Next Article in Journal
Microbial Characteristics and Functions in Coffee Fermentation: A Review
Previous Article in Journal
Sequential Solid-State and Submerged Fermentation to Increase Yarrowia lipolytica Lipase Production from Palm Oil Production Chain By-Products
 
 
Font Type:
Arial Georgia Verdana
Font Size:
Aa Aa Aa
Line Spacing:
Column Width:
Background:
Article

Analysis of a Commercial Red Wine Fermentation Dataset with a Wine Kinetic Model

1
Department of Viticulture and Enology, University of California, Davis, CA 95616, USA
2
Beringer Vineyards, Treasury Wine Estates, St. Helena, CA 94574, USA
3
Opus One Winery, Oakville, CA 94562, USA
*
Author to whom correspondence should be addressed.
Fermentation 2025, 11(1), 4; https://doi.org/10.3390/fermentation11010004
Submission received: 18 September 2024 / Revised: 31 October 2024 / Accepted: 11 November 2024 / Published: 25 December 2024
(This article belongs to the Section Fermentation Process Design)

Abstract

The adoption of sensors to monitor wine fermentation enables the collection of large datasets that relate the initial juice chemistry, density and temperature patterns during fermentation to fermentation outcomes. Wine kinetic models are now being applied to commercial fermentations in real time to identify abnormal or sluggish fermentations. In this work, 222 red wine fermentations from five harvests at two commercial wineries were evaluated by a wine fermentation model. The model parameters, initial juice chemistries and fermentation outcomes were analyzed for trends and relationships between them. While the fermentations with higher initial assimilable nitrogen concentrations had higher maximum fermentation rates, this did not guarantee successful fermentation outcomes in the tailing stage of the fermentation. Neither the initial, final, minimum and maximum temperatures, nor the initial pH, titratable acidity, measured yeast-assimilable nitrogen and primary amino nitrogen concentrations had any significant correlation with the maximum fermentation rate or successful completion of the fermentation. These results suggest that the initial juice-assimilable nitrogen measurements for these juices are of limited use in predicting slower and incomplete fermentation outcomes.

1. Introduction

The winemaking sequence from vineyard to bottle generates a large amount of data, from growing conditions to the many winery operations including pressing, ethanol fermentation, malolactic fermentation, aging, stabilization, blending and the final wine chemistry and sensory analysis. The large amount of data, the time over which they are gathered and a need for individual batch treatments combined with a lack of automated collection of process data make it challenging to relate an initial condition or operating variable to the features of the resulting wine. In the winemaking process, ethanol or primary fermentation is a critical step, as the juice undergoes significant chemical and physical changes that will be present in the final wine. In red winemaking, this fermentation occurs in parallel with the extraction of phenolic and flavor components from grape skins and seeds. It is during the primary fermentation that some batches are slow to finish, and others do not go to completion. Since each fermentation involves a significant amount of labor, energy and water, technology is applied to monitor, model, recognize and control the process for the optimal use of resources and an optimal fermentation outcome.
In general, large datasets of a process enable insights into its behavior; however, the expense and challenge of collecting large fermentation datasets has limited the application of statistical methods in gaining insights into wine fermentation. A previous study has applied a multiway principal component analysis, multiway partial least squares, a stepwise linear discriminant analysis and artificial neural networks to classify problematic wine fermentations [1]. The authors found a good prediction of results at 72 h after inoculation; however, the dataset was based on only 17 fermentations. Additionally, the predictions required several variables, including density, total sugars, alcohols, malic acid, acetic acid, lactic acid and tartaric acid. In commercial practice, only density and temperature are usually measured as a function of time. More recently, the authors have demonstrated the use of a support vector machine (SVM) using a database of 22 normal, sluggish and stuck fermentations [2]. An SVM is a supervised learning method typically used for classification problems and uses a “kernel” function to map data into a higher-dimensional space. The prediction accuracy for different kernels was evaluated and showed that the polynomial and radial basis function kernels achieved the best prediction results. Unfortunately, the SVM method proposed required the measurements of total sugar and ethanol, both of which are not yet measured with an online sensor in wine fermentation, making the SVM method unlikely to be applicable to commercial wine fermentations. Overall, purely statistical methods for detecting problem wine fermentation appear to be limited due to the lack of online measurements and the highly variable and complex conditions, such as the initial juice chemistry, temperatures, fermentor configurations, redox potential and microorganism populations.
First-principle models describing the kinetics of wine fermentations have been evaluated on model wine fermentations [3]. In the Boulton model, the specific maintenance rate describes the sugar consumption of active, non-growing cells, while the viability constant is involved in the rate at which cells die due to cell age, ethanol concentration and temperature effects [3]. A higher specific maintenance rate corresponds to a faster consumption of sugar by the non-growing cell population, and a high viability constant corresponds to a slower decline in the viable cell population. An ideal fermentation, therefore, has both a high specific maintenance rate and viability constant. The product of the two, a tailing performance index, gives an indication of the health of the fermentation in the tailing part of the curve. Cell growth in the Boulton model is described in terms of the concentrations of assimilable nitrogen, ethanol, glucose and fructose. While it is known that some juices can be deficient in their vitamin content, for example, those with a Botrytis infection, and yeast growth can be limited by this, such cases will appear to be limited by assimilable nitrogen in a model analysis. Such vitamin-deficient conditions are not expected in the red wine fermentations that are considered in this work.
While many wine fermentation models have been proposed [4,5,6,7,8,9,10,11,12,13,14,15,16,17,18,19], only the density version of the Boulton model is applicable to commercial wine fermentations since it estimates the density from solute and solution properties and describes the important features of wine fermentation such as competitive dual substrates, an ethanol- and cell age-based viability function and a maintenance temperature function for the activity of non-growing, viable cells. In this work, the robustness of the Boulton model is tested using a dataset of commercial red wine fermentations. The parameters of the model (the lag time, the specific maintenance rate, a cell viability constant, an ethanol inhibition constant and the initial assimilable nitrogen content) are then correlated with measures of the fermentation, such as the maximum fermentation rate, and the time and extent of completion using a canonical variate analysis (CVA). To our knowledge, this is the largest set of commercial fermentations evaluated with a fermentation model. Previous studies of wine fermentation models have been limited to bench-scale fermentations or small sets of commercial fermentations utilizing atypical measurements, mainly the total sugar.

