Butanol Production by a Novel Efficient Method Using Mixed Cultures of Clostridium beijerinckii and Arthrobacter sp. in Stirred-Tank and Gas-Lift Bioreactors
Abstract
:1. Introduction
2. Materials and Methods
2.1. Raw Materials
2.2. Butanol Production (BP) Medium Preparation
2.3. Microorganisms and Inoculum Preparation
2.4. Experiments
2.4.1. Butanol Production by a Single Culture of C. beijerinckii TISTR 1461
2.4.2. Butanol Production by Mixed Cultures of Arthrobacter sp. BCC 72131 and C. beijerinckii TISTR 1461
2.4.3. Butanol Production by Mixed Cultures in Stirred-Tank and Gas-Lift Bioreactors
2.5. Analytical Methods
3. Results and Discussion
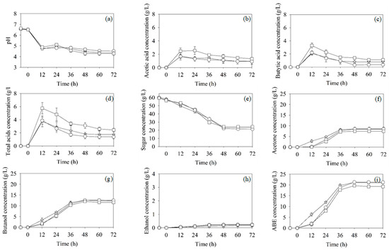
3.1. Butanol Production from SSJ Medium by Single and Mixed Cultures
3.2. Morphology of C. beijerinckii TISTR 1461 during ABE Fermentation by a Single Culture and Mixed Cultures
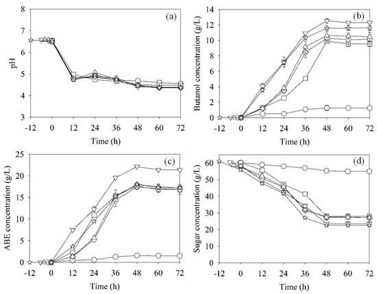
3.3. Butanol Production by the Mixed Cultures in Stirred-Tank and Gas-Lift Bioreactors
3.4. Comparison of Butanol Production by Mixed Cultures with Other Studies
| Substrate | Mixed Cultures | Bioreactor | Butanol Production | References | ||
|---|---|---|---|---|---|---|
| PB (g/L) | QB (g/L·h) | YB/S (g/g) | ||||
| SSJ (60 g/L of sugar) | C. beijerinckii TISTR 1461 + Arthrobacter sp. | 1-L screw-capped bottle | 12.56 | 0.23 | 0.34 | The current study |
| SSJ (60 g/L of sugar) | C. beijerinckii TISTR 1461 + Arthrobacter sp. | 5.6-L stirred-tank bioreactor | 12.59 | 0.23 | 0.34 | The current study |
| SSJ (60 g/L of sugar) | C. beijerinckii TISTR 1461 + Arthrobacter sp. | 1.2-L gas-lift bioreactor | 12.00 | 0.22 | 0.33 | The current study |
| Cassava starch (40 g/L of starch) | C. butylicum TISTR 1032 + B. subtilis WS 161 | 120-mL serum bottle | 6.70 | 0.10 | 0.21 | [13] |
| Pretreated palm pressed fiber (5 g/L) | C. acetobutylicum DSM 1731 + B. cellolyticus JCM 9156 | 60-mL serum bottle | 3.77 | 0.02 | - | [14] |
| Spoilage date fruit (75 g/L) | C. acetobutylicum ATCC 824 + B. subtilis DSM 4451 | 2-L fermenter | 14.90 | 0.21 | 0.29 | [15] |
| Corn mash (6.5% by wt. of corn flour) | C. beijerinckii NCIMB 8052 + B. cereus CGMCC 1.895 | 5-L fermenter | 6.78 | 0.07 | - | [16] |
| Agave hydrolysate (52 g/L) | C. acetobutylicum ATCC 824 + B. subtilis CDBB 555 | 120-mL glass bottle | 8.28 | 0.10 | 0.29 | [17] |
| Mixed-sugars (25 g/L of xylose and 25 g/L of glucose) | C. acetobutylicum CH02 + S. cerevisiae | 250-mL flask | 8.33 | 0.09 | 0.18 | [32] |
4. Conclusions
Author Contributions
Funding
Institutional Review Board Statement
Informed Consent Statement
Data Availability Statement
Acknowledgments
Conflicts of Interest
References
- Dzida, M. Thermophysical properties of 1-butanol at high pressures. Energies 2020, 13, 5046. [Google Scholar] [CrossRef]
- Dürre, P. From Pandora’s box to cornucopia: Clostridia a historical perspective. In Clostridia: Biotechnology and Medical Applications; Bahl, H., Dürre, P., Eds.; Wiley-VCH: Weinheim, Germany, 2001; pp. 1–17. [Google Scholar]
- Xue, C.; Wu, Y.; Gu, Y.; Jiang, W.; Dong, H.; Zhang, Y.; Zhao, C.; Li, Y. Biofuels and bioenergy: Acetone and butanol. Compr. Biotechnol. 2019, 3, 79–100. [Google Scholar] [CrossRef]
- Xue, C.; Liu, F.; Xu, M.; Zhao, J.; Chen, L.; Ren, J.; Bai, F.; Yang, S.T. A novel in situ gas stripping-pervaporation process integrated with acetone-butanol-ethanol fermentation for hyper n-butanol production. Biotechnol. Bioeng. 2016, 113, 120–129. [Google Scholar] [CrossRef] [PubMed]
