Development of High-Glucosinolate-Retaining Lactic-Acid-Bacteria-Co-Fermented Cabbage Products
Abstract
1. Introduction
2. Results
2.1. Measurement of Antioxidant Activity of Lactic-Acid-Fermented Cabbage
2.2. Total Phenolic Compounds in Lactic-Acid-Fermented Cabbage
2.3. Total Flavonoid Content in Lactic-Acid-Fermented Cabbage
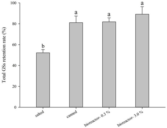
2.4. Measurement of Total Glucosinolate Retention in Lactic-Acid-Fermented Cabbage Under Different Production Processes and Fermentation Conditions
2.5. Storage Stability of Lactic-Acid-Fermented Cabbage and Its Total Glucosinolate Retention
3. Materials and Methods
3.1. Materials and Chemicals
3.2. Experimental Strains
3.3. Sample Preparation and Fermentation
3.4. Determination of Total Viable Lactic Acid Bacteria
3.5. Antioxidant Activity of the Fermented Cabbage
3.6. Total Glucosinolate Retention Rate Measurement
3.7. Determination of Phenolic Compounds
3.8. Determination of Total Flavonoids
3.9. Storage Stability Test
3.10. Statistical Analysis
4. Conclusions
Author Contributions
Funding
Institutional Review Board Statement
Informed Consent Statement
Data Availability Statement
Conflicts of Interest
References
- Zayed, A.; Sheashea, M.; Kassem, I.A.; Farag, M.A. Red and White Cabbages: An Updated Comparative Review of Bioactives, Extraction Methods, Processing Practices, and Health Benefits. Crit. Rev. Food Sci. Nutr. 2022, 63, 7025–7042. [Google Scholar] [CrossRef] [PubMed]
- Tahir, M.H.; Mubashir, T.; Schulze, M.; Irfan, R.M. Thermochemical Conversion of Cabbage Waste to Bioenergy and Bio-chemicals Production. Int. J. Energy Res. 2022, 46, 20206–20215. [Google Scholar] [CrossRef]
- Miękus, N.; Marszałek, K.; Podlacha, M.; Iqbal, A.; Puchalski, C.; Świergiel, A.H. Health Benefits of Plant-Derived Sulfur Compounds, Glucosinolates, and Organosulfur Compounds. Molecules 2020, 25, 3804. [Google Scholar] [CrossRef] [PubMed]
- Palliyaguru, D.L.; Yuan, J.M.; Kensler, T.W.; Fahey, J.W. Isothiocyanates: Translating the Power of Plants to People. Mol. Nutr. Food Res. 2018, 62, 1700965. [Google Scholar] [CrossRef] [PubMed]
- Septembre-Malaterre, A.; Remize, F.; Poucheret, P. Fruits and Vegetables, as a Source of Nutritional Compounds and Phytochemicals: Changes in Bioactive Compounds during Lactic Fermentation. Int. Food Res. 2018, 104, 86–99. [Google Scholar] [CrossRef]
- Nugrahedi, P.Y.; Widianarko, B.; Dekker, M.; Verkerk, R.; Oliviero, T. Retention of Glucosinolates during Fermentation of Brassica juncea: A Case Study on Production of sayur asin. Eur. Food Res. Technol. 2015, 240, 559–565. [Google Scholar] [CrossRef]
- Thomas, L.; Larroche, C.; Pandey, A. Current Developments in Solid-State Fermentation. Biochem. Eng. J. 2013, 81, 146–161. [Google Scholar] [CrossRef]
- Mohanakrishna, G.; Pengadeth, D. Mixed Culture Biotechnology and its Versatility in Dark Fermentative Hydrogen Production. Bioresour. Technol. 2024, 394, 130286. [Google Scholar] [CrossRef]
