Lactic Acid Production from Distiller’s Dried Grains Dilute Acid Hydrolysates
Abstract
1. Introduction
2. Materials and Methods
2.1. Distiller’s Dried Grains with Solubles
2.2. DDGS Pretreatment
- Alkali treatment: concentration from 1% to 20% (w/w), temperature from 20 °C to 150 °C, solid-to-liquid ratio from 1:5 to 1:20 (w/w), and time from a few minutes to several hours;
- Dilute acid treatment: concentration from 0.5% to 5% (w/w), temperature between 120 °C and 200 °C, time from a few minutes to several hours, and solid-to-liquid ratio from 1:5 to 1:20 (w/w);
- Enzyme treatment: enzyme concentration from 10 to 50 U/g dry biomass. Biomass concentration: higher substrate concentrations usually increase productivity but may lead to enzyme inhibition from products, temperature from 45 °C to 55 °C, pH from 4.8 to 5.5, optimal for the used enzyme, and time commonly from 24 to 72 h but can be prolonged to several days for complete hydrolysis.
2.2.1. Alkaline Pretreatment
2.2.2. Acid Pretreatment
2.2.3. Enzyme Pretreatment
2.2.4. Microorganism
2.2.5. Lactose and DDGS Hydrolysates Fermentation
2.3. Analysis
2.4. Mathematical Modeling
2.5. Statistical Analysis
3. Results and Discussion
3.1. Alkaline Treatment
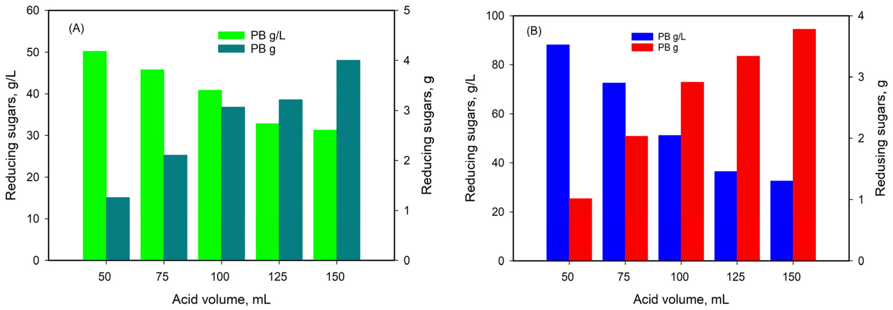
3.2. Acid Hydrolysis
3.3. Enzyme Hydrolysis
3.4. Fermentation
3.5. Process Modeling
4. Conclusions
Author Contributions
Funding
Institutional Review Board Statement
Informed Consent Statement
Data Availability Statement
Conflicts of Interest
References
- Available online: https://ethanolrfa.org/markets-and-statistics/annual-ethanol-production (accessed on 21 May 2024).
- Shad, Z.M.; Venkitasamy, C.; Wen, Z. Corn distillers dried grains with solubles: Production, properties, and potential uses. Cereal Chem. 2021, 98, 999–1019. [Google Scholar] [CrossRef]
- Chatzifragkou, A.; Kosik, O.; Prabhakumari, P.C.; Lovegrove, A.; Frazier, R.A.; Shewry, P.R.; Charalampopoulos, D. Biorefinery strategies for upgrading Distillers’ Dried Grains with Solubles (DDGS). Process Biochem. 2015, 50, 2194–2207. [Google Scholar] [CrossRef]
- Iram, A.; Cekmecelioglu, D.; Demirci, A. Distillers’ dried grains with solubles (DDGS) and its potential as fermentation feedstock. Appl. Microbiol. Biotechnol. 2020, 104, 6115–6128. [Google Scholar] [CrossRef] [PubMed]
- Liu, K. Chemical Composition of Distillers Grains, a Review. J. Agric. Food Chem. 2011, 59, 1508–1526. [Google Scholar] [CrossRef]
- Buenavista, R.E.; Siliveru, K.; Zheng, Y. Utilization of Distiller’s dried grains with solubles: A review. J. Agric. Food Res. 2021, 5, 100–195. [Google Scholar] [CrossRef]
- Ding, X.M.; Qi, Y.Y.; Zhang, K.Y.; Tian, G.; Bai, S.P.; Wang, J.P.; Peng, H.W.; Xuan, Y.; Zeng, Q.F. Corn distiller’s dried grains with solubles as an alternative ingredient to corn and soybean meal in Pekin duck diets based on its predicted AME and the evaluated standardized ideal digestibility of amino acids. Poult. Sci. 2022, 101, 101974. [Google Scholar] [CrossRef]
- Christopher, A.; Ostrander, J.; Mathew, J.; Sarkar, D.; Shetty, K. Corn distiller’s dried grains with solubles as a target for fermentation to improve bioactive functionality for animal feed and as a source for a novel microorganism with antibacterial activity. Front. Food. Sci. Technol. 2023, 3, 1075789. [Google Scholar] [CrossRef]
