Abstract
Different biological approaches, highlighting the use of laccases, have been developed as environmentally friendly alternatives for improving the saccharification and fermentation stages of steam-pretreated lignocellulosic biomass. This work evaluates the use of a novel bacterial laccase (MetZyme) for enhancing the hydrolysability and fermentability of steam-exploded wheat straw. When the water insoluble solids (WIS) fraction was treated with laccase or alkali alone, a modest increase of about 5% in the sugar recovery yield (glucose and xylose) was observed in both treatments. Interestingly, the combination of alkali extraction and laccase treatment boosted enzymatic hydrolysis, increasing the glucose and xylose concentration in the hydrolysate by 21% and 30%, respectively. With regards to the fermentation stage, the whole pretreated slurry was subjected to laccase treatment, lowering the phenol content by up to 21%. This reduction allowed us to improve the fermentation performance of the thermotolerant yeast Kluyveromyces marxianus CECT 10875 during a simultaneous saccharification and fermentation (SSF) process. Hence, a shorter adaptation period and an increase in the cell viability—measured in terms of colony forming units (CFU/mL)—could be observed in laccase-treated slurries. These differences were even more evident when a presaccharification step was performed prior to SSF. Novel biocatalysts such as the bacterial laccase presented in this work could play a key role in the implementation of a cost-effective technology in future biorefineries.
1. Introduction
The transition towards a post-petroleum society for mitigating global climate change is currently led by the development and implementation of biorefineries. Biorefineries will be competitive, innovative and sustainable local industries for the production of plant- and waste-derived fuels, materials and chemicals. Due to its low costs and wide distribution, lignocellulosic biomass is the most promising feedstock to be used in biorefineries, and lignocellulose-derived fuels, including ethanol, the most significant product.
Many different feedstocks, conversion methods, and process configurations have been studied for lignocellulosic ethanol production, with the biochemical route being the most promising option [1]. Lignocellulose is a complex matrix where a ‘skeleton’ polymer, cellulose, is coated by two ‘protective’ polymers, hemicellulose and lignin. Biochemical conversion of lignocellulosic biomass includes a pretreatment step to open up the structure and increase biomass digestibility. Subsequently, cellulose and hemicellulose polymers are subjected to an enzymatic saccharification process to obtain the fermentable sugars. The optimal performance of cellulolytic enzymes is therefore a crucial step that determines the overall process efficiency. Finally, the resulting sugars are converted into ethanol via microbial fermentation [1].
Pretreatment influences lignocellulose digestibility by an extensive modification of the structure. A large number of pretreatment technologies, mainly physical and/or chemical, have been developed and applied on a wide variety of feedstocks [2]. Among them, hydrothermal pretreatments, such as steam explosion, are considered the most effective methods and are commonly used for lignocellulose-to-ethanol conversion. The action mechanism of these pretreatment technologies lies in the solubilisation of hemicellulose fraction and the redistribution and/or modification of lignin, which increase outstandingly the hydrolysis of cellulose without the need of adding any catalyst [3]. These pretreatment technologies, however, still present several drawbacks that must be overcome. First, the residual lignin that is left in the pretreated materials represents an important limiting factor during the enzymatic hydrolysis of carbohydrates, promoting the non-specific adsorption of hydrolytic enzymes and, in turn, decreasing saccharification yields [4]. Second, these pretreatment methods generate some soluble compounds, derived from sugar degradation (furan derivatives and weak acids) and partial lignin solubilisation (aromatic acids, alcohols and aldehydes), which inhibit cellulolytic enzymes and fermentative microorganisms [5]. Performing a delignification step prior to the addition of hydrolytic enzymes may reduce the non-productive adsorption of these enzymes, enhancing the saccharification yields. In the same way, a detoxification process may reduce the amount of inhibitors produced after steam explosion pretreatment, boosting the saccharification and fermentation steps. Different physico/chemical technologies have been studied for delignification and detoxification of pretreated materials [2,6]. However, most of these methods require extra equipment and additional steps and have high energy demands, complicating the lignocellulose-to-ethanol process and increasing the production costs. As an alternative to physico/chemical methods, the use of ligninolytic enzymes such as laccases may provide further integration into the process and lower energy requirements [7].
Laccases are multicopper oxidases that catalyze the one-electron oxidation of phenols, anilines and aromatic thiols to their corresponding radicals with the concomitant reduction of molecular oxygen to water. Laccases are mainly produced by plants and fungi, including the white-rot basidiomycetes responsible for lignin degradation in nature [8]. Also, some bacterial laccases have been described and fully characterized, generally showing lower redox potential and more stable at high pH and temperatures compared to fungal laccases [9]. The role of laccases in lignin degradation makes them attractive biocatalysts for the pulp and paper industry as substitutes of chlorine-containing reagents in pulp bleaching [10,11]. Both fungal and bacterial laccases have been studied with beneficial results [12,13]. Moreover, they are used in wastewater treatment to detoxify industrial effluents with high phenolic content—such as the streams obtained during pulp and paper production—due to their ability to oxidize phenolic compounds [14,15].
The vast experience gained from the extensive use of laccases in the paper pulp industry has provided an excellent starting point for the application of laccases within a broader perspective. In this context, different fungal laccases have been widely studied for improving the conversion efficiency of lignocellulose into ethanol, and consequently increasing final product concentrations [7,16,17,18,19,20,21,22,23,24,25]. Nevertheless, little is known about the use of bacterial laccases for these purposes. The present work evaluates the commercial bacterial laccase MetZyme, exploring its potential for improving the hydrolysability and fermentability of steam-exploded wheat straw.
2. Materials and Methods
2.1. Raw Material and Steam Explosion Pretreatment
Wheat straw, supplied by CEDER-CIEMAT (Soria, Spain), was used as raw material. It presented the following composition (% dry weight (DW)): cellulose, 40.5 ± 2.1; hemicelluloses, 26.1 ± 1.1 (xylan, 22.7 ± 0.5; arabinan 2.1 ± 0.4; and galactan, 1.3 ± 0.2); Klason lignin, 18.1 ± 0.8; ashes, 5.1 ± 0.3; and extractives, 14.6 ± 0.4.
Prior to steam explosion, wheat straw was milled in a laboratory hammer mill to obtain a chip size between 2 and 10 mm. Then, the milled material was pretreated in a 10 L reactor at 200 °C for 2.5 min. The recovered slurry was handled differently depending on its further use. For analytical purposes, one portion was vacuum filtered with the aim of obtaining a liquid fraction or prehydrolysate and a solid fraction. Subsequently, the solid fraction was thoroughly washed with distilled water to obtain the water insoluble solids (WIS) fraction. Chemical composition of both raw and pretreated material (WIS fraction) was determined using the Laboratory Analytical Procedures (LAP) for biomass analysis, provided by the National Renewable Energies Laboratory [26]. Sugars and degradation compounds contained in the liquid fraction were also measured. Most of the sugars present in the liquid fraction were in oligomeric form, and therefore a mild acid hydrolysis (4% (v/v) H2SO4, 120 °C and 30 min) was required to determine the concentration of monomeric sugars. The obtained WIS fraction was also used for saccharification studies since the majority of the inhibitory compounds were removed. On the other hand, the remained slurry was used as substrate to evaluate its fermentability due to the higher inhibitor content. Both WIS and slurry were stored at 4 °C until their use.
2.2. Enzymes
An industrial thermostable bacterial laccase (pH range 3–8) was specifically selected from MetGen’s products portfolio (MetZyme, Cat.-No: 10-101-UF, MetGen Oy, Kaarina, Finland), and used in both saccharification and fermentation assays. Laccase activity (284 IU/g of laccase activity) was measured by oxidation of 5 mM 2,2′-azino-bis(3-ethylbenzothiazoline-6-sulphonic acid) (ABTS) to its cation radical in 0.1 M sodium acetate (pH 5) at 24 °C. Formation of the ABTS cation radical was monitored at 436 nm (ε436 = 29,300 M−1·cm−1).
