Co-Digestion of Dehydrated Sewage Sludge (DSS) and Organic Fraction of Municipal Solid Waste (OFMSW): Analysis of the Process and Economic Evaluations
Abstract
1. Introduction
2. Materials and Methods
2.1. Materials
2.2. Batch Tests
2.3. BMP Test Mathematical Modeling
- -
- P (NmLCH4/gVS) is the cumulated methane normalized with respect to the initial VS content;
- -
- Pmi (NmLCH4/gVS) is the normalized maximum cumulated volume of methane for each phase;
- -
- Rmi (mLCH4/gVS d) is the maximum daily rate for each phase;
- -
- λi (d) is the lag phase for the beginning of methane production at each phase;
- -
- e is the number of Napier (2.718);
- -
- t is the time (days).
2.4. Pilot Plant Co-Digestion
2.5. Analytical Methods
3. Results
3.1. Characteristics of Organic Matrices
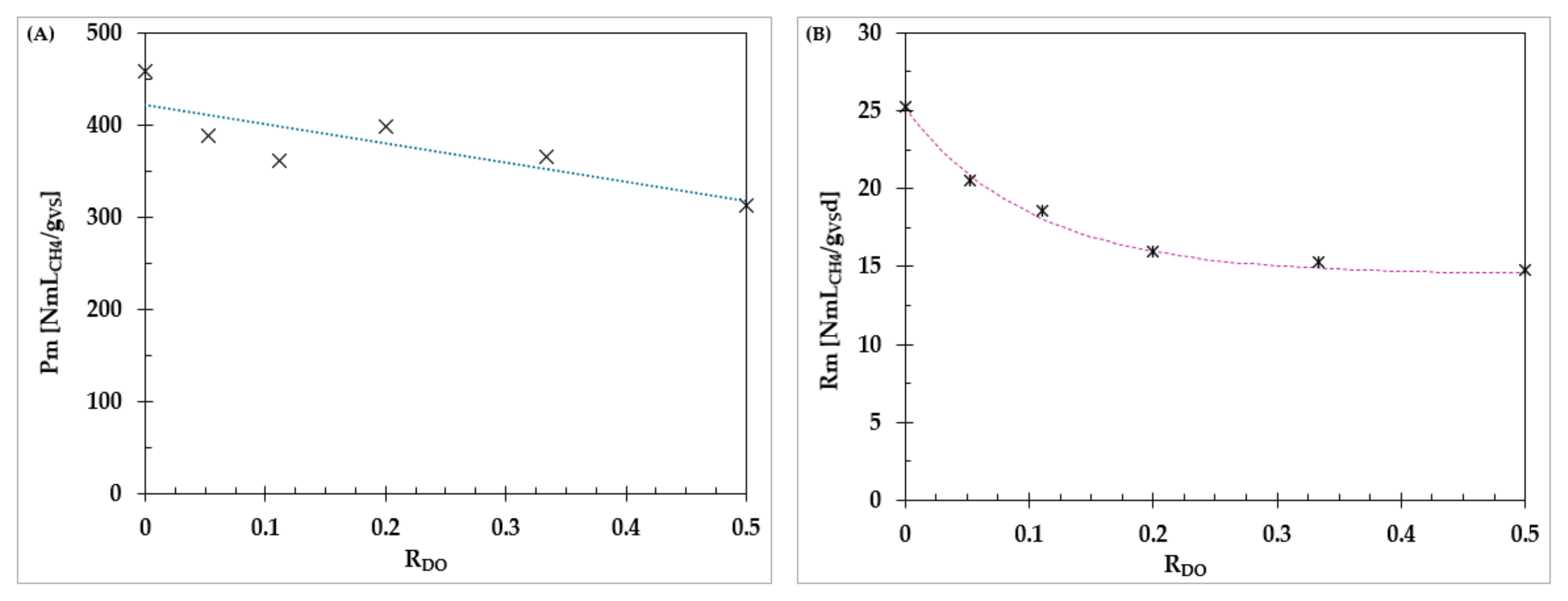
3.2. Results of BMP Tests
BMP Batch Test Mathematical Modeling
3.3. Results of Continuous AD Test on the Pilot Plant
3.4. Economic Evaluation in the Italian Context
4. Conclusions
Supplementary Materials
Author Contributions
Funding
Institutional Review Board Statement
Informed Consent Statement
Data Availability Statement
Acknowledgments
Conflicts of Interest
References
- Di Capua, F.; Spasiano, D.; Giordano, A.; Adani, F.; Fratino, U.; Pirozzi, F.; Esposito, G. High-solid anaerobic digestion of sewage sludge: Challenges and opportunities. Appl. Energy 2020, 278, 115608. [Google Scholar] [CrossRef]
- Cabbai, V.; De Bortoli, N.; Goi, D. Pilot plant experience on anaerobic codigestion of source selected OFMSW and sewage sludge. Waste Manag. 2016, 49, 47–54. [Google Scholar] [CrossRef] [PubMed]
