Next Article in Journal
The Effects of Microorganisms and Cellulases on the Quality and Microbial Diversity of Caragana korshinskii Silage
Next Article in Special Issue
Synthetic Biofilm Reactor with Independent Supply of Gas and Liquid Phase for Studying Chain Elongation with Immobilized Clostridium kluyveri at Defined Reaction Conditions
Previous Article in Journal
Effect of Added Composite Bacteria on Fermentation Quality and Microbial Diversity of Mixed Microstorage of Reed Straw and Inferior Jujube
Previous Article in Special Issue
Bioenergetic Modeling of the Relationship Between Voltage and Electroactive Microbial Biomass Yield for Bioelectrochemical Carbon Dioxide Reduction to Methane
 
 
Font Type:
Arial Georgia Verdana
Font Size:
Aa Aa Aa
Line Spacing:
Column Width:
Background:
Article

Enhanced Sugar Yield from Enzymatic Hydrolysis of Cellulignin from Sugarcane Bagasse Using a Biosurfactant and Soybean Protein in Powdered and Cavitated Forms

by
Alain Monsalve Mera
,
Salvador Sánchez Muñoz
,
Felipe A. Fernandes Antunes
,
Júlio C. dos Santos
and
Silvio Silvério da Silva
*
Department of Biotechnology, Engineering School of Lorena, University of São Paulo (EEL-USP), Lorena 12602-810, SP, Brazil
*
Author to whom correspondence should be addressed.
Fermentation 2025, 11(3), 114; https://doi.org/10.3390/fermentation11030114
Submission received: 20 January 2025 / Revised: 15 February 2025 / Accepted: 18 February 2025 / Published: 28 February 2025

Abstract

The enzymatic hydrolysis of lignocellulosic biomass is often hindered by lignin, which acts as a physical barrier and promotes non-productive enzyme adsorption. This study evaluated the potential of soybean protein in powdered and cavitated forms, along with lactonic sophorolipid biosurfactant (LSLB), to enhance sugar yields from cellulignin derived from sugarcane bagasse, a residue with a high lignin content. A Box–Behnken design was used to investigate the effects of enzyme loading (10–20 FPU/g cellulignin), soybean protein powder (10–30% w/w of dried cellulignin), and LSLB concentration (25–250 mg/L) on glucose and xylose yields. Hydrodynamic cavitation was employed to produce soluble soybean protein, achieving a solubility yield of 44.4% w/w in 10 min. The cavitated protein was compared with powdered protein to assess its impact on enzymatic hydrolysis efficiency. The results showed that hydrodynamic cavitation reduced the required SBP dosage while maintaining sugar yields, allowing 10% w/w of dried cellulignin cavitated SBP to achieve glucose and xylose yields comparable to 25% w/w of dried cellulignin non-cavitated SBP. Specifically, glucose yield increased by 24.92% (from 34.1% ± 1.01 to 42.6% ± 1.4), and xylose yield by 30.86% (from 32.4% ± 0.53 to 42.4% ± 2.21) compared to the no-additive condition. These improvements were linked to enhanced solubility, increased surface area, and reduced particle size in the cavitated protein. This study highlights hydrodynamic cavitation as a novel approach for modifying soybean protein structure to optimize enzymatic hydrolysis in lignocellulosic bioconversion.

1. Introduction

The global shift towards renewable energy sources has underscored the potential of lignocellulosic biomass as a key resource for biofuel production, particularly second-generation (2G) ethanol [1]. Among the various lignocellulosic feedstocks, sugarcane plays a pivotal role due to its extensive cultivation in over 100 countries and its significance in the sugar industry, with annual production reaching 183.8 million metric tons by 2023/2024, primarily driven by Brazil and India [2,3]. Sugarcane bagasse, a byproduct of sugar extraction, is recognized as a valuable resource for producing biofuels such as ethanol (1G and 2G), xylitol, biosuccinic acid, and other high-value chemicals. Notably, xylitol production, identified by the US Department of Energy as a top renewable chemical, generates cellulignin as a byproduct after hemicellulose extraction [4,5].
Cellulignin, characterized by its high lignin content, poses significant challenges for enzymatic hydrolysis due to its recalcitrant nature. Lignin acts as a physical barrier, obstructing enzyme accessibility and promoting non-productive cellulase adsorption, which reduces enzymatic efficiency [6,7,8,9,10]. Pretreatment processes, such as acid hydrolysis, partially address this recalcitrance by solubilizing hemicellulose and enhancing cellulose availability [4,11]; however, the residual lignin in cellulignin remains a key obstacle to efficient enzymatic hydrolysis, and to mitigate these challenges, various approaches have been explored to improve enzymatic hydrolysis yields, including the use of additives capable of reducing lignin interference. Among these, soybean protein has shown promise as a lignin-blocking agent [12,13,14,15].
Previous studies have demonstrated the effectiveness of soybean protein in adsorbing onto lignin and reducing unproductive enzyme binding, thereby enhancing hydrolysis efficiency. However, most of these studies have been conducted on biomass pretreated to partially remove lignin, such as those using alkaline or steam explosion methods [12,13,14]. There is limited research on the effect of soybean protein on biowastes with a high lignin content, such as cellulignin. Therefore, this study addresses this gap by investigating whether soybean protein can improve enzymatic hydrolysis efficiency despite the high recalcitrance and elevated lignin content of cellulignin [16].
In addition, hydrodynamic cavitation has emerged as a novel physical method with applications in biomass pretreatment—improving accessibility to enzymatic hydrolysis—and in fruit juice processing, where it reduces particle size, improves stability, and enhances bioactive compound retention [17,18,19]. Inspired by its use in other applications, this study evaluated whether cavitation could enhance the production of soluble protein from soybean protein powder. Previous methods for producing soluble soybean protein, such as those involving mechanical agitation over extended periods or sonication, have been shown to improve solubility but require long processing times or specialized equipment [14,20]. However, hydrodynamic cavitation has not been explored as a method for producing soluble soybean protein. Furthermore, to the best of the authors’ knowledge, no studies have yet investigated whether cavitated soybean protein retains its ability to enhance enzymatic hydrolysis efficiency when applied to biomass.
Therefore, this study aimed to evaluate the effectiveness of powdered soybean protein and biosurfactants in improving sugar yields during enzymatic hydrolysis cellulignin from sugarcane bagasse. In addition, it assessed the production of soluble protein through hydrodynamic cavitation and its subsequent application as a lignin-blocking additive for enzymatic hydrolysis, with a focus on optimizing the performance of cellulase cocktails.

2. Materials and Methods

2.1. Materials

Sugarcane bagasse, generously provided by Ipiranga Agroindustrial LTDA (Descalvado, São Paulo, Brazil), contained 23.1% glucan, 21.2% xylan, 32.8% lignin, 5.8% extractives, 3.1% ash, and acetyl groups. It was subjected to acid hydrolysis (1% H2SO4, 120 °C, 1 h) to produce cellulignin, which, after pretreatment, contained 32.6% glucan, 7.8% xylan, 44.7% lignin, 8.2% extractives, and 1.0% ash, with complete removal of acetyl groups. The resulting material was washed multiple times with distilled water until the pH stabilized at 7, and then dried to a final moisture content of 5.12%, ensuring consistency in further calculations. The dried cellulignin was milled to a particle size of approximately 0.841 mm using a 2 mm mesh sieve. The 5% residual moisture was accounted for in the calculations to accurately prepare the 20 mL reaction mixtures.
Soybean protein powder (SBP) with 90% protein content was obtained from Terra Vitta (São Paulo, Brazil), while lactonic sophorolipid biosurfactant (LSLB, >95% purity) was purified by our lab [21]. Enzymatic hydrolysis was carried out using Cellic CTec2 (SAE0020, Sigma-Aldrich, St. Louis, MO, USA), a commercial cellulase complex designed for lignocellulosic biomass conversion, containing cellulases (20–30% w/w) and endo-1,4-β-xylanase (1–10% w/w). The enzyme preparation had an activity of 120 FPU/mL and was applied at 10 to 20 FPU/g of dried cellulignin, following the experimental design. The pH of the hydrolysis reaction was maintained at 4.8, as previously indicated, and was measured at the end of selected reactions, confirming that it remained stable throughout the process. All chemicals, including sodium citrate buffer (50 mM, pH 4.8), were of analytical grade.

2.2. Experimental Design for Enzymatic Hydrolysis

A Box–Behnken experimental design was used to evaluate the effects of enzyme loading, powdered soybean protein (SBP) concentration, and lactonic sophorolipid biosurfactant (LSLB) concentration on enzymatic hydrolysis of cellulignin. The independent variables included enzyme loading (10–20 FPU/g cellulignin), SBP concentration (10–30% w/w of dried cellulignin), and LSLB concentration (25–250 mg/L. The design included 15 runs with three replicates of the central point (Table 1).