A mixture of NS50013 and NS50010, both produced by Novozymes (Bagsvaerd, Denmark), was used for the saccharification of steam-pretreated what straw. NS50013 (60 FPU/mL of cellulase activity) is a cellulase preparation that presents low β-glucosidase activity and therefore it requires the supplementation with NS50010 (810 IU/mL of β-glucosidase activity), which mainly presents β-glucosidase activity. Overall cellulase activity was determined using filter paper (Whatman No. 1 filter paper strips), while β-glucosidase activity was measured using cellobiose as a substrate. The enzymatic activities were followed by the release of reducing sugars [27].
One unit of enzyme activity was defined as the amount of enzyme that transforms 1 μmol of substrate per minute.
2.3. Microorganism and Growth Conditions
Kluyveromyces marxianus CECT 10875, a thermotolerant strain selected by Ballesteros et al. [28], was employed as fermentative microorganism in this study. Active cultures for inoculation were obtained in 100-mL flasks with 50 mL of growth medium containing 30 g/L glucose, 5 g/L yeast extract, 2 g/L NH4Cl, 1 g/L KH2PO4, and 0.3 g/L MgSO4·7H2O. After 16 h on an orbital shaker at 150 rpm and 42 °C, the precultures were centrifuged at 9000 rpm for 10 min. Supernatant was discarded and cells were washed once with distilled water and diluted accordingly to obtain an inoculum level of 1 g/L DW.
2.4. Laccase Treatment and Saccharification of the WIS Fraction
The WIS fraction obtained after steam explosion (200 °C, 2.5 min) was subjected to a sequential laccase treatment and saccharification directly (Strategy 1) or after a mild alkaline extraction (Strategy 2).
Strategy 1, sequential laccase treatment and saccharification: 2.5 g DW of the corresponding WIS fraction were suspended in 50 mM sodium citrate buffer (pH 5.5) in 100-mL shake flasks to reach a final concentration of 5% (w/v) total solids (TS). This solution was treated with MetZyme laccase (10 IU/g DW substrate) for 24 h at 50 °C and 150 rpm in an orbital shaker. After 24 h of laccase treatment, solids were filtered through a Büchner funnel, washed with 1 L of water and dried at 60 °C. In a subsequent step, the laccase-treated WIS fraction was resuspended with 50 mM sodium citrate buffer (pH 5.5) in 100-mL flasks to reach a final concentration of 5% TS (w/v). Solids were subjected to saccharification at 50 °C for 72 h in an orbital shaker (150 rpm), with an enzyme loading of 5 FPU/g DW substrate of NS50013 and 5 IU/g DW substrate of NS50010.
Strategy 2, mild alkaline extraction and sequential laccase treatment and saccharification: 2.5 g DW of the corresponding WIS fraction was extracted with alkali (2.5% NaOH, for 1 h at 60 °C and 5% TS (w/v) substrate loading) followed by filtration and water washing. Then, the alkali-extracted WIS fraction was resuspended in 50 mM sodium citrate buffer (pH 5.5) in 100-mL flasks to reach a final concentration of 5% TS (w/v) and subjected to sequential laccase treatment and saccharification as explained above.
The effects of bacterial laccase treatments on both WIS fractions were evaluated in terms of (1) chemical composition and (2) saccharification yields. The chemical composition of laccase-treated WIS, subjected or not to a mild alkaline extraction, was determined using the NREL-LAP for biomass analysis [26]. On the other hand, the enzymatic hydrolysates obtained from laccase-treated WIS (with and without a previous mild alkaline extraction step) were centrifuged to remove the remaining solids, and the supernatants were analyzed to determine glucose and xylose concentration. For a better comparison between assays, relative glucose/xylose recoveries (RGR; RXR) were calculated as following Equation (1):
RGR (%) = g/L glucoseassay × 100/g/L glucosecontrol
For RXR (%), similar equation was used but with xylose concentration instead.
Control assays were performed under same conditions in Strategy 1 and Strategy 2 without the addition of MetZyme laccase. All the experiments were carried out in triplicate.
2.5. Laccase Treatment and Fermentation of the Whole Slurry
The whole slurry obtained after steam explosion (200 °C, 2.5 min) was subjected to laccase treatment and simultaneous saccharification and fermentation without (Strategy 3) and with (Strategy 4) a presaccharification step to evaluate its fermentability.
Strategy 3, consecutive laccase treatment and simultaneous saccharification and fermentation (LSSF): 2.5 g DW of the corresponding slurry was suspended with 50 mM sodium citrate buffer (pH 5.5) in 100-mL flasks to reach a final concentration of 10% TS (w/v). Then, 10 IU/g DW substrate of MetZyme laccase were added and the mixture was incubated at 50 °C and 150 rpm in an orbital shaker for 24 h. After laccase treatment, the slurries were subsequently subjected to a simultaneous saccharification and fermentation (SSF) process at 42 °C for 72 h in an orbital shaker (150 rpm). Laccase-treated slurries were subjected to SSF after the supplementation with 15 FPU/g DW substrate of NS50013, 15 IU/g DW substrate of NS50010, nutrients (those described for cell propagation, except glucose) and 1 g/L DW of K. marxianus.
Strategy 4, consecutive laccase treatment with presaccharification and simultaneous saccharification and fermentation (LPSSF): 2.5 g DW of the corresponding slurry were suspended in 50 mM sodium citrate buffer (pH 5.5) in 100-mL flasks to reach a final concentration of 10% TS (w/v). Then, 10 IU/g DW substrate of MetZyme laccase were added and the mixture was incubated at 50 °C and 150 rpm in an orbital shaker. After 16 h of laccase treatment, a presaccharification step was carried out for 8 h by supplementing the slurries with 15 FPU/g DW substrate of NS50013 and 15 IU/g DW substrate of NS50010. Afterwards, the temperature was reduced to 42 °C and nutrients and 1 g/L DW of K. marxianus were added, which turned the process into a SSF. The experiments were run for another 72 h.
The effect of MetZyme laccase on specific inhibitory compounds was evaluated before yeast addition, i.e., right after laccase treatment or laccase treatment with presaccharification. For that, prior starting SSF processes samples were taken and centrifuged, and the supernatants were analyzed for the identification and quantification of inhibitory compounds. In the same way, samples were periodically withdrawn during SSF processes to determine cell viability and glucose and ethanol concentration (a centrifugation step was included prior to analyze glucose and ethanol concentration).
Control assays were performed under the same conditions without the addition of MetZyme laccase. All the experiments were carried out in triplicate.
2.6. Analytical Methods
Ethanol was analyzed by gas chromatography, using a 7890A GC System (Agilent, Waldbronn, Germany) equipped with an Agilent 7683B series injector, a flame ionization detector and a Carbowax 20 M column operating at 85 °C. Injector and detector temperature was maintained at 175 °C.
Sugar concentration was quantified by high-performance liquid chromatography (HPLC) in a Waters chromatograph equipped with a refractive index detector (Waters, Mildford, MA, USA). A CarboSep CHO-682 carbohydrate analysis column (Transgenomic, San Jose, CA, USA) operating at 80 °C with ultrapure water as a mobile-phase (0.5 mL/min) was used for the separation.
Furfural and 5-hydroxymethylfurfural (5-HMF) were analyzed and quantified by HPLC (Agilent, Waldbronn, Germany), using a Coregel 87H3 column (Transgenomic, San Jose, CA, USA) at 65 °C equipped with a 1050 photodiode-array detector (Agilent, Waldbronn, Germany). As mobile phase, 89% 5 mM H2SO4 and 11% acetonitrile at a flow rate of 0.7 mL/min were used.