- Bolzonella, D.; Battistoni, P.; Susini, C.; Cecchi, F. Anaerobic digestion of waste activated sludge and OFMSW: The experiences of Viareggio and Treviso plants (Italy). Water Sci. Technol. 2006, 53, 203–211. [Google Scholar] [CrossRef] [PubMed]
- Rorat, A.; Courtois, P.; Vandenbulcke, F.; Lemiere, S. Sanitary and environmental aspects of sewage sludge management. In Industrial and Municipal Sludge; Butterworth-Heinemann: Oxford, UK, 2019; pp. 155–180. [Google Scholar]
- Cieślik, B.M.; Namieśnik, J.; Konieczka, P. Review of sewage sludge management: Standards, regulations and analytical methods. J. Clean. Prod. 2015, 90, 1–15. [Google Scholar] [CrossRef]
- Yoshida, H.; ten Hoeve, M.; Christensen, T.H.; Bruun, S.; Jensen, L.S.; Scheutz, C. Life cycle assessment of sewage sludge management options including long-term impacts after land application. J. Clean. Prod. 2018, 174, 538–547. [Google Scholar] [CrossRef]
- Kelessidis, A.; Stasinakis, A.S. Comparative study of the methods used for treatment and final disposal of sewage sludge in European countries. Waste Manag. 2012, 32, 1186–1195. [Google Scholar] [CrossRef]
- Sewage Sludge Production and Disposal. Available online: https://ec.europa.eu/eurostat/databrowser/product/view/env_ww_spd (accessed on 23 October 2024).
- Council Directive 86/278/EEC of 12 June 1986 on the protection of the environment, and in particular of the soil, when sewage sludge is used in agriculture. Available online: https://eur-lex.europa.eu/legal-content/EN/TXT/PDF/?uri=CELEX:31986L0278 (accessed on 23 October 2024).
