Abstract
The shortage of feed protein has plagued the development of the animal husbandry industry in China. In this study, a new three-stage fermentation technology for producing distillers’ grain feed protein was developed by introducing Aspergillus niger, yeast, and lactic acid bacteria. During the aerobic stage, there was a negative correlation between the reducing sugar content in the distillers’ grains and the amount of Aspergillus niger. The maximum reducing sugar concentration (36.89 mg g−1) was obtained when the oxygen supply was 30 mL min−1 and the fermentation time was two days. During the microaerophilic stage, the natural exchange of oxygen achieved optimal true protein enhancement (from 10.8% to 16.4%) among the three oxygen supply modes (natural exchange, forced ventilation, and filling supplement). During the anaerobic stage, lactic acid bacteria were inoculated for feed protein preservation and flavor enhancement. Our results provided insight and practical guidance for the high-value use of distillers’ grains.
1. Introduction
In China, intensive animal husbandry is rapidly developing. At the same time, the demand for feed protein in animal husbandry is also increasing daily. Soybeans and corn protein are the major sources of feed protein, and industrial feed production has reached 300 million tons. China is the world’s largest feed producer, and 450 million tons of feed was used for farming in 2021 alone. Because of a shortage of arable land, most of China’s land is now used to grow food crops rather than feed crops. As the demand for protein increases in the population, the livestock industry’s demand for feeding protein will be further stretched; China must to import 2712.92 million tons of corn and 9409 billion tons of soybeans. A large proportion of imported soya meal is used as feed. This means that there is an unmet demand for nearly 4649.15 million tons of protein, which has limited the development of husbandry to a certain extent [1]. Therefore, studies on new feed protein are imperative. In addition, there is an excess of ammonia production capacity in China. The conversion of carbon from organic waste and ammonia into feed protein through fermentation is consistent with the national strategy.
China is in the lead position in the world with regard to brewing technology. More than 20 million tons of distillers’ grains are produced annually [1]. Currently, the main utilization pathways of distillers’ grains are composting and anaerobic digestion to produce renewable energy. Distillers’ grains contain rich nutrients, such as proteins, amino acids, lipids, and beneficial substances secreted by microorganisms, such as acids, alcohols, and bioactive compounds [2,3]. Therefore, turning distillers’ grains into high-quality feed protein shows promise. Currently, only a small portion of distillers’ grains is used for feed production [4]. The reason for this may be that distillers’ grains contain a large amount of lignocellulose, which is difficult to convert into feed protein through fermentation.
Fungi, bacillus, yeasts, and lactic acid bacteria are the main microorganisms used to produce feed [5,6]. These microorganisms have diverse physiological characteristics. For example, fungi can decompose lignocellulose to produce sugars [7]. Yeasts produce various metabolites under different oxygen conditions. Under anaerobic conditions, alcohol is primarily generated, whereas a large amount of CO2 is generated under aerobic conditions [8]. Lactic acid bacteria can only maintain a low pH and acceptable flavor for fermented feed under anaerobic conditions [9]. However, current solid-state fermentation in triangular vials used in the lab or breathing bag fermentation used in factories do not consider the oxygen demand of the various microorganisms or the precise supply of oxygen. In addition, the mixing of microorganisms during one-stage fermentation is a common fermenting process. Using this method, there is obvious competition between microorganisms with different characteristics, which leads to low fermentation efficiency and the inability to achieve ideal results [10]. Therefore, segmented fermentation based on the function of microorganisms may be a more effective approach to optimize the effects of various microorganisms [10].
In the present study, we divided the feed protein production process into three stages: aerobic, microaerophilic, and anaerobic stages. For the aerobic stage, Aspergillus niger was used to decompose lignocellulose in distillers’ grains to provide sugar for yeast growth. In the microaerophilic stage, yeast was used to convert the sugar and urea to increase the protein content in the distillers’ grains. For the anaerobic stage, lactic acid bacteria of different metabolic types were used to improve the flavor of the feed and facilitate feed storage. The three-stage distillers’ grains protein fermentation process was established to provide a theoretical basis and practical reference for the high-value utilization of distillers’ grains in China.
2. Materials and Methods
2.1. Raw Materials and Strains
Distillers’ grain was obtained from Luzhou Laojiao (Luzhou City, Sichuan Province, China) and transported to the North Campus of Zhengzhou University for storage at −20 °C until use. The true protein, fat, crude fiber, moisture, and ash content were 10.81 ± 0.14%, 4.11 ± 0.23%, 25.89 ± 0.18%, 58.44 ± 0.63%, and 12.46 ± 0.12%, respectively. Before the experiment, the distillers’ grains were dried at 105 °C. The dry distillers’ grains were pulverized using a pulverizer (CLF-102, Founding Medicinal Instrument Factory, Wenling, China) and passed through a 0.45 mm sieve. The strains used in the experiments were Aspergillus niger, Saccharomyces cerevisiae, Candida utilis, Rhodotorula benthica, Streptococcus thermophilus, Lactobacillus paracasei, and Lactobacillus fermentum. They were obtained from the National Engineering Research Center for Biotechnology (Nanjing Tech University, Nanjing, Jiangsu Province, China).