Formic acid and acetic acid were also quantified by HPLC (Waters, Mildford, MA, USA) using a 2414 refractive index detector (Waters, Mildford, MA, USA) and a Bio-Rad Aminex HPX-87H (Bio-Rad Labs, Hercules, CA, USA) column maintained at 65 °C with a mobile phase (5 mmol/L H2SO4) at 0.6 mL/min of flow rate.
Total phenolic content was analyzed according to the Folin-Ciocalteu procedure [29]. 0.5 mL of sample and the serial standard solution (gallic acid) were introduced into test tubes with 2.5 mL of Folin-Ciocalteu’s reagent (1:10 dilution in water) and 2 mL of sodium carbonate (7.5% w/v). The tubes were incubated for 5 min at 50 °C. After cooling down the temperature, the absorbance was measured at 760 nm using a Lambda 365 spectrophotometer (PerkinElmer, Boston, MA, USA).
Cell viability was measured by cell counting using agar plates (30 g/L glucose, 5 g/L yeast extract, 2 g/L NH4Cl, 1 g/L KH2PO4, and 0.3 g/L MgSO4·7H2O, 20 g/L agar). Plates were incubated at 42 °C for 24 h.
All analytical values were calculated from duplicates or triplicates. Statistical analyses were performed using IBM SPSS Statistics v22.0 for MacOs X Software (SPSS, Inc., Chicago, IL, USA). The mean and standard deviation were calculated for descriptive statistics. When appropriate, analysis of variance (ANOVA) with or without Bonferroni’s post-test was used for comparisons between assays. The level of significance was set at p < 0.05, p < 0.01 or p < 0.001.
3. Results and Discussion
3.1. Pretreated Biomass Composition
Steam explosion pretreatment was performed at 200 °C and 2.5 min (Table 1). In comparison to the cellulose content of the untreated wheat straw (40.5%), steam explosion increased the cellulose proportion of the WIS fraction (53.5%) due to an extensive hemicellulose solubilization and degradation. This solubilization is evidenced by the lower proportion of the remaining hemicellulose (11.7%) fraction of the WIS residue and the high xylose content (32 g/L) in the liquid fraction. Also, different degradation products were recovered in the liquid fraction due to biomass degradation. The most predominant inhibitors were acetic acid, formic acid, furfural, 5-HMF and phenols (Table 1). Acetic acid is formed by the hydrolysis of acetyl groups contained in the hemicellulose structure. Formic acid derives from furfural and 5-HMF degradation, which in turn, results from pentoses (mainly xylose) and hexoses degradation, respectively. Finally, phenols are released during lignin partial solubilization and degradation of lignin [5,30]. A wide variety of phenolic substituted compounds such as 4-hydroxybenzaldehyde, vanillin, syringaldehyde, p-coumaric acid or ferulic acid, have been identified in steam-exploded wheat straw [3,31].
Table 1.
Composition of steam-exploded wheat straw at 200 °C, 2.5 min.
3.2. Laccase Treatment and Saccharification of the WIS Fraction
The WIS fraction obtained after pretreatment of wheat straw at 200 °C, 2.5 min was subjected to laccase treatment and saccharification with and without a mild alkaline extraction: Strategy 1, sequential laccase treatment and saccharification; and Strategy 2, mild alkaline extraction and sequential laccase treatment and saccharification.
3.2.1. Effect of Bacterial Laccase Treatment on the Chemical Composition of WIS
The chemical composition of laccase-treated WIS, without and with a previous mild alkaline extraction step, was determined and compared with their respective controls (Table 2). In the case of those pretreated materials that were not subjected to an alkaline extraction, no relevant changes in the lignin content were observed after treatment with MetZyme laccase. Contradictory results have been described with fungal laccases on steam-pretreated materials. Moilanen et al. [21] obtained no substantial variation in the lignin content after laccase (Cerrena unicolor) treatment of steam-pretreated giant reed (Arundo donax). Similar results were obtained by Martín-Sampedro et al. [20,32] when steam-exploded eucalypt was treated with Myceliophtora thermophila laccase. In contrast, Oliva-Taravilla et al. [33] observed a slight increment in the lignin content of unwashed steam-exploded wheat straw after treatment with Pycnoporus cinnabarinus laccase. Likewise, Moilanen et al. [21] also described a lignin content increment in steam-pretreated spruce (Picea abis) treated with C. unicolor laccase.
Table 2.
Composition of WIS samples treated with bacterial MetZyme laccase without or with a prior alkaline extraction.
It is known that alkaline treatment of steam-exploded materials decreases lignin content considerably [23,34,35]. In our study, the alkaline treatment was performed at mild conditions and caused 9% delignification (the mean difference is not significant at the 0.05 level) of steam-exploded wheat straw. When MetZyme laccase treatment was subsequently applied to the alkali-extracted WIS, no benefit were found by combining both treatments and similar values of delignification (11%) were observed (Table 2).
3.2.2. Effect of Bacterial Laccase Treatment on Saccharification Yields
RGRs and RXRs obtained after the saccharification of the WIS fractions treated with laccase are shown in Figure 1. In the case of Strategy 1 (sequential laccase treatment and saccharification), RGR of laccase-treated assays was increased by almost 5% (the mean difference is not significant at the 0.05 level) compared to control hydrolysates (Figure 1A). Similarly, an increment on RXR (3%, the mean difference is not significant at the 0.05 level) was also observed (Figure 1B). Even though no major changes were observed in the lignin content after treatment with this bacterial laccase, the slightly better saccharification yields could be attributed to the modification of the lignin structure on the WIS surface, which would affect the interaction of hydrolytic enzymes with the pretreated material. In this context, the action mechanism of laccases towards phenolic lignin units is altering the hydrophobicity of lignin and, consequently, lowering the non-specific adsorption of cellulases to this polymer. Palonen and Viikari [24] reported an increment of carboxyl groups of lignin from steam-pretreated spruce after treatment with the fungal T. hirsuta laccase, decreasing the hydrophobicity of lignin and increasing surface charge. These changes reduced the non-specific adsorption of hydrolytic enzymes on lignin, enhancing saccharification yields. Similar results were also obtained by Moilanen et al. [21] when steam-pretreated spruce was treated with C. unicolor laccase. Nevertheless, these authors also reported an increase in the non-specific adsorption of cellulases and lower glucose recovery yields when laccase treatment was performed on steam-pretreated giant reed. Oliva-Taravilla et al. [33] also described lower saccharification yields when steam-exploded wheat straw was treated with the fungal P. cinnabarinus laccase. In that work, the increment in Klason lignin observed in laccase-treated WIS was related to a grafting phenomenon of soluble phenols onto the lignin polymer, which hinders the accessibility of cellulolytic enzymes to cellulose and therefore reduces sugar recoveries.
Figure 1.
Relative glucose (RGR) (a) and xylose (RXR) (b) recoveries at 72 h of enzymatic hydrolysis of WIS samples resulting from the different MetZyme laccase treatment and saccharification strategies. Strategy 1, sequential laccase treatment and saccharification (C, control sample; L, laccase sample). Strategy 2, alkaline extraction and sequential laccase treatment and saccharification (ALK + C, control sample with alkaline extraction; ALK + L, laccase sample with alkaline extraction). Glucose concentration values after 72 h of saccharification of control samples were 13.1 and 13.9 g/L for strategies 1 and 2, respectively. Xylose concentration values after 72 h of saccharification of control samples were 2 and 2.2 g/L for strategies 1 and 2, respectively. Mean values and standard deviations were calculated from the triplicates to present the results. Analysis of variance (ANOVA) with Bonferroni’s post-test was performed to identify differences between C, L, Alk + C or Alk + L. The mean difference is significant at the (*) 0.05 or (**) 0.01 level.