2.3. Hydrolysis Procedure

Hydrolysis reactions were carried out in 125 mL flasks with a total reaction volume of 20 mL, maintaining a constant cellulignin concentration of 10% w/v (100 g/L) by adding 2 g of dried cellulignin per flask. SBP concentration, expressed as % w/w relative to dried cellulignin, ranged from 10 to 30%, corresponding to 10–30 g SBP per 100 g of cellulignin, or equivalent to 10–30 g/L in the reaction mixture. Enzymes and LSLB were added according to the experimental matrix (Table 2), and the volume was adjusted with 50 mM of sodium citrate buffer (pH 4.8) to reach 20 mL. To prevent microbial contamination during prolonged hydrolysis, 100 µL of a 1% (w/v) sodium azide solution was added to each reaction, achieving a final concentration of 0.005% (w/v), following the work of Koullas et al. (1992) [22]. The mixture was homogenized before incubation to ensure proper dispersion of all components.
Prior to hydrolysis, cellulignin was humidified with a buffer, and vacuum-treated to remove trapped air. The flasks were incubated at 50 °C and 200 rpm in a shaking incubator (Marconi, MA 830, Piracicaba, Brazil). The samples were collected at specified intervals, filtered through 0.22 μm membranes, and analyzed by high-performance liquid chromatography (HPLC) using an Agilent 1200 series system (Agilent Technologies, Inc., Santa Clara, CA, USA) equipped with a Refractive Index Detector (RID-6A) and an HPX87H column (300 × 7.8 mm, Bio-Rad, Hercules, CA, USA). The analysis was performed at a column temperature of 45 °C, with 0.01 N H2SO4 as the mobile phase, a flow rate of 0.6 mL/min, and an injection volume of 20 μL. Glucose and xylose concentrations were quantified by HPLC, with appropriate controls to isolate the sugars released exclusively by enzymatic hydrolysis. The values obtained from enzyme-free controls were subtracted from the chromatogram peaks to account for any background sugars. Additionally, HPLC analysis confirmed that the soybean protein, in both its diluted and cavitated forms, did not contain detectable concentrations of glucose or xylose.

Calculation of Sugar Yield

Sugar yield (%) was calculated as the ratio between the measured sugar concentration (g/L) and the theoretical maximum release based on the initial glucan and xylan content in cellulignin [23]. The calculations were carried out using the following equations:
Y i e l d g l u c o s e = c o n c e n t r a t i o n   g l u c o s e   ( g L ) ( %   g l u c a n C L / C f ) / V
Y i e l d x y l o s e = c o n c e n t r a t i o n   x y l o s e   ( g L ) ( %   x y l a n C L / C f ) / V
where % glucan (44.686% w/w) and % xylan (7.781% w/w) correspond to the polysaccharide composition of cellulignin, CL represents the weight of dried cellulignin (2 g per reaction), Cf is the conversion factor (0.9 for glucan-to-glucose and 0.88 for xylan-to-xylose), and V is the total reaction volume (0.02 L).

2.4. Protein Solubility Assessment

The solubility of SBP was assessed by dissolving predetermined amounts of soybean protein powder in sodium citrate buffer (50 mM, pH 4.8) at concentrations ranging from 1 to 8 g/L. The mixtures were gently vortexed for 2 min to ensure homogeneity. A 1 mL aliquot of each solution was transferred to an Eppendorf tube and centrifuged at 12,000 rpm for 1 min. The soluble protein concentration in the supernatant was quantified using the Bradford Assay, following the manufacturer’s instructions (Thermo Fisher Scientific, Waltham, MA, USA). A linear relationship between SBP concentration and soluble protein yield was observed until a solubility plateau was reached.
After cavitation, a sample of cavitated soybean protein was collected in a 50 mL Falcon tube. A 1 mL aliquot was then transferred to an Eppendorf tube and centrifuged at 12,000 rpm for 1 min. The soluble protein concentration in the supernatant was quantified using the Bradford Assay as previously described.

2.5. Hydrodynamic Cavitation for Protein Solubility

The hydrodynamic cavitation experiments were conducted using a laboratory-scale system comprising a 2.5 L jacketed tank. The fluid was recirculated through the cavitation zone using a centrifugal pump (2 CV or 1.04 kW, Grundfos MG80BA-O-D1-CMS1B, Bjerringbro, Denmark) at a flow rate of approximately 5 m3/h. Cavitation was achieved using an orifice plate with 16 holes, each with a 1 mm diameter, with a gauge pressure of 0.3 MPa [24]. The system’s fluid temperature was controlled during all experiments by circulating cold water through the jacket of the tank. Cavitation times ranged from 10 to 180 min, and temperatures between 30 and 70 °C were evaluated to optimize protein solubility. Soluble protein yield was calculated as the proportion of soluble protein relative to the initial SBP concentration. Particle size and surface area of SBP were analyzed post cavitation using laser diffraction (Mastersizer 3000, Malvern Panalytical, Malvern, UK).

2.6. Enzymatic Hydrolysis with Cavitated Soybean Protein

To compare the effects of cavitated SBP and powdered SBP on enzymatic hydrolysis, both were tested under optimal conditions identified in previous experiments (15 FPU/g enzyme loading, 20 mg/L LSLB, and 10% cellulignin loading). Hydrolysis reactions were conducted over five days, with glucose and xylose concentrations measured via HPLC. Statistical analyses, including two-way ANOVA and Tukey post hoc tests, were performed to determine the effects of SBP type (cavitated or powdered) and hydrolysis time on sugar yields.

2.7. Data Analysis

All statistical analyses were conducted using R software version 4.4.1. Response surface methodology (RSM) was used to model the effects of enzyme loading, SBP concentration, and LSLB concentration on glucose and xylose yields. Regression models included first-order, quadratic, and interaction terms. Residual analysis and contour plots were used to validate and visualize the results.

2.8. Particle Size Analysis of Soybean Protein

Soybean protein particle size after hydrodynamic cavitation was measured using the Mastersizer 3000 (Malvern Panalytical) via low-angle laser diffraction. The analysis applied the Mie scattering model with a refractive index of 1.33, an absorption index of 0.01, and water as the dispersant. Measurements were conducted at 3500 rpm with low obscuration (1.75–10.61%) and without sonication.

2.9. AI-Assisted Tool

In the preparation of this work, the authors used ChatGPT 4.0 (https://chatgpt.com/) to refine the grammar and ensure clarity of the text. The authors subsequently reviewed and edited the content as needed and take full responsibility for the final publication.

3. Results

3.1. Influence of Powdered Soybean Protein, Enzyme Loading, and Biosurfactant Concentration on Sugar Yields

3.1.1. Effects on Glucose Yield

The effects of enzyme loading, powdered soybean protein (SBP), and lactonic sophorolipid biosurfactant (LSLB) on glucose yield during enzymatic hydrolysis of cellulignin were evaluated using a Box–Behnken experimental design. This approach allowed for the analysis of individual and interactive effects of these variables. The tested ranges included enzyme loading (10–20 FPU/g cellulignin), SBP concentration (10–30% w/w of dried cellulignin), and LSLB concentration (200–250 mg/L). These levels were selected based on preliminary solubility tests for SBP, critical micelle concentrations of biosurfactants, and research on enzyme loading. The glucose and xylose yields under these conditions are summarized in Table 2, which highlights the influence of the studied variables.
Higher SBP levels (30% w/w of dried cellulignin) were associated with increased glucose yields. Experiments 3 and 10 demonstrated the highest yields at 33.20% and 40.80%, respectively. Intermediate conditions, particularly 15% SBP (experiments 13 and 15), produced yields of 35.80%, indicating that balanced variable levels support favorable glucose production. In contrast, varying LSLB concentrations (200–250 mg/L) did not show a consistent trend, as glucose yield remained similar across the range. Similarly, enzyme loading had no direct impact on glucose yield under the tested conditions, reinforcing the role of SBP as the most critical factor for glucose production.
To further explain these results, a regression model was developed, excluding interaction terms to improve the adjusted R2 value. The model included first-order and quadratic terms for enzyme loading, SBP concentration, and LSLB concentration. The coefficients of the regression model, shown in Table 2, indicate that quadratic terms for enzyme loading (p = 0.001) and LSLB concentration (p = 0.0009) had the strongest influence on glucose yield. First-order terms for SBP concentration were also significant (p = 0.0105), reinforcing its primary role.
The coefficients indicate that quadratic terms for enzyme loading and LSLB concentration had the strongest influence on glucose yield, with sum-of-squares values of 90.55 (p = 0.0009) and 30.18 (p = 0.001), respectively. First-order terms for SBP concentration were also statistically significant (p = 0.0105), reinforcing its critical role in optimizing glucose yield. Conversely, first-order terms for enzyme loading and LSLB concentration showed weaker effects, as indicated by their higher p-values (0.1536 and 0.1412, respectively). To evaluate the overall significance and predictive power of the model, an analysis of variance (ANOVA) was performed, and the results are shown in Table 3.
The ANOVA results demonstrated that the model effectively explains 90.19% of the variability in glucose yield (R2 = 0.9019), with an adjusted R2 of 0.8284. Quadratic terms for enzyme loading and LSLB concentration contributed most significantly to the model (sum of squares = 90.55, p = 0.000523 and p = 0.0009, respectively), followed by first-order terms (sum of squares = 25.53, p = 0.02525). Minimal residual variability (sum of squares = 12.62) and the non-significant lack-of-fit test (p = 0.353) confirm the robustness and reliability of the model.
To visualize the effects of these factors and their interactions on glucose yield, contour plots were generated, as shown in Figure 1. These plots provide insights into how enzyme loading, SBP concentration, and LSLB concentration interact to influence enzymatic hydrolysis efficiency.
The effects of key variables on glucose yield during enzymatic hydrolysis are shown in Figure 1. In Figure 1A, the interaction between enzyme concentration and soybean protein powder (SBP) concentration is analyzed at a constant biosurfactant concentration of 140 mg/L. The results indicate that glucose yield increases with higher SBP concentrations, particularly at an intermediate enzyme loading of 15 FPU/g. At this enzyme concentration, raising the SBP concentration from 10% to 30% led to an increase in glucose yield from 33% to approximately 36%. Figure 1B highlights the influence of enzyme loading and biosurfactant concentration at a fixed SBP concentration of 20% (w/v). Glucose yield peaked at 15 FPU/g enzyme loading and 20 mg/L biosurfactant. Interestingly, biosurfactant concentrations between 100 and 200 mg/L resulted in a reduction in glucose yield compared to concentrations outside this range. Figure 1C further reveals the interaction between biosurfactant concentration and SBP concentration at a constant enzyme loading of 15 FPU/g. Two high-yield regions were observed: one at biosurfactant concentrations between 20 and 50 mg/L paired with SBP concentrations of 25–30%, and another at biosurfactant concentrations between 225 and 250 mg/L, where glucose yields ranged from 37% to 40%. These findings confirm that an enzyme loading of 15 FPU/g, a biosurfactant concentration of 20 mg/L, and an SBP concentration of 25–30% provide optimal conditions for glucose production.

