Amylase Enzyme Production in Bacteria Associated with Marine Macroalgae: Screening, Optimization and Biofilm Inhibitory Activity
Abstract
1. Introduction
2. Materials and Methods
2.1. Isolation of Marine Bacteria
2.2. Screening of Amylase-Enzyme-Producing Bacteria
2.3. Culture of Bacteria and Amylase Production
2.4. Amylase Assay
2.5. Determination of Biofilm Inhibitory Activity of Crude Enzyme
2.6. Identification and Molecular Characterization of Bacteria
2.7. Screening of Different Substrates for Amylase Production in Solid-State Fermentation
2.8. Optimization of Amylase Production by One-Factor-at-a-Time Approach
2.9. Statistical Optimization of Amylase Production Using Tapioca Peel in Solid-State Fermentation
2.9.1. Screening of Factors Influencing Amylase Production via a Statistical Approach
2.9.2. Optimization of α-Amylase Enzyme Production Using Central Composite Design Combined with Response Surface Methodology
3. Results and Discussion
3.1. Screening of Marine Bacteria for Amylase Production
3.2. Production of Amylase in Submerged Fermentation
3.3. Biofilm Inhibitory Activity of Crude Enzyme
3.4. Identification of Bacterium MD02
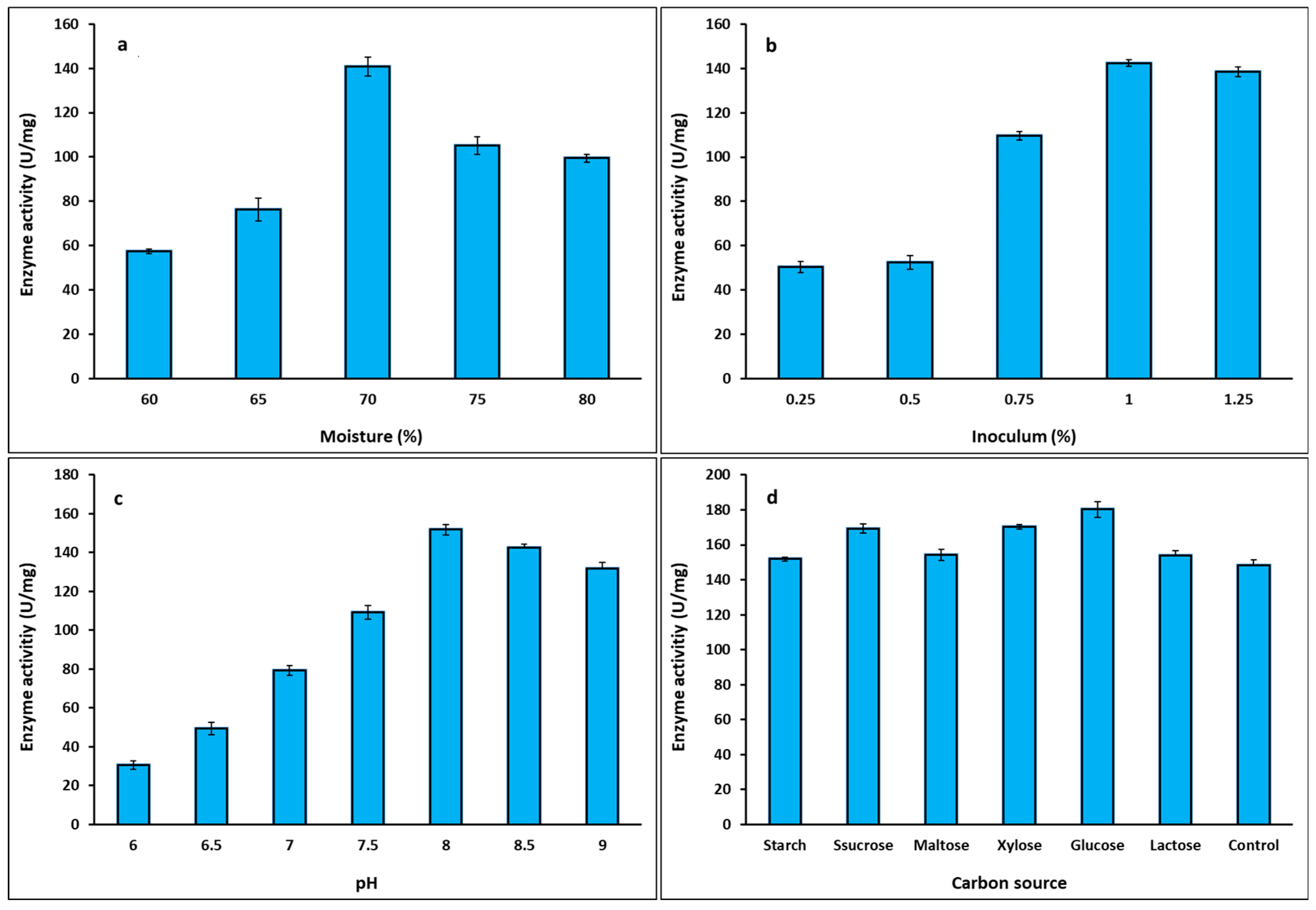
3.5. Optimization of Factors Influencing Amylase Enzyme Production Through One-Factor-at-a Time Approach
3.6. Optimization of Amylase Production by Screening of Selected Variables Affecting Enzyme Production with a Two-Level Full Factorial Design
3.7. Optimization of Selected Variables for Amylase Production via Central Composite Design and Response Surface Methodology
3.8. Validation of the Model
4. Conclusions
Supplementary Materials
Author Contributions
Funding
Institutional Review Board Statement
Informed Consent Statement
Data Availability Statement
Conflicts of Interest
References
- Al-Agamy, M.H.; Alhuzani, M.R.; Kelany, M.S.; Hamed, M.M. Production and Partial Characterization of α-Amylase Enzyme from Marine Actinomycetes. BioMed Res. Int. 2021, 2021, 5289848. [Google Scholar] [CrossRef] [PubMed]
- Barzkar, N.; Sukhikh, S.; Babich, O. Study of marine microorganism metabolites: New resources for bioactive natural products. Front. Microbiol. 2024, 14, 1285902. [Google Scholar] [CrossRef] [PubMed]
- Stach, J.E.; Maldonado, L.A.; Ward, A.C.; Goodfellow, M.; Bull, A.T. New primers for the class Actinobacteria: Application to marine and terrestrial environments. Environ. Microbiol. 2003, 5, 828–841. [Google Scholar] [CrossRef]
- Qeshmi, F.I.; Homaei, A.; Fernandes, P.; Hemmati, R.; Dijkstra, B.W.; Khajeh, K. Xylanases from marine microorganisms: A brief overview on scope, sources, features and potential applications. Biochim. Biophys. Acta (BBA)-Proteins Proteom. 2020, 1868, 140312. [Google Scholar] [CrossRef]
- Dildar, T.; Cui, W.; Ikhwanuddin, M.; Ma, H. Aquatic Organisms in Response to Salinity Stress: Ecological Impacts, Adaptive Mechanisms, and Resilience Strategies. Biology 2025, 14, 667. [Google Scholar] [CrossRef]
- Beygmoradi, A.; Homaei, A. Marine microbes as a valuable resource for brand new industrial biocatalysts. Biocatal. Agric. Biotechnol. 2017, 11, 131–152. [Google Scholar] [CrossRef]
- Navvabi, A.; Razzaghi, M.; Fernandes, P.; Karami, L.; Homaei, A. Novel lipases discovery specifically from marine organisms for industrial production and practical applications. Process Biochem. 2018, 70, 61–70. [Google Scholar] [CrossRef]
- Ashaolu, T.J.; Malik, T.; Soni, R.; Prieto, M.A.; Jafari, S.M. Extremophilic microorganisms as a source of emerging enzymes for the food industry: A review. Food Sci. Nutr. 2025, 13, e4540. [Google Scholar] [CrossRef]