- Li, S.; Zhou, Y.; Luo, Z.; Cui, Y.; Xu, Y.; Lin, L.; Zhao, M.; Guo, Y.; Pang, Z. Dual function of ammonium acetate in acetone-butanol-ethanol fermentation by Clostridium acetobutylicum. Bioresour. Technol. 2018, 267, 319–325. [Google Scholar] [CrossRef]
- Lee, S.Y.; Park, J.H.; Jang, S.H.; Nielsen, L.K.; Kim, J.; Jung, K.S. Fermentative butanol production by Clostridia. Biotechnol. Bioeng. 2008, 101, 209–228. [Google Scholar] [CrossRef] [PubMed]
- Narueworanon, P.; Laopaiboon, L.; Phukoetphim, N.; Laopaiboon, P. Impacts of initial sugar, nitrogen and calcium carbonate on butanol fermentation from sugarcane molasses by Clostridium beijerinckii. Energies 2020, 13, 694. [Google Scholar] [CrossRef] [Green Version]
- Sirisantimethakom, L.; Thanapornsin, T.; Laopaiboon, L.; Laopaiboon, P. Enhancement of butanol production efficiency from sweet sorghum stem juice by Clostridium beijerinckii using statistical experimental design. Chiang Mai J. Sci. 2018, 45, 1235–1246. [Google Scholar]
- Pinto, T.; Flores-Alsina, X.; Gernaey, K.V.; Junicke, H. Alone or together? A review on pure and mixed microbial cultures for butanol production. Renew. Sustain. Energy Rev. 2021, 147, 111244. [Google Scholar] [CrossRef]
- Qureshi, N.; Blaschek, H.P. Production of acetone butanol ethanol (ABE) by a hyper-producing mutant strain of Clostridium beijerinckii BA101 and recovery by pervaporation. Biotechnol. Prog. 1999, 15, 594–602. [Google Scholar] [CrossRef]
- Daengbussadee, C.; Laopaiboon, L.; Kaewmaneewat, A.; Sirisantimethakom, L.; Laopaiboon, P. Novel methods using an Arthrobacter sp. to create anaerobic conditions for biobutanol production from sweet sorghum juice by Clostridium beijerinckii. Processes 2021, 9, 178. [Google Scholar] [CrossRef]
- Mathur, S.; Umakanth, A.V.; Tonapi, V.A.; Sharma, R.; Sharma, M.K. Sweet sorghum as biofuel feedstock: Recent advances and available resources. Biotechnol. Biofuels 2017, 10, 146. [Google Scholar] [CrossRef] [PubMed] [Green Version]
- Tran, H.T.M.; Cheirsilp, B.; Hodgson, B.; Umsakul, K. Potential use of Bacillus subtilis in a co-culture with Clostridium butylicum for acetone-butanol-ethanol production from cassava starch. Biochem. Eng. J. 2010, 48, 260–267. [Google Scholar] [CrossRef]
- Ponthein, W.; Cheirsilp, B. Development of acetone butanol ethanol (ABE) production from palm pressed fiber by mixed culture of Clostridium sp. and Bacillus sp. Energy Procedia 2011, 9, 459–467. [Google Scholar] [CrossRef] [Green Version]
- Abd-Alla, M.H.; Elsadek El-Enany, A.-W. Production of acetone-butanol-ethanol from spoilage date palm (Phoenix dactylifera L.) fruits by mixed culture of Clostridium acetobutylicum and Bacillus subtilis. Biomass Bioenergy 2012, 42, 172–178. [Google Scholar] [CrossRef]
- Mai, S.; Wang, G.; Wu, P.; Gu, C.; Liu, H.; Zhang, J.; Wang, G. Interactions between Bacillus cereus CGMCC 1.895 and Clostridium beijerinckii NCIMB 8052 in coculture for butanol production under nonanaerobic conditions. Biotechnol. Appl. Biochem. 2017, 64, 719–726. [Google Scholar] [CrossRef]
- Oliva-Rodríguez, A.G.; Quintero, J.; Medina-Morales, M.A.; Morales-Martínez, T.K.; Rodríguez-De la Garza, J.A.; Moreno-Dávila, M.; Aroca, G.; Rios González, L.J. Clostridium strain selection for co-culture with Bacillus subtilis for butanol production from agave hydrolysates. Bioresour. Technol. 2019, 275, 410–415. [Google Scholar] [CrossRef]