- Ray, G.W.; Li, X.; He, S.; Lin, H.; Yang, Q.; Tan, B.; Dong, X.; Chi, S.; Liu, H.; Zhang, S. A review on the use of distillers dried grains with solubles (DDGS) in aquaculture feeds. Ann. Anim. Sci. 2022, 22, 21–42. [Google Scholar] [CrossRef]
- Filipe, D.; Dias, M.; Magalhães, R.; Fernandes, H.; Salgado, J.; Belo, I.; Oliva-Teles, A.; Peres, H. Solid-State Fermentation of Distiller’s Dried Grains with Solubles Improves Digestibility for European Seabass (Dicentrarchus labrax) Juveniles. Fishes 2023, 8, 90. [Google Scholar] [CrossRef]
- Li, X.; Wang, C.; Krishnan, P.G. Effects of corn distillers dried grains on dough properties and quality of Chinese steamed bread. Food Sci. Nutr. 2020, 8, 3999–4008. [Google Scholar] [CrossRef]
- Saunders, J.A.; Rosentrater, K.A.; Krishnan, P.G. Analysis of Corn Distillers Dried Grains with Solubles (DDGS) / Flour Mixtures, and Subsequent Bread Baking Trials. J. Food Res. 2014, 3, 78–104. [Google Scholar] [CrossRef][Green Version]
- Chatzifragkou, A.; Charalampopoulos, D. Distiller’s dried grains with solubles (DDGS) and intermediate products as starting materials in biorefinery strategies. In Sustainable Recovery and Reutilization of Cereal Processing By-Products; Galanakis, C.M., Ed.; Elsevier: Amsterdam, The Netherlands, 2018; pp. 63–86. [Google Scholar]
- Gyenge, L.; Crognale, S.; Lányi, S.; Ábrahám, B.; Ráduly, B. Anaerobic digestion of corn-DDGS: Effect of pH control, agitation and batch repetition. UPB Sci. Bull. Ser. B 2014, 76, 163–172. [Google Scholar]
- Beschkov, V. Biogas, Biodiesel and Bioethanol as Multifunctional Renewable Fuels and Raw Materials. In Frontiers in Bioenergy and Biofuels; Jacob-Lopes, E., Zepka, L.Q., Eds.; InTech: Nappanee, IN, USA, 2017; pp. 186–305. [Google Scholar] [CrossRef]
- Houweling-Tan, B.; Sperber, B.; van der Wal, H.; Bakker, R.R.; López-Contreras, A.M. Barley Distillers Dried Grains with Solubles (DDGS) as Feedstock for Production of Acetone, Butanol and Ethanol. BAOJ Microbiol. 2016, 2, 013. [Google Scholar]
- Krasutsky, P.A.; Khotkevych, A.B. Co-Production of Biodiesel and an Enriched Food Product from Distillers Grans. U.S. Patent 7857872-B2, 28 December 2010. [Google Scholar]
- Bokhary, A.; Enriquez, A.F.; Garrison, R.; Ahring, B.K. Advancing Thermophilic Anaerobic Digestion of Corn Whole Stillage: Lignocellulose Decomposition and Microbial Community Characterization. Fermentation 2024, 10, 306. [Google Scholar] [CrossRef]
- Nelson, K.A.; Motavalli, P.P.; Smoot, R.L. Utility of dried distillers grain as a fertilizer source for corn. J. Agric. Sci. 2009, 1, 3–12. [Google Scholar] [CrossRef]
- Wang, Y.; Zhou, J.; Jiang, L.; Ulven, C.; Lubineau, G.; Liu, G.; Xiao, J. Development of Low-Cost DDGS-Based Activated Carbons and Their Applications in Environmental Remediation and High-Performance Electrodes for Supercapacitors. J. Polym. Environ. 2015, 23, 595–605. [Google Scholar] [CrossRef]
- Renil, A.; Sharara, M.A.; Runge, T.M.; Anex, R.P. Life cycle comparison of petroleum- and bio-based paper binder from distillers grains (DG). Ind. Crops Prod. 2017, 96, 1–7. [Google Scholar]
- Hou, Y.; Xiao, J.; Shen, J.; Gao, Q. Effects of distiller’s grains and seawater on properties of sintered brick made from construction spoil. J. Build. Eng. 2022, 62, 105391. [Google Scholar] [CrossRef]