3.1.2. Effects on Xylose Yield

The influence of enzyme loading, soybean protein powder (SBP), and lactonic sophorolipid biosurfactant (LSLB) on xylose yield was also evaluated. Similar to glucose yield, these variables were analyzed to determine their individual and interactive effects during enzymatic hydrolysis of cellulignin. Contour plots were generated to visualize these interactions and identify optimal conditions for maximizing xylose release. The results, presented in Figure 2, highlight the critical role of SBP concentration and its interaction with enzyme loading and LSLB levels in enhancing xylose production.
The effects of various variables on xylose yield during enzymatic hydrolysis are shown in Figure 2. In Figure 2A, the relationship between enzyme concentration and SBP concentration is analyzed at a fixed biosurfactant concentration of 140 mg/L. Xylose yield was highest at intermediate enzyme concentrations (around 15 FPU/g), with the effect being more pronounced at higher SBP concentrations. Figure 2B explores the influence of enzyme loading and biosurfactant concentration on xylose yield at a constant SBP concentration of 20% (w/v). The results show that xylose yield peaked at 15 FPU/g enzyme loading and 25 mg/L biosurfactant, stabilizing at biosurfactant concentrations between 120 and 200 mg/L before increasing again at higher concentrations. Figure 2C evaluates the interaction between biosurfactant and SBP concentrations at a fixed enzyme loading of 15 FPU/g. The highest xylose yields were achieved at a biosurfactant concentration of 25 mg/L and SBP concentrations of 25–30%, which coincided with the optimal condition identified for glucose production. Therefore, the combination of 15 FPU/g enzyme, 25 mg/L biosurfactant, and 25% SBP was selected as the optimal condition for sugar production from the hydrolysis of cellulignin derived from sugarcane bagasse using biosurfactant and powdered soybean protein as additives. This optimal condition was subsequently verified in the next experiment. According to Figure 1C, glucose yield after 24 h of hydrolysis was expected to be approximately 39–40%, while xylose yield was projected to range between 35.5% and 39%.

3.1.3. Validation of Optimal Conditions for Glucose and Xylose Yields

The optimal conditions—15 FPU/g enzyme loading, 25% soybean protein powder (SBP), and 25 mg/mL lactonic sophorolipid biosurfactant (LSLB)—were validated by comparing glucose and xylose yields over time during enzymatic hydrolysis of cellulignin. Treatments with the optimized conditions were compared to a control without SBP or LSLB to evaluate the effectiveness of the additives (Figure 3).
Figure 3 illustrates the time-dependent glucose (A) and xylose (B) yields during enzymatic hydrolysis at 15 FPU/g of dried cellulignin, comparing treatments with and without additives (25% soybean protein powder (SBP) and 25 mg/mL biosurfactant). For glucose, the yield with additives reached 38.8% at 24 h, grouped as “cd”, compared to 31.8% (“e”) in the control group without additives, representing a 22% relative improvement, calculated as the percentage increase over the control. At 48 h, the glucose yield increased to 44.1% with additives, grouped as “ab”, compared to 34.7% (“de”) in the control group, corresponding to a 27% relative improvement.
For xylose, the yield with additives reached 36.8% at 24 h, grouped as “cd”, compared to 30.7% (“ef”) in the control group, representing a 7% relative improvement. By 48 h, the yield with additives increased to 43.9%, grouped as “b,” compared to 33.1% (“de”) in the control group, resulting in a 33% relative improvement. The grouping letters from Tukey’s test highlight significant differences in yields between treatments and across time points. These findings confirm the predicted yields of 39–40% glucose and 35.5–39% xylose, as the experimental results showed glucose yield of 38.8% (SD 1.92) and xylose yield of 36.8% (SD 1.51) after 24 h of hydrolysis (Figure 3). This demonstrates that the selected conditions (15 FPU/g enzyme, 25 mg/L biosurfactant, and 25% SBP) effectively enhanced sugar production.