- Cheng, T.; Ismail, N.; Kamaruding, N.; Saidin, J.; Danish-Daniel, M. Industrial enzymes-producing marine bacteria from marine resources. Biotechnol. Rep. 2020, 27, e00482. [Google Scholar] [CrossRef]
- Suganya, K.; Sudha, B.; Mishra, B.; Sumithra, B.; Mandal, S.K.; Sumathi, S. Marine microbes as a resource for novel enzymes. In Role of Microbes in Industrial Products and Processes; John Wiley & Sons, Inc.: Hoboken, NJ, USA, 2022; pp. 107–144. [Google Scholar] [CrossRef]
- Bonugli-Santos, R.C.; dos Santos Vasconcelos, M.R.; Passarini, M.R.; Vieira, G.A.; Lopes, V.C.; Mainardi, P.H.; Dos Santos, J.A.; de Azevedo Duarte, L.; Otero, I.V.; da Silva Yoshida, A.M. Marine-derived fungi: Diversity of enzymes and biotechnological applications. Front. Microbiol. 2015, 6, 269. [Google Scholar] [CrossRef] [PubMed]
- Pedraza-Segura, L.; Esparza, K.M.R.; Pedroza-Islas, R. Microbial Bioresource for the Production of Marine Enzymes. In Microbial Bioreactors for Industrial Molecules; John Wiley & Sons, Inc.: Hoboken, NJ, USA, 2023; pp. 17–37. [Google Scholar] [CrossRef]
- Hmani, I.; Ktari, L.; Ismail, A.; El Bour, M. Biotechnological potential of Ulva ohnoi epiphytic bacteria: Enzyme production and antimicrobial activities. Front. Mar. Sci. 2023, 10, 1042527. [Google Scholar] [CrossRef]
- Comba González, N.; Hoyos, M.L.R.; Kleine, L.L.; Castaño, D.M. Production of enzymes and siderophores by epiphytic bacteria isolated from the marine macroalga Ulva lactuca. Aquat. Biol. 2018, 27, 107–118. [Google Scholar] [CrossRef]
- Ghaderiardakani, F.; Quartino, M.L.; Wichard, T. Microbiome-dependent adaptation of seaweeds under environmental stresses: A perspective. Front. Mar. Sci. 2020, 7, 575228. [Google Scholar] [CrossRef]
- Nahor, O.; Israel, Á.; Barger, N.; Rubin-Blum, M.; Luzzatto-Knaan, T. Epiphytic microbiome associated with intertidal seaweeds in the Mediterranean Sea: Comparative analysis of bacterial communities across seaweed phyla. Sci. Rep. 2024, 14, 18631. [Google Scholar] [CrossRef]
- Singh, R.P.; Reddy, C. Seaweed–microbial interactions: Key functions of seaweed-associated bacteria. FEMS Microbiol. Ecol. 2014, 88, 213–230. [Google Scholar] [CrossRef] [PubMed]
- Kumar, P.; Verma, A.; Sundharam, S.S.; Ojha, A.K.; Krishnamurthi, S. Exploring diversity and polymer degrading potential of epiphytic bacteria isolated from marine macroalgae. Microorganisms 2022, 10, 2513. [Google Scholar] [CrossRef] [PubMed]
- Saravanan, P.; Chatterjee, A.; Kiran, K.; Bhowmick, G.D.; Sappati, P.K.; Nagarajan, V. Exploring seaweed-associated marine microbes: Growth impacts and enzymatic potential for sustainable resource utilization. Indian J. Microbiol. 2024, 64, 593–602. [Google Scholar] [CrossRef]
- Barbato, M.; Vacchini, V.; Engelen, A.H.; Patania, G.; Mapelli, F.; Borin, S.; Crotti, E. What lies on macroalgal surface: Diversity of polysaccharide degraders in culturable epiphytic bacteria. AMB Express 2022, 12, 98. [Google Scholar] [CrossRef]
- Vega-Portalatino, E.J.; Rosales-Cuentas, M.M.; Valdiviezo-Marcelo, J.; Arana-Torres, N.M.; Espinoza-Espinoza, L.A.; Moreno-Quispe, L.A.; Cornelio-Santiago, H.P. Antimicrobial and production of hydrolytic enzymes potentials of bacteria and fungi associated with macroalgae and their applications: A review. Front. Mar. Sci. 2023, 10, 1174569. [Google Scholar] [CrossRef]
