Y. lipolytica, as well as methylnaphthalenes and dimethylnaphthalenes. Comparing both chromatographic fingerprints, the abundance of methylnaphthalenes, in relation to dimethylnaphthalenes and trimethylnaphthalenes is higher after the biodegradation test. Although Y. lipolytica is capable of degrading aromatic compounds, the aliphatic cleavage pathway is easier than the ring cleavage pathway, resulting in a smaller reduction of methylnaphthalenes, compared to the others, which is also the product of the dimethylnaphthalenes and trimethylnaphthalenes degradation.
Figure 7.
Chromatographic fingerprints of m/z 128, m/z 142, m/z 156, and m/z 170 of (a) remaining oil after 120 h in the abiotic test and (b) remaining oil after 120 h of Y. lipolytica’s growth in seawater with 1% v/v of oil.
Phenanthrene, methylphenanthrenes, and dimethylphenanthrenes are characterized by the fragments m/z 178, m/z 192, and m/z 206, respectively. Figure 8 shows the chromatographic fingerprints referring to these classes. It is evident that Y. lipolytica is capable of consuming triaromatic compounds. Differently from what was observed for the diaromatic compounds, methylphenanthrenes are more easily assimilated than dimethylphenanthrenes.
Figure 8.
Chromatographic fingerprints of m/z 178, m/z 192, and m/z 206 of (a) remaining oil after 120 h in the abiotic test and (b) remaining oil after 120 h of Y. lipolytica’s growth in seawater with 1% v/v of oil.
According to Deeba et al. [27], the ring cleavage of aromatic hydrocarbons by the oleaginous yeast Cryptococcus psychrotolerans follows the ortho route for phenol and naphthalene and the meta route for the anthracene and pyrene degradation. If Y. lipolytica follows this same cleavage pathway, it does not degrade 2-methylphenanthrene since there is a methyl group in this position though dimethylphenanthrenes and trimethylphenanthrenes can be degrade on their aliphatic portion. Moreover, if the group of phenantrenes, which are triaromatic compounds, follow the same cleavage pathway of anthracene, they are easily degraded by the meta route.
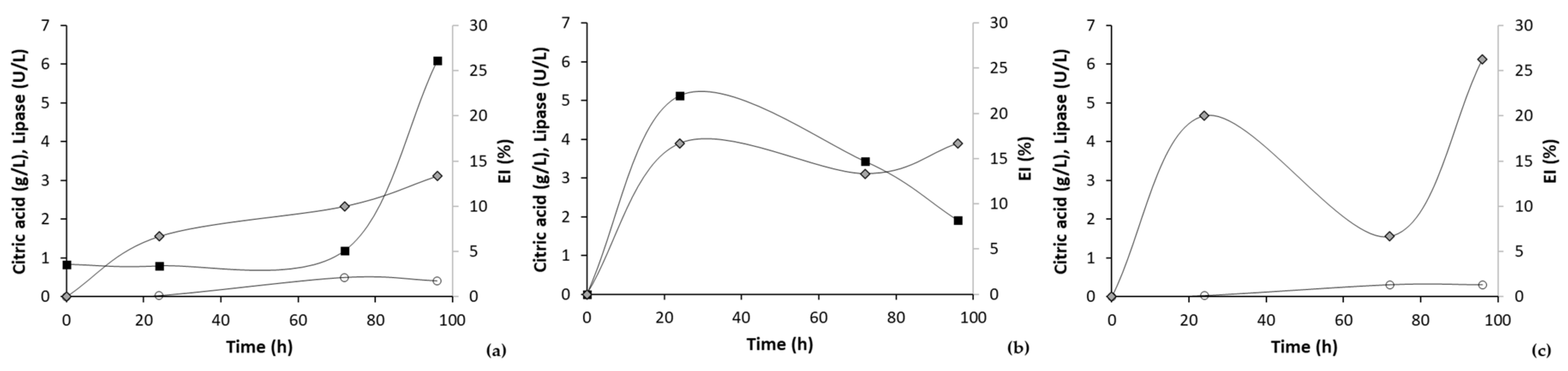
3.3. Bioproducts from the Biodegradation of Crude Oil with Y. lipolytica
During the crude oil degradation, we tested lipases, citric acid, and bioemulsifiers as possible products, based on the usual products obtained by this yeast [23,28,29]. The lipase and citric acid production (Figure 9) were very low, in comparison to other studies [23,28]. Nevertheless, Figure 9 depicts the bioemulsifier production during the Marlim petroleum consumption, by the detection of approximately 16% of the emulsification index (Figure 9b). When glucose was used with petroleum, lower values of the EI were detected (Figure 9a), but glucose alone was slightly higher (Figure 9c). We had already detected the reduction of the surface tension (Table 1), but the emulsification index measurements confirmed the emulsification activity in the cell-free medium.