3.2. Enhanced Soluble Soybean Protein Production Through Hydrodynamic Cavitation

3.2.1. Optimization of Cavitation Conditions by Varying Time of Cavitation and Powdered Soybean Protein Concentration

The effects of cavitation time and soybean protein powder (SBP) concentration on soluble protein yield were evaluated using a face-centered central composite design (CCD), where both factors were systematically varied. This information is detailed in Table A1. Initial analysis using response surface methodology (RSM) indicated that SBP concentration significantly influenced protein yield, whereas cavitation time and its quadratic term were not statistically significant (p = 0.182 and p = 0.123, respectively). Consequently, further experiments excluded cavitation time as a variable and standardized it to 10 min, focusing solely on SBP concentration.
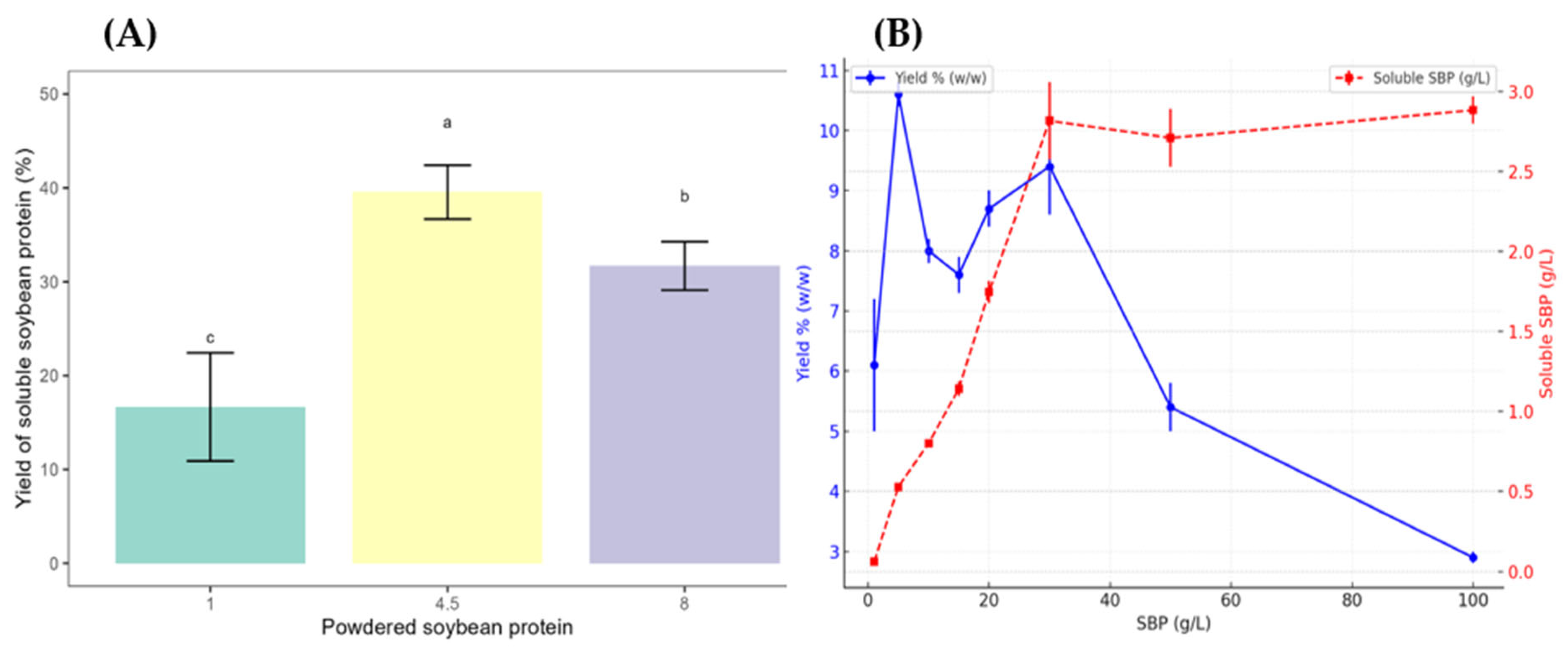
ANOVA, considering only SBP concentration as the primary factor, confirmed it as the dominant variable influencing soluble protein yield, accounting for 90% of data variability (sum of squares = 983.8, p < 0.001) (Table A2). Residual variability was minimal, as indicated by a low mean square error (14.1). Tukey’s test identified statistically significant differences across SBP concentrations, with 4.5 g/L yielding significantly higher soluble protein compared to 1 g/L and 8 g/L, as shown by distinct groupings in Figure 4. Thus, 4.5 g/L was identified as the optimal SBP concentration, with cavitation time having only a minor influence on protein yield under these conditions.
The results of hydrodynamic cavitation on soluble protein production are presented in Figure 4A, while Figure 4B illustrates the soluble protein released under non-cavitation conditions, reflecting its inherent solubility.
The fluctuations in yield (% w/w) at SBP concentrations below 20 g/L are due to the higher sensitivity of the yield calculation at low denominator values, where small variations in soluble protein measurements have a greater relative impact. However, the variation is not substantial, as shown by the 95% confidence intervals (e.g., 6.1% ± 1.1 at 1 g/L SBP and 9.6% ± 1.0 at 5 g/L SBP). As SBP concentration increases, the yield values stabilize, reflecting a more consistent solubility pattern. Soluble protein yield increased with SBP concentration during gentle stirring in the buffer, reaching 2.82 g/L at 30 g/L SBP. Beyond this concentration, the soluble protein levels showed minimal improvement, with yields of 2.71 g/L and 2.88 g/L at 50 g/L and 100 g/L SBP, respectively (Figure 4B). This plateau indicates limitations in protein solubility under these conditions without additional processing.
In contrast, applying hydrodynamic cavitation to a solution containing 4.5 g/L SBP resulted in a soluble protein yield of 2.0 g/L (44.4% w/w) after just 10 min, surpassing the efficiency of stirring alone at comparable or higher SBP concentrations. Additionally, cavitation applied at 4.5 g/L SBP produced a yield comparable to that obtained with stirring at 30 g/L SBP, demonstrating the potential of cavitation to enhance protein solubility with lower SBP input and reduced processing times.

3.2.2. Influence of Temperature on Soluble Protein Production Through Hydrodynamic Cavitation

The effect of temperature on the production of soluble soybean protein (SBP) during cavitation was evaluated at an SBP concentration of 4.5 g/L, previously identified as optimal. The analysis examined the impact of temperatures of 30 °C, 50 °C, and 70 °C on SBP yield. Detailed results are available in Table A3.
The analysis showed that the SBP yield increased with temperature. At 30 °C, the yields were consistently low, ranging from 16.74% to 21.08%. At 50 °C, the yields significantly improved, ranging from 36.61% to 39.97%. At 70 °C, the yields reached up to 43.48%, slightly higher than at 50 °C. However, the improvement at 70 °C was marginal compared to 50 °C while requiring additional energy for heating.
Based on these findings, 50 °C was selected as the most practical and efficient temperature for SBP production, balancing yield maximization and operational costs. This selection provides an effective condition for future experiments under the tested parameters.

3.2.3. Particle Size Reduction and Surface Area Enhancement Through Hydrodynamic Cavitation

Hydrodynamic cavitation significantly reduced the particle size of soybean protein, improving uniformity and increasing specific surface area. Before cavitation, D [3;2] (surface area-weighted mean diameter) and D [4;3] (volume-weighted mean diameter) were 30.8 μm and 170 μm, respectively. After cavitation, these values decreased to 2.61 μm and 26 μm. Specific surface area increased from 149.9 to 1767 m2/kg, indicating enhanced reactivity potential. Uniformity improved, as shown by reductions in span (from 1.058 to 0.982) and the uniformity index (from 0.385 to 0.322). Laser obscuration also decreased from 10.61% to 1.75%, confirming the reduction in larger particles.

3.3. Enzymatic Hydrolysis Using Cavitated Soybean Protein

3.3.1. Influence of Cavitated Soybean Protein and Enzyme Loading on Sugar Yields

Following the optimization of soluble soybean protein production through hydrodynamic cavitation (10 min at 50 °C with 4.5 g/L SBP), this study aimed to evaluate the effects of cavitated soybean protein on sugar yields during enzymatic hydrolysis of cellulignin derived from sugarcane bagasse. Specifically, this investigation assessed how cavitated soybean protein concentration (3.8–15.2% w/w of dried cellulignin) and cellulase cocktail loading (10–20 FPU/g of dried cellulignin) influenced glucose and xylose production. To maintain consistency, cellulignin loading was kept constant at 10% (dry mass/volume) across all experimental conditions.
A face-centered central composite design (CCD) was employed to model quadratic responses and interaction effects between the cavitated soybean protein concentration and enzyme loading, as shown in Table A4. The design included eleven runs, comprising axial points and three replicated center points, to estimate experimental error and ensure model adequacy for glucose and xylose yield response surfaces. This approach enabled the evaluation of the potential of cavitated soybean protein to enhance enzymatic hydrolysis efficiency, leveraging its previously demonstrated effects on solubility, particle size reduction, and increased specific surface area.
To evaluate the effects of cavitated soybean protein concentration and enzyme loading on glucose and xylose yield during enzymatic hydrolysis, regression models were developed using the first-order terms of these factors. The statistical significance of each term was assessed through an analysis of variance (ANOVA), with the results presented in Table 4 for glucose and xylose. These analyses determine the contribution of each factor to yield variability and evaluate the adequacy of the models in predicting enzymatic hydrolysis performance.
The regression analysis shows that both SBP concentration and enzyme loading had significant positive effects on glucose yield, with enzyme loading having a notably stronger impact (p-value = 0.00015) than SBP concentration (p-value = 0.0156). These results indicate that optimizing these factors can considerably improve enzymatic hydrolysis efficiency, maximizing glucose production from cellulignin.
Table A5 presents the analysis of variance (ANOVA) for the regression model assessing the effects of cavitated soybean protein (SBP) concentration and enzyme loading on glucose yield during enzymatic hydrolysis. The first-order terms, representing the linear effects of enzyme loading and SBP concentration, were found to be highly significant (p = 0.0002758), indicating that both factors strongly influenced glucose yield. The F value of 27.04 demonstrates the model’s ability to explain variability in glucose production, with the first-order terms accounting for the majority of data variance. The model explains 87.11% of the variability in glucose yield (Multiple R2 = 0.8711) with an adjusted R2 of 0.8389, confirming its reliability and predictive strength. The lack-of-fit test (p = 0.4218460) indicates no significant lack of fit, validating that the model accurately represents the experimental data. These findings emphasize the importance of optimizing both enzyme loading and SBP concentration to maximize glucose yield.
Table A6 summarizes the ANOVA for the regression model evaluating the effects of enzyme loading and SBP concentration on xylose yield. Similar to glucose, the first-order terms were statistically significant (p = 0.0064), confirming that both factors significantly influence xylose production. The F value of 10.16 highlights the strength of the model in explaining the variability in xylose yield, with 71.76% of the variance explained (Multiple R2 = 0.7176) and an adjusted R2 of 0.6470. The lack-of-fit test (p = 0.6917) indicates that the model fits the experimental data without systematic errors. The results underline the critical roles of enzyme loading and SBP concentration in enhancing xylose yield during enzymatic hydrolysis.