- El-Enshasy, H.A.; Abdel Fattah, Y.R.; Othman, N.Z. Amylases: Characteristics, sources, production, and applications. In Bioprocessing Technologies in Biorefinery for Sustainable Production of Fuels, Chemicals, and Polymers; John Wiley & Sons, Inc.: Hoboken, NJ, USA, 2013; pp. 111–130. [Google Scholar] [CrossRef]
- Farooq, M.A.; Ali, S.; Hassan, A.; Tahir, H.M.; Mumtaz, S.; Mumtaz, S. Biosynthesis and industrial applications of α-amylase: A review. Arch. Microbiol. 2021, 203, 1281–1292. [Google Scholar] [CrossRef]
- Paul, J.S.; Gupta, N.; Beliya, E.; Tiwari, S.; Jadhav, S.K. Aspects and recent trends in microbial α-amylase: A review. Appl. Biochem. Biotechnol. 2021, 193, 2649–2698. [Google Scholar] [CrossRef] [PubMed]
- Suriya, J.; Bharathiraja, S.; Krishnan, M.; Manivasagan, P.; Kim, S.-K. Marine microbial amylases: Properties and applications. Adv. Food Nutr. Res. 2016, 79, 161–177. [Google Scholar] [CrossRef]
- Elmansy, E.A.; Asker, M.S.; El-Kady, E.M.; Hassanein, S.M.; El-Beih, F.M. Production and optimization of α-amylase from thermo-halophilic bacteria isolated from different local marine environments. Bull. Natl. Res. Cent. 2018, 42, 31. [Google Scholar] [CrossRef]
- Raveendran, S.; Parameswaran, B.; Ummalyma, S.B.; Abraham, A.; Mathew, A.K.; Madhavan, A.; Rebello, S.; Pandey, A. Applications of microbial enzymes in food industry. Food Technol. Biotechnol. 2018, 56, 16. [Google Scholar] [CrossRef]
- Kalpana, B.J.; Aarthy, S.; Pandian, S.K. Antibiofilm activity of α-amylase from Bacillus subtilis S8-18 against biofilm forming human bacterial pathogens. Appl. Biochem. Biotechnol. 2012, 167, 1778–1794. [Google Scholar] [CrossRef]
- Vaikundamoorthy, R.; Rajendran, R.; Selvaraju, A.; Moorthy, K.; Perumal, S. Development of thermostable amylase enzyme from Bacillus cereus for potential antibiofilm activity. Bioorg. Chem. 2018, 77, 494–506. [Google Scholar] [CrossRef]
- Goel, C.; Shakir, C.; Tesfaye, A.; Raghavanpillai Sabu, K.; Idhayadhulla, A.; Manilal, A.; Woldemariam, M.; Vijayan, N.; Shah, S. Antibiofilm Potential of Alpha-Amylase from a Marine Bacterium, Pantoea agglomerans. Can. J. Infect. Dis. Med. Microbiol. 2022, 2022, 7480382. [Google Scholar] [CrossRef]
- Abo-Kamar, A.M.; Mustafa, A.-E.-R.A.; Al-Madboly, L.A. Purified α-Amylase from Bacillus cereus exhibits antibiofilm and antiquorum sensing activities against uropathogenic Escherichia coli, downregulating FimH, and PapC virulence genes: Implications for urinary tract infections. BMC Microbiol. 2024, 24, 502. [Google Scholar] [CrossRef] [PubMed]
- Harbi, A.M.A.; Jamal, M.T.; Satheesh, S. Antibiofilm Activity of Amylases Isolated from the Bacteria Associated With the Soft Coral Sarcophyton trocheliophorum. J. King Abdulaziz Univ. Mar. Sci. 2025, 35, 1–11. [Google Scholar] [CrossRef]
- O’Toole, G.; Kaplan, H.B.; Kolter, R. Biofilm formation as microbial development. Annu. Rev. Microbiol. 2000, 54, 49–79. [Google Scholar] [CrossRef]
- De Carvalho, C.C. Marine biofilms: A successful microbial strategy with economic implications. Front. Mar. Sci. 2018, 5, 126. [Google Scholar] [CrossRef]
- Bannister, J.; Sievers, M.; Bush, F.; Bloecher, N. Biofouling in marine aquaculture: A review of recent research and developments. Biofouling 2019, 35, 631–648. [Google Scholar] [CrossRef]
- Vasudevan, R. Biofilms: Microbial cities of scientific significance. J. Microbiol. Exp. 2014, 1, 00014. [Google Scholar] [CrossRef]
- Nadar, S.; Khan, T.; Patching, S.G.; Omri, A. Development of antibiofilm therapeutics strategies to overcome antimicrobial drug resistance. Microorganisms 2022, 10, 303. [Google Scholar] [CrossRef]