Figure 9.
Bioproducts concentration profiles obtained by Y. lipolytica IMUFRJ 50682 in medium with 2% glucose and 1% v/v oil (a), in medium with 1% v/v oil (b), and in medium with 2% glucose (c). Citric acid (open circles), lipase activity (black squares), emulsification index (EI) (grey diamonds).
4. Discussion
Most likely, the oil consumption by Y. lipolytica happens by two mechanisms: by the adhesion of cells to the oil because of its hydrophobicity and by the dispersion of the oil, caused by the production of a biosurfactant. The presence of cells adhered to the oil (Figure 10) and the reduction of the surface tension detected during biodegradation (Table 1) indicates that both mechanisms are present in the biodegradation of Marlim petroleum. The high hydrophobicity of the strain used in the present study (Y. lipolytica IMUFRJ 50682) had already been reported for cells cultivated in a YPD medium [30]. In fact, a comparison with other Y. lipolytica strains revealed that this is a unique characteristic of the Guanabara Bay isolated strain (IMUFRJ 50682). This feature is a tremendous advantage for the biodegradation process since it enhances the contact between the hydrophobic substrate (the oil) and the cells that are submersed in the hydrophilic phase (seawater).
Figure 10.
Optical microscopic observations of the culture medium after 96 h of Y. lipolytica IMUFRJ 50682 cultivation in medium with 2% glucose and 1% v/v oil (a,b) and in medium with 1% v/v oil (c,d).
The production of biosurfactants by Y. lipolytica IMUFRJ 50682 has been reported in previous studies by this research group [24,29,30,31]. Although the production of biosurfactants occurs in the presence of carbon sources soluble in water (glucose and glycerol, for example) [31] several studies show that the highest biosurfactants yields are detected with the hydrophobic substrates [32]. Combining a water-insoluble substrate and carbohydrate can increase even more these yields. Sarrubo et al. [32] optimized the conditions of the biosurfactant production by C. lipolytica in a medium containing canola oil (100 g/L), and glucose (100 g/L), with a surface tension reduction of 41 mN/m, slightly higher to what was found in the present study with Marlim petroleum and glucose without optimization (30 mN/m, Table 1). This surface tension reduction helps the biodegradation process by dispersing the oil, which can benefit also other microorganisms that do not produce surfactants, to consume the oil.
Y. lipolytica can consume several high molecular-weight hydrocarbons, as shown in the present work. Eight bacteria, 21 fungi and four yeasts isolated from petroleum-polluted soils and cyanobacterial mats were identified by Chaillan et al. [33] in a screening for aerobic culturable hydrocarbon-degrading microorganisms. Yeasts were from Candida, Yarrowia, and Pichia genera. the maximum degradation was observed on the saturated hydrocarbons (n- and isoalkanes, isoprenoids), whereas the aromatic hydrocarbons degradation was lower. Y. lipolytica was not the best of the species in this study that revealed bacterial species as the most active for the oil biodegradation but stood out between other yeasts and was in the center (middle) of the principal components analysis. In another study, the fungal isolates belonging to the group Sordariomycetes, and bacterial isolates belonging to the groups Actinobacteria, Betaproteobacteria, and Gammaproteobacteria, showed a high potential for the polycyclic aromatic hydrocarbons degradation [34]. The biodegradation of these compounds is challenging because of their hydrophobicity and low aqueous solubility. Hou et al. [35] used phenanthrene as a sole carbon source to screen and identify the bacterial strains to produce biodemulsifiers that enhance the bioavailability and solubility of the aromatic hydrocarbons. Achromobacter sp. LH-1 achieved a 94% degradation rate and a 40% mineralization rate with 100 mg/L phenanthrene. Y. lipolytica could also degrade the polyaromatic hydrocarbons from Marlim petroleum (Figure 7) and, produce a bioemulsifier during biodegradation.