3.3.2. Comparative Analysis of Cavitated Versus Powdered Soybean Protein

This study compared the effects of cavitated soybean protein and soybean protein powder on glucose and xylose yields during enzymatic hydrolysis. Enzyme loading was set at 15 FPU/g of dry cellulignin, and the SBP concentration was fixed at 10% for both conditions. The samples were collected over a 5-day period, and sugar yields were determined via HPLC. The results showed a higher glucose yield with cavitated soybean protein, particularly after 128 h (46.6% vs. 41.4%) and 49 h (42.6% vs. 34.7%), marking yield differences of 5% and 8%, respectively (Figure 5). Yield differences increased over time, suggesting the type of soybean protein significantly affects hydrolysis efficiency.
To evaluate the effects of time and the type of soybean protein (cavitated or powdered) on glucose yield during enzymatic hydrolysis, a two-way ANOVA was conducted. The analysis assessed the independent effects of time and protein type, as well as their interaction, on sugar production yield from cellulignin. The results are summarized in Table A7.
The two-way ANOVA revealed that both time and the type of soybean protein (cavitated or powdered) had significant effects on glucose yield during enzymatic hydrolysis (p < 0.001 for both factors). Time was the primary factor contributing to yield variability (mean square = 445.6), followed by the type of soybean protein (p = 0.000225, mean square = 141.3). Although the interaction between time and protein type was not statistically significant at a 95% confidence level (p = 0.074), it accounted for some variability (mean square = 17.6) and may influence yield trends depending on the duration of hydrolysis. The full ANOVA results are detailed in Table A7.

3.4. Particle Size Analysis of Soybean Protein Before and After Cavitation

SBP was evaluated under optimal cavitation conditions (4.5 g/L, 50 °C, 10 min) using Dynamic Light Scattering (DLS) before and after treatment. The analysis revealed improved uniformity, with span decreasing from 1.058 to 0.982 and the uniformity index from 0.385 to 0.322. Particle size distribution showed a consistent reduction, with D [3;2] decreasing from 30.8 μm to 2.61 μm and D [4;3] from 170 μm to 26 μm. This fragmentation led to a substantial increase in specific surface area, rising from 149.9 to 1767 m2/kg, enhancing reactivity. Additionally, laser obscuration dropped from 10.61% to 1.75%, confirming the reduction in larger particles. These results demonstrate that hydrodynamic cavitation effectively refines SBP structure, improving dispersion and surface availability.

4. Discussion

Soybean protein powder (SBP) is capable of enhancing glucose and xylose yields from biomass with high lignin concentrations. The SBP concentration showed a linear effect in the model for glucose and xylose, and contour plots indicated that the 25–30% SBP range produces the highest glucose and xylose yields. Similarly, after 48 h of enzymatic hydrolysis, the application of 25% SBP with 25 mg/L of LSLB resulted in a glucose yield increase from 34.1 ± 1.01% to 44.1 ± 1.4%, representing a 29.33% improvement, while the xylose yield rose from 32.4 ± 0.53% to 43.9 ± 2.21%, corresponding to a 35.49% increase (Figure 3). These results align with the contour plot analysis, which indicated that SBP concentrations in the 25–30% range lead to the highest glucose and xylose yields, reinforcing the positive linear effect of SBP dosage on enzymatic hydrolysis efficiency.
The positive effects of SBP have been reported in previous studies, particularly for biomass that was pretreated to partially or completely remove lignin, facilitating enzyme access to cellulose and maximizing enzymatic conversion [12,13,14,15]. However, this study evaluated the effect of SBP on cellulignin, a residue of acid hydrolysis primarily intended for the extraction of five-carbon sugars rather than lignin removal [4,5,25]. Therefore, this approach expands the known applications of soybean protein by demonstrating its effectiveness in biomass with high lignin concentrations, such as cellulignin, where lignin remains largely intact. The mechanism of action of soybean protein in enhancing enzymatic hydrolysis efficiency involves its preferential adsorption onto residual lignin. This prevents non-productive cellulase binding to lignin, reduces nonspecific adsorption, and increases the availability of enzymes to catalyze cellulose by the formation of a hydration layer over lignin, reducing its hydrophobicity and facilitating enzymatic action, even under conditions where lignin remains largely intact, as observed in the case of cellulignin tested in this research [26,27].
The experimental results confirmed that SBP enhances enzymatic hydrolysis, improving glucose and xylose release, particularly at higher concentrations. However, its functionality may be influenced by factors such as solubility and interaction with lignin, which can affect its efficiency as an additive. In this study, inspired by its application in biomass pretreatment and fruit juice processing, where hydrodynamic cavitation has been shown to reduce particle size, improve stability, and enhance compound retention [17,18,19], we proposed hydrodynamic cavitation as a strategy to enhance SBP functionality by potentially improving protein solubility, surface area, and dispersion, aiming to optimize its effectiveness in enzymatic hydrolysis.
It was found that hydrodynamic cavitation enhances the efficiency of soybean protein as a booster for enzymatic hydrolysis, allowing a lower concentration (10% w/w of dried cellulignin with 25 mg/L of LSLB) to achieve a performance comparable to that of a higher concentration without cavitation (25% w/w in powder with 25 mg/L of LSLB) without compromising hydrolysis efficiency. After 49 h of enzymatic hydrolysis, applying hydrodynamic cavitation to 10% SBP (Figure 5) increased the glucose yield from 34.1% ± 1.01 to 42.6% ± 1.4, a 24.92% increase compared to the no-additive condition (Figure 3). A similar effect was observed for xylose, where 10% SBP with cavitation yielded 42.4% ± 2.21, a 30.86% increase compared to the no-additive condition (Figure 3, from 32.4% ± 0.53 to 42.4% ± 2.21). Statistical analyses indicated that cavSBP had a significant effect on the glucose (p = 0.0156) and xylose (p = 0.0479) yields. The yield increase could be attributed to the higher concentration of soluble soybean protein after hydrodynamic cavitation. For example, a study found that although the soluble fraction represented only 2% of the soybean isolate, it accounted for half of the improvement in the glucose yield from hydrothermally pretreated sugarcane bagasse. Specifically, soybean protein increased the yield by 24%, while the soluble fraction contributed a 12% increase at a protein isolate concentration of 18 g/L [14].
Additionally, cavitation significantly increased the surface area of soybean protein from 150 m2/kg to 1767 m2/kg, improving the contact interface between the protein and lignin particles. This change is relevant because, as previously demonstrated, soybean proteins effectively adsorb onto lignin surfaces, and this adsorption is key to reducing lignin hydrophobicity [26]. A larger surface area, as observed in cavitated SBP, would increase the amount of protein capable of covering lignin, forming more complete and uniform layers that efficiently block non-productive enzyme adsorption.
Moreover, cavitation reduced the particle size of soybean protein from 30.8 μm to 2.6 μm, facilitating better dispersion in the aqueous medium and increasing effective interactions with lignin particles. More dispersed proteins, such as the 7S fraction, have a higher lignin adsorption capacity due to their accessibility and coverage potential [26]. Based on this, it is hypothesized that cavitated SBP, with smaller and more uniform particles, could behave similarly, interacting more efficiently with lignin surfaces and maximizing its function as a blocker. Additionally, the increased surface area and reduced particle size likely facilitate the formation of hydrated layers, as also suggested by Salas et al. [26]. These hydrated layers reduce lignin hydrophobicity and improve its compatibility with the aqueous medium, decreasing non-productive enzyme adsorption [10,26,27]. This reinforces the idea that the physical modifications induced by cavitation enhance SBP’s effectiveness as an additive in the enzymatic hydrolysis of lignocellulosic biomass.
In the same line, hydrodynamic cavitation is a promising approach to improve the efficiency of protein solubilization for blocking lignin action. At 4.5 g/L of SBP, cavitation achieved a protein solubility of 44.4%, comparable to that obtained with 30 g/L under stirring conditions. In this study, hydrodynamic cavitation yielded 2.0 g/L of soluble protein from an initial 4.5 g/L SBP concentration, equivalent to 44.4% w/w. In contrast, previous studies employing static incubation in buffer achieved soluble protein yields of approximately 1.8% w/w with initial concentrations up to 30 g/L SBP.
Hydrodynamic cavitation extracted soluble protein in just 10 min of processing, whereas other methods required 24 h of incubation at 50 °C with agitation at 30 rpm in a sodium citrate buffer (50 mM, pH 4.8). Hydrodynamic cavitation accelerates protein solubilization through physical effects generated during bubble collapse, including high-velocity microjets, shock waves, and intense turbulence [28]. These mechanisms reduce protein particle size, as reported in [17,19,24], increase surface area, and partially denature proteins, exposing hydrophilic regions that enhance solubility. Turbulence also promotes a uniform interaction between proteins and the aqueous medium, maximizing dispersion and solubilization. Despite variations in experimental conditions, such as water versus buffer, processing times, and initial concentrations, the results show the efficiency of cavitation in extracting soluble proteins in significantly shorter times. This method’s ability to combine rapid processing, enhanced solubility, and efficient dispersion makes it a promising approach for industrial production of soluble soybean protein to optimize the enzymatic hydrolysis of sugarcane bagasse. Hydrodynamic cavitation (HC) presents industrial advantages such as adaptability to various biomass types and process conditions, making it a flexible option for industrial applications, and scalability, as it can be integrated into continuous processing systems without requiring major modifications to existing biorefinery infrastructure [18]. However, hydrodynamic cavitation remains an evolving technology, and its economic feasibility and large-scale implementation require further investigation as key factors such as processing costs and energy efficiency in large-scale systems must be assessed.