In the case of Strategy 2 (mild alkaline extraction and sequential laccase treatment and saccharification), the enzymatic hydrolysis of control assays extracted with alkali produced higher RGR (6%, the mean difference is not significant at the 0.05 level) and RXR (7%, the mean difference is not significant at the 0.05 level) values than the control assays not subjected to mild alkaline treatment (Figure 1). This enhancement in saccharification yields after the extraction with alkali is very well known [23,34,35]. Alkali extraction generates new irregular pores as a result of the removal of lignin and the disruption of lignin-carbohydrate complexes, contributing to an increase in the accessibility and susceptibility of cellulose and hemicellulose polymers to the action of hydrolytic enzymes. These advantages can be boosted by a subsequent laccase treatment due to the possibility of obtaining higher delignification ranges, increase the porosity and the available surface area, and decrease the non-specific adsorption of hydrolytic enzymes [19,24,25]. Thus, when alkali-treated WIS were subsequently subjected to laccase treatment, a synergistic effect was observed in the saccharification process, enhancing sugar recovery yields by 21% (p < 0.05) and 30% (p < 0.01) in RGR and RXR, respectively (Figure 1). The increase in both porosity and surface area promoted by the mild alkali extraction enables an easier penetration of laccase into the fibers, allowing a better accessibility to the lignin polymer. Similar results were found by Yang et al. [25] when using Brassica campestris straw as raw material. These authors observed by scanning electron microscopy (SEM) some irregular holes on the surface of B. campestris straw after alkali treatment, being increased not only in number and density but also in width and depth when the laccase extracted from the fungus Ganoderma lucidum was subsequently used. The same effect was described by Li et al. [19] in corn straw after combining pretreatment with NaOH and crude ligninolytic enzyme produced by the fungus Trametes hirsuta. These results strongly highlight the benefits of combining a mild alkali treatment with a bacterial laccase treatment for improving the hydrolysability of steam-exploded wheat straw.
3.3. Laccase Treatment and Fermentation of the Whole Slurry
In addition to offering the possibility of increasing the sugar content during the enzymatic hydrolysis, laccase can work as a detoxification agent to improve the fermentability of pretreated lignocellulosic materials [7]. With the aim of evaluating the effect of bacterial laccase treatment on the fermentability of steam-pretreated wheat straw, the whole slurry was subjected to laccase treatment and simultaneous saccharification and fermentation without and with a presaccharification step: Strategy 3, consecutive laccase treatment and simultaneous saccharification and fermentation (LSSF); and Strategy 4, consecutive laccase treatment with presaccharification and simultaneous saccharification and fermentation (LPSSF).
3.3.1. Effect of Bacterial Laccase Treatment on Inhibitory Compounds
The concentration of inhibitory compounds after treatment with MetZyme laccase, without and with an enzymatic presaccharification step, was determined and compared with their respective controls assays (Table 3). Inhibitory compounds can alter the growth of fermenting microorganisms and also inhibit/deactivate cellulolytic enzymes, decreasing final yields and productivities [5,36,37,38]. Furfural and 5-HMF have a direct inhibition effect on either the glycolytic or fermentative enzymes of the yeast, reducing equally biomass formation and ethanol yields. Acetic acid and formic acid reduce biomass formation by modifying the intracelular pH and promoting an imbalance in the ATP/ADP ratio. Finally, phenols alter biological membranes, affecting the growth rates and also inhibiting and deactivating hydrolytic enzymes.
Table 3.
Inhibitory compounds concentration (g/L) of slurry samples treated with bacterial MetZyme laccase without or with enzymatic presaccharification.
In general, laccases catalyze the oxidation of phenols, generating unstable phenoxy radicals. These newly formed radicals interact with each other and lead to polymerization into aromatic compounds with lower inhibitory capacity. Total depletion in phenolic content seems to be impossible due to the structural characteristics of phenols [39]. Laccases can easily convert certain compounds, such as syryngaldehyde or cinnamic acids, whilst other phenolic compounds are oxidized with lower rates (vanillin) or remain intact (hydroxybenzaldehyde) [31,39]. Several studies have reported an incomplete removal of phenolic compounds. Kalyani et al. [18] described a phenol reduction of 76% when the whole slurry from steam-exploded rice straw was treated with Coltricia perennis laccase. Moreno et al. [22] achieved higher phenol reductions (93%–94%) when P. cinnabarinus and T. villosa laccases were used on steam-exploded wheat straw. The same range was observed by Jurado et al. [17] with steam-exploded wheat straw and Coriolopsis rigida laccase and by Jönsson et al. [16] with SO2 steam-pretreated willow and Trametes versicolor laccase. These mentioned studies have in common the use of fungal laccases, mainly from white-rot basidiomycetes. In our case, the bacterial MetZyme laccase decreased the total phenolic content by 20%–21% (p < 0.01), independently of whether a presaccharification step is included (Table 3). In comparison to fungal laccases, the lower efficiency in phenol removal by this particular bacterial laccase can be attributed to the lower redox potential of bacterial laccases in general. The redox potential of fungal laccases is estimated to be around +730 mV and +790 mV, while bacterial or plant laccases have a redox potential of about +450 mV. This higher redox potential of fungal laccases increases their capability to act towards a wider range of phenolic compounds. Nevertheless, the lower redox potential might not represent the only explanation for the reduction in the oxidation capacity of bacterial laccases, as other factors such as Kcat/KM ratio (as a measure of enzyme efficiency) may also play an important role [40].
In contrast to the phenols reduction, furan derivatives and weak acids were altered by bacterial laccase in none of the strategies assayed (Table 3). The absence of laccase action on these type of inhibitory compounds has been already reported in previous studies with fungal laccases [16,17,22,31]. This substrate-specific reaction of laccases towards phenols offers some advantages over chemical and physical detoxification methods such as mild reaction conditions, the generation of fewer inhibitory sub-products and lower energy [41].
3.3.2. Effect of Bacterial Laccase Treatment on Cell Viability and Ethanol Production
Control and detoxified slurries, resulting from MetZyme laccase treatments without (L) and with the enzymatic presaccharification (LP), were subjected to SSF for 72 h at 42 °C. K. marxianuns CECT 10875 was used as the fermenting microorganism due to its ability to tolerate relatively high temperatures. Thermotolerant yeasts are gaining great significance due to the possibility of better integration between both saccharification and fermentation stages. Optimal temperatures for enzymatic hydrolysis are about 50 °C. In this context, the use of thermotolerant yeasts capable of growing and fermenting around those temperatures is beneficial for the performance of hydrolytic enzymes [31]. During fermentation assays, cell viability, glucose consumption and ethanol production were monitored (Figure 2 and Figure 3).