Fontes et al. [31] optimized the production of bioemulsifiers by Y. lipolytica, from the work of Amaral et al. [30], obtaining 81% of the EI in a medium containing glucose and glycerol as a carbon source and ammonium sulfate as a nitrogen source. In this new study, we have demonstrated that Y. lipolytica can produce a bioemulsifier in a medium containing only Marlim petroleum without any nitrogen source or other carbon source (hydrophilic), which reveals a promising way to reduce pollution and generate a bioproduct with commercial interest.
5. Conclusions
Y. lipolytica IMUFRJ 50682 can degrade high molecular weight hydrocarbons, such as n-alkanes (C11-C19), isoprenoids (pristane and phytane), and aromatics with two or three aromatics rings (naphthalene, methylnaphthalenes, dimethylnaphthalenes, trimethylnaphthalenes, phenanthrene, methylphenanthrenes, dimethylphenanthrenes, anthracene). This strain was also capable of consuming more complex hydrocarbons, such as tricyclic terpanes. The process of biodegradation is stimulated by the presence of glucose, which also helps the cell growth. The adhesion of the cells to the oil is one of the mechanisms for the oil consumption. During the biodegradation process, it also produces biosurfactants that can potentially help other microorganisms to degrade the oil, and it can be separated to be used as a bioproduct. The biosurfactant production is the other mechanism for oil consumption by this strain. Y. lipolytica IMUFRJ 50682 is a promising microorganism to the heavy oil bioremediation.
Author Contributions
Conceptualization, P.F.F.A., T.F.F. and C.A.C.; methodology, T.F.F., F.F.M. and C.A.C.; formal analysis, T.F.F., F.F.M. and C.A.C.; resources, M.A.Z.C. and D.d.A.A.; data curation, D.d.A.A. and T.F.F.; writing—original draft preparation, T.F.F., P.F.F.A. and C.A.C.; writing—review and editing, P.F.F.A. and T.F.F.; project administration, P.F.F.A. and T.F.F.; funding acquisition, M.A.Z.C., P.F.F.A. and T.F.F. All authors have read and agreed to the published version of the manuscript.
Funding
This research was funded by Fundação Carlos Chagas Filho de Amparo à Pesquisa do Estado do Rio de Janeiro (FAPERJ—grant number E-26/210.448/2021), and Conselho Nacional de Desenvolvimento Científico e Tecnológico (CNPq—grant PQ: 308626/2019-2). The APC was funded by Fundação Carlos Chagas Filho de Amparo à Pesquisa do Estado do Rio de Janeiro (FAPERJ—grant numbers E-26/201.419/2022; and E-26/201.105/2022).
Institutional Review Board Statement
Not applicable.
Informed Consent Statement
Not applicable.
Data Availability Statement
Not applicable.
Acknowledgments
The authors would like to acknowledge PETROBRAS that provided the Marlim petroleum and Subsea 7 that provided the seawater.
Conflicts of Interest
The authors declare no conflict of interest.