2. Materials and Methods

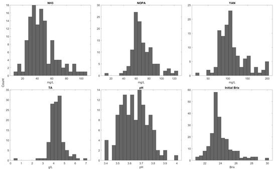
A total of 222 red wine commercial fermentations across 5 harvests (2016, 2017, 2021, 2022 and 2023) were analyzed using the model. The number of fermentations available for each harvest was 8, 37, 54, 44 and 79. The fermentations analyzed were must volumes of between 3 KL and 14 KL in stainless steel, jacketed, upright cylindrical tanks with added yeast. Figure 1 shows the °Brix vs. time curves of each fermentation, separated by the harvest year. The 2017 harvest showed the least variation amongst the °Brix curves. Figure 2 shows the initial, minimum, maximum and final temperatures and the initial and final °Brix across all the fermentations. Figure 3 also shows the initial juice chemistry—yeast-assimilable nitrogen (YAN), primary amino nitrogen (NOPA), ammonia (NH3), pH and titratable acidity (TA)—for 123 fermentations where the information was available. The initial juice panel represents the chemistry of the juice after harvesting, before adjustments may have been made. It is a common winemaking practice to increase the nutrients for yeast growth and ensure the pH is below 3.6. The °Brix was calculated from differential pressure measurements [20] or determined by sampling and a hand-held densitometer. The temperatures are those of the fermentation liquid, reported by the wall-mounted temperature probes in the tank.
The density version of the Boulton model [3] was used to evaluate all 222 fermentations. This model contains 4 unknown parameters (specific maintenance rate, lag time, viability constant and ethanol inhibition constant) and an unknown initial condition (yeast-assimilable nitrogen concentration). A recent review of wine fermentation models and a complete description of the Boulton model are provided elsewhere [3].
The initial, minimum, maximum and final temperature and initial and final °Brix of all 222 fermentations are shown in Figure 2. None of the fermentations were isothermal, and the initial and final temperatures varied from 10 to 34 °C, most commonly between 16 and 27 °C, with an average of 24 °C. The initial °Brix ranged from 17 to 30, with most fermentations starting at 23 °Brix. The final °Brix varied from −3 to +4 °Brix, with most fermentations ending at −2 °Brix. While a residual sugar of 2 g/L is typically used to differentiate incomplete vs. complete fermentations, these data were not available; therefore, a final °Brix above 0 was defined to be incomplete.
A comparison of the days to 0 °Brix using the parameter estimations was performed using a one-way, multivariate analysis of variance (MANOVA). The fermentations were sorted into four groups based on the time to 0 °Brix, <4 days, 4 to 7 days, 7 to 10 days and >10 days; the groups contained 76, 118, 11 and 17 individual fermentations, respectively. Once the MANOVA was determined to be significant, a canonical variate analysis (CVA) was performed to provide comparative statistical insights between the time to 0 °Brix versus the parameter estimations from the 222 fermentations. The MANOVA and CVA were carried out in R [21] and RStudio [22] with the candisc package [23].