- Asma, S.T.; Imre, K.; Morar, A.; Herman, V.; Acaroz, U.; Mukhtar, H.; Arslan-Acaroz, D.; Shah, S.R.A.; Gerlach, R. An overview of biofilm formation–combating strategies and mechanisms of action of antibiofilm agents. Life 2022, 12, 1110. [Google Scholar] [CrossRef]
- Al-Madboly, L.A.; Aboulmagd, A.; El-Salam, M.A.; Kushkevych, I.; El-Morsi, R.M. Microbial enzymes as powerful natural anti-biofilm candidates. Microb. Cell Factories 2024, 23, 343. [Google Scholar] [CrossRef] [PubMed]
- Upadhyay, A.; Pal, D.; Kumar, A. Combinatorial therapeutic enzymes to combat multidrug resistance in bacteria. Life Sci. 2024, 353, 122920. [Google Scholar] [CrossRef] [PubMed]
- Shaw, J.-F.; Lin, F.-P.; Chen, S.-C.; Chen, H.-C. Purification and properties of an extracellular a-amylase from Thermus sp. Bot. Bull. Acad. Sin. 1995, 36, 195–200. [Google Scholar]
- Hamilton, L.M.; Kelly, C.T.; Fogarty, W.M. Production and properties of the raw starch-digesting α-amylase of Bacillus sp. IMD 435. Process Biochem. 1999, 35, 27–31. [Google Scholar] [CrossRef]
- Qureshi, A.S.; Dahot, M.U.; Rehman, A. Production of amylase by fungi through submerged fermentation. Pak. J. Biotechnol. 2004, 1, 34–42. [Google Scholar]
- O’Toole, G.A. Microtiter Bulaşık Biyofilm Oluşumu Testi. J. Vis. Exp. (JoVE) 2011, 47, e2437. [Google Scholar] [CrossRef]
- Satheesh, S.; Soniamby, A.; Sunjaiy Shankar, C.; Mary Josephine Punitha, S. Antifouling activities of marine bacteria associated with sponge (Sigmadocia sp.). J. Ocean. Univ. China 2012, 11, 354–360. [Google Scholar] [CrossRef]
- Imran, M.; Poduval, P.B.; Ghadi, S.C. Bacterial degradation of algal polysaccharides in marine ecosystem. In Marine Pollution and Microbial Remediation; Springer: Singapore, 2016; pp. 189–203. [Google Scholar]
- Suribabu, K.; Govardhan, T.L.; Hemalatha, K. Isolation of α-amylase producing bacteria from the coastal waters of Bay of Bengal, Visakhapatnam. Indian J. Geo-Mar. Sci. 2015, 44, 697–703. [Google Scholar]
- Erfanimoghadam, M.R.; Homaei, A. Identification of new amylolytic enzymes from marine symbiotic bacteria of Bacillus species. Catalysts 2023, 13, 183. [Google Scholar] [CrossRef]
- Alonazi, M.; Karray, A.; Badjah-Hadj-Ahmed, A.Y.; Ben Bacha, A. Alpha amylase from Bacillus pacificus associated with brown algae Turbinaria ornata: Cultural conditions, purification, and biochemical characterization. Processes 2020, 9, 16. [Google Scholar] [CrossRef]
- Shanmughapriya, S.; Seghal Kiran, G.; Selvin, J.; Gandhimathi, R.; Bastin Baskar, T.; Manilal, A.; Sujith, S. Optimization, production, and partial characterization of an alkalophilic amylase produced by sponge associated marine bacterium Halobacterium salinarum MMD047. Biotechnol. Bioprocess Eng. 2009, 14, 67–75. [Google Scholar] [CrossRef]
- Gupta, P.; Sarkar, S.; Das, B.; Bhattacharjee, S.; Tribedi, P. Biofilm, pathogenesis and prevention—A journey to break the wall: A review. Arch. Microbiol. 2016, 198, 1–15. [Google Scholar] [CrossRef] [PubMed]
- Rather, M.A.; Gupta, K.; Mandal, M. Microbial biofilm: Formation, architecture, antibiotic resistance, and control strategies. Braz. J. Microbiol. 2021, 52, 1701–1718. [Google Scholar] [CrossRef] [PubMed]
- Lahiri, D.; Nag, M.; Sarkar, T.; Dutta, B.; Ray, R.R. Antibiofilm activity of α-amylase from Bacillus subtilis and prediction of the optimized conditions for biofilm removal by response surface methodology (RSM) and artificial neural network (ANN). Appl. Biochem. Biotechnol. 2021, 193, 1853–1872. [Google Scholar] [CrossRef] [PubMed]