- Lin, S.P.; Chou, Y.C.; Chen, C.E.; Lai, Y.T.; Hsieh, C.C.; Tsai, T.Y.; Cheng, K.C. Enhancing Miso Production with Optimized Puffed-Rice Koji and its Biological Function Evaluation. Food Biosci. 2024, 60, 104463. [Google Scholar] [CrossRef]
- Lai, Y.T.; Hou, C.Y.; Lin, S.P.; Lo, Y.C.; Chen, C.H.; Hsieh, C.W.; Cheng, K.C. Sequential Culture with Aroma-Producing Yeast Strains to Improve the Quality of Kyoho Wine. J. Food Sci. 2023, 88, 1114–1127. [Google Scholar] [CrossRef]
- Huang, Y.C.; Khumsupan, D.; Lin, S.P.; Santoso, S.P.; Hsu, H.Y.; Cheng, K.C. Production of Bacterial Cellulose (BC)/Nisin Composite with Enhanced Antibacterial and Mechanical Properties Through Co-Cultivation of Komagataeibacter xylinum and Lactococcus lactis subsp. Lactis. Int. J. Biol. Macromol. 2024, 258, 128977. [Google Scholar] [CrossRef] [PubMed]
- Zubaidah, E.; Arum, M.S.; Widyaningsih, T.D.; Rahayu, A.P. Sauerkraut with the Addition of Lactobacillus Casei: Effects of Salt and Sugar Concentrations on Fermentation and Antioxidant Activity. Curr. Nutr. Food Sci. 2020, 16, 1265–1269. [Google Scholar] [CrossRef]
- Oh, S.-K.; Kim, K.-W.; Choi, M.-R. Changes in Glucosinolate Content of Dolsan Leaf Mustard Kimchi during Fermentation and Correlation with Antioxidant, Antihypertensive, and Antidiabetic Activities. J. Life Sci. 2018, 28, 1290–1300. [Google Scholar] [CrossRef]
- Hsieh, C.C.; Yu, S.H.; Cheng, K.W.; Liou, Y.W.; Hsu, C.C.; Hsieh, C.W.; Cheng, K.C. Production and Analysis of Metabolites from Solid-State Fermentation of Chenopodium Formosanum (Djulis) Sprouts in a Bioreactor. Int. Food Res. 2023, 168, 112707. [Google Scholar] [CrossRef] [PubMed]
- Park, S.Y.; Jang, H.L.; Lee, J.H.; Choi, Y.; Kim, H.; Hwang, J.; Seo, D.; Kim, S.; Nam, J.-S. Changes in the Phenolic Compounds and Antioxidant Activities of Mustard Leaf (Brassica juncea) Kimchi Extracts During Different Fermentation Periods. Food Sci. Biotechnol. 2017, 26, 105–112. [Google Scholar] [CrossRef]
- Zubaidah, E.; Susanti, I.; Yuwono, S.; Rahayu, A.; Srianta, I.; Blanc, P. Effect of Lactobacillus plantarum and Leuconostoc mesenteroides Starter Cultures in Lower Salt Concentration Fermentation on the Sauerkraut Quality. Food Res. 2020, 4, 1038–1044. [Google Scholar] [CrossRef]
- Kuo, H.C.; Kwong, H.K.; Chen, H.Y.; Hsu, H.Y.; Hsieh, C.W.; Lin, H.W.; Chu, Y.L.; Cheng, K.C. Enhanced Antioxidant Activity of Chenopodium formosanum Koidz. by Lactic Acid Bacteria: Optimization of Fermentation Conditions. PLoS ONE 2021, 16, e0249250. [Google Scholar] [CrossRef]
- Lee, H.J.; Park, S.E.; Choi, J.H.; Kim, K.M. Biological Activity of Brassica oleracea var. capitata Fermented with Lactobacillus plantarum. Food Sci. Preserv. 2022, 29, 241–253. [Google Scholar] [CrossRef]
- Sun, Y.P.; Chou, C.C.; Yu, R.C. Antioxidant Activity of Lactic-Fermented Chinese Cabbage. Food Chem. 2009, 115, 912–917. [Google Scholar] [CrossRef]