References
- Sevgili, C.; Fiskin, R.; Cakir, E. A Data-Driven Bayesian Network Model for Oil Spill Occurrence Prediction Using Tankship Accidents. J. Clean. Prod. 2022, 370, 133478. [Google Scholar] [CrossRef]
- Kottuparambil, S.; Agusti, S. Cell-by-Cell Estimation of PAH Sorption and Subsequent Toxicity in Marine Phytoplankton. Chemosphere 2020, 259, 127487. [Google Scholar] [CrossRef] [PubMed]
- Cakir, E.; Sevgili, C.; Fiskin, R. An Analysis of Severity of Oil Spill Caused by Vessel Accidents. Transp. Res. Part D Transp. Environ. 2021, 90, 102662. [Google Scholar] [CrossRef]
- ITOPF. Oil Tanker Spill Statistics 2010; ITOPF Ltd.: London, UK, 2010. [Google Scholar]
- Logeshwaran, P.; Megharaj, M.; Chadalavada, S.; Bowman, M.; Naidu, R. Petroleum Hydrocarbons (PH) in Groundwater Aquifers: An Overview of Environmental Fate, Toxicity, Microbial Degradation and Risk-Based Remediation Approaches. Environ. Technol. Innov. 2018, 10, 175–193. [Google Scholar] [CrossRef]
- Ferreira, T.; Azevedo, D.; Coelho, M.A.; Rocha-Leão, M.H. The Crude Oil Degrading Potential of Yarrowia lipolytica. N. Biotechnol. 2009, 25, S80–S81. [Google Scholar] [CrossRef]
- Sajna, K.V.; Sukumaran, R.K.; Gottumukkala, L.D.; Pandey, A. Crude Oil Biodegradation Aided by Biosurfactants from Pseudozyma Sp. NII 08165 or Its Culture Broth. Bioresour. Technol. 2015, 191, 133–139. [Google Scholar] [CrossRef]
- Chen, T.; Yavuz, B.M.; Delgado, A.G.; Montoya, G.; Van Winkle, D.; Zuo, Y.; Kamath, R.; Westerhoff, P.; Krajmalnik-Brown, R.; Rittmann, B.E. Impacts of Moisture Content during Ozonation of Soils Containing Residual Petroleum. J. Hazard. Mater. 2018, 344, 1101–1108. [Google Scholar] [CrossRef]
- Zhen, L.; Hu, T.; Lv, R.; Wu, Y.; Chang, F.; Jia, F.; Gu, J. Succession of Microbial Communities and Synergetic Effects during Bioremediation of Petroleum Hydrocarbon-Contaminated Soil Enhanced by Chemical Oxidation. J. Hazard. Mater. 2021, 410, 124869. [Google Scholar] [CrossRef]
- Apul, O.G.; Arrowsmith, S.; Hall, C.A.; Miranda, E.M.; Alam, F.; Dahlen, P.; Sra, K.; Kamath, R.; McMillen, S.J.; Sihota, N.; et al. Biodegradation of Petroleum Hydrocarbons in a Weathered, Unsaturated Soil Is Inhibited by Peroxide Oxidants. J. Hazard. Mater. 2022, 433, 128770. [Google Scholar] [CrossRef]
- Fuentes, S.; Méndez, V.; Aguila, P.; Seeger, M. Bioremediation of Petroleum Hydrocarbons: Catabolic Genes, Microbial Communities, and Applications. Appl. Microbiol. Biotechnol. 2014, 98, 4781–4794. [Google Scholar] [CrossRef]
- Fickers, P.; Benetti, P.H.; Waché, Y.; Marty, A.; Mauersberger, S.; Smit, M.S.; Nicaud, J.M. Hydrophobic Substrate Utilisation by the Yeast Yarrowia lipolytica, and Its Potential Applications. FEMS Yeast Res. 2005, 5, 527–543. [Google Scholar] [CrossRef] [PubMed]
- Ron, E.Z.; Rosenberg, E. Biosurfactants and Oil Bioremediation. Curr. Opin. Biotechnol. 2002, 13, 249–252. [Google Scholar] [CrossRef] [PubMed]