- Abeleda, H.E.P.; Javier, A.P.; Murillo, A.Q.M.; Baculi, R.Q. Alpha-amylase conjugated biogenic silver nanoparticles as innovative strategy against biofilm-forming multidrug resistant bacteria. Biocatal. Agric. Biotechnol. 2020, 29, 101784. [Google Scholar] [CrossRef]
- Rao, P.; Aswathanarayan, J.B.; Madhunapantula, S.V.; Rai, R.V.; Ramasami, P.; Shivappa, S.G. Enhanced biofilm disruption in ESKAPE pathogens through synergistic activity of EPS degrading enzymes. Pure Appl. Chem. 2025, 97, 503–516. [Google Scholar] [CrossRef]
- Majithiya, V.R.; Ghoghari, A.M.; Gohel, S.D. Purification, characterization, structural elucidation, and industrial applications of thermostable alkaline protease produced by seaweed-associated Nocardiopsis dassonvillei strain VCs-4. Int. J. Biol. Macromol. 2025, 305, 141147. [Google Scholar] [CrossRef]
- Lakshmi, S.A.; Alexpandi, R.; Shafreen, R.M.B.; Tamilmuhilan, K.; Srivathsan, A.; Kasthuri, T.; Ravi, A.V.; Shiburaj, S.; Pandian, S.K. Evaluation of antibiofilm potential of four-domain α-amylase from Streptomyces griseus against exopolysaccharides (EPS) of bacterial pathogens using Danio rerio. Arch. Microbiol. 2022, 204, 243. [Google Scholar] [CrossRef]
- Mustafa, A.-E.-R.A.; Abo-Kamer, A.M.; Al-Madboly, L.A. Bacillus cereus-derived α-amylase disrupts biofilm formation and quorum sensing in multidrug-resistant Klebsiella pneumoniae. BMC Microbiol. 2025, 25, 563. [Google Scholar] [CrossRef]
- Sandasi, M.; Leonard, C.; Van Vuuren, S.; Viljoen, A. Peppermint (Mentha piperita) inhibits microbial biofilms in vitro. S. Afr. J. Bot. 2011, 77, 80–85. [Google Scholar] [CrossRef]
- Ortiz, A.; Sansinenea, E. The Industrially important enzymes from Bacillus species. In Bacilli in Agrobiotechnology: Plant Stress Tolerance, Bioremediation, and Bioprospecting; Springer: Cham, Switzerland, 2022; pp. 89–99. [Google Scholar]
- Chakraborty, K.; Kizhakkekalam, V.K.; Joy, M.; Chakraborty, R.D. Novel amylomacins from seaweed-associated Bacillus amyloliquefaciens as prospective antimicrobial leads attenuating resistant bacteria. World J. Microbiol. Biotechnol. 2021, 37, 200. [Google Scholar] [CrossRef]
- Shanoona, K.; Chakraborty, K.; Varghese, C.; Chakraborty, R.D. Antibiotic properties of seaweed-associated heterotrophic Bacilli against drug-resistant pathogens. Gene Rep. 2024, 37, 102022. [Google Scholar] [CrossRef]
- Naufal, M.; Zunuraen, S.; Latifah, L.A.; Septiana, N.I.; Nababan, Y.I.; Purbiantoro, W.; Chasanah, E.; Fahrurrozi, F. Abiotic Stress Responses of a seaweed-associated Bacillus: Implications for Coastal Aquaculture Ecosystems. Thalass. Int. J. Mar. Sci. 2025, 41, 246. [Google Scholar] [CrossRef]
- Perwez, M.; Al Asheh, S. Valorization of agro-industrial waste through solid-state fermentation: Mini review. Biotechnol. Rep. 2025, 45, e00873. [Google Scholar] [CrossRef] [PubMed]
- Sivaramakrishnan, S.; Gangadharan, D.; Nampoothiri, K.M.; Soccol, C.R.; Pandey, A. α-Amylases from Microbial Sources—An Overview on Recent Developments. Food Technol. Biotechnol. 2006, 44, 173–184. [Google Scholar]
- Almanaa, T.N.; Vijayaraghavan, P.; Alharbi, N.S.; Kadaikunnan, S.; Khaled, J.M.; Alyahya, S.A. Solid state fermentation of amylase production from Bacillus subtilis D19 using agro-residues. J. King Saud Univ.-Sci. 2020, 32, 1555–1561. [Google Scholar] [CrossRef]
- Liu, G.; Wu, S.; Jin, W.; Sun, C. Amy63, a novel type of marine bacterial multifunctional enzyme possessing amylase, agarase and carrageenase activities. Sci. Rep. 2016, 6, 18726. [Google Scholar] [CrossRef]