- Shrestha, B.; Foret, B.; Sharp, W.; Grag, D.; Hernandez, R.; Revellame, E.; Fortela, D.L.B.; Holmes, W.E.; Zappi, M. An Overview of the Potential for Municipal Wastewater Treatment Plants to Be Integrated into Urban Biorefineries for the Production of Sustainable Bio-Based Fuels and Other Chemicals. Curr. Pollut. Rep. 2024, 10, 548–564. [Google Scholar] [CrossRef]
- Guven, H.; Ersahin, M.; Ozgun, H.; Ozturk, I.; Koyuncu, I. Energy and material refineries of future: Wastewater treatment plants. J. Environ. Manag. 2023, 329, 117130. [Google Scholar] [CrossRef]
- Smol, M. Circular Economy in Wastewater Treatment Plant—Water, Energy and Raw Materials Recovery. Energies 2022, 16, 3911. [Google Scholar] [CrossRef]
- Rosiek, K. Directions and challenges in the management of municipal sewage sludge in Poland in the context of the circular economy. Sustainability 2020, 12, 3686. [Google Scholar] [CrossRef]
- Gherghel, A.; Teodosiu, C.; De Gisi, S. A review on wastewater sludge valorisation and its challenges in the context of circular economy. J. Clean. Prod. 2019, 228, 244–263. [Google Scholar] [CrossRef]
- Tambone, F.; Scaglia, B.; D’Imporzato, G.; Schievano, A.; Orzi, V.; Salati, S.; Adani, F. Assessing amendment and fertilizing properties of digestate from anaerobic digestion through a comparative study with digestate sludge and compost. Chemosphere 2010, 81, 577–583. [Google Scholar] [CrossRef] [PubMed]
- Zupančič, G.D.; Uranjek-Ževart, N.; Roš, M. Full-scale anaerobic co-digestion of organic waste and municipal sludge. Biomass Bioenergy 2008, 32, 162–167. [Google Scholar] [CrossRef]
- Khanal, S.K. Anaerobic Biotecnology for Bioenergy Production: Principles and Applications; Wiley-Blackwell: Ames, IA, USA, 2008. [Google Scholar]
- Siciliano, A.; Limonti, C.; Mehariya, S.; Molino, A.; Calabrò, V. Biofuel production and phosphorus recovery through an integrated treatment of agro-industrial waste. Sustainability 2019, 11, 52. [Google Scholar] [CrossRef]
- Tchobanoglous, G.; Burton, F.L.; Stensel, H.D. Wastewater Engineering, Treatment and Reuse, 4th ed.; Metcalf & Eddy; McGraw-Hill: New York, NY, USA, 2003; ISBN 883866188-X. [Google Scholar]
- Barbera, E.; Menegon, S.; Banzato, D.; D’Alpaos, C.; Bertucco, A. From Biogas to Biomethane: A Process Simulation-Based Techno-Economic Comparison of Different Upgrading Technologies in the Italian Context. Renew. Energy 2019, 135, 663–673. [Google Scholar] [CrossRef]
- Limonti, C.; Curcio, G.M.; Siciliano, A.; Le Pera, A.; Demirer, G.N. Kinetic Study of Anaerobic Digestion of Compost Leachate from Organic Fraction of Municipal Solid Waste. Fermentation 2023, 9, 297. [Google Scholar] [CrossRef]
- Sun, Q.; Li, H.; Yan, J.; Liu, L.; Yu, Z.; Yu, X. Selection of Appropriate Biogas Upgrading Technology—A Review of Biogas Cleaning, Upgrading and Utilisation. Renew. Sustain. Energy Rev. 2015, 51, 521–532. [Google Scholar] [CrossRef]
- Samoraj, M.; Mironiuk, M.; Izydorczyk, G.; Witek-Krowiak, A.; Szopa, D.; Moustakas, K.; Chojnacka, K. The challenges and perspectives for anaerobic digestion of animal waste and fertilizer application of the digestate. Chemosphere 2022, 295, 133799. [Google Scholar] [CrossRef]