3. Results

The goodness of fit, measured as the root mean square error (RMSE) between the measurements and the model, and the parameter results from the model fits for all 222 fermentations are shown in Figure 4. The RMSE per point ranged from 0.05 to 0.95 °Brix, with most cases being approximately 0.2 °Brix. This °Brix range is acceptable and within the common range of measurement variation due to the sensor precision or sample variation due to the stratification within the fermentor. The viability constants were typically 30, a value expected from the fermentation temperatures [24]. The specific maintenance rates varied from 0.2 to 0.25, a value that is generally expected of high temperatures [25]. The lag time varied between 0 and 50 h, with the largest frequency at 20 h. The initial nitrogen estimated by the model ranged between 50 and 340 mg N/L, similar to the range of initial YANs measured in the juices [26].
The relationship between the maximum fermentation rate (°Brix/h) and the initial temperature is shown in Figure 5A, and the specific maintenance rate multiplied by the viability constant is shown in Figure 5B. The specific maintenance rate multiplied by the viability constant, defined as the tailing performance index, appears to be related to the maximum fermentation rate, but in an inverse relationship. The incomplete fermentations, with a final °Brix greater than 0 (shown in red), display both a higher maximum fermentation rate and a lower specific maintenance rate multiplied by the viability constant, typically of six or less. There is no relationship between the maximum fermentation rate and the maximum fermentation temperature (Figure 5C). There is a wide variation in the maximum observed rate at any temperature, suggesting that other factors are playing a role. The time of the maximum temperature did not always coincide with the time of the maximum fermentation rate.
The relationship between the initial yeast-assimilable nitrogen (YAN) concentration and the maximum fermentation rate is shown in Figure 6A, and that between the YAN and the model-calculated initial nitrogen is shown in Figure 6B for the subset (123 of 222) of fermentations where the initial juice analysis was available. There appeared to be no relationship between the YAN and the fermentation rate. There was also no relationship between the YAN determined in the juice analysis and the model-calculated initial nitrogen concentration.
The results in Figure 6A suggest that there is essentially no relationship between the initial YAN measurement and the maximum fermentation rate observed in these fermentations. This might be due to the measured concentrations in juice often being in excess of that consumed by yeast during growth, and why there is no relationship between the YAN measurement and the model-estimated initial nitrogen concentration (Figure 6B). Once the growth has stopped, the specific maintenance rate and the cell viability become the dominant terms, and these determine the “tail”, the period between the maximum rate and completion of the fermentation. In a sluggish fermentation or an incomplete fermentation, the tail is extended, and this is related to the lower values of the tailing performance index determined by the model.
The relationship between the model-calculated initial nitrogen concentration and the final °Brix is shown in Figure 7A, and the corresponding relationship with the specific maintenance rate multiplied by the viability constant, the tailing performance index, is shown in Figure 7B.
A total of 14 of the 18 incomplete fermentations, with a tailing index of six or less, are associated with an initial nitrogen concentration of 150 mg/L or more (Figure 7B). As in Figure 5B, other fermentations that went to completion had similar initial nitrogen concentrations, suggesting that other factors are also involved.
There is no clear trend or relationship observed between the fermentation temperature and the final °Brix obtained (Figure 8A–C). Almost all the incomplete fermentations, with a final °Brix greater than 0 (shown in red), had higher final and maximum temperatures than those with a final °Brix less than 0 (shown in black) that completed fermentation. Incomplete fermentations seemed to be more likely when the final temperature and maximum temperature of the fermenting liquid were greater than 27 °C. The effect of the maximum and final temperature, shown in Figure 8B,C, shows that 18 of the 18 incomplete fermentations had a maximum temperature greater than 27 °C, and all had a final temperature greater than 27 °C. It should be noted that the other fermentations with these temperatures went to completion. The incidence of incomplete fermentation when the juice temperature was between 27 and 30 °C was approximately 50%.
It appears that a combination of conditions led to incomplete fermentation outcomes in these red wine fermentations. Initial nitrogen concentrations >150 mg/L, maximum fermentation temperatures and final temperatures >27 °C resulting in tailing performance indexes of six or less are the common features of incomplete fermentations. A combination of monitoring and real-time modeling is needed to provide the information necessary for the early identification of these conditions. The model can identify the tailing characteristics shortly after the maximum fermentation rate and usually before the midpoint of the fermentation. It also provides the predictive capability to assess the outcomes of any specific corrective action to alter the future trajectory of the fermentation curve.
The relationship between the specific maintenance rate times the viability constant and incomplete fermentation is shown in Figure 9A, and that for the time between the start of fermentation and maximum rate of fermentation, that is, the time of yeast growth, is shown in Figure 9B; neither of these measures alone can distinguish between complete and incomplete fermentations. The time interval between the end of the lag and the time of the maximum fermentation rate, shown in Figure 9B, shows no difference as to the future fermentation outcomes. This measure is effectively the period of yeast growth and has little to do with the non-growing fermentation activity.
The MANOVA using days to 0 °Brix (categorized into four distinct time ranges) was significant (p ≤ 0.05), indicating that the model parameter estimates of these four fermentation categories had statistical differences. Using the MANOVA model, a CVA was performed and the variant space is shown in Figure 10A,B. The first two factors of the CVA explain 98% of the variance. The CV1 axis is largely driven by the initial nitrogen estimates, the maximum fermentation temperature, the tailing performance index and the lag time. The CV2 axis is mostly driven by the maximum fermentation temperature and the specific maintenance rate. The slowest and fastest fermentations, <4 days and >10 days to 0 °Brix, are both in the left hemisphere of Figure 10B, indicating shorter lag times, higher estimated initial nitrogen concentrations and higher maximum fermentation temperatures. However, the difference between the slowest and fastest fermentations appears to be resolved in the upper and lower hemispheres, which is associated with a higher maximum fermentation temperature, and the slower fermentations have lower specific maintenance rates. The separation between the fermentations that were completed within 7 days and those taking 10 days or longer is associated with a higher maintenance rate times viability, that is, the tailing performance index.
The CVA in Figure 10 shows that the high initial nitrogen concentrations and low specific maintenance rate estimates from the model are associated with the wines with fermentation times of 10 days or more. This observation, based on these large-scale red wine fermentations, is significant since previous studies of stuck and sluggish fermentations [4,27,28,29,30,31] are commonly at a small scale, in juices or model media without skin caps, and have focused on the supplementation of juice nitrogen as the means of preventing them. There does not appear to be any relationship between the initial nitrogen concentration and either the maintenance rate or the cell viability in the tailing stage of these wine fermentations.

