Phenotypic Differentiation of Streptococcus thermophilus and Lactobacillus delbrueckii subsp. bulgaricus Isolates Found in Yogurt Starter Cultures
Abstract
1. Introduction
2. Materials and Methods
2.1. Isolate Growth Conditions, Cultivation, Collection and Identification
2.2. Acidification Activity
2.3. Proteolytic Activity
2.4. CEP Activity Test
2.5. Growth Inhibition Assay
2.6. Data Analysis
3. Results
3.1. Phenotypic Diversity
3.1.1. S. thermophilus
3.1.2. Lactobacillus delbrueckii subsp. bulgaricus
3.2. Compatibility of Isolates
4. Discussion
5. Conclusions
Supplementary Materials
Author Contributions
Funding
Institutional Review Board Statement
Informed Consent Statement
Data Availability Statement
Conflicts of Interest
References
- Cheng, H. Volatile Flavor Compounds in Yogurt: A Review. Crit. Rev. Food Sci. Nutr. 2010, 50, 938–950. [Google Scholar] [CrossRef] [PubMed]
- Chen, C.; Zhao, S.; Hao, G.; Yu, H.; Tian, H.; Zhao, G. Role of Lactic Acid Bacteria on the Yogurt Flavour: A Review. Int. J. Food Prop. 2017, 20 (Suppl. 1), S316–S330. [Google Scholar] [CrossRef]
- Stefanovic, E.; Kilcawley, K.N.; Rea, M.C.; Fitzgerald, G.F.; McAuliffe, O. Genetic, Enzymatic and Metabolite Profiling of the Lactobacillus Casei Group Reveals Strain Biodiversity and Potential Applications for Flavour Diversification. J. Appl. Microbiol. 2017, 122, 1245–1261. [Google Scholar] [CrossRef] [PubMed]
- Yamauchi, R.; Maguin, E.; Horiuchi, H.; Hosokawa, M.; Sasaki, Y. The Critical Role of Urease in Yogurt Fermentation with Various Combinations of Streptococcus thermophilus and Lactobacillus delbrueckii ssp. bulgaricus. J. Dairy Sci. 2019, 102, 1033–1043. [Google Scholar] [CrossRef]
- Routray, W.; Mishra, H.N. Scientific and Technical Aspects of Yogurt Aroma and Taste: A Review. Compr. Rev. Food Sci. Food Saf. 2011, 10, 208–220. [Google Scholar] [CrossRef]
- Aryana, K.J.; Olson, D.W. A 100-Year Review: Yogurt and Other Cultured Dairy Products. J. Dairy Sci. 2017, 100, 9987–10013. [Google Scholar] [CrossRef]
- Rysstad, G.; Abrahamsen, R.K. Formation of Volatile Aroma Compounds and Carbon Dioxide in Yogurt Starter Grown in Cows’ and Goats’ Milk. J. Dairy Res. 1987, 54, 257–266. [Google Scholar] [CrossRef]
- Sieuwerts, S.; De Bok, F.A.M.; Hugenholtz, J.; Van Hylckama Vlieg, J.E.T. Unraveling Microbial Interactions in Food Fermentations: From Classical to Genomics Approaches. Appl. Environ. Microbiol. 2008, 74, 4997–5007. [Google Scholar] [CrossRef]
- Kieliszek, M.; Pobiega, K.; Piwowarek, K.; Kot, A.M. Characteristics of the Proteolytic Enzymes Produced by Lactic Acid Bacteria. Molecules 2021, 26, 1858. [Google Scholar] [CrossRef]