- Zaini, N.A.M.; Chatzifragkou, A.; Tverezovskiy, V.; Charalampopoulos, D. Purification and polymerisation of microbial D-lactic acid from DDGS hydrolysates fermentation. Biochem. Eng. J. 2019, 150, 107265. [Google Scholar]
- Ingle, K.A.; Zamre, G.S.; Thorat, P.V. Study of Synthesis and characterization of Bio-composites from Poly (lactic acid) and DDGS. Int. J. Res. Publ. Rev. 2021, 2, 38–43. [Google Scholar]
- Iram, A.; Cekmecelioglu, D.; Demirci, A. Integrating 1G with 2G Bioethanol Production by Using Distillers’ Dried Grains with Solubles (DDGS) as the Feedstock for Lignocellulolytic Enzyme Production. Fermentation 2022, 8, 705. [Google Scholar] [CrossRef]
- Ilieva, B.I.; Danova, S.T.; Yankov, D.S. Immobilization of Lactiplantbacillus plantarum cells on distillery spent grains for lactic acid production. J. Chem. Technol. Metall. 2023, 58, 75–84. [Google Scholar]
- Kim, Y.; Hendrickson, R.; Mosier, N.S.; Ladisch, M.R.; Bals, B.; Balan, V.; Dale, B.E. Enzyme hydrolysis and ethanol fermentation of liquid hot water and AFEX pretreated distillers’ grains at high-solids loadings. Bioresour. Technol. 2008, 99, 5206–5215. [Google Scholar] [CrossRef] [PubMed]
- Zaini, N.A.M.; Chatzifragkou, A.; Charalampopoulos, D. Alkaline fractionation and enzymatic saccharification of wheat dried distillers grains with solubles (DDGS). Food Bioprod. Process. 2019, 118, 103–113. [Google Scholar] [CrossRef]
- Cekmecelioglu, D.; Demirci, A. Statistical Optimization Study on Dilute Sulfuric Acid Pretreatment of Distillers Dried Grains with Solubles (DDGS) as a Potential Feedstock for Fermentation Applications. Waste Biomass Valorization 2019, 10, 3243–3249. [Google Scholar] [CrossRef]
- Noureddini, H.; Byun, J. Dilute-acid pretreatment of distillers’ grains and corn fiber. Food Chem. 2012, 134, 1038–1043. [Google Scholar] [CrossRef]
- Iram, A.; Cekmecelioglu, D.; Demirci, A. Optimization of dilute sulfuric acid, aqueous ammonia, and steam explosion as the pretreatments steps for distillers’ dried grains with solubles as a potential fermentation feedstock. Bioresour. Technol. 2019, 282, 475–481. [Google Scholar] [CrossRef]
- Driessen, J.L.S.P.; Johnsen, J.; Pogrebnyakov, I.; Mohamed, E.T.T.; Mussatto, S.I.; Feist, A.M.; Jensen, S.I.; Nielsen, A.T. Adaptive laboratory evolution of Bacillus subtilis to overcome toxicity of lignocellulosic hydrolysate derived from Distiller’s dried grains with solubles (DDGS). Metab. Eng. Commun. 2023, 16, e00223. [Google Scholar] [CrossRef]
- Zaini, N.A.M.; Chatzifragkou, A.; Charalampopoulos, D. Microbial production of D-lactic acid from dried distiller’s grains with solubles. Eng. Life Sci. 2019, 19, 21–30. [Google Scholar] [CrossRef]
- Zaini, N.A.M.; Charalampopoulos, D.; Chatzifragkou, A. Lactic acid production from dried distiller’s grains with solubles hydrolysate via co-fermentation of Lactobacillus pentosus and Lactobacillus coryniformis. Malays. Appl. Biol. 2018, 47, 173–179. [Google Scholar]
- Krull, S.; Brock, S.; Prüße, U.; Kuenz, A. Hydrolyzed agricultural residues—Low-cost nutrient sources for l-lactic acid production. Fermentation 2020, 6, 97. [Google Scholar] [CrossRef]
- Liu, C.; Hu, B.; Chen, S.; Glass, R.W. Utilization of condensed distillers solubles as nutrient supplement for production of nisin and lactic acid from whey. Appl. Biochem. Biotechnol. 2007, 136–140, 875–884. [Google Scholar]