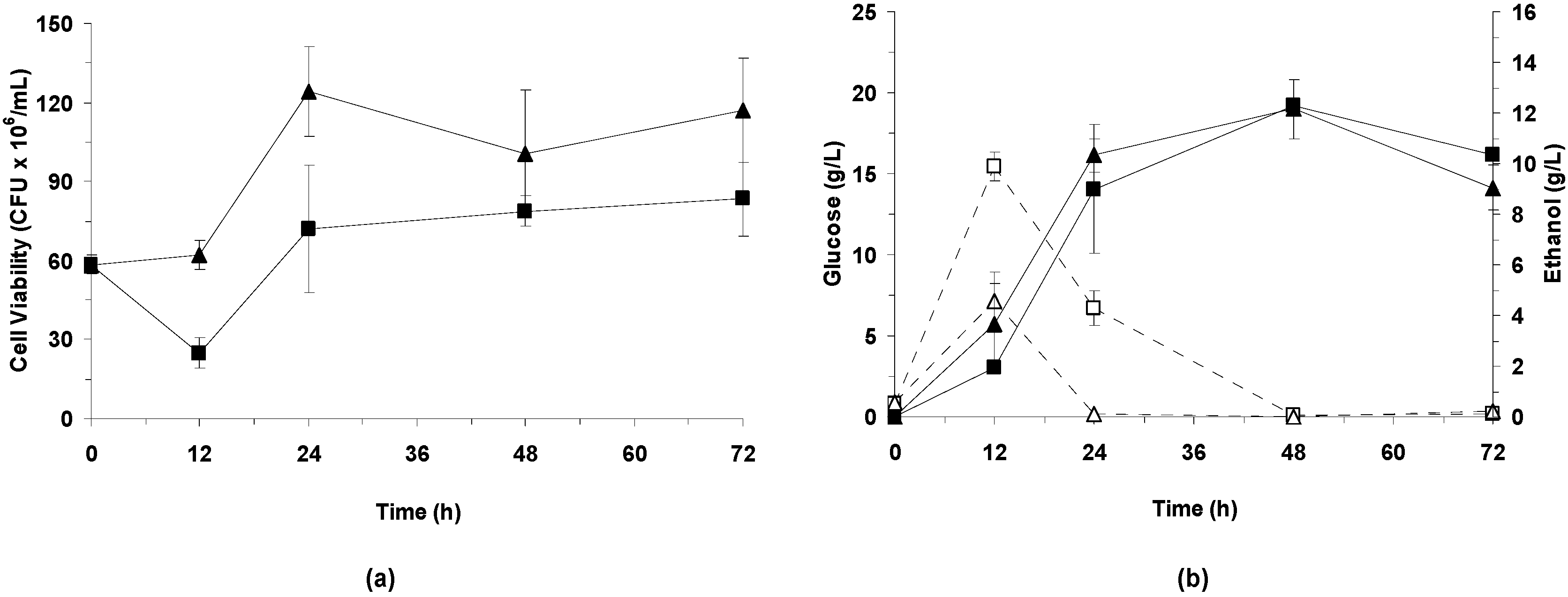
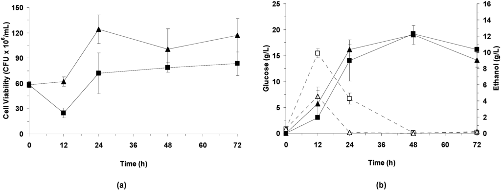
Figure 2.
Consecutive laccase treatment and simultaneous saccharification and fermentation (LSSF, Strategy 3). (a) Viable cells during simultaneous saccharification and fermentation (SSF) assay with K. marxianus of slurry samples resulting from Metzyme laccase treatment. Symbols used: control (■) and laccase (▲) samples. (b) Time course for ethanol (filled symbols and continuous lines) and glucose (open symbols and discontinuous lines) during simultaneous saccharification and fermentation (SSF) assay with K. marxianus of slurry samples resulting from Metzyme laccase treatment. Symbols used: control (■, □) and laccase (▲, △) samples. Mean values and standard deviations were calculated from the triplicates to present the results.
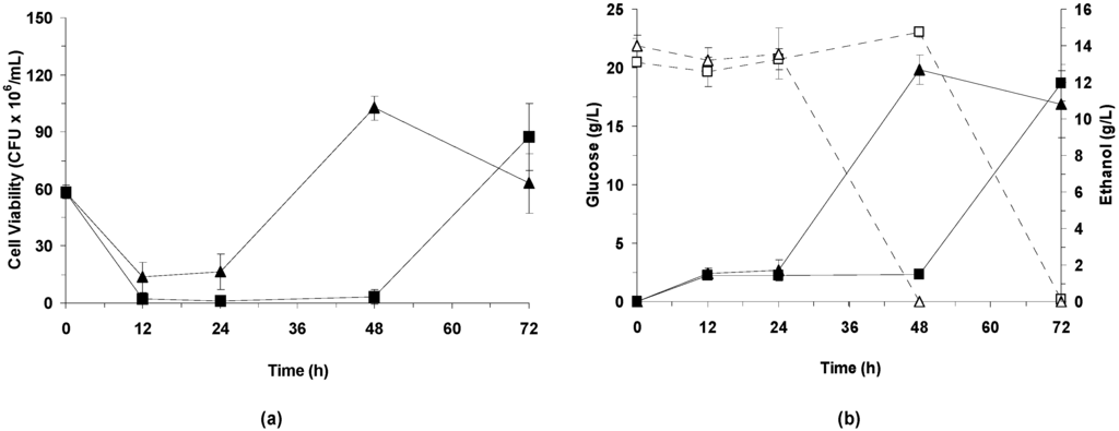
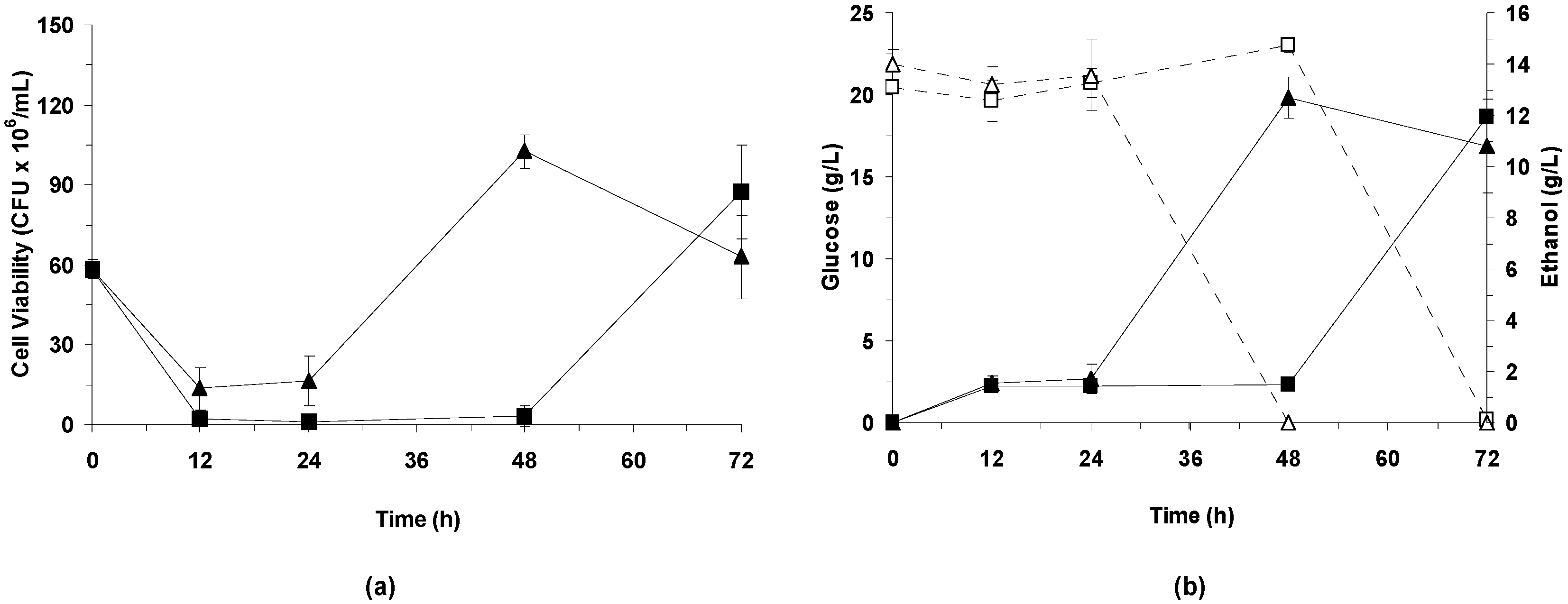
Figure 3.