- Song, S.; Lim, J.W.; Lee, J.T.; Cheong, J.C.; Hoy, S.H.; Hu, Q.; Tan, J.K.; Chiam, Z.; Arora, S.; Lum, T.Q.; et al. Food-waste anaerobic digestate as a fertilizer: The agronomic properties of untreated digestate and biochar-filtered digestate residue. Waste Manag. 2021, 136, 143–152. [Google Scholar] [CrossRef]
- Kabdaşlı, I.; Siciliano, A.; Limonti, C.; Tünay, O. Is K-Struvite Precipitation a Plausible Nutrient Recovery Method from Potassium-Containing Wastes?—A Review. Sustainability 2022, 14, 11680. [Google Scholar] [CrossRef]
- Náthia-Neves, G.; Berni, M.; Dragone, G.; Mussatto, S.I.; Forster-Carneiro, T. Anaerobic digestion process: Technological aspects and recent developments. Int. J. Environ. Sci. Technol. 2018, 15, 2033–2046. [Google Scholar] [CrossRef]
- Forster-Carneiro, T.; Pérez, M.; Romero, L.I. Anaerobic digestion of municipal solid wastes: Dry thermophilic performance. Bioresour. Technol. 2008, 99, 8180–8184. [Google Scholar] [CrossRef] [PubMed]
- Gaur, R.Z.; Suthar, S. Anaerobic digestion of activated sludge, anaerobic granular sludge and cow dung with food waste for enhanced methane production. J. Clean. Prod. 2017, 164, 557–566. [Google Scholar] [CrossRef]
- Kim, M.; Ahn, Y.H.; Speece, R.E. Comparative process stability and efficiency of anaerobic digestion; mesophilic vs. thermophilic. Water Res. 2002, 36, 4369–4385. [Google Scholar] [CrossRef]
- Cavinato, C.; Bolzonella, D.; Valentino, F.; Fatone, F.; Cecchi, F. Mesophilic and thermophilic anaerobic co-digestion of waste activated sludge and source sorted biowaste in pilot- and full-scale reactors. Renew. Energy 2013, 55, 260–265. [Google Scholar] [CrossRef]
- Zhang, Q.; Hu, J.; Lee, D.J.; Chang, Y.; Lee, Y.-J. Sludge treatment: Current research trends. Bioresour. Technol. 2017, 243, 1159–1172. [Google Scholar] [CrossRef]
- Parkin, G.F.; Owen, W.F. Fundamentals of anaerobic digestion of wastewater sludges. J. Environ. Eng. 1986, 112, 867–920. [Google Scholar] [CrossRef]
- Yuan, H.; Zhu, N. Progress in inhibition mechanisms and process control of intermediates and by-products in sewage sludge anaerobic digestion. Renew. Sustain. Energy Rev. 2016, 58, 429–438. [Google Scholar] [CrossRef]
- Tawfik, A.; Mohsen, M.; Ismail, S.; Alhajeri, N.S.; Osman, A.I.; Rooney, D.W. Methods to alleviate the inhibition of sludge anaerobic digestion by emerging contaminants: A review. Environ. Chem. Lett. 2022, 20, 3811–3836. [Google Scholar] [CrossRef]
- Zhao, C.; Liu, H.; Zhang, X.; Li, Y.; Shi, M.; Huang, F.; Dong, L.; Wen, J.; Liu, H. Humic acids promotion or inhibition of sludge anaerobic digestion depends on their redox potentials. Chem. Eng. J. 2023, 464, 142653. [Google Scholar] [CrossRef]
- Liang, T.; Elmaadawy, K.; Liu, B.; Hu, J.; Hou, H.; Yang, J. Anaerobic fermentation of waste activated sludge for volatile fatty acid production: Recent updates of pre-treatment methods and the potential effect of humic and nutrients substances. Process Saf. Environ. Prot. 2021, 145, 321–339. [Google Scholar] [CrossRef]
- Zhu, Y.; Zhai, Y.; Li, S.; Liu, X.; Wang, B.; Liu, X.; Fan, Y.; Shi, H.; Li, C.; Zhu, Y. Thermal treatment of sewage sludge: A comparative review of the conversion principle, recovery methods and bioavailability-predicting of phosphorus. Chemosphere 2022, 291, 133053. [Google Scholar] [CrossRef] [PubMed]