- Becarelli, S.; Chicca, I.; Siracusa, G.; La China, S.; Gentini, A.; Lorenzi, R.; Munz, G.; Petroni, G.; Levin, D.B.; Di Gregorio, S. Hydrocarbonoclastic Ascomycetes to Enhance Co-Composting of Total Petroleum Hydrocarbon (TPH) Contaminated Dredged Sediments and Lignocellulosic Matrices. N. Biotechnol. 2019, 50, 27–36. [Google Scholar] [CrossRef] [PubMed]
- Koolivand, A.; Abtahi, H.; Parhamfar, M.; Saeedi, R.; Coulon, F.; Kumar, V.; Villaseñor, J.; Sartaj, M.; Najarian, N.; Shahsavari, M.; et al. The Effect of Petroleum Hydrocarbons Concentration on Competition between Oil-Degrading Bacteria and Indigenous Compost Microorganisms in Petroleum Sludge Bioremediation. Environ. Technol. Innov. 2022, 26, 102319. [Google Scholar] [CrossRef]
- Reddy, M.V.; Devi, M.P.; Chandrasekhar, K.; Goud, R.K.; Mohan, S.V. Aerobic Remediation of Petroleum Sludge through Soil Supplementation: Microbial Community Analysis. J. Hazard. Mater. 2011, 197, 80–87. [Google Scholar] [CrossRef]
- Zinjarde, S.S.; Pant, A.; Deshpande, M.V. Dimorphic Transition in Yarrowia lipolytica Isolated from Oil-Polluted Sea Water. Mycol. Res. 1998, 102, 553–558. [Google Scholar] [CrossRef]
- Cerniglia, C.E.; Sutherland, J.B. Relative Roles of Bacteria and Fungi in Polycyclic Aromatic Hydrocarbon Biodegradation and Bioremediation of Contaminated Soils. In Fungi in Biogeochemical Cycles; Gadd, G.M., Ed.; Cambridge University Press: Cambridge, UK, 2006; pp. 182–211. ISBN 9780521845793. [Google Scholar]
- Jain, M.R.; Zinjarde, S.S.; Deobagkar, D.D.; Deobagkar, D.N. 2,4,6-Trinitrotoluene Transformation by a Tropical Marine Yeast, Yarrowia lipolytica NCIM 3589. Mar. Pollut. Bull. 2004, 49, 783–788. [Google Scholar] [CrossRef]
- Lee, J.S.; Kang, E.J.; Kim, M.O.; Lee, D.H.; Bae, K.S.; Kim, C.K. Identification of Yarrowia lipolytica Y103 and Its Degradability of Phenol and 4-Chlorophenol. J. Microbiol. Biotechnol. 2001, 11, 112–117. [Google Scholar]
- Bankar, A.V.; Kumar, A.R.; Zinjarde, S.S. Environmental and Industrial Applications of Yarrowia lipolytica. Appl. Microbiol. Biotechnol. 2009, 84, 847–865. [Google Scholar] [CrossRef]
- Hagler, A.N.; Mendonça-Hagler, L.C. Yeasts from Marine and Estuarine Waters with Different Levels of Pollution in the State of Rio de Janeiro, Brazil. Appl. Environ. Microbiol. 1981, 41, 173–178. [Google Scholar] [CrossRef]
- Brígida, A.I.S.; Amaral, P.F.F.; Gonçalves, L.R.B.; da Rocha-Leão, M.H.M.; Coelho, M.A.Z. Yarrowia lipolytica IMUFRJ 50682: Lipase Production in a Multiphase Bioreactor. Curr. Biochem. Eng. 2014, 1, 65–74. [Google Scholar] [CrossRef]
- Fontes, G.C.; Ramos, N.M.; Amaral, P.F.F.; Nele, M.; Coelho, M.A.Z. Renewable Resources for Biosurfactant Production by Yarrowia lipolytica. Brazilian J. Chem. Eng. 2012, 29, 483–493. [Google Scholar] [CrossRef]
- Cheng, X.; Hou, D.; Xu, C.; Wang, F. Biodegradation of Tricyclic Terpanes in Crude Oils from the Bohai Bay Basin. Org. Geochem. 2016, 101, 11–21. [Google Scholar] [CrossRef]
- Wiedemann, L.S.M. Caracterização Geoquímica de Óleos Da Bacia Sedimentar Brasileira. Ph.D. Thesis, Federal University of Rio de Janeiro, Rio de Janeiro, Brazil, 2006. [Google Scholar]