4. Discussion

This extensive dataset enabled the model to be challenged in its ability to mathematically describe the measured density pattern during all 222 fermentations. The average deviation between the model estimates and the measured values is 0.2 °Brix. This is within the replication error of manual sampling. The goodness of fit suggests that the mathematical descriptions of cell maintenance and cell death due to age, ethanol concentration and temperature, a unique feature of the model, are reliable in commercial wine fermentations.
While it was not the purpose of this study to investigate the factors that contribute to sluggish and incomplete fermentation, the fermentation dataset provided a unique basis for testing a number of common assumptions regarding the initial nitrogen concentration, fermentation temperature and maximum fermentation rate in actual red wine fermentations.
The lack of any relationship between the initial juice chemistry and the final °Brix suggests that the typical juice measurements performed before fermentation give little insight into determining the rate or extent of these fermentations. In addition to the initial YAN, the titratable acidity, NOPA, NH3 and pH were also measured for 123 of the 222 fermentations. These measurements were not shown since no correlations were observed. The measured YAN also did not correlate with the model-derived initial nitrogen concentration. This might be expected as the model estimates the nitrogen used to provide the growth observed, whereas the initial YAN and supplements in YAN are often in excess or not exhausted during some wine fermentations.
One useful measure of the fermentation activity is the maximum fermentation rate, which can be estimated from a density–time curve. In most of these fermentations, the initial temperature of the must is allowed to increase to a higher temperature before any temperature control is initiated. This is why it has no relationship to the maximum fermentation rate, which usually develops later at a warmer temperature (Figure 5A). If the tailing performance index, calculated from the model parameters: specific maintenance rate times the viability constant, is compared to the maximum fermentation rate (Figure 5B), 14 of the 18 incomplete fermentations display values of six or less, and are among the highest maximum fermentation rates. The presence of complete fermentations with the same index values suggests that other factors are involved. The outcome of this analysis of 222 red fermentations suggests that a faster maximum fermentation rate in the growth phase is a poor indicator of the performance in the second half of the fermentation, which is related to the maintenance rates and the cell viability.
In these fermentations, the temperature measurement is usually conducted by a single wall-mounted probe, often located below the cooling jacket. This tends to underestimate the juice temperature due to a colder, downward convection current adjacent to the tank wall. The temperature in the skin cap is known to be as much as 5 °C higher than that in the juice, [10], sometimes higher, and the temperature of the maximum growth rate is known to be 35 °C, with higher temperatures leading to increasing cell death rates until 38 °C, at which growth ceases. The differential temperature between the skin cap and the juice depends on the fermentation volume, fermentation temperature and the pump-over practices (frequency, flow rate and duration). Since the only mixing of the juice is carried out by the natural convection from rising bubbles at the center of the fermentor, the liquid zone below the cap is expected to be at a temperature somewhere between the cap and juice temperatures, but significantly higher than that measured by a wall probe. In these fermentations, there appears to be a relationship of low tailing index values with high maximum fermentation temperatures. This points to a detrimental effect on the maintenance rates and the cell viability due to high temperatures in the non-growing stage of fermentation. Whether this is due to the inactivation of the sugar transport systems or changes at the gene expression level has yet to be established.
It is possible that aeration practices may also be influencing these fermentation outcomes. Aeration practices have long been reported to modify fermentation behavior, especially in red wine fermentations. This effect has usually been ascribed to the dissolved oxygen concentration. In some cases, there is no effect observed, and these inconsistent outcomes can be confusing. Our current understanding of the role of the redox potential of the juice on yeast maintenance rates and cell viability suggests that the effect will be juice-dependent and not related to the concentration of dissolved oxygen. It appears that some of these fermentations may have contributions due to temperature stratification and redox potential that are leading to the low values of the tailing index. Measuring these temperature gradients (vertical and horizontal) and monitoring redox potential may provide insights that might be used to avoid some of the conditions leading to incomplete fermentation in commercial wine fermentations.
The model analysis in this work might be extended by taking measurements of additional variables during wine fermentation. For example, measurements of the total and viable cell mass would be valuable in adjusting the model for each fermentation dataset. However, obtaining such information in the presence of suspended grape pulp in red wines is difficult. In this work, the yield of cell mass per unit of nitrogen was considered constant; however, it is known that this yield term can vary considerably depending on the initial nutrient availability, redox potential, cell viability and other fermentation conditions [3]. Measurements of the total cell mass would enable the nitrogen yield term to be estimated in each fermentation. In this fermentation model, the non-fermentable extract is also assumed to be constant (25 g/L for white juices) [10]. The Boulton model uses the non-fermentable extract, combined with the sugar, ethanol and glycerol concentrations, to calculate the density of the juice. Real-time measurements beyond temperature and density are not readily available for most commercial wine fermentations; therefore, the dataset used in this work appears to be the most comprehensive available. As alternative sensors become available and implemented in commercial wineries, this work should be re-evaluated to combine the model with more comprehensive fermentation measurements.