- Dandoy, D.; Fremaux, C.; Henry de Frahan, M.; Horvath, P.; Boyaval, P.; Hols, P.; Fontaine, L. The Fast Milk Acidifying Phenotype of Streptococcus thermophilus Can Be Acquired by Natural Transformation of the Genomic Island Encoding the Cell-Envelope Proteinase PrtS. Microb. Cell Fact. 2011, 10, S21. [Google Scholar] [CrossRef]
- Galia, W.; Jameh, N.; Perrin, C.; Genay, M.; Dary-Mourot, A. Acquisition of PrtS in Streptococcus thermophilus Is Not Enough in Certain Strains to Achieve Rapid Milk Acidification. Dairy Sci. Technol. 2016, 96, 623–636. [Google Scholar] [CrossRef]
- Hao, P.; Zheng, H.; Yu, Y.; Ding, G.; Gu, W.; Chen, S.; Yu, Z.; Ren, S.; Oda, M.; Konno, T.; et al. Complete Sequencing and Pan-Genomic Analysis of Lactobacillus Delbrueckii Subsp. Bulgaricus Reveal Its Genetic Basis for Industrial Yogurt Production. PLoS ONE 2011, 6, e15964. [Google Scholar] [CrossRef] [PubMed]
- Boulay, M.; Metton, C.; Mézange, C.; Correia, L.O.; Meylheuc, T.; Monnet, V.; Gardan, R.; Juillard, V. Three Distinct Proteases Are Responsible for Overall Cell Surface Proteolysis in Streptococcus thermophilus. Appl. Environ. Microbiol. 2021, 87, e01292-21. [Google Scholar] [CrossRef] [PubMed]
- Cui, Y.; Xu, T.; Qu, X.; Hu, T.; Jiang, X.; Zhao, C. New Insights into Various Production Characteristics of Streptococcus thermophilus Strains. Int. J. Mol. Sci. 2016, 17, 1701. [Google Scholar] [CrossRef]
- Erkus, O.; Okuklu, B.; Yenidunya, A.F.; Harsa, S. High Genetic and Phenotypic Variability of Streptococcus thermophilus Strains Isolated from Artisanal Yuruk Yoghurts. LWT—Food Sci. Technol. 2014, 58, 348–354. [Google Scholar] [CrossRef]
- Courtin, P.; Rul, F. Interactions between Microorganisms in a Simple Ecosystem: Yogurt Bacteria as a Study Model. Le Lait 2003, 84, 125–134. [Google Scholar] [CrossRef]
- Gänzle, M.G. Lactic Metabolism Revisited: Metabolism of Lactic Acid Bacteria in Food Fermentations and Food Spoilage. Curr. Opin. Food Sci. 2015, 2, 106–117. [Google Scholar] [CrossRef]
- Brasca, M.; Morandi, S.; Lodi, R.; Tamburini, A. Redox Potential to Discriminate among Species of Lactic Acid Bacteria. J. Appl. Microbiol. 2007, 103, 1516–1524. [Google Scholar] [CrossRef]
- Boutrou, R.; Guéguen, M. Interests in Geotrichum candidum for Cheese Technology. Int. J. Food Microbiol. 2005, 102, 1–20. [Google Scholar] [CrossRef]
- Vasiljevic, T.; Shah, N.P. Probiotics—From Metchnikoff to Bioactives. Int. Dairy J. 2008, 18, 714–728. [Google Scholar] [CrossRef]
- Martin, F.; Cachon, R.; Pernin, K.; De Coninck, J.; Gervais, P.; Guichard, E.; Cayot, N. Effect of Oxidoreduction Potential on Aroma Biosynthesis by Lactic Acid Bacteria in Nonfat Yogurt. J. Dairy Sci. 2011, 94, 614–622. [Google Scholar] [CrossRef] [PubMed]