- Deeba, F.; Pruthi, V.; Negi, Y.S. Aromatic Hydrocarbon Biodegradation Activates Neutral Lipid Biosynthesis in Oleaginous Yeast. Bioresour. Technol. 2018, 255, 273–280. [Google Scholar] [CrossRef] [PubMed]
- Da Silva, L.V.; Coelho, M.A.Z.; da Silva, M.R.S.; Amaral, P.F.F. Investigation of Mitochondrial Protein Expression Profiles of Yarrowia lipolytica in Response to Citric Acid Production. Bioprocess Biosyst. Eng. 2020, 43, 1703–1715. [Google Scholar] [CrossRef]
- Dos Santos, F.F.; de Freitas, K.M.L.; Pereira, A.d.S.; Fontes-Sant’Ana, G.C.; da Rocha-Leão, M.H.M.; Amaral, P.F.F. Butter Whey and Corn Steep Liquor as Sole Raw Materials to Obtain a Bioemulsifier from Yarrowia lipolytica for Food Oil-in-Water Emulsions. Ciência Rural 2021, 51, 1–12. [Google Scholar] [CrossRef]
- Amaral, P.F.F.; da Silva, J.M.; Lehocky, M.; Barros-Timmons, A.M.V.; Coelho, M.A.Z.; Marrucho, I.M.; Coutinho, J.A.P. Production and Characterization of a Bioemulsifier from Yarrowia lipolytica. Process Biochem. 2006, 41, 1894–1898. [Google Scholar] [CrossRef]
- Fontes, G.C.; Fonseca Amaral, P.F.; Nele, M.; Zarur Coelho, M.A. Factorial Design to Optimize Biosurfactant Production by Yarrowia lipolytica. J. Biomed. Biotechnol. 2010, 2010, 1–8. [Google Scholar] [CrossRef]
- Sarubbo, L.A.; Farias, C.B.B.; Campos-Takaki, G.M. Co-Utilization of Canola Oil and Glucose on the Production of a Surfactant by Candida lipolytica. Curr. Microbiol. 2007, 54, 68–73. [Google Scholar] [CrossRef]
- Chaillan, F.; Le Flèche, A.; Bury, E.; Phantavong, Y.H.; Grimont, P.; Saliot, A.; Oudot, J. Identification and Biodegradation Potential of Tropical Aerobic Hydrocarbon-Degrading Microorganisms. Res. Microbiol. 2004, 155, 587–595. [Google Scholar] [CrossRef]
- Marchand, C.; St-Arnaud, M.; Hogland, W.; Bell, T.H.; Hijri, M. Petroleum Biodegradation Capacity of Bacteria and Fungi Isolated from Petroleum-Contaminated Soil. Int. Biodeterior. Biodegrad. 2017, 116, 48–57. [Google Scholar] [CrossRef]
- Hou, N.; Zhang, N.; Jia, T.; Sun, Y.; Dai, Y.; Wang, Q.; Li, D.; Luo, Z.; Li, C. Biodegradation of Phenanthrene by Biodemulsifier-Producing Strain Achromobacter Sp. LH-1 and the Study on Its Metabolisms and Fermentation Kinetics. Ecotoxicol. Environ. Saf. 2018, 163, 205–214. [Google Scholar] [CrossRef] [PubMed]
Disclaimer/Publisher’s Note: The statements, opinions and data contained in all publications are solely those of the individual author(s) and contributor(s) and not of MDPI and/or the editor(s). MDPI and/or the editor(s) disclaim responsibility for any injury to people or property resulting from any ideas, methods, instructions or products referred to in the content. |
© 2022 by the authors. Licensee MDPI, Basel, Switzerland. This article is an open access article distributed under the terms and conditions of the Creative Commons Attribution (CC BY) license (https://creativecommons.org/licenses/by/4.0/).