- Fang, W.; Xue, S.; Deng, P.; Zhang, X.; Wang, X.; Xiao, Y.; Fang, Z. AmyZ1: A novel α-amylase from marine bacterium Pontibacillus sp. ZY with high activity toward raw starches. Biotechnol. Biofuels 2019, 12, 95. [Google Scholar] [CrossRef]
- Gu, X.; Fu, L.; Pan, A.; Gui, Y.; Zhang, Q.; Li, J. Multifunctional alkalophilic α-amylase with diverse raw seaweed degrading activities. AMB Express 2021, 11, 139. [Google Scholar] [CrossRef]
- Haq, I.; Ali, S.; Javed, M.M.; Hameed, U.; Saleem, A.; Adnan, F.; Qadeer, M. Production of alpha amylase from a randomly induced mutant strain of Bacillus amyloliquefaciens and its application as a desizer in textile industry. Pak. J. Bot. 2010, 42, 473–484. [Google Scholar]
- Sivakumar, T.; Shankar, T.; Vijayabaskar, P.; Muthukumar, J.; Nagendrakannan, E. Amylase production using Bacillus cereus isolated from a vermicompost site. Int. J. Microbiol. Res. 2012, 3, 117–123. [Google Scholar]
- Sharif, S.; Shah, A.H.; Fariq, A.; Jannat, S.; Rasheed, S.; Yasmin, A. Optimization of amylase production using response surface methodology from newly isolated thermophilic bacteria. Heliyon 2023, 9, e12901. [Google Scholar] [CrossRef] [PubMed]
- Adetiloye, O.A.; Solomon, B.O.; Omolaiye, J.A.; Betiku, E. Optimization of thermostable amylolytic enzyme production from Bacillus cereus isolated from a recreational warm spring via Box Behnken design and response surface methodology. Microb. Cell Factories 2025, 24, 87. [Google Scholar] [CrossRef]
- Grata, K.; Nabrdalik, M.; Latała, A.; Róśnych, W.; Węgla, Ź.; Aktywność, N. Effect of different carbon sources on amylolytic activity of Bacillus spp. isolated from natural environment. Proc. ECOpole 2008, 2, 321–324. [Google Scholar]
- Vishwanatha, K.S.; Appu Rao, A.; Singh, S.A. Production and characterization of a milk-clotting enzyme from Aspergillus oryzae MTCC 5341. Appl. Microbiol. Biotechnol. 2010, 85, 1849–1859. [Google Scholar] [CrossRef] [PubMed]
- Saad, W.F.; Othman, A.M.; Abdel-Fattah, M.; Ahmad, M.S. Response surface methodology as an approach for optimization of α-amylase production by the new isolated thermotolerant Bacillus licheniformis WF67 strain in submerged fermentation. Biocatal. Agric. Biotechnol. 2021, 32, 101944. [Google Scholar] [CrossRef]
- Alarjani, K.M.; Elshikh, M.S.; Alghmdi, M.A.; Arokiyaraj, S.; Ponnuswamy, V. Valorization of date molasses and municipal solid waste for the production of cellulases by Trichoderma reesei Al-K1 149 in a tray reactor. Waste Biomass Valorization 2024, 15, 5833–5842. [Google Scholar] [CrossRef]
- Alfarhan, A.; Rajagopal, R.; Ponnuswamy, V. Valorization of Unripe Banana Peel (Robusta) Powder for the Production of Tannase Using Bacillus xiamenensis in Submerged Fermentation. BioResources 2024, 19, 5396. [Google Scholar] [CrossRef]
- Muthuvelayudham, R.; Viruthagiri, T. Application of central composite design based response surface methodology in parameter optimization and on cellulase production using agricultural waste. Int. J. Chem. Biol. Eng. 2010, 3, 97–104. [Google Scholar]
- Rachmawaty, R.; Halifah, P.; Hartati, H.; Maulana, Z.; Salleh, M.M. Optimization of chitinase production by Trichoderma virens in solid state fermentation using response surface methodology. In Materials Science Forum; Trans Tech Publications Ltd.: Bäch, Switzerland, 2019; pp. 132–142. [Google Scholar]
- Altınışık, S.; Nigiz, F.U.; Gürdal, S.; Yılmaz, K.; Tuncel, N.B.; Koyuncu, S. Optimization of bioethanol production from sugar beet processing by-product molasses using response surface methodology. Biomass Convers. Biorefin. 2025, 15, 9875–9888. [Google Scholar] [CrossRef]