- Morandi, S.; Silvetti, T.; Tamburini, A.; Brasca, M. Changes in Oxidation-Reduction Potential during Milk Fermentation by Wild Lactic Acid Bacteria. J. Dairy Res. 2016, 83, 387–394. [Google Scholar] [CrossRef] [PubMed]
- Mani-López, E.; Palou, E.; López-Malo, A. Probiotic Viability and Storage Stability of Yogurts and Fermented Milks Prepared with Several Mixtures of Lactic Acid Bacteria. J. Dairy. Sci. 2014, 97, 2578–2590. [Google Scholar] [CrossRef]
- Liu, W.; Su, X.; Duo, N.; Yu, J.; Song, Y.; Sun, T.; Zha, M.; Menghe, B.; Zhang, H.; Sun, Z. A Survey of the Relationship between Functional Genes and Acetaldehyde Production Characteristics in Streptococcus thermophilus by Multilocus Sequence Typing. J. Dairy Sci. 2019, 102, 9651–9662. [Google Scholar] [CrossRef]
- Dhaisne, A.; Guellerin, M.; Laroute, V.; Laguerre, S.; Cocaign-Bousquet, M.; Le Bourgeois, P.; Loubiere, P. Genotypic and Phenotypic Analysis of Dairy Lactococcus lactis Biodiversity in Milk: Volatile Organic Compounds as Discriminating Markers. Appl. Environ. Microbiol. 2013, 79, 4643–4652. [Google Scholar] [CrossRef]
- Spus, M.; Li, M.; Alexeeva, S.; Wolkers-Rooijackers, J.C.M.; Zwietering, M.H.; Abee, T.; Smid, E.J. Strain Diversity and Phage Resistance in Complex Dairy Starter Cultures. J. Dairy Sci. 2015, 98, 5173–5182. [Google Scholar] [CrossRef]
- Spencer, J.F.T.; Ragout de Spencer, A.L.; de Giori, G.S.; Hébert, E.M. Methods to Determine Proteolytic Activity of Lactic Acid Bacteria. In Food Microbiology Protocols; Humana Press: Totowa, NJ, USA, 2003; pp. 197–202. [Google Scholar] [CrossRef]
- Hockett, K.; Baltrus, D. Use of the Soft-Agar Overlay Technique to Screen for Bacterially Produced Inhibitory Compounds. J. Vis. Exp. 2017, 119, 55064. [Google Scholar] [CrossRef]
- Yamauchi, R.; Fujisawa, M.; Koyanagi, S.; Muramatsu, A.; Kobayashi, T.; Wada, Y.; Akama, K.; Tanaka, M.; Kurashige, H.; Sato, A.; et al. Formate-Producing Capacity Provided by Reducing Ability of Streptococcus thermophilus Nicotinamide Adenine Dinucleotide Oxidase Determines Yogurt Acidification Rate. J. Dairy Sci. 2023, 106, 6710–6722. [Google Scholar] [CrossRef]
- Sharma, R.; Garg, P.; Kumar, P.; Bhatia, S.K.; Kulshrestha, S. Microbial fermentation and its role in quality improvement of fermented foods. Fermentation 2020, 6, 106. [Google Scholar] [CrossRef]
- Larsen, N.; Werner, B.B.; Vogensen, F.K.; Jespersen, L. Effect of dissolved oxygen on redox potential and milk acidification by Lactic Acid Bacteria isolated from a DL-starter culture. J. Dairy Sci. 2015, 98, 1640–1651. [Google Scholar] [CrossRef]
- Bulut, M.; Tuncturk, Y.; Alwazeer, D. The Role of Redox Potential on Aroma Components of Yoghurt. Available online: https://www.researchgate.net/publication/336881012_The_Role_of_Redox_Potential_on_Aroma_Components_of_Yoghurt (accessed on 15 September 2024).