Consecutive laccase treatment with presaccharification and simultaneous saccharification and fermentation (LPSSF, Strategy 4). (a) Viable cells during simultaneous saccharification and fermentation (SSF) assay with K. marxianus of slurry samples resulting from Metzyme laccase treatment with presaccharification. Symbols used: control (■) and laccase (▲) samples. (b) Time course for ethanol (filled symbols and continuous lines) and glucose (open symbols and discontinuous lines) during simultaneous saccharification and fermentation (SSF) assay with K. marxianus of slurry samples resulting from Metzyme laccase treatment with presaccharification. Symbols used: control (■, □) and laccase (▲, △) samples. Mean values and standard deviations were calculated from the triplicates to present the results.
LSSF
During SSF of wheat straw slurry, cell viability—in the form of CFU/mL—decreased within the first 12 h in control assays (Figure 2A). This effect is correlated with the adaptation of the yeast to the different components in the fermentation medium, and usually promotes a delay in glucose consumption and ethanol production (Figure 2B). This adaptation period depends on different factors, such as the presence of inhibitory compounds, the nature and concentration of inhibitors and the synergistic effects between them [5,36].
The adaptation phase is overcome by K. marxianus after converting certain inhibitory compounds, including furfural and 5-HMF, to their less toxic forms. After being adapted, the yeast showed a remarkable increase in cell viability between 12 and 24 h of SSF, until reaching the value of 80 CFU/mL that remained constant for the rest of the process (Figure 2A). The increase in cell viability made it possible to obtain the maximum glucose consumption (values were not estimated due to the continuous release of glucose) and ethanol production rates (0.59 g/L·h between 12 and 24 h), lowering the glucose concentration to values below 0.1 g/L and reaching the highest ethanol concentration (12.3 g/L) within 48 h (Figure 2B, Table 4).
Table 4.
Summary of simultaneous saccharification and fermentation (SSF) assays with K. marxianus of slurry samples treated with bacterial MetZyme laccase without or with enzymatic presaccharification.
When laccase-treated slurries were subjected to SSF, the fermentation performance of K. marxianus was slightly improved due to the lower phenolic content. This improvement was more evident in cell viability, where no reduction in the number of CFU/mL was observed within the first 12 h and a significant increase to about 120 CFU/mL was obtained between 24 and 72 h of fermentation (Figure 2A). Similar values of maximum ethanol production rates and maximum ethanol concentrations were observed for both control and laccase-treated slurries (Figure 2B, Table 4). However, a shorter adaptation phase was observed in those slurries treated with Metzyme, which can aid in reducing the overall process time. Similar improvements on the fermentation performance of K. marxianus and other fermenting microorganisms have been also observed when using fungal laccases. Moreno et al. [22,31] reported higher cell viability, glucose consumption rates and ethanol productivity values when steam-exploded wheat straw was treated with P. cinnabarinus and T. villosa laccases. Jönsson et al. [16] reported higher glucose consumption rate, ethanol productivity and ethanol yield when the liquid fraction from acid steam-exploded willow was treated with T. versicolor laccase and fermented with Saccharomyces cerevisiae. In the same way, Jurado et al. [17] observed higher biomass concentration, sugar consumption and ethanol yield after treating steam-exploded wheat straw with C. rigida laccase and fermenting it with S. cerevisiae.
LPSSF
In comparison to assays without a presaccharification step, the enzymatic prehydrolysis (P) extended the adaptation period of yeast cells during the subsequent SSF process (Figure 3A,B). A remarkable drop in cell viability was measured in non-treated slurries within the first 12 h of SSF, followed by a long stationary phase where no cell growth was observed. After 48 h, a sudden increase in cell viability could be seen, reaching a value of about 95 CFU/mL (Figure 3A). Regarding glucose concentration, the prehydrolysis stage increased the glucose content before inoculation up to 20 g/L. After inoculation, the adaptation phase of K. marxianus allowed the continuous accumulation of this sugar during the first 48 h of SSF, reaching a maximum value of 23 g/L. Supported by the increase in cell viability, glucose started to be consumed after 48 h, and values below 0.1 g/L were observed at 72 h of SSF (Figure 3B). Maximum ethanol concentration (12 g/L) and yield (0.29 g/g) were similar to those obtained in SSF processes without presaccharification, but this value was reached with a delay of 24 h (Table 4). The extended lag phase of K. marxianus during PSSF processes in comparison to that observed during SSF can be justified by the presence of a higher concentration of inhibitory compounds after the presaccharification step, especially for acetic acid and phenols (Table 3). According to Thomsen et al. [44], acetic acid is produced by the hydrolysis of acetyl groups in hemicelluloses, which involves the synergistic action of both hemicellulase and acetyl esterase activities. In this sense, the cellulolytic NS50013 preparation used in this study—obtained from Trichoderma spp. strains—contains xylanase and acetyl esterase activities that can release the acetyl groups that remain in the fibers, increasing the acetic acid concentration [45]. Similarly, the increment in the phenol content can be explained by the release of p-coumaric acid and ferulic acid during the presaccharification step. Ferulic acid and p-coumaric acid are two typical lignin phenolic compounds present in wheat straw [3,31]. The hydrolysis of these cinnamic acids is attributed to the complementary action of xylanase and phenolic acid esterase activities [31]. The esterase activities, highlighting feruloyl esterase activity, are naturally produced by Aspergillus niger, which is the strain producing the β-glucosidase NS50010 preparation [46].
When laccase treatment was combined with the presaccharification step (LP), the adaptation phase was reduced from 48 h in control assays to 24 h in laccase-treated slurries. This reduction can be seen in Figure 3A, where an increase from about 15 CFU/mL to above 100 CFU/mL was observed within 24 and 48 h of SSF. In comparison to LSSF process without a presaccharification stage where the number of CFU/mL was kept constant after the adaptation phase, in LPSSF process a remarkable decrease in cell viability took place within 48 and 72 h, which is an indicator of the higher inhibitory content even after laccase treatment. In relation to glucose consumption and ethanol production, similar rates (0.43 g/L·h and 0.44 g/L·h in control and laccase-treated slurries, respectively) were observed after the adaptation phase either in control or laccase-treated assays, which resulted in a maximum ethanol concentration of about 12 g/L—similar to those values obtained in the SSF processes without a presaccharification step (Figure 3B, Table 4). It is important to notice that higher ethanol concentrations than those obtained in the present work are needed for the cost-effectiveness of a commercial lignocellulosic ethanol production. Working at higher substrate concentrations is therefore imperative and a presaccharification step is typically included in the process in order to avoid certain problems such as mixing. In this context, the use of laccases could play a crucial role to increase the fermentability of steam-pretreated lignocellulosic materials.
4. Conclusions
The present work shows the potential of the bacterial MetZyme laccase for improving both the hydrolysability and fermentability of steam-pretreated materials. The laccase treatment of the WIS fraction resulted in slightly higher glucose and xylose recoveries during a saccharification process. This improvement was increased synergistically by the action of a mild alkaline extraction performed prior to laccase treatment. MetZyme laccase also showed modest phenol removal when treating the whole pretreated slurries, reducing the inhibitory effects of steam-exploded wheat straw. The lower inhibitory content led to improve the fermentation performance of K. marxianus in SSF processes with or without a presaccharification step, shortening its adaptation period and the overall fermentation times. These results represent an interesting approach to improve the efficiency of the ethanol production process, which might contribute to making lignocellulosic ethanol production economically viable. Nevertheless, other parameters, including laccase dosages and production costs, need to be further studied and optimized for the cost-effectiveness of the process.
Acknowledgments
Authors wish to thank the Spanish MIMECO for funding this study via Project CTQ2013-47158-R. Antonio D. Moreno acknowledges a “Juan de la Cierva” contract (FJCI-2014-22385).
Author Contributions
Antonio D. Moreno, David Ibarra, Antoine Mialon, and Mercedes Ballesteros participated in the design of the study. Antonio D. Moreno and David Ibarra performed the experimental work and wrote the manuscript. Antonio D. Moreno, David Ibarra, Antoine Mialon, and Mercedes Ballesteros conceived the study and commented on the manuscript. All the authors read and approved the final manuscript.