5. Conclusions

Powdered soybean protein enhanced enzymatic hydrolysis yields, even in lignin-rich biomass like cellulignin. The application of 25% SBP increased the glucose yield by 29.33% and the xylose yield by 35.49% compared to the no-additive condition. Additionally, we determined that hydrodynamic cavitation can reduce the required SBP dosage while maintaining sugar yields, enabling lower concentrations to achieve results comparable to those obtained with higher dosages of non-cavitated SBP, and, as far as we know, this study presents a novel approach to applying hydrodynamic cavitation for this purpose. Hydrodynamic cavitation improved the effectiveness of soybean protein in enzymatic hydrolysis, enabling a lower concentration of cavitated SBP (10% w/w of dried cellulignin with 25 mg/L of LSLB) to achieve sugar yields comparable to those obtained with a higher concentration of SBP (25% w/w in powder with 25 mg/L of LSLB) in non-cavitated form. Specifically, the glucose yield increased by 24.92% (from 34.1 ± 1.01% to 42.6 ± 1.4%), and the xylose yield increased by 30.86% (from 32.4 ± 0.53% to 42.4 ± 2.21%) compared to the no-additive condition.
Future studies should explore hydrodynamic cavitation’s influence on different protein sources, refine processing conditions to maximize enzymatic enhancement, and assess its broader applicability in diverse lignocellulosic substrates for industrial bioconversion processes.

Author Contributions

Conceptualization, S.S.M. and J.C.d.S.; methodology, A.M.M., F.A.F.A. and J.C.d.S.; software, A.M.M. and S.S.M.; validation, A.M.M.; formal analysis, A.M.M.; investigation, A.M.M.; resources, S.S.M., J.C.d.S. and S.S.d.S.; data curation, S.S.d.S.; writing—original draft preparation, A.M.M.; writing—review and editing, S.S.M. and F.A.F.A.; supervision, F.A.F.A. and S.S.d.S.; project administration, S.S.d.S.; funding acquisition, J.C.d.S. and S.S.d.S. All authors have read and agreed to the published version of the manuscript.

Funding

This research was funded by the Coordination for the Improvement of Higher Education Personnel (CAPES).

Institutional Review Board Statement

Not applicable.

Informed Consent Statement

Not applicable.

Data Availability Statement

The findings of this research are supported by data from the corresponding author, A.M.M., which are available upon reasonable request.

Acknowledgments

A.M.M. would like to acknowledge the School of Engineering of Lorena (EEL) at the University of São Paulo (USP) for providing access to their laboratories and facilities. The authors also thank INCT-Leveduras (CNPq 406564/2022-1), FAPESP (Process 2023/09789-8), CAPES (Code 001), and CNPq (304166/2022-7) for their financial support.

Conflicts of Interest

The authors declare no conflicts of interest and the funders had no role in the design of the study; in the collection, analyses, or interpretation of data; in the writing of the manuscript; or in the decision to publish the results.

Abbreviations

The following abbreviations are used in this manuscript:
LSLBLactonic Sophorolipid Biosurfactant
SBPSoybean Protein Powder
cavSBPCavitated Soybean Protein

Appendix A

Table A1. Soluble soybean protein yield by powdered soybean protein and time of cavitation.
Table A1. Soluble soybean protein yield by powdered soybean protein and time of cavitation.
Standard OrderTimeSBPTime Cavitation (min)SBP Powder (g/L)Soluble SBP (g/L)Yield % (w/w)
11010.220.0
2+18010.220.0
3+1082.328.8
4++18082.733.8
50104.51.737.8
6+01804.5244.4
709510.110.0
80+9582.632.5
900954.51.840.0
1000954.51.737.8
1100954.51.737.8
1200954.51.840.0
1300954.51.840.0
SBP = soybean protein.
Table A2. Analysis of variance (ANOVA) for the effect of soybean protein concentration on soluble protein yield.
Table A2. Analysis of variance (ANOVA) for the effect of soybean protein concentration on soluble protein yield.
Source of VariationSum of SquaresDegrees of FreedomMean SquareF0p-Value
SBP Concentration983.82491.934.810.000113
Residuals113.0814.1
Table A3. Effect of temperature on the yield of soluble soybean protein at an optimal concentration of 4.5 g/L.
Table A3. Effect of temperature on the yield of soluble soybean protein at an optimal concentration of 4.5 g/L.
RunInitial SBP (g/L)Temperature (°C)SBPsYield of SBPs (%)
14.5300.8919.76
24.5300.9521.08
34.5300.7516.74
44.5300.7917.47
54.5501.7338.42
64.5501.8039.97
74.5501.7438.66
84.5501.6536.61
94.5701.8140.17
104.5701.9643.48
114.5701.8741.63
124.5701.9042.12
Table A4. Face-centered central composite design (CCD) for cavitated soybean protein and enzyme concentration.
Table A4. Face-centered central composite design (CCD) for cavitated soybean protein and enzyme concentration.
Standard
Order
Run
Order
xsxesbpEYield of GlucoseYield of
Xylose
111−1−13.81031.526.9
221−115.21032.932.5
37−113.82037.839.5
411115.22042.149
56009.51535.935.8
65009.51535.130.2
78−103.81534.935.5
891015.21540.443.2
930−19.5103238
1010019.5204146.6
114009.51533.539.2
Table A5. Analysis of variance for the regression model.
Table A5. Analysis of variance for the regression model.
Source of VariationdfSum of SquaresMean SquareF Valuep-Value
FO (First-Order Terms) *2120.94860.47427.04010.0002758
Residuals817.8922.236
Lack of fit614.9052.4841.66350.4218460
Pure error22.9871.493
Multiple R2 0.8711
Adjusted R2 0.8389
Model2120.94860.47427.040.0002758
* for enzyme and cavitated soybean protein.
Table A6. Analysis of variance for the regression model for xylose production.
Table A6. Analysis of variance for the regression model for xylose production.
Source of VariationdfSum of SquaresMean SquareF Valuep-Value
FO (First-Order Terms) *2323.52161.76110.16360.0064
Residuals8127.3315.916
Lack of fit686.0214.3360.69410.6917
Pure error241.3120.653
Multiple R2
Adjusted R2 0.7176
Model 0.6470
Note: * FO terms include enzyme loading and cavitated soybean protein.
Table A7. Two-way ANOVA of the effect of soybean protein and time of cavitation over enzymatic hydrolysis of cellulignin.
Table A7. Two-way ANOVA of the effect of soybean protein and time of cavitation over enzymatic hydrolysis of cellulignin.
Source of VariationSum of SquaresDegrees of FreedomMean SquareF0p-Value
Time (hours)1782.24445.663.5224.4 × 10−11
SBP type &141.31141.320.1400.000225
Time:SBP_type70.5417.62.5130.074043
Residuals140.3207.0
& Soybean protein as powder and cavitated powder, at 10% (w/w) to dried cellulignin.