- Gao, N.; Kamran, K.; Quan, C.; Williams, P.T. Thermochemical conversion of sewage sludge: A critical review. Prog. Energy Combust. Sci. 2020, 79, 100843. [Google Scholar] [CrossRef]
- Fang, L.; Li, J.S.; Guo, M.Z.; Cheeseman, C.R.; Tsang, D.C.W.; Donatello, S.; Poon, C.S. Phosphorus recovery and leaching of trace elements from incinerated sewage sludge ash (ISSA). Chemosphere 2018, 193, 278–287. [Google Scholar] [CrossRef]
- Zhang, Y.; Zhang, P.; Ma, B.; Wu, H.; Zhang, S.; Xu, X. Sewage sludge disintegration by high-pressure homogenization: A sludge disintegration model. J. Environ. Sci. 2012, 24, 814–820. [Google Scholar] [CrossRef]
- Yin, G.; Liao, P.H.; Lo, K.V. An ozone/hydrogen peroxide/microwave-enhanced advanced oxidation process for sewage sludge treatment. J. Environ. Sci. Health Part A 2007, 42, 1177–1181. [Google Scholar] [CrossRef]
- Yin, G.Q.; Liao, P.H.; Lo, K.V. Sewage sludge treatment using microwave-enhanced advanced oxidation process. J. Environ. Sci. Health Part A 2008, 43, 191–201. [Google Scholar] [CrossRef]
- Balasundaram, G.; Vidyarthi, P.K.; Gahlot, P.; Arora, P.; Kumar, V.; Kumar, M.; Kazmi, A.; Tyagi, V.K. Energy feasibility and life cycle assessment of sludge pretreatment methods for advanced anaerobic digestion. Bioresour. Technol. 2022, 357, 127345. [Google Scholar] [CrossRef]
- Zheng, K.; Wang, Y.; Wang, X.; Zhu, T.; Chen, X.; Zhao, Y.; Sun, P.; Tong, Y.; Liu, Y. Enhanced methane production from anaerobic digestion of waste activated sludge by combining ultrasound with potassium permanganate pretreatment. Sci. Total Environ. 2023, 857, 159331. [Google Scholar] [CrossRef]
- Bozkurt, Y.C.; Apul, O.G. Critical review for microwave pretreatment of waste-activated sludge prior to anaerobic digestion. Curr. Opin. Environ. Sci. Health 2020, 14, 1–9. [Google Scholar] [CrossRef]
- Xi, S.; Dong, X.; Lin, Q.; Li, X.; Ma, J.; Zan, F.; Biswal, B.K.; Awasthi, M.K.; Wang, Z.; Chen, G.; et al. Enhancing anaerobic fermentation of waste activated sludge by investigating multiple electrochemical pretreatment conditions: Performance, modeling and microbial dynamics. Bioresour. Technol. 2022, 368, 128364. [Google Scholar] [CrossRef] [PubMed]
- Du, H.; Wu, Y.; Wu, H.; Li, F. Effect of ozone pretreatment on characteristics of dissolved organic matter formed in aerobic and anaerobic digestion of waste activated sludge. Environ. Sci. Pollut. Res. 2021, 28, 2779–2790. [Google Scholar] [CrossRef] [PubMed]
- Wang, D.; He, D.; Liu, X.; Xu, Q.; Yang, Q.; Li, X.; Liu, Y.; Wang, Q.; Ni, B.J.; Li, H. The underlying mechanism of calcium peroxide pretreatment enhancing methane production from anaerobic digestion of waste activated sludge. Water Res. 2019, 164, 114934. [Google Scholar] [CrossRef] [PubMed]
- Hernández-Chover, V.; Bellver-Domingo, Á.; Hernández-Sancho, F. The influence of oversizing on maintenance cost in wastewater treatment plants. Process Saf. Environ. Prot. 2021, 147, 734–741. [Google Scholar] [CrossRef]