Conflicts of Interest
Antoine Mialon is Application Team Leader at Metgen Oy.
Abbreviations
The following abbreviations are used in this manuscript:
| WIS | Water Insoluble Solids fraction |
| NREL-LAP | National Renewable Energies Laboratory-Laboratory Analytical Procedures |
| SSF | Simultaneous Saccharification and Fermentation |
| CFU | Colony Forming Units |
| DW | Dry Weight |
| LAP | Laboratory Analytical Procedures |
| IU | International Units |
| FPU | Filter Paper Units |
| TS | Total Solids |
| RGR | Relative Glucose Recovery |
| RXR | Relative Xylose Recovery |
| LSSF | consecutive Laccase treatment and Simultaneous Saccharification and Fermentation |
| LPSSF | consecutive Laccase treatment with Presaccharification and Simultaneous Saccharification and Fermentation |
| 5-HMF | 5-hydroxymethylfurfural |
| C | Control treatment |
| CP | Control treatment with Presaccharification |
| L | Laccase treatment |
| LP | Laccase treatment with Presaccharification |
| Alk | Alkaline extraction |
| ATP/ADP | Adenosine-5′-triphosphate/Adenosine-5′-diphosphate |
References
- Ballesteros, M. Enzymatic hydrolysis of lignocellulosic biomass. In Bioalcohol Production. Biochemical Conversion of Lignocellulosic Biomass; Waldron, K., Ed.; Woodhead Publishing: Cambridge, UK, 2010; pp. 159–177. [Google Scholar]
- Alvira, P.; Tomás-Pejó, E.; Ballesteros, M.; Negro, M.J. Pretreatment technologies for an efficient bioethanol production process based on enzymatic hydrolysis: A review. Bioresour. Technol. 2010, 101, 4851–4861. [Google Scholar] [CrossRef] [PubMed]
- Ballesteros, I.; Negro, M.; Oliva, J.M.; Manzanares, P.; Ballesteros, M. Ethanol production from steam-explosion pretreated wheat straw. Appl. Biochem. Biotechnol. 2006, 130, 496–508. [Google Scholar] [CrossRef]
- Berlin, A.; Balakshin, M.; Gilkes, N.; Kadla, J.; Maximenko, V.; Kubo, S. Inhibition of cellulase, xylanase and β-glucosidase activities by sofwood lignin preparations. J. Biotechnol. 2006, 125, 198–209. [Google Scholar] [CrossRef] [PubMed]
- Palmqvist, E.; Hahn-Hägerdal, B. Fermentation of lignocellulosic hydrolysates. II: Inhibitors and mechanism of inhibition. Bioresour. Technol. 2000, 74, 25–33. [Google Scholar] [CrossRef]
- Palmqvist, E.; Hahn-Hägerdal, B. Fermentation of lignocellulosic hydrolysates. I: Inhibition and detoxification. Bioresour. Technol. 2000, 74, 17–24. [Google Scholar] [CrossRef]
- Moreno, A.D.; Ibarra, D.; Alvira, P.; Tomás-Pejó, E.; Ballesteros, M. A review of biological delignification and detoxification methods for lignocellulosic bioethanol production. Crit. Rev. Biotechnol. 2015, 35, 342–354. [Google Scholar] [CrossRef] [PubMed]
- Thurston, C.F. The structure and function of fungal laccases. Microbiology 1994, 140, 19–26. [Google Scholar] [CrossRef]
- Enguita, F.J.; Matias, P.M.; Martins, L.O.; Placido, D.; Henriques, A.O.; Carrondo, M.A. Spore-coat laccase CotA from Bacillus subtilis: Crystallization and preliminary X-ray characterization by the MAD method. Acta Crystallogr. D Biol. Cristallogr. 2002, 58, 1490–1493. [Google Scholar] [CrossRef]
- Bajpai, P. Biological bleaching of chemical pulps. Crit. Rev. Biotechnol. 2004, 24, 1–58. [Google Scholar] [CrossRef] [PubMed]
- Paice, M.G.; Bourbonnais, R.; Reid, I.D.; Archibald, F.S.; Jurasek, L. Oxidative bleaching enzymes: A review. J. Pulp Pap. Sci. 1995, 21, 280–284. [Google Scholar]
- Ibarra, D.; Camarero, S.; Romero, J.; Martínez, M.J.; Martínez, A.T. Integrating laccase-mediator treatment into an industrial-type sequence for totally chlorine free bleaching of eucalipt kraft pulp. J. Chem. Technol. Biotechnol. 2006, 81, 1159–1165. [Google Scholar] [CrossRef]
- Eugenio, M.E.; Hernández, M.; Moya, R.; Martín-Sampedro, R.; Villar, J.C.; Arias, M.E. Evaluation of a new laccase produced by Streptomyces ipomoea on biobleaching and ageing of kraft pulps. BioResources 2011, 6, 3231–3241. [Google Scholar]
- Chandra, R.; Chowdhary, P. Properties of bacterial laccases and their application in biorremediation of industrial wastes. Environ. Sci. Process. Impacts 2015, 17, 326–342. [Google Scholar] [CrossRef] [PubMed]
- Milstein, O.; Haars, A.; Majcherczyk, A.; Tautz, D.; Zanker, H.; Hüttermann, A. Removal of chlorophenols and chlorolignins from bleaching effluents by combined chemical and biological treatment. Water Sci. Technol. 1988, 20, 161–170. [Google Scholar]
- Jönsson, L.J.; Palmqvist, E.; Nilvebrant, N.-O.; Hahn-Hägerdal, B. Detoxification of wood hydrolysates with laccase and peroxidase from the white-rot fungus Trametes versicolor. Appl. Microbiol. Biotechnol. 1998, 49, 691–697. [Google Scholar] [CrossRef]
- Jurado, M.; Prieto, A.; Martínez-Alcalá, A.; Martínez, A.T.; Martínez, M.J. Laccase detoxification of steam-exploded wheat straw for second generation bioethanol. Bioresour. Technol. 2012, 100, 6378–6384. [Google Scholar] [CrossRef] [PubMed]
- Kalyani, D.; Dhiman, S.S.; Kim, H.; Jeya, M.; Kim, I.-W.; Lee, J.-K. Characterization of a novel laccase from the isolated Coltricia perennis and its application to detoxification of biomass. Process Biochem. 2012, 47, 671–678. [Google Scholar] [CrossRef]
- Li, J.; Sun, F.; Li, X.; Yan, Z.; Yuan, Y.; Liu, X.F. Enhanced saccharification of corn straw pretreated by alkali combining crude ligninolytic enzymes. J. Chem. Technol. Biotecnhol. 2012, 87, 1687–1693. [Google Scholar] [CrossRef]
- Martín-Sampedro, R.; Eugenio, M.E.; García, J.C.; López, F.; Villar, J.C.; Díaz, M.J. Steam explosion and enzymatic pre-treatments as an approach to improve the enzymatic hydrolysis of Eucalytpus globulus. Biomass Bioenergy 2012, 42, 97–106. [Google Scholar] [CrossRef]
- Moilanen, U.; Kellock, M.; Galkin, S.; Viikari, L. The laccase-catalyzed modification of lignin for enzymatic hydrolysis. Enzym. Microb. Technol. 2011, 49, 492–498. [Google Scholar] [CrossRef] [PubMed]
- Moreno, A.D.; Ibarra, D.; Fernández, J.L.; Ballesteros, M. Different laccase detoxification strategies for ethanol production from lignocellulosic biomass by the thermotolerant yeast Kluyveromyces marxianus CECT 10875. Bioresour. Technol. 2012, 106, 101–109. [Google Scholar] [CrossRef] [PubMed]
- Moreno, A.D.; Ibarra, D.; Alvira, P.; Tomás-Pejó, E.; Ballesteros, M. Exploring laccase and mediators behavior during saccharification and fermentation of steam-exploded wheat straw for bioethanol production. J. Chem. Technol. Biotehcnol. 2015. [Google Scholar] [CrossRef]
- Palonen, H.; Viikari, L. Role of oxidative enzymatic treatments on enzymatic hydrolysis of softwood. Biotechnol. Bioeng. 2004, 86, 550–557. [Google Scholar] [CrossRef] [PubMed]
- Yang, P.; Jiang, S.; Zheng, Z.; Shuizhong, L.; Luo, S.; Pan, L. Effect of alkali and laccase pretreatment of Brassica campestris straw: Architecture, crystallisation, and saccharification. Polym. Renew. Resour. 2011, 2, 21–34. [Google Scholar]
- National Renewable Energy Laboratory. Chemical Analysis and Testing Laboratory Analytical Procedures; National Renewable Energy Laboratory: Golden, CO, USA, 2007. Available online: www.1.ere.energy.gov/biomass/analytical_procedures.html (accessed on 15 March 2015).