- Marty-Teysset, C.; De La Torre, F.; Garel, J.R. Increased production of hydrogen peroxide by Lactobacillus delbrueckii subsp. Bulgaricus upon aeration: Involvement of an NADH oxidase in oxidative stress. Appl. Environ. Microbiol. 2019, 66, 262–267. [Google Scholar] [CrossRef] [PubMed]
- Fasnacht, M.; Polacek, N. Oxidative stress in bacteria and the central dogma of molecular biology. Front. Mol. Biosci. 2021, 8, 671037. [Google Scholar] [CrossRef]
- Feng, T.; Wang, J. Oxidative stress tolerance and antioxidant capacity of Lactic Acid Bacteria as probiotics: A systematic review. Gut Microbes 2020, 12, 1801944. [Google Scholar] [CrossRef]
- Amani, E.; Eskandari, M.H.; Shekarforoush, S. The effect of proteolytic activity of starter cultures on technologically important properties of yogurt. Food Sci. Nutr. 2017, 5, 525–537. [Google Scholar] [CrossRef] [PubMed]
- Vasiljevic, T.; Shah, N.P. Cultured milk and yogurt. In Dairy Processing & Quality Assurance; John Wiley & Sons, Inc.: Hoboken, NJ, USA, 2008; ISBN 9780813804033. [Google Scholar]
- Kaneko, D.; Igarashi, T.; Aoyama, K. Reduction of the off-flavor volatile generated by the yogurt starter culture including Streptococcus thermophilus and Lactobacillus delbrueckii subsp. Bulgaricus in soymilk. J. Agric. Food Chem. 2014, 62, 1658–1663. [Google Scholar] [CrossRef] [PubMed]
- McMahon, D.J.; Brym, M. Cheese. In Dairy Processing and Quality Assurance; John Wiley & Sons, Inc.: Hoboken, NJ, USA, 2016; pp. 287–309. [Google Scholar]
- Galia, W.; Perrin, C.; Genay, M.; Dary, A. Variability and molecular typing of Streptococcus thermophilus strains displaying different proteolytic and acidifying properties. Int. Dairy J. 2009, 19, 89–95. [Google Scholar] [CrossRef]
- de Vos, W.M. Systems solutions by Lactic Acid Bacteria: From paradigms to practice. Microb. Cell Fact. 2011, 10, S2. [Google Scholar] [CrossRef]
- Flahaut, N.; de Vos, W.M. Systems biology and metabolic engineering of lactic acid bacteria for improved fermented foods. In Advances in Fermented Foods and Beverages: Improving Quality, Technologies and Health Benefits; Elsevier Inc.: Exeter Devon, UK, 2015; pp. 177–196. [Google Scholar] [CrossRef]
- Hafeez, Z.; Cakir-Kiefer, C.; Girardet, J.-M.; Lecomte, X.; Paris, C.; Galia, W.; Dary, A.; Miclo, L. New insights into the proteolytic system of Streptococcus thermophilus: Use of Isracidin to characterize cell-associated extracellular peptidase activities. J. Agric. Food Chem. 2015, 63, 7522–7531. [Google Scholar] [CrossRef]