- Le Pera, A.; Sellaro, M.; Pellegrino, C.; Limonti, C.; Siciliano, A. Combined Pre-Treatment Technologies for Cleaning Biogas before Its Upgrading to Biomethane: An Italian Full-Scale Anaerobic Digester Case Study. Appl. Sci. 2024, 14, 2053. [Google Scholar] [CrossRef]
- Ibarra-Esparza, F.E.; González-López, M.E.; Ibarra-Esparza, J.; Lara-Topete, G.O.; Senés-Guerrero, C.; Cansdale, A.; Forrester, S.; Chong, J.P.; Gradilla-Hernández, M.S. Implementation of anaerobic digestion for valorizing the organic fraction of municipal solid waste in developing countries: Technical insights from a systematic review. J. Environ. Manag. 2023, 347, 118993. [Google Scholar] [CrossRef]
- Khan, A.H.; López-Maldonado, E.A.; Khan, N.A.; Villarreal-Gómez, L.J.; Munshi, F.M.; Alsabhan, A.H.; Perveen, K. Current solid waste management strategies and energy recovery in developing countries-State of art review. Chemosphere 2022, 291, 133088. [Google Scholar] [CrossRef]
- Franca, L.S.; Bassin, J.P. The role of dry anaerobic digestion in the treatment of the organic fraction of municipal solid waste: A systematic review. Biomass Bioenergy 2020, 143, 105866. [Google Scholar] [CrossRef]
- O’Connor, J.; Mickan, B.S.; Rinklebe, J.; Song, H.; Siddique, K.H.; Wang, H.; Kirkham, M.B.; Bolan, N.S. Environmental implications, potential value, and future of food-waste anaerobic digestate management: A review. J. Environ. Manag. 2022, 318, 115519. [Google Scholar] [CrossRef]
- Liu, M.; Ogunmoroti, A.; Liu, W.; Li, M.; Bi, M.; Liu, W.; Cui, Z. Assessment and projection of environmental impacts of food waste treatment in China from life cycle perspectives. Sci. Total Environ. 2022, 807, 150751. [Google Scholar] [CrossRef]
- Dalke, R.; Demro, D.; Khalid, Y.; Wu, H.; Urgun-Demirtas, M. Current status of anaerobic digestion of food waste in the United States. Renew. Sustain. Energy Rev. 2021, 151, 111554. [Google Scholar] [CrossRef]
- Zhen, G.; Lu, X.; Kato, H.; Zhao, Y.; Li, Y.Y. Overview of pre-treatment strategies for enhancing sewage sludge disintegration and subsequent anaerobic digestion: Current advances, full-scale application and future perspectives. Renew. Sustain. Energy Rev. 2017, 69, 559–577. [Google Scholar] [CrossRef]
- Siciliano, A.; Limonti, C.; Curcio, G.M. Improvement of Biomethane Production from Organic Fraction of Municipal Solid Waste (OFMSW) through Alkaline Hydrogen Peroxide (AHP) Pre-treatment. Fermentation 2021, 7, 197. [Google Scholar] [CrossRef]
- APHA. Standard Methods for the Examination of Water and Wastewater, 20th ed.; American Public Health Association and Water Environment Federation: Washington, DC, USA, 1998. [Google Scholar]
- Tian, G.; Xi, J.; Yeung, M.; Ren, G. Characteristics and mechanisms of H2S production in anaerobic digestion of food waste. Sci. Total Environ. 2020, 724, 137977. [Google Scholar] [CrossRef]
- Ministry of Environment and Energy Safety, Biomethane Law. Available online: https://www.mase.gov.it/sites/default/files/archivio/allegati/PNRR/dm_0000340_15-09-2022.pdf (accessed on 23 October 2024).
- Higher Institute for Environmental Protection and Research of Italy, Waste Register Year 2022. Available online: https://www.catasto-rifiuti.isprambiente.it/index.php?pg=ru (accessed on 23 October 2024).