- Laopaiboon, L.; Nuanpeng, S.; Srinophakun, P.; Klanrit, P.; Laopaiboon, P. Ethanol production from sweet sorghum juice using very high gravity technology: Effects of carbon and nitrogen supplementations. Bioresour. Technol. 2009, 100, 4176–4182. [Google Scholar] [CrossRef]
- Wechgama, K.; Laopaiboon, L.; Laopaiboon, P. Biobutanol production from agricultural raw materials by Clostridium spp. Chiang Mai J. Sci. 2017, 44, 394–405. [Google Scholar]
- Ezeji, T.C.; Qureshi, N.; Blaschek, H.P. Production of acetone, butanol and ethanol by Clostridium beijerinckii BA101 and in situ recovery by gas stripping. World J. Microbiol. Biotechnol. 2003, 19, 595–603. [Google Scholar] [CrossRef]
- Sirisantimethakom, L.; Laopaiboon, L.; Sanchanda, P.; Chatleudmongkol, J.; Laopaiboon, P. Improvement of butanol production from sweet sorghum juice by Clostridium beijerinckii using an orthogonal array design. Ind. Crop. Prod. 2016, 79, 287–294. [Google Scholar] [CrossRef]
- Thanapornsin, T.; Sanchanda, P.; Laopaiboon, L.; Laopaiboon, P. Batch butanol fermentation from sugarcane molasses integrated with a gas stripping system: Effects of sparger types and gas flow rates. Asia-Pac. J. Sci. Technol. 2018, 23, APST-23-04-08. [Google Scholar] [CrossRef]
- Mecozzi, M. Estimation of total carbohydrate amount in environmental samples by the phenol-sulphuric acid method assisted by multivariate calibration. Chemom. Intell. Lab. Syst. 2005, 79, 84–90. [Google Scholar] [CrossRef]
- Sirisantimethakom, L.; Laopaiboon, L.; Danvirutai, P.; Laopaiboon, P. Volatile compounds of a traditional Thai rice wine. Biotechnology 2008, 7, 505–513. [Google Scholar] [CrossRef]
- Sriputorn, B.; Laopaiboon, P.; Phukoetphim, N.; Polsokchuak, N.; Butkun, K.; Laopaiboon, L. Enhancement of ethanol production efficiency in repeated-batch fermentation from sweet sorghum stem juice: Effect of initial sugar, nitrogen and aeration. Electron. J. Biotechnol. 2020, 46, 55–64. [Google Scholar] [CrossRef]
- Bradford, M. A rapid and sensitive method for the quantitation of microgram quantities of protein utilizing the principle of protein-dye binding. Anal. Biochem. 1976, 72, 248–254. [Google Scholar] [CrossRef]
- Abernathy, D.G.; Spedding, G.; Starcher, B. Analysis of protein and total usable nitrogen in beer and wine using a microwell ninhydrin assay. J. Inst. Brew. 2009, 115, 122–127. [Google Scholar] [CrossRef]
- Dahman, Y.; Dignan, C.; Fiayaz, A.; Chaudhry, A. An Introduction to Biofuels, Foods, Livestock, and the Environment; Elsevier Ltd.: Amsterdam, The Netherlands, 2019; ISBN 9780081024263. [Google Scholar]
- Xu, M.; Zhao, J.; Yu, L.; Tang, I.C.; Xue, C.; Yang, S.T. Engineering Clostridium acetobutylicum with a histidine kinase knockout for enhanced n-butanol tolerance and production. Appl. Microbiol. Biotechnol. 2015, 99, 1011–1022. [Google Scholar] [CrossRef] [PubMed]
- Al-Hinai, M.A.; Jones, S.W.; Papoutsakis, E.T. The Clostridium sporulation programs: Diversity and preservation of endospore differentiation. Microbiol. Mol. Biol. Rev. 2015, 79, 19–37. [Google Scholar] [CrossRef] [Green Version]
- Sanchez, A.; Valdez-Vazquez, I.; Soto, A.; Sánchez, S.; Tavarez, D. Lignocellulosic n-butanol co-production in an advanced biorefinery using mixed cultures. Biomass Bioenergy 2017, 102, 1–12. [Google Scholar] [CrossRef]