5. Conclusions

The Boulton model was able to describe 222 red wine fermentations with an average deviation between estimate and measurements of 0.2 °B per point.
The results suggest that the high initial nitrogen concentration and high maximum and final temperatures are associated with incomplete fermentations within this dataset. These slow and incomplete fermentations are distinguished by the low values of the tailing performance index, calculated from a fermentation model, and are associated with high maximum fermentation temperatures. The model-calculated initial nitrogen had no relationship to the measured yeast-assimilable nitrogen, indicating that most of these concentrations are more than what is required by the fermentation and not all of it is consumed during the yeast growth.
The parameter estimation of the Boulton model allows the early estimation of the tailing performance index, which is a simple metric for the early identification of an incomplete fermentation. The combination of the measured juice temperature and the tailing performance index allows the early recognition of wines that seem destined to be incomplete red wine fermentations.

Author Contributions

Conceptualization, J.N., R.C. and R.B.; methodology, R.C., R.B., P.G., M.S., A.V., K.M. and J.N.; software, J.N. and R.C.; validation, J.N. and R.C.; formal analysis, J.N. and R.C.; investigation, J.N., R.C., P.G., M.S., A.V., R.B. and K.M.; resources, R.C., P.G., M.S., A.V. and K.M.; data curation, R.C., P.G., A.V., M.S. and K.M.; writing—original draft preparation, J.N., R.C. and R.B.; writing—review and editing, J.N., R.C., P.G., M.S., A.V., K.M. and R.B.; visualization, J.N. and R.C. All authors have read and agreed to the published version of the manuscript.

Funding

T. J. Rogers University Fellowship in Electrical and Computer Engineering, University of California, Davis (J.N.). The Stephen Sinclair Scott Endowment in Viticulture and Enology, University of California, Davis (R.B.).

Institutional Review Board Statement

Not applicable.

Informed Consent Statement

Not applicable.

Data Availability Statement

The original contributions presented in this study are included in the article. Further inquiries can be directed to the corresponding author.

Acknowledgments

Opus One Winery and Treasury Wine Estates.

Conflicts of Interest

Authors Robert Coleman and Patrick Gravesen were employed by the company Treasury Wine Estates. Authors Michael Silacci, Alaina Velasquez and Kimberlee Marinelli were employed by the company Opus One Winery. The remaining authors declare that the research was conducted in the absence of any commercial or financial relationships that could be construed as a potential conflict of interest.