- Domini, M.; Abbà, A.; Bertanza, G. Analysis of the variation of costs for sewage sludge transport, recovery and disposal in Northern Italy: A recent survey (2015–2021). Water Sci. Technol. 2022, 85, 1167–1175. [Google Scholar] [CrossRef]
- Ferrentino, R.; Langone, M.; Fiori, L.; Andreottola, G. Full-scale sewage sludge reduction technologies: A review with a focus on energy consumption. Water 2023, 15, 615. [Google Scholar] [CrossRef]









| Mix | Digestate | OFMSW | DSS | RDO | Sample Weight |
|---|---|---|---|---|---|
| [%] | [%] | [%] | [-] | [g] | |
| Mix-1 | 100 | / | / | / | 70.6 |
| Mix-2 | 70 | 30 | 0 | 0 | 100.7 |
| Mix-3 | 70 | 28.5 | 1.5 | 0.05 | 100.5 |
| Mix-4 | 70 | 27 | 3 | 0.1 | 101.2 |
| Mix-5 | 70 | 25 | 5 | 0.2 | 100.8 |
| Mix-6 | 70 | 22.5 | 7.5 | 0.3 | 101.1 |
| Mix-7 | 70 | 20 | 10 | 0.5 | 101.9 |
| Parameter | U.M. | Digestate | OFMSW | DSS |
|---|---|---|---|---|
| pH | [-] | 7.6 | 4.3 | 6.4 |
| COD | [g/kg] | 125.7 | 382.1 | 276.9 |
| TS | [g/kg] | 190.6 | 290 | 232.9 |
| VS | [g/kg] | 85.9 | 235.5 | 168.5 |
| VS/TS | [%] | 45 | 81 | 72 |
| VFA | [gCH3COOH/kg] | 7.9 | 5.6 | 10.2 |
| Alk | [gCaCO3/kg] | 19.3 | 16.2 | 19 |
| VFA/Alk | [-] | 0.41 | 0.35 | 0.54 |
| N-NH4+ | [g/kg] | 3.48 | 0.74 | 4.33 |
| P-PO43− | [mg/kg] | 145 | 498 | 465 |
| Mg | [mg/kg] | 930 | 960 | 480 |
| Cu | [mg/kg] | 8 | 7 | 19 |
| Zn | [mg/kg] | 21 | 15 | 100 |
| Fe | [mg/kg] | 521 | 448 | 795 |
| Pb | [mg/kg] | - | - | 11 |
| Ni | [mg/kg] | - | - | - |
| Mn | [mg/kg] | 28 | 21 | 17 |
| Cr | [mg/kg] | - | - | - |
| Co | [mg/kg] | 0.11 | - | 0.23 |
| n | Parameter | U.M. | Mix-2 | Mix-3 | Mix-4 | Mix-5 | Mix-6 | Mix-7 |
|---|---|---|---|---|---|---|---|---|
| 1 | P | mLCH4/gVS | 458 | 389 | 385 | 398 | 365 | 352 |
| Rm | mLCH4/gVS d | 25.3 | 20.5 | 18.6 | 16.1 | 15.3 | 14.8 | |
| λ | d | 6.58 × 10 −8 | 9.02 × 10 −9 | 9.71 × 10 −10 | 1.32 × 10 −10 | 1.01 × 10 −10 | 2.22 × 10 −14 | |
| R2 | - | 0.9852 | 0.9885 | 0.9913 | 0.9936 | 0.9846 | 0.9598 | |
| 2 | P1 | mLCH4/gVS | 276.6 | 259 | 274.8 | 186.5 | 193.6 | 83.98 |
| Rm1 | mLCH4/gVS d | 30.21 | 38.22 | 17.73 | 6.47 | 5.68 | 4.23 | |
| λ1 | d | 0.8167 | 0.8089 | 0.1 | 1.603 | 0.1 | 11.18 | |
| P2 | mLCH4/gVS | 201.3 | 174.7 | 158.7 | 184.6 | 213.2 | 229.5 | |
| Rm2 | mLCH4/gVS d | 6.558 | 5.472 | 3.62 | 16.08 | 9.406 | 24.61 | |
| λ2 | d | 3.758 | 4.585 | 0.62 | 0.1 | 0.1 | 0.6426 | |
| R2 | - | 0.9962 | 0.9988 | 0.9956 | 0.9976 | 0.9966 | 0.9973 | |
| 3 | P1 | mLCH4/gVS | 180.8 | 252.5 | 165 | 70.4 | 39.5 | 153.9 |
| Rm1 | mLCH4/gVS d | 7.981 | 38.07 | 4.998 | 15.97 | 28.39 | 7.028 | |
| λ1 | d | 5.337 | 0.8348 | 0.9682 | 0.05004 | 4.856 | 4.464 | |
| P2 | mLCH4/gVS | 253.6 | 170.5 | 238.2 | 170.9 | 308.7 | 84.17 | |
| Rm2 | mLCH4/gVS d | 1.554 | 5.671 | 14.62 | 12.23 | 11.71 | 25.28 | |