- Djukić-Vuković, A.P.; Mojović, L.V.; Vukašinović-Sekulić, M.S.; Rakin, M.B.; Nikolić, S.B.; Pejin, J.D.; Bulatovic, M.L. Effect of different fermentation parameters on L-lactic acid production from liquid distillery stillage. Food Chem. 2012, 134, 1038–1043. [Google Scholar] [CrossRef] [PubMed]
- Djukić-Vuković, A.P.; Mojović, L.V.; Jokić, B.M.; Nikolić, S.B.; Pejin, J.D. Lactic acid production on liquid distillery stillage by Lactobacillus rhamnosus immobilized onto zeolite. Bioresour. Technol. 2013, 135, 454–458. [Google Scholar] [CrossRef]
- Sen, S.; Borah, S.N.; Sarma, H.; Bora, A.; Deka, S. Utilization of distillers dried grains with solubles as a cheaper substrate for sophorolipid production by Rhodotorula babjevae YS3. J. Environ. Chem. Eng. 2021, 9, 105494. [Google Scholar] [CrossRef]
- Popova-Krumova, P.; Danova, S.; Atanasova, N.; Yankov, D. Lactic Acid Production by Lactiplantibacillus plantarum AC 11S—Kinetics and Modeling. Microorganisms 2024, 12, 739. [Google Scholar] [CrossRef]
- Yankov, D. Fermentative Lactic Acid Production From LignocellulosicFeedstocks: From Source to Purified Product. Front. Chem. 2022, 10, 823005. [Google Scholar] [CrossRef]
- Danova, S. Biodiversity and Probiotic Potential of Lactic Acid Bacteria from Different Ecological Niches. Ph.D. Thesis, The Stephan Angeloff Institute of Microbiology, Sofia, Bulgaria, 2015. [Google Scholar]
- Yankov, D.; Dobreva, E.; Beschkov, V.; Emanuilova, E. Study of optimum conditions and kinetics of starch 412 hydrolysis by means of thermostable α-amylase. Enzym. Microb. Technol. 1986, 8, 665–667. [Google Scholar] [CrossRef]
- Verhulst, P.-F. Notice sur la loi que la population suit dans son accroissement. Corr. Math. Phys. 1838, 10, 113–121. [Google Scholar]
- Luedeking, R.; Piret, E.L. A Kinetic Study of the Lactic Acid Fermentation. Batch Process at Controlled pH. J. Biochem. Microbiol. Technol. Eng. 1959, 1, 393–412. [Google Scholar] [CrossRef]
- Nghiem, N.P.; Montanti, J.; Kim, T.H. Pretreatment of dried distillers grains with solubles by soaking in aqueous ammonia and subsequent enzymatic/dilute acid hydrolysis to produce fermentable sugars. Appl. Biochem. Biotechnol. 2016, 179, 237–250. [Google Scholar] [CrossRef] [PubMed]
- Lagarias, J.C.; Reeds, J.A.; Wright, M.H.; Wright, P.E. Convergence Properties of the Nelder-Mead Simplex Method in Low Dimensions. SIAM J. Optim. 1998, 9, 112–147. [Google Scholar] [CrossRef]
- Fu, W.; Mathews, A.P. Lactic acid production from lactose by Lactobacillus plantarum: Kinetic model and effects of pH, substrate, and oxygen. Biochem. Eng. J. 1999, 3, 163–170. [Google Scholar] [CrossRef]
- Biazar, J.; Tango, M.; Babolian, E.; Islam, R. Solution of the kinetic modeling of lactic acid fermentation using Adomian decomposition method. Appl. Math. Comput. 2003, 144, 433–439. [Google Scholar] [CrossRef]











| Component | Percentage | Method |
|---|---|---|
| Moisture | 9.2 ± 0.6 | LAP-001 |
| Total solids | 90.8 ± 0.6 | LAP-001 |
| Total carbohydrates | 35.6 ± 1.6 | LAP-002 |
| Acid insoluble lignin | 13.2 ± 0.4 | LAP-003 |
| Acid soluble lignin | 26.2 ± 0.1 | LAP-004 |
| Ash | 4.7 ± 0.5 | LAP-005 |
| Extractives | 15.6 ± 1.2 | LAP-010 |
| Comparisons for Factor Type of Alkali | ||||
|---|---|---|---|---|
| Diff of Means | t | p | p < 0.050 | |
| NH4OH vs. NaOH | 0.495 | 1.664 | 0.195 | No |
| Comparisons for concentration | ||||
| 3.000 vs. Control | 7.060 | 16.783 | 0.003 | Yes |