References

  1. Urtubia, A.; Hernández, G.; Roger, J.M. Detection of Abnormal Fermentations in Wine Process by Multivariate Statistics and Pattern Recognition Techniques. J. Biotechnol. 2012, 159, 336–341. [Google Scholar] [CrossRef] [PubMed]
  2. Hernández, G.; León, R.; Urtubia, A. Detection of Abnormal Processes of Wine Fermentation by Support Vector Machines. Clust. Comput. 2016, 19, 1219–1225. [Google Scholar] [CrossRef]
  3. Nelson, J.; Boulton, R. Models for Wine Fermentation and Their Suitability for Commercial Applications. Fermentation 2024, 10, 269. [Google Scholar] [CrossRef]
  4. Malherbe, S.; Fromion, V.; Hilgert, N.; Sablayrolles, J.-M. Modeling the Effects of Assimilable Nitrogen and Temperature on Fermentation Kinetics in Enological Conditions. Biotechnol. Bioeng. 2004, 86, 261–272. [Google Scholar] [CrossRef]
  5. Coleman, M.C.; Fish, R.; Block, D.E. Temperature-Dependent Kinetic Model for Nitrogen-Limited Wine Fermentations. Appl. Environ. Microbiol. 2007, 73, 5875–5884. [Google Scholar] [CrossRef]
  6. Cramer, A.C.; Vlassides, S.; Block, D.E. Kinetic Model for Nitrogen-Limited Wine Fermentations. Biotechnol. Bioeng. 2002, 77, 49–60. [Google Scholar] [CrossRef]
  7. Scaglia, G.J.E.; Aballay, P.M.; Mengual, C.A.; Vallejo, M.D.; Ortiz, O.A. Improved Phenomenological Model for an Isothermal Winemaking Fermentation. Food Control 2009, 20, 887–895. [Google Scholar] [CrossRef]
  8. Francesca Venturi, A.Z. The Kinetics of Alcoholic Fermentation by Two Yeast Strains in High Sugar Concentration Media. J. Bioprocess. Biotech. 2013, 3, 1–15. [Google Scholar] [CrossRef]
  9. Báleš, V.; Timár, P.; Baláž, J.; Timár, P. Wine Fermentation Kinetic Model Verification and Simulation of Refrigeration Malfunction during Wine Fermentation. Acta Chim. Slovaca 2016, 9, 58–61. [Google Scholar] [CrossRef]
  10. Bely, M.; Sablayrolles, J.M.; Barre, P. Description of Alcoholic Fermentation Kinetics: Its Variability and Significance. Am. J. Enol. Vitic. 1990, 41, 319–324. [Google Scholar] [CrossRef]
  11. Charnomordic, B.; David, R.; Dochain, D.; Hilgert, N.; Mouret, J.-R.; Sablayrolles, J.-M.; Vande Wouwer, A. Two Modelling Approaches of Winemaking: First Principle and Metabolic Engineering. Math. Comput. Model. Dyn. Syst. 2010, 16, 535–553. [Google Scholar] [CrossRef]
  12. Assar, R.; Vargas, F.A.; Sherman, D.J. Reconciling Competing Models: A Case Study of Wine Fermentation Kinetics. In Algebraic and Numeric Biology; Horimoto, K., Nakatsui, M., Popov, N., Eds.; Lecture Notes in Computer Science; Springer: Berlin/Heidelberg, Germany, 2012; Volume 6479, pp. 98–116. ISBN 978-3-642-28066-5. [Google Scholar]
  13. Rapaport, A.; David, R.; Dochain, D.; Harmand, J.; Nidelet, T. Consideration of Maintenance in Wine Fermentation Modeling. Foods 2022, 11, 1682. [Google Scholar] [CrossRef] [PubMed]
  14. David, R.; Dochain, D.; Mouret, J.-R.; Vande Wouwer, A.; Sablayrolles, J.-M. Nitrogen-Backboned Modeling of Wine-Making in Standard and Nitrogen-Added Fermentations. Bioprocess Biosyst. Eng. 2014, 37, 5–16. [Google Scholar] [CrossRef] [PubMed]
  15. Australian Wine Research Institute The AWRI Ferment Simulator. Available online: https://www.awri.com.au/industry_support/winemaking_resources/wine_fermentation/awri-ferment-simulator/ (accessed on 12 December 2023).
  16. Schenk, C. Modeling, Simulation and Optimization of Wine Fermentation; Universität Trier: Trier, Germany, 2018. [Google Scholar]
  17. Vlassides, S.; Ferrier, J.G.; Block, D.E. Using Historical Data for Bioprocess Optimization: Modeling Wine Characteristics Using Artificial Neural Networks and Archived Process Information. Biotechnol. Bioeng. 2001, 73, 55–68. [Google Scholar] [CrossRef] [PubMed]
  18. El Haloui, N.E.; Corrieu, G.; Cleran, Y.; Cheruy, A. Method for On-Line Prediction of Kinetics of Alcoholic Fermentation in Wine Making. J. Ferment. Bioeng. 1989, 68, 131–135. [Google Scholar] [CrossRef]
  19. Marín, M.R. Alcoholic Fermentation Modelling: Current State and Perspectives. Am. J. Enol. Vitic. 1999, 50, 166–178. [Google Scholar] [CrossRef]
  20. Nelson, J.; Boulton, R.; Knoesen, A. Automated Density Measurement with Real-Time Predictive Modeling of Wine Fermentations. IEEE Trans. Instrum. Meas. 2022, 71, 3509607. [Google Scholar] [CrossRef]
  21. R Core Team. R: A Language and Environment for Statistical Computing; R Foundation for Statistical Computing: Vienna, Austria, 2023; Available online: https://www.R-project.org/ (accessed on 1 December 2023).
  22. RStudio Team. Rstudio: Integrated Development Environment for R; RStudio, PBC: Boston, MA, USA, 2023; Available online: http://www.rstudio.com/ (accessed on 1 December 2023).
  23. Friendly, M.; Fox, J. Candisc: Visualization Generalized Canonical Correlation Analysis. R. Package Version 0.9.0. 2024. Available online: https://CRAN.R-project.org/package=heplots (accessed on 6 November 2021).
  24. Coleman, R.E.; Boulton, R.B. Alternative Estimation Routines for Modeling and Prediction of Commercial Wine Fermentations. In Proceedings of the American Society of Enology and Viticulture, Napa, CA, USA, 17–20 June 2019. [Google Scholar]
  25. Boulton, R. The Prediction of Fermentation Behavior by a Kinetic Model. Am. J. Enol. Vitic. 1980, 31, 6. [Google Scholar] [CrossRef]