- Ghose, T.K. Measurement of cellulase activity. Pure Appl. Chem. 1987, 59, 257–268. [Google Scholar] [CrossRef]
- Ballesteros, I.; Ballesteros, M.; Cabañas, A.; Carrasco, J.; Martín, C.; Negro, M.J.; Saez, F.; Saez, R. Selection of thermotolerant yeasts for simultaneous saccharification and fermentation (SSF) of cellulose to ethanol. Appl. Biochem. Biotechnol. 1991, 28, 307–315. [Google Scholar] [CrossRef] [PubMed]
- Singleton, V.L.; Rossi, J.A. Colorimetry of total phenolic with phosphomolibdic-phosphotungstic acid reagent. Am. J. Enol. Vitic. 1965, 16, 144–158. [Google Scholar]
- Oliva, J.M.; Saez, F.; Ballesteros, I.; González, A.; Negro, M.J.; Manzanares, P.; Ballesteros, M. Effect of lignocellulosic degradation compounds from steam explosion pretreatment on ethanol fermentation by thermotolerant yeast Kluyveromyces marxianus. Appl. Biochem. Biotechnol. 2003, 105, 141–154. [Google Scholar] [CrossRef]
- Moreno, A.D.; Ibarra, D.; Ballesteros, I.; Fernández, J.L.; Ballesteros, M. Ethanol from laccase-detoxified lignocellulose by the thermotolerant yeast Kluyveromyces marxianus—Effects of steam pretreatment conditions, process configurations and substrate loadings. Biochem. Eng. J. 2013, 79, 94–103. [Google Scholar] [CrossRef]
- Martín-Sampedro, R.; Capanema, E.A.; Hoeger, I.; Villar, J.C.; Rojas, O.J. Lignin changes after steam explosion and laccase-mediator treatment of eucalytpus wood chips. J. Agric. Food Chem. 2011, 59, 8761–8769. [Google Scholar] [CrossRef] [PubMed]
- Oliva-Taravilla, A.; Moreno, A.D.; Demuez, M.; Ibarra, D.; Tomás-Pejó, E.; González-Fernández, C.; Ballesteros, M. Unraveling the effects of laccase treatment on enzymatic hydrolysis of steam-exploded wheat straw. Bioresour. Technol. 2015, 175, 209–215. [Google Scholar] [CrossRef] [PubMed]
- Fernandes, M.C.; Ferro, M.D.; Paulino, A.F.C.; Mendes, J.A.S.; Gravitis, J.; Evtuguin, D.V.; Xavier, A.M.R.B. Enzymatic saccharification and bioethanol production from Cynara cardunculus pretreated by steam explosion. Bioresour. Technol. 2015, 186, 309–315. [Google Scholar] [CrossRef] [PubMed]
- Yang, B.; Boussaid, A.; Mansfield, S.D.; Gregg, D.J.; Sadler, J.N. Fast and efficient alkaline peroxide treatment to enhance the enzymatic digestibility of steam-exploded softwood substrates. Biotechnol. Bioeng. 2002, 77, 678–684. [Google Scholar] [CrossRef] [PubMed]
- Klinke, H.B.; Thomsen, A.B.; Ahring, B.K. Inhibition of ethanol-producing yeast and bacteria by degradation products produced during pretreatment of biomass. Appl. Microbiol. Biotechnol. 2004, 66, 10–26. [Google Scholar] [CrossRef] [PubMed]
- Ximenes, E.; Kim, Y.; Mosier, N.; Dien, B.; Ladisch, M. Inhibition of cellulases by phenols. Enzym. Microb. Technol. 2010, 46, 170–176. [Google Scholar] [CrossRef]
- Ximenes, E.; Kim, Y.; Mosier, N.; Dien, B.; Ladisch, M. Deactivation of cellulases by phenols. Enzym. Microb. Technol. 2011, 48, 54–60. [Google Scholar] [CrossRef] [PubMed]
- Kolb, M.; Sieber, V.; Amann, M.; Faulstich, M.; Schieder, M. Removal of monomer delignification products by laccase from Trametes versicolor. Bioresour. Technol. 2012, 104, 298–304. [Google Scholar] [CrossRef] [PubMed]
- Lahtinen, M.; Kruus, K.; Boer, H.; Kemell, M.; Andberg, M.; Viikari, L.; Sipilä, J. The effect of lignin model compound structure on the rate of oxidation catalyzed by two different fungal laccases. J. Mol. Catal. B Enzym. 2009, 57, 204–210. [Google Scholar] [CrossRef]
- Parawira, W.; Tekere, M. Biotechnological strategies to overcome inhibitors in lignocellulose hydrolysates for ethanol production: Review. Crit. Rev. Biotechnol. 2011, 31, 20–31. [Google Scholar] [CrossRef] [PubMed]
- Zhang, J.; Bao, J. A modified method for calculating practical ethanol yield at high lignocellulosic solids content and high ethanol titer. Bioresour. Technol. 2012, 116, 74–79. [Google Scholar] [CrossRef] [PubMed]
- Tomás-Pejó, E.; Oliva, J.M.; González, A.; Ballesteros, I.; Ballesteros, M. Bioethanol production from wheat straw by the thermotolerant yeast Kluyveromyces marxianus CECT 10875 in a simultaneous saccharification and fermentation fed-batch process. Fuel 2009, 88, 2142–2147. [Google Scholar] [CrossRef]
- Thomsen, M.T.; Thygesen, A.; Thomsen, A.B. Identification and characterization of fermentation inhibitors formed during hydrothermal treatment and following SSF of wheat straw. Appl. Microbiol. Biotechnol. 2009, 83, 447–455. [Google Scholar] [CrossRef] [PubMed]
- Juhász, T.; Szengyel, K.; Réczey, K.; Siika-Aho, M.; Viikari, L. Characterization of cellulase and hemicellulases produced by Trichoderma reesei on various carbon sources. Process Biochem. 2005, 40, 3519–3525. [Google Scholar] [CrossRef]
- Dien, B.S.; Ximenes, E.A.; O’Brien, P.J.; Moniruzzaman, M.; Li, X.L.; Balan, V.; Dale, B.; Cotta, M.A. Enzyme characterization for hydrolysis of AFEX and liquid hot water pretreated distillers’grains and their conversion to ethanol. Bioresour. Technol. 2008, 99, 5216–5225. [Google Scholar] [CrossRef] [PubMed]
© 2016 by the authors; licensee MDPI, Basel, Switzerland. This article is an open access article distributed under the terms and conditions of the Creative Commons Attribution (CC-BY) license (http://creativecommons.org/licenses/by/4.0/).