- Zhao, J.; Wu, L.; Li, W.; Wang, Y.; Zheng, H.; Sun, T.; Zhang, H.; Xi, R.; Liu, W.; Sun, Z. Genomics landscape of 185 Streptococcus thermophilus and identification of fermentation biomarkers. Food Res. Int. 2021, 150, 110711. [Google Scholar] [CrossRef]
- Tian, H.; Li, B.; Evivie, S.E.; Sarker, S.K.; Chowdhury, S.; Lu, J.; Ding, X.; Huo, G. Technological and genomic analysis of roles of the cell-envelope protease PrtS in yogurt starter development. Int. J. Mol. Sci. 2018, 19, 1068. [Google Scholar] [CrossRef]
- Gentès, M.C.; Stuer-Lauridsen, B.; Sorensen, J.; Barletta, R. Potential of Streptococcus thermophilus strains for the development of new yogurt products: A review. Dairy Sci. Technol. 2020, 100, 189–207. [Google Scholar] [CrossRef]
- Liu, K.; Zeng, X.; Qiao, L.; Li, X.; Yang, Y.; Dai, C.; Hou, A.; Xu, D. The sensitivity and significance analysis of parameters in the model of pH regulation on lactic acid production by Lactobacillus bulgaricus. BMC Bioinform. 2014, 15, S5. [Google Scholar] [CrossRef] [PubMed]
- Hafeez, Z.; Cakir-Kiefer, C.; Lecomte, X.; Miclo, L.; Dary-Mourot, A. The X-prolyl dipeptidyl-peptidase PepX of Streptococcus thermophilus initially described as intracellular is also responsible for peptidase extracellular activity. J. Dairy Sci. 2019, 102, 113–123. [Google Scholar] [CrossRef]
- Hafeez, Z.; Cakir-Kiefer, C.; Girardet, J.-M.; Jardin, J.; Perrin, C.; Dary, A.; Miclo, L. Hydrolysis of milk-derived bioactive peptides by cell-associated extracellular peptidases of Streptococcus thermophilus. Appl. Microbiol. Biotechnol. 2013, 97, 9787–9799. [Google Scholar] [CrossRef]
- Chang, O.K.; Roux, É.; Awussi, A.A.; Miclo, L.; Jardin, J.; Jameh, N.; Dary, A.; Humbert, G.; Perrin, C. Use of a free form of the Streptococcus thermophilus cell envelope protease PrtS as a tool to produce bioactive peptides. Int. Dairy J. 2014, 38, 104–115. [Google Scholar] [CrossRef]
- Settachaimongkon, S.; Nout, M.J.R.; Antunes Fernandes, E.C.; Hettinga, K.A.; Vervoort, J.M.; van Hooijdonk, T.C.M.; Zwietering, M.H.; Smid, E.J.; van Valenberg, H.J.F. Influence of different proteolytic strains of Streptococcus thermophilus in co-culture with Lactobacillus delbrueckii subsp. bulgaricus on the metabolite profile of set-yoghurt. Int. J. Food Microbiol. 2014, 177, 29–36. [Google Scholar] [CrossRef]