- Hunaefi, D.; Gruda, N.; Riedel, H.; Akumo, D.N.; Saw NM, M.T.; Smetanska, I. Improvement of Antioxidant Activities in Red Cabbage Sprouts by Lactic Acid Bacterial Fermentation. Food Biotechnol. 2013, 27, 279–302. [Google Scholar] [CrossRef]
- Rayhane, H.; Josiane, M.; Gregoria, M.; Yiannis, K.; Nathalie, D.; Ahmed, M.; Sevastianos, R. From Flasks to Single Used Bioreactor: Scale-Up of Solid State Fermentation Process for Metabolites and Conidia Production by Trichoderma asperellum. J. Environ. Manag. 2019, 252, 109496. [Google Scholar] [CrossRef] [PubMed]
- Wiczkowski, W.; Szawara-Nowak, D.; Topolska, J. Changes in the Content and Composition of Anthocyanins in Red Cabbage and its Antioxidant Capacity during Fermentation, Storage and Stewing. Food Chem. 2015, 167, 115–123. [Google Scholar] [CrossRef] [PubMed]
- Sionek, B.; Szydlowska, A.; Trzaskowska, M.; Kolozyn-Krajewska, D. The Impact of Physicochemical Conditions on Lactic Acid Bacteria Survival in Food Products. Fermentation 2024, 10, 298. [Google Scholar] [CrossRef]
- Palani, K.; Harbaum-Piayda, B.; Meske, D.; Keppler, J.K.; Bockelmann, W.; Heller, K.J.; Schwarz, K. Influence of Fermentation on Glucosinolates and Glucobrassicin Degradation Products in Sauerkraut. Food Chem. 2016, 190, 755–762. [Google Scholar] [CrossRef] [PubMed]
- Song, L.; Thornalley, P.J. Effect of Storage, Processing and Cooking on Glucosinolate Content of Brassica vegetables. Food Chem. Toxicol. 2007, 45, 216–224. [Google Scholar] [CrossRef]
- Xiong, T.; Li, X.; Guan, Q.; Peng, F.; Xie, M. Starter culture fermentation of Chinese sauerkraut: Growth, acidification and metabolic analyses. Food Control 2014, 41, 122–127. [Google Scholar] [CrossRef]
- Yoon, K.Y.; Woodams, E.E.; Hang, Y.D. Production of Probiotic Cabbage Juice by Lactic Acid Bacteria. Bioresour. Technol. 2006, 97, 1427–1430. [Google Scholar] [CrossRef]
- Tabaszewska, M.; Gabor, A.; Jaworska, G.; Drożdż, I. Effect of Fermentation and Storage on the Nutritional Value and Contents of Biologically-Active Compounds in Lacto-Fermented White Asparagus (Asparagus officinalis L.). LWT 2018, 92, 67–72. [Google Scholar] [CrossRef]
- Jansone, L.; Kampuse, S.; Kruma, Z.; Lidums, I. Evaluation of Physical and Chemical Composition of Concentrated Fermented Cabbage Juice. Res. Rural Dev. 2021, 36, 84–89. [Google Scholar] [CrossRef]
- Mawlong, I.; Sujith Kumar, M.; Gurung, B.; Singh, K.; Singh, D. A Simple Spectrophotometric Method for Estimating total Glucosinolates in Mustard De-Oiled Cake. Int. J. Food Prop. 2017, 20, 3274–3281. [Google Scholar] [CrossRef]
- Abderrahim, F.; Huanatico, E.; Segura, R.; Arribas, S.; Gonzalez, M.C.; Condezo-Hoyos, L. Physical Features, Phenolic Compounds, Betalains and total Antioxidant Capacity of Coloured Quinoa Seeds (Chenopodium quinoa Willd.) from Peruvian Altiplano. Food Chem. 2015, 183, 83–90. [Google Scholar] [CrossRef] [PubMed]