- Bhaturiwala, R.; Bagban, M.; Mansuri, A.; Modi, H. Successive approach of medium optimization using one-factor-at-a-time and response surface methodology for improved β-mannanase production from Streptomyces sp. Bioresour. Technol. Rep. 2022, 18, 101087. [Google Scholar] [CrossRef]
- Zhang, Y.; Hu, J.; Zhang, Q.; Cai, D.; Chen, S.; Wang, Y. Enhancement of alkaline protease production in recombinant Bacillus licheniformis by response surface methodology. Bioresour. Bioprocess. 2023, 10, 27. [Google Scholar] [CrossRef] [PubMed]
- Shi, Y.; Niu, X.; Yang, H.; Chu, M.; Wang, N.; Bao, H.; Zhan, F.; Yang, R.; Lou, K. Optimization of the fermentation media and growth conditions of Bacillus velezensis BHZ-29 using a Plackett–Burman design experiment combined with response surface methodology. Front. Microbiol. 2024, 15, 1355369. [Google Scholar] [CrossRef] [PubMed]
- Abdullah, R.; Ahmad, S.; Nisar, K.; Kaleem, A.; Iqtedar, M. Response surface methodology as an approach for optimization of alpha amylase production by using bacterial consortium under submerged fermentation. Kuwait J. Sci. 2024, 51, 100220. [Google Scholar] [CrossRef]
- Abo-Kamer, A.M.; Abd-El-salam, I.S.; Mostafa, F.A.; Mustafa, A.-E.-R.A.; Al-Madboly, L.A. A promising microbial α-amylase production, and purification from Bacillus cereus and its assessment as antibiofilm agent against Pseudomonas aeruginosa pathogen. Microb. Cell Factories 2023, 22, 141. [Google Scholar] [CrossRef]
- Balakrishnan, M.; Jeevarathinam, G.; Kumar, S.K.S.; Muniraj, I.; Uthandi, S. Optimization and scale-up of α-amylase production by Aspergillus oryzae using solid-state fermentation of edible oil cakes. BMC Biotechnol. 2021, 21, 33. [Google Scholar] [CrossRef] [PubMed]
- Ojha, S.K.; Singh, P.K.; Mishra, S.; Pattnaik, R.; Dixit, S.; Verma, S.K. Response surface methodology based optimization and scale-up production of amylase from a novel bacterial strain, Bacillus aryabhattai KIIT BE-1. Biotechnol. Rep. 2020, 27, e00506. [Google Scholar] [CrossRef]
- Tanyildizi, M.S.; Özer, D.; Elibol, M. Optimization of α-amylase production by Bacillus sp. using response surface methodology. Process Biochem. 2005, 40, 2291–2296. [Google Scholar] [CrossRef]
- Singh, R.; Sharma, D.C.; Gupta, M.K. Optimization of critical process parameters for amylase production by Bacillus sp. using statistical approach (RSM). J. Microbiol. Biotechnol. Res. 2017, 7, 7–15. [Google Scholar] [CrossRef]





| Factor | Name | Units | −1 | 1 |
|---|---|---|---|---|
| A | Moisture | % | 60 | 80 |
| B | pH | 6 | 8 | |
| C | Inoculum | % | 0.5 | 1 |
| D | Glucose | % | 0.1 | 1 |
| E | Ammonium sulphate | % | 0.1 | 0.5 |
| Factor | Name | Units | Low Actual | High Actual |
|---|---|---|---|---|
| A | pH | 6.5 | 8.5 | |
| B | Inoculum | % | 0.5 | 1 |
| C | Glucose | % | 0.2 | 1.2 |
| Strain | Zone of Clearance (mm) |
|---|---|
| MA01 | 9 ± 1 |
| MA02 | 10 ± 0 |
| MA03 | 18 ± 1 |
| MD01 | 16 ± 1 |
| MD02 | 21 ± 2 |
| MK03 | 19 ± 1 |
| MU02 | 14 ± 2 |
| MU04 | 17 ± 1 |
| MU09 | 10 ± 0 |
| MU10 | 9 ± 1 |
| MV04 | 12 ± 0 |
| MU06 | 17 ± 2 |
| Strain | Amylase Activity (U/mL) |
|---|---|
| MA02 | 38.1 ± 5.6 |
| MA03 | 104.1 ± 3.3 |
| MD01 | 40.5 ± 4.4 |
| MD02 | 138.2 ± 2.1 |
| MK03 | 117.1 ± 1.4 |
| MU02 | 29.8 ± 2.2 |
| MU04 | 97.4 ± 1.1 |
| MU09 | 3.9 ± 0.52 |
| MV04 | 2.5 ± 0.3 |
| MU06 | 89.04 ± 4.2 |
| Run | Moisture | pH | Inoculum | Glucose | Ammonium Sulphate | Enzyme Activity (U/mg) |
|---|---|---|---|---|---|---|