- Gobbetti, M.; De Angelis, M.; Di Cagno, R.; Mancini, L.; Fox, P.F. Pros and cons for using non-starter lactic acid bacteria (NSLAB) as secondary/adjunct starters for cheese ripening. Trends Food Sci. Technol. 2015, 45, 167–178. [Google Scholar] [CrossRef]
- Arioli, S.; Della Scala, G.; Martinović, A.; Scaglioni, L.; Mazzini, S.; Volonté, F.; Pedersen, M.B.; Mora, D. In Streptococcus thermophilus, ammonia from urea hydrolysis paradoxically boosts acidification and reveals a new regulatory mechanism of glycolysis. Microbiol. Spectr. 2022, 10, e02760-21. [Google Scholar] [CrossRef]
- Khanal, S.N.; Lucey, J.A. Effect of fermentation temperature on the properties of exopolysaccharides and the acid gelation behavior for milk fermented by Streptococcus thermophilus strains DGCC7785 and St-143. J. Dairy Sci. 2018, 101, 3799–3811. [Google Scholar] [CrossRef]
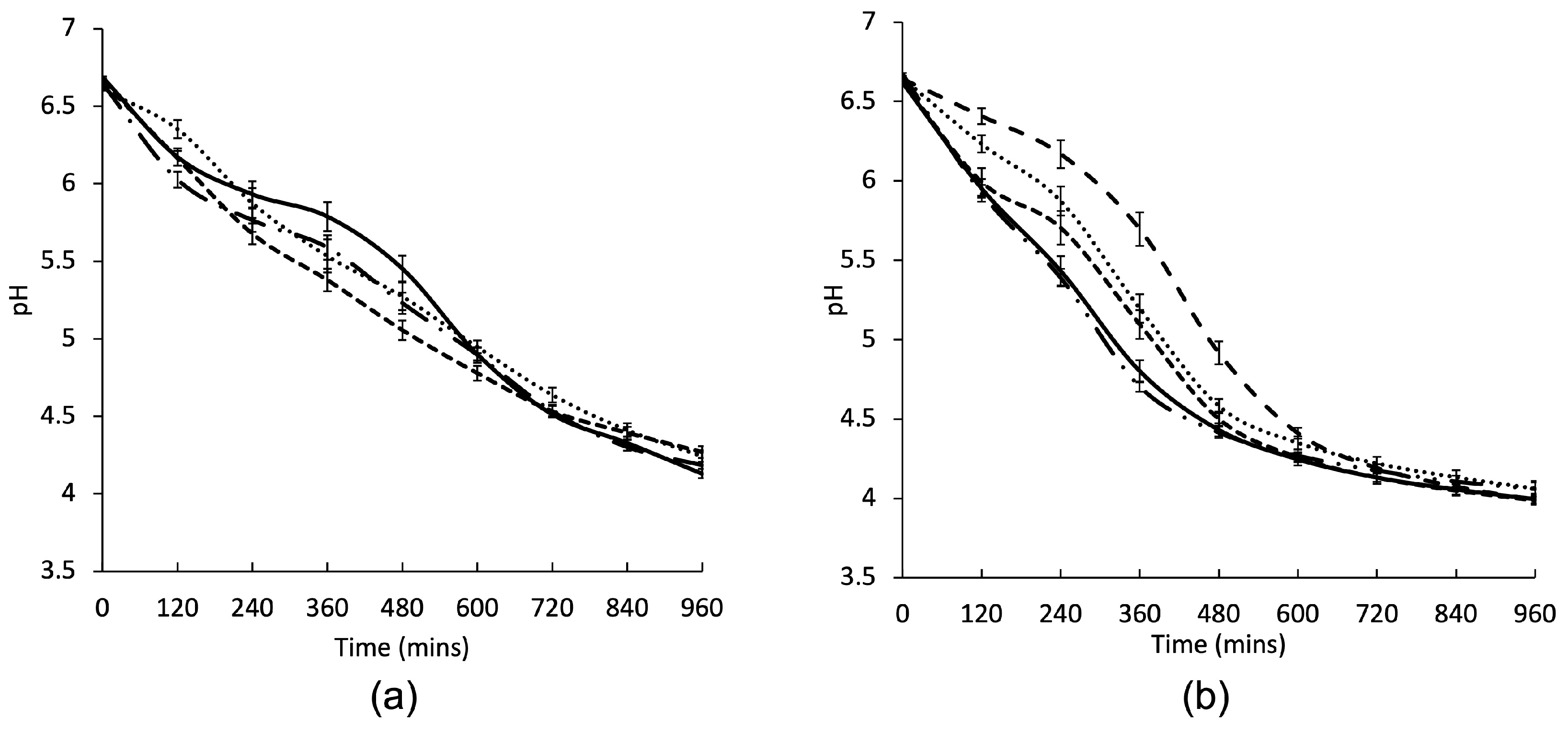
, ST2 is
, ST3 is
, and ST4 is
, and (b) L. bulgaricus isolates, where each cluster represented as LB1 is
, LB2 is
, LB3 is
, LB4 is
, and LB5 is
.
, ST2 is
, ST3 is
, and ST4 is
, and (b) L. bulgaricus isolates, where each cluster represented as LB1 is
, LB2 is
, LB3 is
, LB4 is
, and LB5 is
.

| Activity Parameter | Cluster of S. thermophilus Isolates | |||
|---|---|---|---|---|
| ST1 (8) | ST2 (12) | ST3 (12) | ST4 (4) | |
| Eh7min (mv) | +38.6 ± 37.7 a,* | −99.2 ± 29.6 b | −71.3 ± 20.5 b | −80.8 ± 38.4 b |
| tmin (h) | 10.1 ± 3.76 a | 8.23 ± 1.89 a | 8.53 ± 2.36 a | 7.34 ± 2.22 a |
| Δmax | 63.9 ± 40.1 b | 96.7 ± 17.4 a | 31.6 ± 15.7 c | 46.7 ± 8.49 bc |
| t* (h) | 9.99 ± 2.47 a | 6.28 ± 2.01 b | 6.90 ± 2.79 b | 5.10 ± 0.70 b |
| tph4.6 (h) | 11.4 ± 2.66 a | 12.1 ± 3.74 a | 12.2 ± 1.42 a | 11.5 ± 3.40 a |
| Vmax (ph/h) | −0.25 ± 0.04 a | −0.14 ± 0.92 a | −0.19 ± 0.53 ab | −0.20 ± 0.05 ab |
| Proteolytic activity | 79.4 ± 38.3 a | 61.7 ± 31.9 a | 76.6 ± 28.8 a | 83.0 ± 35.0 a |
| CEP activity | 310 ± 21.4 b | 300 ± 51.8 b | 305 ± 10.3 b | 422 ± 66.3 a |
| % lactic acid (1 day) | 0.81 ± 0.27 a | 0.72 ± 20.8 ab | 0.63 ± 24.9 b | 0.67 ± 20.3 ab |
| % lactic acid (7 day) | 1.00 ± 0.20 a | 0.90 ± 0.003 a | 0.86 ± 0.005 ab | 0.82 ± 0.011 b |
| Activity Parameter | Cluster of L. bulgaricus Isolates | ||||
|---|---|---|---|---|---|
| LB1 (n = 11) | LB2 (n = 9) | LB3 (n = 2) | LB4 (n = 7) | LB5 (n = 7) | |
| Eh7min (mv) | −107 ± 21.8 c,* | −85.4 ± 7.73 bc | +90.3 ± 22.9 a | −47.4 ± 7.62 b | −43.2 ± 27.5 b |
| tmin (h) | 5.20 ± 1.15 a | 6.32 ± 1.08 a | 7.17 ± 0.77 a | 6.10 ± 2.51 a | 5.77 ± 0.93 a |
| Δmax | 36.1 ± 24.4 a | 28.9 ± 12.5 a | 55.5 ± 15.6 ab | 50.0 ± 38.8 b | 50.3 ± 23.8 a |