- Qi, G.X.; Xiong, L.; Huang, C.; Chen, X.F.; Lin, X.Q.; Chen, X. De solvents production from a mixture of glucose and xylose by mixed fermentation of Clostridium acetobutylicum and Saccharomyces cerevisiae. Appl. Biochem. Biotechnol. 2015, 177, 996–1002. [Google Scholar] [CrossRef]






| Condition | PB (g/L) | PABE (g/L) | Pacid (g/L) | SC (%) | t (h) * | YB/S (g/g) | QB (g/L∙h) |
|---|---|---|---|---|---|---|---|
| Mixed cultures involving Arthrobacter sp. cultivation prior to C. beijerinckii inoculation for | |||||||
| 2 h | 10.25 ± 0.31 b | 17.49 ± 0.39 b | 1.75 ± 0.46 bc | 54.84 ± 0.21 c | 50 | 0.31 ± 0.00 b | 0.21 ± 0.01 b |
| 4 h | 10.62 ± 0.37 b | 17.92 ± 0.32 b | 1.30 ± 0.05 c | 55.84 ± 0.21 c | 52 | 0.33 ± 0.01 a | 0.20 ± 0.01 bc |
| 6 h | 12.56 ± 0.55 a | 21.18 ± 0.44 a | 1.84 ± 0.25 b | 60.44 ± 0.09 b | 54 | 0.34 ± 0.00 a | 0.23 ± 0.00 a |
| 12 h | 11.81 ± 0.56 a | 18.08 ± 0.20 b | 1.90 ± 0.18 b | 62.04 ± 0.52 a | 60 | 0.31 ± 0.00 b | 0.19 ± 0.01 c |
| Single culture of C. beijerinckii TISTR 1461 | |||||||
| : OFN flushing (Positive control) | 9.88 ± 0.38 b | 17.61 ± 0.63 b | 1.54 ± 0.21 bc | 53.46 ± 0.46 d | 48 | 0.30 ± 0.01 b | 0.21 ± 0.01 b |
| : No OFN flushing (Negative control) | 1.26 ± 0.35 c | 1.56 ± 0.12 c | 4.22 ± 0.02 a | 7.90 ± 0.56 e | 48 | 0.31 ± 0.01 b | 0.04 ± 0.00 d |
| Bioreactor | PB (g/L) | PABE (g/L) | SC (%) | YB/S (g/g) | QB (g/L∙h) | YABE/S (g/g) |
|---|---|---|---|---|---|---|
| Screw-capped bottle | 12.56 ± 0.55 a | 21.18 ± 0.44 a | 60.44 ± 0.09 b | 0.34 ± 0.00 a | 0.23 ± 0.00 a | 0.60 ± 0.02 a |
| Stirred-tank bioreactor | 12.59 ± 0.45 a | 21.33 ± 0.54 a | 62.57 ± 1.13 a | 0.34 ± 0.00 a | 0.23 ± 0.00 a | 0.58 ± 0.02 ab |
| Gas-lift bioreactor | 12.00 ± 0.48 a | 19.68 ± 0.51 b | 60.48 ± 0.82 b | 0.33 ± 0.01 a | 0.22 ± 0.01 a | 0.56 ± 0.01 b |
Publisher’s Note: MDPI stays neutral with regard to jurisdictional claims in published maps and institutional affiliations. |
© 2022 by the authors. Licensee MDPI, Basel, Switzerland. This article is an open access article distributed under the terms and conditions of the Creative Commons Attribution (CC BY) license (https://creativecommons.org/licenses/by/4.0/).
Share and Cite
Daengbussadee, C.; Laopaiboon, L.; Laopaiboon, P. Butanol Production by a Novel Efficient Method Using Mixed Cultures of Clostridium beijerinckii and Arthrobacter sp. in Stirred-Tank and Gas-Lift Bioreactors. Fermentation 2022, 8, 160. https://doi.org/10.3390/fermentation8040160
Daengbussadee C, Laopaiboon L, Laopaiboon P. Butanol Production by a Novel Efficient Method Using Mixed Cultures of Clostridium beijerinckii and Arthrobacter sp. in Stirred-Tank and Gas-Lift Bioreactors. Fermentation. 2022; 8(4):160. https://doi.org/10.3390/fermentation8040160
Chicago/Turabian StyleDaengbussadee, Chalida, Lakkana Laopaiboon, and Pattana Laopaiboon. 2022. "Butanol Production by a Novel Efficient Method Using Mixed Cultures of Clostridium beijerinckii and Arthrobacter sp. in Stirred-Tank and Gas-Lift Bioreactors" Fermentation 8, no. 4: 160. https://doi.org/10.3390/fermentation8040160
APA StyleDaengbussadee, C., Laopaiboon, L., & Laopaiboon, P. (2022). Butanol Production by a Novel Efficient Method Using Mixed Cultures of Clostridium beijerinckii and Arthrobacter sp. in Stirred-Tank and Gas-Lift Bioreactors. Fermentation, 8(4), 160. https://doi.org/10.3390/fermentation8040160