References

  1. Vandenberghe, L.P.S.; Valladares-Diestra, K.K.; Bittencourt, G.A.; Zevallos Torres, L.A.; Vieira, S.; Karp, S.G.; Sydney, E.B.; de Carvalho, J.C.; Thomaz Soccol, V.; Soccol, C.R. Beyond Sugar and Ethanol: The Future of Sugarcane Biorefineries in Brazil. Renew. Sustain. Energy Rev. 2022, 167, 112721. [Google Scholar] [CrossRef]
  2. United States Department of Agriculture, Foreign Agricultural Service Commodity Production Data. Available online: https://www.fas.usda.gov/data/production/commodity/0612000 (accessed on 17 January 2025).
  3. Mandegari, M.; Petersen, A.M.; Benjamin, Y.; Görgens, J.F. Sugarcane Biofuel Production in South Africa, Guatemala, the Philippines, Argentina, Vietnam, Cuba, and Sri Lanka. In Sugarcane Biofuels: Status, Potential, and Prospects of the Sweet Crop to Fuel the World; Khan, M.T., Khan, I.A., Eds.; Springer: Cham, Switzerland, 2019; pp. 319–346. ISBN 978-3-030-18597-8. [Google Scholar]
  4. Felipe Hernández-Pérez, A.; de Arruda, P.V.; Sene, L.; da Silva, S.S.; Kumar Chandel, A.; de Almeida Felipe, M.d.G. Xylitol Bioproduction: State-of-the-Art, Industrial Paradigm Shift, and Opportunities for Integrated Biorefineries. Crit. Rev. Biotechnol. 2019, 39, 924–943. [Google Scholar] [CrossRef] [PubMed]
  5. Antunes, F.A.F.; Freitas, J.B.F.; Prado, C.A.; Castro-Alonso, M.J.; Diaz-Ruiz, E.; Mera, A.E.; Santos, J.C.; da Silva, S.S. Valorization of Corn Cobs for Xylitol and Bioethanol Production through Column Reactor Process. Energies 2023, 16, 4841. [Google Scholar] [CrossRef]
  6. Han, L.; Jiang, B.; Wang, W.; Wang, G.; Tan, Y.; Niu, K.; Fang, X. Alleviating Nonproductive Adsorption of Lignin on CBM through the Addition of Cationic Additives for Lignocellulosic Hydrolysis. ACS Appl. Bio Mater. 2022, 5, 2253–2261. [Google Scholar] [CrossRef]
  7. Zheng, P.; Xiang, L.; Chang, J.; Lin, Q.; Xie, L.; Lan, T.; Liu, J.; Gong, Z.; Tang, T.; Shuai, L.; et al. Nanomechanics of Lignin–Cellulase Interactions in Aqueous Solutions. Biomacromolecules 2021, 22, 2033–2042. [Google Scholar] [CrossRef]
  8. Gong, Z.; Yang, G.; Song, J.; Zheng, P.; Liu, J.; Zhu, W.; Huang, L.; Chen, L.; Luo, X.; Shuai, L. Understanding the Promoting Effect of Non-Catalytic Protein on Enzymatic Hydrolysis Efficiency of Lignocelluloses. Bioresour. Bioprocess. 2021, 8, 9. [Google Scholar] [CrossRef]
  9. Huang, C.; Jiang, X.; Shen, X.; Hu, J.; Tang, W.; Wu, X.; Ragauskas, A.; Jameel, H.; Meng, X.; Yong, Q. Lignin-Enzyme Interaction: A Roadblock for Efficient Enzymatic Hydrolysis of Lignocellulosics. Renew. Sustain. Energy Rev. 2022, 154, 111822. [Google Scholar] [CrossRef]
  10. Li, X.; Zheng, Y. Lignin-Enzyme Interaction: Mechanism, Mitigation Approach, Modeling, and Research Prospects. Biotechnol. Adv. 2017, 35, 466–489. [Google Scholar] [CrossRef]
  11. Teófilo, R.F.; Chaves, D.M.; Gonçalves, I.M.; Rufino, A.B.M.X.; Antunes, T.R.; Quintão, A.J.S.; da Silva, R.C.; Sukarno, O.; da Silva, G.A.; Peternelli, L.A.; et al. A Comprehensive Study of Cellulignin Production from Sugarcane Bagasse, Sugarcane Straw, and Energy Cane for Advanced Biofuels: Liquor Composition and Cellulignin Characterizations. Waste Biomass Valor. 2024. [Google Scholar] [CrossRef]
  12. Florencio, C.; Badino, A.C.; Farinas, C.S. Addition of Soybean Protein Improves Saccharification and Ethanol Production from Hydrothermally Pretreated Sugarcane Bagasse. Bioenerg. Res. 2019, 12, 81–93. [Google Scholar] [CrossRef]
  13. Florencio, C.; Badino, A.C.; Farinas, C.S. Soybean Protein as a Cost-Effective Lignin-Blocking Additive for the Saccharification of Sugarcane Bagasse. Bioresour. Technol. 2016, 221, 172–180. [Google Scholar] [CrossRef] [PubMed]
  14. Brondi, M.G.; Pinto, A.S.; Farinas, C.S. Combining Additives Improves Sugars Release from Hydrothermally Pretreated Sugarcane Bagasse in Integrated 1G-2G Biorefineries. Bioresour. Technol. Rep. 2021, 15, 100819. [Google Scholar] [CrossRef]
  15. Brondi, M.G.; Elias, A.M.; Furlan, F.F.; Giordano, R.C.; Farinas, C.S. Performance Targets Defined by Retro-Techno-Economic Analysis for the Use of Soybean Protein as Saccharification Additive in an Integrated Biorefinery. Sci. Rep. 2020, 10, 7367. [Google Scholar] [CrossRef] [PubMed]
  16. Chandel, A.K.; Antunes, F.A.; Anjos, V.; Bell, M.J.; Rodrigues, L.N.; Polikarpov, I.; de Azevedo, E.R.; Bernardinelli, O.D.; Rosa, C.A.; Pagnocca, F.C.; et al. Multi-Scale Structural and Chemical Analysis of Sugarcane Bagasse in the Process of Sequential Acid–Base Pretreatment and Ethanol Production by Scheffersomyces Shehatae and Saccharomyces Cerevisiae. Biotechnol. Biofuels 2014, 7, 63. [Google Scholar] [CrossRef]
  17. Garcia Bustos, K.A.; Tejada Meza, K.; Flores Alarcon, M.A.D.; dos Santos, J.C.; Colina Andrade, G.J.; Terán Hilares, R. Hydrodynamic Cavitation as a Promising Technology for Fresh Produce-Based Beverages Processing. Innov. Food Sci. Emerg. Technol. 2024, 96, 103784. [Google Scholar] [CrossRef]
  18. Prado, C.A.; Cunha, M.L.S.; Arruda, G.L.; Cruz-Santos, M.M.; Antunes, F.A.F.; Shibukawa, V.P.; Terán-Hilares, R.; Da Silva, S.S.; Santos, J.C. Hydrodynamic Cavitation-Assisted Acid Pretreatment and Fed-Batch Simultaneous Saccharification and Co-Fermentation for Ethanol Production from Sugarcane Bagasse Using Immobilized Cells of Scheffersomyces Parashehatae. Bioresour. Technol. 2024, 394, 130234. [Google Scholar] [CrossRef]
  19. Arya, S.S.; More, P.R.; Das, T.; Hilares, R.T.; Pereira, B.; Arantes, V.; da Silva, S.S.; Santos, J.C.D. Effect of Hydrodynamic Cavitation Processing on Orange Juice Physicochemical and Nutritional Properties. J. Agric. Food Res. 2023, 14, 100781. [Google Scholar] [CrossRef]
  20. Simões, I.R.; Brondi, M.G.; Farinas, C.S. In-House Extracted Soybean Protein Can Reduce the Enzyme Dosage in Biomass Saccharification. Fermentation 2023, 9, 142. [Google Scholar] [CrossRef]
  21. Rocha, T.M. Síntese Microbiana de Bioestimulantes de Crescimento Vegetal Para Aplicação na Agricultura. Master’s Thesis, Universidade de São Paulo, Lorena, TX, USA, 2023. [Google Scholar]
  22. Koullas, D.P.; Christakopoulos, P.; Kekos, D.; Macris, B.J.; Koukios, E.G. Correlating the Effect of Pretreatment on the Enzymatic Hydrolysis of Straw. Biotechnol. Bioeng. 1992, 39, 113–116. [Google Scholar] [CrossRef]
  23. Resch, M.G.; Baker, J.O.; Decker, S.R. Low Solids Enzymatic Saccharification of Lignocellulosic Biomas; Laboratory Analytical Procedure (LAP): Golden, CO, USA, 2015; pp. 1–13. [Google Scholar]
  24. Yupanqui-Mendoza, S.L.; Prado, C.A.; Santos, J.C.D.; Arantes, V. Hydrodynamic Cavitation as a Promising Pretreatment Technology to Enhance the Efficiency of Cellulose Nanocrystal Production via Enzymatic Hydrolysis. Chem. Eng. J. 2023, 472, 144821. [Google Scholar] [CrossRef]
  25. Antunes, F.A.F.; Thomé, L.C.; Santos, J.C.; Ingle, A.P.; Costa, C.B.; Anjos, V.D.; Bell, M.J.V.; Rosa, C.A.; Silva, S.S.D. Multi-Scale Study of the Integrated Use of the Carbohydrate Fractions of Sugarcane Bagasse for Ethanol and Xylitol Production. Renew. Energy 2021, 163, 1343–1355. [Google Scholar] [CrossRef]
  26. Salas, C.; Rojas, O.J.; Lucia, L.A.; Hubbe, M.A.; Genzer, J. On the Surface Interactions of Proteins with Lignin. ACS Appl. Mater. Interfaces 2013, 5, 199–206. [Google Scholar] [CrossRef] [PubMed]
  27. Yang, G.; Gong, Z.; Huang, L.; Luo, X.; Shuai, L.; Liu, J. Biobased Lignin-Blockers Enable Efficient Production of Glucose from Lignocelluloses. Ind. Crop. Prod. 2023, 205, 117505. [Google Scholar] [CrossRef]
  28. Arya, S.S.; More, P.R.; Ladole, M.R.; Pegu, K.; Pandit, A.B. Non-Thermal, Energy Efficient Hydrodynamic Cavitation for Food Processing, Process Intensification and Extraction of Natural Bioactives: A Review. Ultrason. SonoChem. 2023, 98, 106504. [Google Scholar] [CrossRef]
Figure 1. Effect of variables on glucose yield during enzymatic hydrolysis: (A) Enzyme concentration vs. soybean protein powder concentration, with a constant biosurfactant concentration of 140 mg/L; (B) enzyme loading vs. biosurfactant concentration, with a constant soybean protein concentration of 20% (w/v); (C) biosurfactant concentration vs. soybean protein powder concentration, with a constant enzyme loading of 15 FPU/g of dried cellulignin.
Figure 1. Effect of variables on glucose yield during enzymatic hydrolysis: (A) Enzyme concentration vs. soybean protein powder concentration, with a constant biosurfactant concentration of 140 mg/L; (B) enzyme loading vs. biosurfactant concentration, with a constant soybean protein concentration of 20% (w/v); (C) biosurfactant concentration vs. soybean protein powder concentration, with a constant enzyme loading of 15 FPU/g of dried cellulignin.
Fermentation 11 00114 g001
Figure 2. Effect of variables on xylose yield during enzymatic hydrolysis. (A) Enzyme concentration vs. soybean protein powder concentration, with a constant biosurfactant concentration of 140 mg/L. (B) enzyme loading vs. biosurfactant concentration, with a constant soybean protein concentration of 20% (w/v). (C) biosurfactant concentration vs. soybean protein powder concentration, with a constant enzyme loading of 15 FPU/g.
Figure 2. Effect of variables on xylose yield during enzymatic hydrolysis. (A) Enzyme concentration vs. soybean protein powder concentration, with a constant biosurfactant concentration of 140 mg/L. (B) enzyme loading vs. biosurfactant concentration, with a constant soybean protein concentration of 20% (w/v). (C) biosurfactant concentration vs. soybean protein powder concentration, with a constant enzyme loading of 15 FPU/g.
Fermentation 11 00114 g002
Figure 3. Time-dependent sugar yields during enzymatic hydrolysis at 15 FPU/g of dried cellulignin. Different letters indicate statistically significant differences (p < 0.05) based on Tukey’s post hoc test. (A) Glucose yield over time with and without additives (25% SBP and 25 mg/mL biosurfactant). (B) Xylose yield over time with and without additives (25% SBP and 25 mg/mL biosurfactant).
Figure 3. Time-dependent sugar yields during enzymatic hydrolysis at 15 FPU/g of dried cellulignin. Different letters indicate statistically significant differences (p < 0.05) based on Tukey’s post hoc test. (A) Glucose yield over time with and without additives (25% SBP and 25 mg/mL biosurfactant). (B) Xylose yield over time with and without additives (25% SBP and 25 mg/mL biosurfactant).
Fermentation 11 00114 g003
Figure 4. Yield of soluble soybean protein from powdered soybean protein: (A) using hydrodynamic cavitation; (B) soluble protein released during gentle agitation, reflecting its natural solubility. In Figure 4A, the X-axis represents the initial concentration of soybean protein powder added to the system (g/L), while the Y-axis represents the yield of soluble soybean protein (% w/w), calculated as the ratio of the soluble protein concentration in the supernatant to the initial soybean protein powder concentration. Different letters in Figure 4A denote statistically significant differences (p < 0.05) based on Tukey’s post hoc test. In Figure 4B, the left Y-axis represents the same yield (% w/w), while the right Y-axis represents the absolute concentration of soluble soybean protein (g/L).
Figure 4. Yield of soluble soybean protein from powdered soybean protein: (A) using hydrodynamic cavitation; (B) soluble protein released during gentle agitation, reflecting its natural solubility. In Figure 4A, the X-axis represents the initial concentration of soybean protein powder added to the system (g/L), while the Y-axis represents the yield of soluble soybean protein (% w/w), calculated as the ratio of the soluble protein concentration in the supernatant to the initial soybean protein powder concentration. Different letters in Figure 4A denote statistically significant differences (p < 0.05) based on Tukey’s post hoc test. In Figure 4B, the left Y-axis represents the same yield (% w/w), while the right Y-axis represents the absolute concentration of soluble soybean protein (g/L).
Fermentation 11 00114 g004
Figure 5. Sugar yield over time of enzymatic hydrolysis by type of soybean protein additive (cavited versus non-cavitated soybean protein): (A) glucose yield and (B) xylose yield comparing cavitated and powdered soybean protein as additives. Tukey’s post hoc test letters indicate significant differences at a 95% confidence level across hydrolysis times.
Figure 5. Sugar yield over time of enzymatic hydrolysis by type of soybean protein additive (cavited versus non-cavitated soybean protein): (A) glucose yield and (B) xylose yield comparing cavitated and powdered soybean protein as additives. Tukey’s post hoc test letters indicate significant differences at a 95% confidence level across hydrolysis times.
Fermentation 11 00114 g005
Table 1. Yield of hydrolysis by variation in enzyme loading, and soybean protein and biosurfactant concentrations.
Table 1. Yield of hydrolysis by variation in enzyme loading, and soybean protein and biosurfactant concentrations.
Standard OrderEnzyme
Codified
SBP CodifiedLSLB CodifiedEnzyme (FPU/g CL)SBP
(% w/w of Dried Cellulignin)
LSLB (mg/L)Yield Glucose (%)Yield Xylose (%)
1−1−101010137.529.731.3
21−102010137.530.430.5
3−1101030137.533.234.7
41102030137.531.636.0
5−10−110202535.034.2
610−120202537.236.1
7−101102025032.432.3
8101202025036.734.3
90−1−115102536.335.4
1001−115302540.839.8
110−11151025035.935.4
12011153025038.537.8
130001520137.535.835.6
140001520137.534.234.2
150001520137.535.835.6
Notes: LSLB is lactonic sophorolipid biosurfactant; SBP is soybean protein in powder expressed in p; yield of glucose and xylose was calculated based on Equations (1) and (2).
Table 2. Regression coefficients for the yield of glucose.
Table 2. Regression coefficients for the yield of glucose.
Coefficientp-Value
(Intercept)35.2673.53 × 10−11
enzyme0.7000.154
SBP1.4750.011
LSLB−0.7250.141
enzyme2−3.2960.001
sbp2−0.7460.287
LSLB23.3540.001
Note: SBP is soybean protein powder; LSLB is lactonic sophorolipid biosurfactant.
Table 3. Analysis of variance for the regression model for glucose yield.
Table 3. Analysis of variance for the regression model for glucose yield.
Source of VariationdfSum of SquaresMean SquareF Valuep-Value
FO (First-Order Terms) * 325.538.515.400.0253
PQ (Pure Quadratic Terms) * 390.5530.1819.140.0005
Residuals812.621.58
Lack of fit610.911.822.130.3533
Pure error21.710.85
Multiple R2 0.90
Adjusted R2 0.83
Model 6116.0819.3512.270.0012
Source: Author’s own elaboration. Note: * for enzyme, SBP and LSLB.
Table 4. Regression coefficients for the yield of glucose and xylose.
Table 4. Regression coefficients for the yield of glucose and xylose.
SugarCoefficientp-Value
Glucose(Intercept)36.10006.605 × 10−13
cavSBP 11.86670.0156
Enzyme4.08330.0002
Xylose(Intercept)37.85451.131 × 10−9
cav SBP 13.80000.0479
Enzyme6.28330.0048
1 Cavitated soybean protein.
Disclaimer/Publisher’s Note: The statements, opinions and data contained in all publications are solely those of the individual author(s) and contributor(s) and not of MDPI and/or the editor(s). MDPI and/or the editor(s) disclaim responsibility for any injury to people or property resulting from any ideas, methods, instructions or products referred to in the content.