| λ2 | d | 40.79 | 3.8 | 0.00811 | 2.48 | 5.624 | 4.425 | |
| P3 | mLCH4/gVS | 264.7 | 7.768 | 14.63 | 131.6 | 54.9 | 75.18 | |
| Rm3 | mLCH4/gVS d | 31.41 | 2.152 | 6.818 | 3.867 | 37.49 | 24.7 | |
| λ3 | d | 0.7008 | 32.22 | 1.162 | 1.534 | 0.6425 | 0.4019 | |
| R2 | - | 0.9964 | 0.9989 | 0.995 | 0.9982 | 0.9973 | 0.9983 |
| RDO | / | 0 | 0.1 |
|---|---|---|---|
| TS | [kgTS/ton] | 282.26 | 293.21 |
| VS/TS | [kgVS/kgTS] | 0.797 | 0.716 |
| SMP | m3CH4/kgVS | 0.47 | 0.44 |
| Feed Composition | MP | PI | PA | GP |
|---|---|---|---|---|
| m3CH4/ton | EUR/ton | EUR/ton | EUR/ton | |
| RDO = 0 | 106 | 63.6 | 38.5 | 102 |
| RDO = 0.1 | 92.3 | 55.4 | 52.6 | 108 |
Disclaimer/Publisher’s Note: The statements, opinions and data contained in all publications are solely those of the individual author(s) and contributor(s) and not of MDPI and/or the editor(s). MDPI and/or the editor(s) disclaim responsibility for any injury to people or property resulting from any ideas, methods, instructions or products referred to in the content. |
© 2024 by the authors. Licensee MDPI, Basel, Switzerland. This article is an open access article distributed under the terms and conditions of the Creative Commons Attribution (CC BY) license (https://creativecommons.org/licenses/by/4.0/).
Share and Cite
Limonti, C.; Le Pera, A.; Sellaro, M.; Grande, G.; Curcio, G.M.; Andreoli, T.; Aucancela Rivera, E.G.; Siciliano, A. Co-Digestion of Dehydrated Sewage Sludge (DSS) and Organic Fraction of Municipal Solid Waste (OFMSW): Analysis of the Process and Economic Evaluations. Fermentation 2024, 10, 600. https://doi.org/10.3390/fermentation10120600
Limonti C, Le Pera A, Sellaro M, Grande G, Curcio GM, Andreoli T, Aucancela Rivera EG, Siciliano A. Co-Digestion of Dehydrated Sewage Sludge (DSS) and Organic Fraction of Municipal Solid Waste (OFMSW): Analysis of the Process and Economic Evaluations. Fermentation. 2024; 10(12):600. https://doi.org/10.3390/fermentation10120600
Chicago/Turabian StyleLimonti, Carlo, Adolfo Le Pera, Miriam Sellaro, Giulia Grande, Giulia Maria Curcio, Tiziana Andreoli, Elvis Gribaldo Aucancela Rivera, and Alessio Siciliano. 2024. "Co-Digestion of Dehydrated Sewage Sludge (DSS) and Organic Fraction of Municipal Solid Waste (OFMSW): Analysis of the Process and Economic Evaluations" Fermentation 10, no. 12: 600. https://doi.org/10.3390/fermentation10120600
APA StyleLimonti, C., Le Pera, A., Sellaro, M., Grande, G., Curcio, G. M., Andreoli, T., Aucancela Rivera, E. G., & Siciliano, A. (2024). Co-Digestion of Dehydrated Sewage Sludge (DSS) and Organic Fraction of Municipal Solid Waste (OFMSW): Analysis of the Process and Economic Evaluations. Fermentation, 10(12), 600. https://doi.org/10.3390/fermentation10120600