  26. Butzke, C.E. Survey of Yeast Assimilable Nitrogen Status in Musts from California, Oregon, and Washington. Am. J. Enol. Vitic. 1998, 49, 220–224. [Google Scholar] [CrossRef]
  27. Bely, M.; Sablayrolles, J.-M.; Barre, P. Automatic Detection of Assimilable Nitrogen Deficiencies during Alcoholic Fermentation in Oenological Conditions. J. Ferment. Bioeng. 1990, 70, 246–252. [Google Scholar] [CrossRef]
  28. Bisson, L.F.; Butzke, C.E. Diagnosis and Rectification of Stuck and Sluggish Fermentations. Am. J. Enol. Vitic. 2000, 51, 168. [Google Scholar] [CrossRef]
  29. Blateyron, L.; Sablayrolles, J.M. Stuck and Slow Fermentations in Enology: Statistical Study of Causes and Effectiveness of Combined Additions of Oxygen and Diammonium Phosphate. J. Biosci. Bioeng. 2001, 91, 184–189. [Google Scholar] [CrossRef] [PubMed]
  30. Varela, C.; Pizarro, F.; Agosin, E. Biomass Content Governs Fermentation Rate in Nitrogen-Deficient Wine Musts. Appl. Environ. Microbiol. 2004, 70, 3392–3400. [Google Scholar] [CrossRef] [PubMed]
  31. David, R.; Dochain, D.; Mouret, J.-R.; Wouwer, A.V.; Sablayrolles, J.-M. Dynamical Modeling of Alcoholic Fermentation and Its Link with Nitrogen Consumption. IFAC Proc. Vol. 2010, 43, 496–501. [Google Scholar] [CrossRef]
Figure 1. All 222 °Brix curves for the five harvests (2016, 2017, 2021, 2022 and 2023).
Figure 1. All 222 °Brix curves for the five harvests (2016, 2017, 2021, 2022 and 2023).
Fermentation 11 00004 g001
Figure 2. The initial, minimum, maximum and final temperatures and initial and final °Brix for all 222 fermentations.
Figure 2. The initial, minimum, maximum and final temperatures and initial and final °Brix for all 222 fermentations.
Fermentation 11 00004 g002
Figure 3. Initial juice chemistry of NH3, NOPA, YAN, TA, pH and initial °Brix.
Figure 3. Initial juice chemistry of NH3, NOPA, YAN, TA, pH and initial °Brix.
Fermentation 11 00004 g003
Figure 4. Model fit results of all 222 fermentations including RMSE, specific maintenance rate (MNT), lag time (LAG), initial nitrogen (NIT), viability constant (VIAB) and ethanol inhibition constant (ETH).
Figure 4. Model fit results of all 222 fermentations including RMSE, specific maintenance rate (MNT), lag time (LAG), initial nitrogen (NIT), viability constant (VIAB) and ethanol inhibition constant (ETH).
Fermentation 11 00004 g004
Figure 5. The maximum fermentation rate (°Brix/h) in relation to the initial temperature (A), the specific maintenance rate times the viability constant (B) and the maximum fermentation temperature (C) for fermentations with a final °Brix less than 0 (black) and greater than 0 (red).
Figure 5. The maximum fermentation rate (°Brix/h) in relation to the initial temperature (A), the specific maintenance rate times the viability constant (B) and the maximum fermentation temperature (C) for fermentations with a final °Brix less than 0 (black) and greater than 0 (red).
Fermentation 11 00004 g005
Figure 6. YAN vs. maximum °Brix rate (A) and model-calculated initial nitrogen (B) for 123 of 222 fermentations where initial juice chemistry was available. There are no significant correlations in either case.
Figure 6. YAN vs. maximum °Brix rate (A) and model-calculated initial nitrogen (B) for 123 of 222 fermentations where initial juice chemistry was available. There are no significant correlations in either case.
Fermentation 11 00004 g006
Figure 7. Model-calculated initial nitrogen vs. final °Brix (A) and specific maintenance rate multiplied by viability constant (B) for fermentations with a final °Brix less than 0 (black) and greater than 0 (red).
Figure 7. Model-calculated initial nitrogen vs. final °Brix (A) and specific maintenance rate multiplied by viability constant (B) for fermentations with a final °Brix less than 0 (black) and greater than 0 (red).
Fermentation 11 00004 g007
Figure 8. Initial (A), final (B) and maximum (C) temperature vs. the final °Brix for fermentations with a final °Brix less than 0 (black) and greater than 0 (red).
Figure 8. Initial (A), final (B) and maximum (C) temperature vs. the final °Brix for fermentations with a final °Brix less than 0 (black) and greater than 0 (red).
Fermentation 11 00004 g008
Figure 9. The specific maintenance rate times the viability constant (A), and time of the maximum fermentation rate minus the lag (B) vs. the final °Brix.
Figure 9. The specific maintenance rate times the viability constant (A), and time of the maximum fermentation rate minus the lag (B) vs. the final °Brix.
Fermentation 11 00004 g009
Figure 10. Canonical variate analysis of the parameters and maximum temperature (A) and the grouping of the fermentations (B) that were less than 4 days, 4 to 7 days, 7 to 10 days and greater than 10 days long.
Figure 10. Canonical variate analysis of the parameters and maximum temperature (A) and the grouping of the fermentations (B) that were less than 4 days, 4 to 7 days, 7 to 10 days and greater than 10 days long.
Fermentation 11 00004 g010
Disclaimer/Publisher’s Note: The statements, opinions and data contained in all publications are solely those of the individual author(s) and contributor(s) and not of MDPI and/or the editor(s). MDPI and/or the editor(s) disclaim responsibility for any injury to people or property resulting from any ideas, methods, instructions or products referred to in the content.