| 1 | 60 | 6 | 0.5 | 0.1 | 0.5 | 10.2 |
| 2 | 80 | 8 | 1 | 0.1 | 0.1 | 40.2 |
| 3 | 60 | 6 | 0.5 | 1 | 0.1 | 79.4 |
| 4 | 60 | 8 | 1 | 0.1 | 0.5 | 40.4 |
| 5 | 80 | 8 | 1 | 1 | 0.1 | 190.4 |
| 6 | 80 | 6 | 1 | 1 | 0.5 | 76.2 |
| 7 | 60 | 8 | 1 | 1 | 0.1 | 70.2 |
| 8 | 60 | 8 | 0.5 | 1 | 0.1 | 50.2 |
| 9 | 80 | 8 | 1 | 1 | 0.5 | 180.2 |
| 10 | 60 | 6 | 1 | 1 | 0.5 | 15.2 |
| 11 | 80 | 8 | 0.5 | 1 | 0.5 | 105.2 |
| 12 | 80 | 6 | 1 | 0.1 | 0.1 | 50.3 |
| 13 | 60 | 6 | 0.5 | 1 | 0.5 | 10.3 |
| 14 | 60 | 6 | 1 | 1 | 0.1 | 60.9 |
| 15 | 80 | 8 | 1 | 0.1 | 0.5 | 69.3 |
| 16 | 60 | 6 | 1 | 0.1 | 0.5 | 40.6 |
| 17 | 60 | 8 | 0.5 | 1 | 0.5 | 60.6 |
| 18 | 60 | 6 | 0.5 | 0.1 | 0.1 | 10.5 |
| 19 | 80 | 8 | 0.5 | 0.1 | 0.1 | 68.5 |
| 20 | 60 | 8 | 1 | 0.1 | 0.1 | 40.5 |
| 21 | 60 | 8 | 0.5 | 0.1 | 0.5 | 59.4 |
| 22 | 80 | 6 | 0.5 | 1 | 0.1 | 39.9 |
| 23 | 80 | 6 | 1 | 0.1 | 0.5 | 38.5 |
| 24 | 80 | 6 | 0.5 | 0.1 | 0.5 | 9.6 |
| 25 | 80 | 6 | 0.5 | 1 | 0.5 | 59.3 |
| 26 | 80 | 6 | 0.5 | 0.1 | 0.1 | 5.2 |
| 27 | 80 | 6 | 1 | 1 | 0.1 | 50.4 |
| 28 | 60 | 8 | 0.5 | 0.1 | 0.1 | 79.3 |
| 29 | 60 | 6 | 1 | 0.1 | 0.1 | 50.7 |
| 30 | 80 | 8 | 0.5 | 1 | 0.1 | 19.3 |
| 31 | 60 | 8 | 1 | 1 | 0.5 | 130.9 |
| 32 | 80 | 8 | 0.5 | 0.1 | 0.5 | 58.5 |
| Runs | pH | Inoculum (%) | Glucose (%) | Enzyme Activity (U/mg) |
|---|---|---|---|---|
| 1 | 6.5 | 0.5 | 1.2 | 150.2 |
| 2 | 6.5 | 0.5 | 0.2 | 12.9 |
| 3 | 7.5 | 0.75 | 0.7 | 240.5 |
| 4 | 6.5 | 1 | 1.2 | 69.2 |
| 5 | 7.5 | 0.32 | 0.7 | 155.9 |
| 6 | 7.5 | 0.75 | −0.14 | 70.4 |
| 7 | 8.5 | 1 | 0.2 | 49.8 |
| 8 | 7.5 | 0.75 | 0.7 | 269.2 |
| 9 | 7.5 | 0.75 | 1.54 | 286.3 |
| 10 | 5.81 | 0.75 | 0.7 | 2.4 |
| 11 | 7.5 | 1.17 | 0.7 | 110.6 |
| 12 | 8.5 | 0.5 | 1.2 | 87.5 |
| 13 | 7.5 | 0.75 | 0.7 | 289.5 |
| 14 | 7.5 | 0.75 | 0.7 | 304.8 |
| 15 | 7.5 | 0.75 | 0.7 | 297.4 |
| 16 | 8.5 | 1 | 1.2 | 228.4 |
| 17 | 8.5 | 0.5 | 0.2 | 69.6 |
| 18 | 7.5 | 0.75 | 0.7 | 285.4 |
| 19 | 6.5 | 1 | 0.2 | 30.5 |
| 20 | 9.181793 | 0.75 | 0.7 | 5.9 |
Disclaimer/Publisher’s Note: The statements, opinions and data contained in all publications are solely those of the individual author(s) and contributor(s) and not of MDPI and/or the editor(s). MDPI and/or the editor(s) disclaim responsibility for any injury to people or property resulting from any ideas, methods, instructions or products referred to in the content. |
© 2026 by the authors. Licensee MDPI, Basel, Switzerland. This article is an open access article distributed under the terms and conditions of the Creative Commons Attribution (CC BY) license.
Share and Cite
Satheesh, S.; Al Solami, L. Amylase Enzyme Production in Bacteria Associated with Marine Macroalgae: Screening, Optimization and Biofilm Inhibitory Activity. Fermentation 2026, 12, 112. https://doi.org/10.3390/fermentation12020112
Satheesh S, Al Solami L. Amylase Enzyme Production in Bacteria Associated with Marine Macroalgae: Screening, Optimization and Biofilm Inhibitory Activity. Fermentation. 2026; 12(2):112. https://doi.org/10.3390/fermentation12020112
Chicago/Turabian StyleSatheesh, Sathianeson, and Lafi Al Solami. 2026. "Amylase Enzyme Production in Bacteria Associated with Marine Macroalgae: Screening, Optimization and Biofilm Inhibitory Activity" Fermentation 12, no. 2: 112. https://doi.org/10.3390/fermentation12020112
APA StyleSatheesh, S., & Al Solami, L. (2026). Amylase Enzyme Production in Bacteria Associated with Marine Macroalgae: Screening, Optimization and Biofilm Inhibitory Activity. Fermentation, 12(2), 112. https://doi.org/10.3390/fermentation12020112