| t* (h) | 4.55 ± 1.56 a | 5.38 ± 3.89 a | 4.27 ± 0.79 a | 3.80 ± 2.35 a | 4.30 ± 0.93 a |
| tph4.6 (h) | 7.93 ± 2.20 a | 8.98 ± 3.15 a | 9.37 ± 1.62 a | 9.21 ± 3.01 a | 7.78 ± 1.70 a |
| Vmax (ph/h) | −0.27 ± 0.03 a | −0.28 ± 0.35 b | −0.26 ± 2.42 a | −0.32 ± 0.05 a | −0.27 ± 0.40 a |
| Proteolytic activity | 51.2 ± 11.9 b | 54.0 ± 18.1 b | 110 ± 1.41 a | 47.1 ± 83.0 b | 109 ± 25.3 a |
| CEP activity | 301 ± 40.4 d | 553 ± 51.8 a | 451 ± 10.3 b | 376 ± 66.3 c | 300 ± 44.8 d |
| % lactic acid (1 day) | 1.09 ± 0.61 ab | 1.18 ± 0.18 ab | 1.06 ± 0.00 a | 1.19 ± 0.01 ab | 1.31 ± 0.008 b |
| % lactic acid (7 day) | 1.23 ± 0.26 ab | 1.23 ± 0.36 ab | 1.12 ± 0.36 a | 1.27 ± 0.11 ab | 1.38 ± 0.21 b |
Disclaimer/Publisher’s Note: The statements, opinions and data contained in all publications are solely those of the individual author(s) and contributor(s) and not of MDPI and/or the editor(s). MDPI and/or the editor(s) disclaim responsibility for any injury to people or property resulting from any ideas, methods, instructions or products referred to in the content. |
© 2024 by the authors. Licensee MDPI, Basel, Switzerland. This article is an open access article distributed under the terms and conditions of the Creative Commons Attribution (CC BY) license (https://creativecommons.org/licenses/by/4.0/).
Share and Cite
Siddiqi, M.; Tarrah, A.; Chen, Z.-H.; LaPointe, G. Phenotypic Differentiation of Streptococcus thermophilus and Lactobacillus delbrueckii subsp. bulgaricus Isolates Found in Yogurt Starter Cultures. Fermentation 2024, 10, 601. https://doi.org/10.3390/fermentation10120601
Siddiqi M, Tarrah A, Chen Z-H, LaPointe G. Phenotypic Differentiation of Streptococcus thermophilus and Lactobacillus delbrueckii subsp. bulgaricus Isolates Found in Yogurt Starter Cultures. Fermentation. 2024; 10(12):601. https://doi.org/10.3390/fermentation10120601
Chicago/Turabian StyleSiddiqi, Myra, Armin Tarrah, Zheng-Hao Chen, and Gisèle LaPointe. 2024. "Phenotypic Differentiation of Streptococcus thermophilus and Lactobacillus delbrueckii subsp. bulgaricus Isolates Found in Yogurt Starter Cultures" Fermentation 10, no. 12: 601. https://doi.org/10.3390/fermentation10120601
APA StyleSiddiqi, M., Tarrah, A., Chen, Z.-H., & LaPointe, G. (2024). Phenotypic Differentiation of Streptococcus thermophilus and Lactobacillus delbrueckii subsp. bulgaricus Isolates Found in Yogurt Starter Cultures. Fermentation, 10(12), 601. https://doi.org/10.3390/fermentation10120601