- Rokayya, S.; Li, C.J.; Zhao, Y.; Li, Y.; Sun, C.H. Cabbage (Brassica oleracea L. var. capitata) Phytochemicals with Antioxidant and Anti-Inflammatory Potential. Asian Pacific J. Cancer Prev. 2013, 14, 6657–6662. [Google Scholar] [CrossRef] [PubMed]




| Day 0 | Day 7 | Day 14 | Day 21 | |
|---|---|---|---|---|
| pH value | 3.86 ± 0.05 a | 3.86 ± 0.01 a | 3.87 ± 0.02 a | 3.87 ± 0.01 a |
| LAB viable cell count (log CFU/g) | 7.54 ± 0.19 a | 4.58 ± 0.13 b | 3.14 ± 0.22 c | N.D. |
| Total GS retention rate (%) | 90.34 ± 6.64 a | 77.23 ± 8.63 ab | 66.49 ± 9.90 b | 67.89 ± 12.46 b |
| Firmness (N) | 3.86 ± 2.15 a | 1.84 ± 0.66 a | 1.58 ± 0.86 a | 1.49 ± 0.37 a |
| DPPH radical scavenging activity (μg TE/g) | 91.32 ± 5.34 a | 92.44 ± 2.57 a | 72.08 ± 1.29 b | 76.19 ± 2.02 b |
| ABTS+ radical scavenging activity (μg TE/g) | 64.76 ± 6.17 a | 48.39 ± 2.93 b | 66.23 ± 0.25 a | 65.71 ± 6.12 a |
| Total phenolic content (mg GAE/g) | 2.054 ± 0.38 a | 2.577 ± 0.177 a | 2.364 ± 0.206 a | 2.085 ± 0.347 a |
| Total flavonoid content (mg QE/g) | 0.071 ± 0.005 ab | 0.074 ± 0.003 a | 0.065 ± 0.006 b | 0.066 ± 0.005 ab |
Disclaimer/Publisher’s Note: The statements, opinions and data contained in all publications are solely those of the individual author(s) and contributor(s) and not of MDPI and/or the editor(s). MDPI and/or the editor(s) disclaim responsibility for any injury to people or property resulting from any ideas, methods, instructions or products referred to in the content. |
© 2024 by the authors. Licensee MDPI, Basel, Switzerland. This article is an open access article distributed under the terms and conditions of the Creative Commons Attribution (CC BY) license (https://creativecommons.org/licenses/by/4.0/).
Share and Cite
Hsieh, C.-C.; Liu, Y.-H.; Lin, S.-P.; Santoso, S.P.; Jantama, K.; Tsai, T.-Y.; Hsieh, C.-W.; Cheng, K.-C. Development of High-Glucosinolate-Retaining Lactic-Acid-Bacteria-Co-Fermented Cabbage Products. Fermentation 2024, 10, 635. https://doi.org/10.3390/fermentation10120635
Hsieh C-C, Liu Y-H, Lin S-P, Santoso SP, Jantama K, Tsai T-Y, Hsieh C-W, Cheng K-C. Development of High-Glucosinolate-Retaining Lactic-Acid-Bacteria-Co-Fermented Cabbage Products. Fermentation. 2024; 10(12):635. https://doi.org/10.3390/fermentation10120635
Chicago/Turabian StyleHsieh, Chen-Che, Yuan-Heng Liu, Shin-Ping Lin, Shella Permatasari Santoso, Kaemwich Jantama, Tsung-Yu Tsai, Chang-Wei Hsieh, and Kuan-Chen Cheng. 2024. "Development of High-Glucosinolate-Retaining Lactic-Acid-Bacteria-Co-Fermented Cabbage Products" Fermentation 10, no. 12: 635. https://doi.org/10.3390/fermentation10120635
APA StyleHsieh, C.-C., Liu, Y.-H., Lin, S.-P., Santoso, S. P., Jantama, K., Tsai, T.-Y., Hsieh, C.-W., & Cheng, K.-C. (2024). Development of High-Glucosinolate-Retaining Lactic-Acid-Bacteria-Co-Fermented Cabbage Products. Fermentation, 10(12), 635. https://doi.org/10.3390/fermentation10120635