| 2.000 vs. Control | 6.635 | 15.773 | 0.003 | Yes |
| 1.000 vs. Control | 5.995 | 14.252 | 0.003 | Yes |
| 3.000 vs. 1.000 | 1.065 | 2.532 | 0.235 | No |
| 2.000 vs. 1.000 | 0.640 | 1.521 | 0.4 | No |
| 3.000 vs. 2.000 | 0.425 | 1.010 | 0.387 | No |
| Comparisons for Factor Pressure | ||||
|---|---|---|---|---|
| Diff of Means | t | p | p < 0.050 | |
| 2.000 vs. 1.000 | 14.903 | 5.446 | <0.001 | Yes |
| Comparisons for factor time | ||||
| 60.000 vs. 15.000 | 20.149 | 6.013 | <0.001 | Yes |
| 60.000 vs. 30.000 | 12.424 | 3.707 | 0.003 | Yes |
| 30.000 vs. 15.000 | 7.725 | 2.305 | 0.034 | Yes |
| Comparisons for factor concentration | ||||
| 2.000 vs. 0.500 | 30.873 | 7.978 | <0.001 | Yes |
| 1.500 vs. 0.500 | 27.291 | 7.053 | <0.001 | Yes |
| 2.000 vs. 1.000 | 15.786 | 4.080 | 0.003 | Yes |
| 1.000 vs. 0.500 | 15.786 | 3.899 | 0.003 | Yes |
| 1.500 vs. 1.000 | 12.205 | 3.154 | 0.012 | Yes |
| 2.000 vs. 1.500 | 3.581 | 0.926 | 0.368 | No |
| Initial Substrate Concentrations (10, 20, 30 g/L) | Model Parameters | ||||||||||
|---|---|---|---|---|---|---|---|---|---|---|---|
| μmax, h−1 | Xmax, g dm−3 | n | YX/S [—} | YP/S [—} | α, h−1 | β, h−1 | Q | R2 | RMSE | RSS | |
| 0.2402 | 2.2447 | 1.7068 | 0.1647 | 4.3034 | 6.3202 | 0.0029 | 3.150 | 0.994 | 1.775 | 13.604 | |
| 0.2309 | 1.3693 | 0.9693 | 0.1798 | 5.2371 | 7.9996 | 0.0136 | 2.871 | 0.996 | 1.694 | 23.138 | |
| Initial Substrate Concentrations (10, 20, 30 g/L) | Model Parameters | ||||||||||
|---|---|---|---|---|---|---|---|---|---|---|---|
| μmax, h−1 | Xmax, g dm−3 | n | YX/S [—} | YP/S [—} | α, h−1 | β, h−1 | Q | R2 | RMSE | RSS | |
| 0.2539 | 3.7727 | 1.8228 | 0.1715 | 4.7211 | 5.6631 | 0.0044 | 3.521 | 0.966 | 1.876 | 52.573 | |
| 0.2415 | 1.906 | 1.2517 | 0.2566 | 2.1982 | 7.2765 | 0.0133 | 0.403 | 0.992 | 0.635 | 33.757 | |
Disclaimer/Publisher’s Note: The statements, opinions and data contained in all publications are solely those of the individual author(s) and contributor(s) and not of MDPI and/or the editor(s). MDPI and/or the editor(s) disclaim responsibility for any injury to people or property resulting from any ideas, methods, instructions or products referred to in the content. |
© 2024 by the authors. Licensee MDPI, Basel, Switzerland. This article is an open access article distributed under the terms and conditions of the Creative Commons Attribution (CC BY) license (https://creativecommons.org/licenses/by/4.0/).
Share and Cite
Naydenova, G.; Popova-Krumova, P.; Danova, S.; Yankov, D. Lactic Acid Production from Distiller’s Dried Grains Dilute Acid Hydrolysates. Fermentation 2024, 10, 581. https://doi.org/10.3390/fermentation10110581
Naydenova G, Popova-Krumova P, Danova S, Yankov D. Lactic Acid Production from Distiller’s Dried Grains Dilute Acid Hydrolysates. Fermentation. 2024; 10(11):581. https://doi.org/10.3390/fermentation10110581
Chicago/Turabian StyleNaydenova, Greta, Petya Popova-Krumova, Svetla Danova, and Dragomir Yankov. 2024. "Lactic Acid Production from Distiller’s Dried Grains Dilute Acid Hydrolysates" Fermentation 10, no. 11: 581. https://doi.org/10.3390/fermentation10110581
APA StyleNaydenova, G., Popova-Krumova, P., Danova, S., & Yankov, D. (2024). Lactic Acid Production from Distiller’s Dried Grains Dilute Acid Hydrolysates. Fermentation, 10(11), 581. https://doi.org/10.3390/fermentation10110581