Share and Cite

MDPI and ACS Style

Nelson, J.; Coleman, R.; Gravesen, P.; Silacci, M.; Velasquez, A.; Marinelli, K.; Boulton, R. Analysis of a Commercial Red Wine Fermentation Dataset with a Wine Kinetic Model. Fermentation 2025, 11, 4. https://doi.org/10.3390/fermentation11010004

AMA Style

Nelson J, Coleman R, Gravesen P, Silacci M, Velasquez A, Marinelli K, Boulton R. Analysis of a Commercial Red Wine Fermentation Dataset with a Wine Kinetic Model. Fermentation. 2025; 11(1):4. https://doi.org/10.3390/fermentation11010004

Chicago/Turabian Style

Nelson, James, Robert Coleman, Patrick Gravesen, Michael Silacci, Alaina Velasquez, Kimberlee Marinelli, and Roger Boulton. 2025. "Analysis of a Commercial Red Wine Fermentation Dataset with a Wine Kinetic Model" Fermentation 11, no. 1: 4. https://doi.org/10.3390/fermentation11010004

APA Style

Nelson, J., Coleman, R., Gravesen, P., Silacci, M., Velasquez, A., Marinelli, K., & Boulton, R. (2025). Analysis of a Commercial Red Wine Fermentation Dataset with a Wine Kinetic Model. Fermentation, 11(1), 4. https://doi.org/10.3390/fermentation11010004

Note that from the first issue of 2016, this journal uses article numbers instead of page numbers. See further details here.

Article Metrics

Back to TopTop