Share and Cite

MDPI and ACS Style

Mera, A.M.; Muñoz, S.S.; Antunes, F.A.F.; dos Santos, J.C.; da Silva, S.S. Enhanced Sugar Yield from Enzymatic Hydrolysis of Cellulignin from Sugarcane Bagasse Using a Biosurfactant and Soybean Protein in Powdered and Cavitated Forms. Fermentation 2025, 11, 114. https://doi.org/10.3390/fermentation11030114

AMA Style

Mera AM, Muñoz SS, Antunes FAF, dos Santos JC, da Silva SS. Enhanced Sugar Yield from Enzymatic Hydrolysis of Cellulignin from Sugarcane Bagasse Using a Biosurfactant and Soybean Protein in Powdered and Cavitated Forms. Fermentation. 2025; 11(3):114. https://doi.org/10.3390/fermentation11030114

Chicago/Turabian Style

Mera, Alain Monsalve, Salvador Sánchez Muñoz, Felipe A. Fernandes Antunes, Júlio C. dos Santos, and Silvio Silvério da Silva. 2025. "Enhanced Sugar Yield from Enzymatic Hydrolysis of Cellulignin from Sugarcane Bagasse Using a Biosurfactant and Soybean Protein in Powdered and Cavitated Forms" Fermentation 11, no. 3: 114. https://doi.org/10.3390/fermentation11030114

APA Style

Mera, A. M., Muñoz, S. S., Antunes, F. A. F., dos Santos, J. C., & da Silva, S. S. (2025). Enhanced Sugar Yield from Enzymatic Hydrolysis of Cellulignin from Sugarcane Bagasse Using a Biosurfactant and Soybean Protein in Powdered and Cavitated Forms. Fermentation, 11(3), 114. https://doi.org/10.3390/fermentation11030114

Note that from the first issue of 2016, this journal uses article numbers instead of page numbers. See further details here.

Article Metrics

Back to TopTop