2.2. Experimental Design
2.2.1. Experimental Design of Aerobic Stage
For the aerobic stage, Aspergillus niger was inoculated in a solid PDA medium (Solarbio, Beijing, China), and spore suspensions were eluted using 0.05% (w/w) Tween. The crushed distillers’ grains were inoculated with Aspergillus niger spores at a concentration of 4 × 106 CFU g−1 (dry matter basis). The moisture content was adjusted to 55% and fermentation was carried out at 30 °C in a 500 mL blue cap bottle containing 370 g of distillers’ grains. In this batch experiment, five groups were established based on different oxygen supply statuses and included rubber stopper sealing, breathable hole sealing film, and a forced oxygen supply with aeration rates of 10, 30, and 50 mL min−1. The airflow rate was controlled by a rotor flowmeter (LZB-WB, bicyclic, Changzhou, China). The fermentation period was 7 days, and samples were taken on days 0, 1, 2, 4, and 7. The samples were divided into two parts. One part was stored at −80 °C until the next stage of use or used for other purposes, whereas the other part was used directly for analysis at the end of the fermentation.
2.2.2. Experimental Design of Microaerophilic Stage
In the second stage, three oxygen supply methods were established, including forced ventilation, natural exchange, and filling supplements. Liquid YPD medium (Solarbio, Beijing, China) was used to activate Candida utilis, Rhodotorula benthica, and Saccharomyces cerevisiae. The distillers’ grains used for the microaerophilic stage originated from the aerobic stage with an aeration rate of 30 mL min−1 and were fermented for 2 days. Distillers’ grains were dried at 105 °C and then divided into two parts. One part was adjusted to pH 5.6 ± 0.2 using 5 mol L−1 NaOH and the other part was not pH-adjusted. The distillers’ grains were sterilized and the moisture content was adjusted to 50%. Candida utilis, Rhodotorula benthica, and Saccharomyces cerevisiae were inoculated into the distillers’ grains at a proportion of 6% (wet weight basis). Then, approximately 1.0% urea (wet weight basis) and 1% brown sugar (wet weight basis) were added to the distillers’ grains. For the forced ventilation experiment, approximately 400 g of distillers’ grains was loaded into each reactor in a volume of 500 mL. The fermentation temperature and time were set to 30 °C and 7 days. The airflow rate was set to 50 mL min−1 and the ventilation conditions were set to stop ventilation for 10 min every 1, 4, 8, 16, and 32 h. The natural conditions using a breathable hole sealing film served as the control, which was regulated by a rotameter (LZB-WB, bicyclic, Changzhou, China). Treatment of the sealing with breathable hole sealing film was used as the control group. For the natural exchange experiment, triangular bottles with 100 mL working volumes were loaded with various amounts of distillers’ grains (30 g, 60 g, 80 g, 90 g, and 120 g) to generate different oxygen supply statuses and were treated separately as different groups. The fermentation temperature and time were set to 30 °C and 7 days. For the filling supplement experiment, the procedure involved the addition of fillers and triangular bottles with 100 mL working volumes loaded with 80 g of distillers’ grains as the fermentation system. Different quantities of fillers (5, 15, and 30) were added to the fermentation system as different treatment groups. The fermentation temperature and time were set to 30 °C and 7 days. After determining the optimal number of fillers, other fermentation conditions (urea addition, water content, and fermentation time) were evaluated. The water content was set at 40%, 45%, 50%, 55%, and 60%. The amount of urea added was 0%, 0.5%, 1%, 1.5%, 2%, and 3% (wet weight basis). The fermentation time was 1, 3, 5, 7, 9, 11, and 14 days. After fermentation, the samples were divided into two parts, one of which was immediately removed and used for the assay, while the other part was stored at −80 °C until the next stage of the experiment.
2.2.3. Experimental Design of Anaerobic Stage
The distillers’ grains from the fermentation under optimal conditions in the second stage were dried and crushed at 105 °C and sieved through a 40-mesh sieve. The pH was adjusted to 5.6 ± 0.2. Streptococcus thermophilus, Lactobacillus paracasei, and Lactobacillus fermentum were selected as the fermentation strains and were activated in MRS liquid medium (Solarbio, Beijing, China). They were inoculated into the distillers’ grains at a 6% proportion (wet weight basis). The moisture content of the fermentation system was adjusted to 50%, and 2% brown sugar (wet weight basis) was added to the fermentation system. The digestion temperature was 37 °C. The samples were taken on day 0 and the 3rd, 7th, 15th, 30th, 45th, 60th, and 90th days for the analysis of key parameters, microbial composition, and the metabolome.
2.3. Measurement Methods of Key Parameters
2.3.1. Method for Determination of Lignocellulose Content
The lignocellulose content of the distillers’ grains and fermented samples was determined using the standard method of the National Renewable Energy Laboratory. An approximately 0.3 g sample was taken and treated with 72% H2SO4 (w/w) at 30 °C for 1 h. Then, Mili-Q was added to the system to adjust the H2SO4 concentration to 4% (w/w). The sample was treated at 121 °C for 1 h. Glucose, xylose, and arabinose concentrations were measured by high-performance liquid chromatography (1260, Agilent, Santa Clara, CA, USA). The specific procedures are described in the literature [11].
2.3.2. Method for Measuring Filter Paper Enzyme Activity
Approximately 10 g of sample and 50 mL of 0.1 mol/L citrate buffer solution were added to a conical flask, mixed well, and shaken at 200 rpm at 25 °C for 30 min. After shaking, 30 mL of the solution was sucked into a 50 mL centrifuge tube and centrifuged at 8000 rpm at 4 °C for 10 min. The supernatant was collected for enzyme activity determination. Whatman filter paper (1.0 × 6 cm), 1.5 mL of 0.1 moL/L citrate buffer, and 0.5 mL of supernatant were added to a 25 mL colorimeter tube, followed by incubation in a 50 °C water bath for 30 min. For the control, 0.5 mL of supernatant was inactivated. Approximately 3 mL of DNS reagent was added after incubation. The reactor system was treated using a boiling water bath for 10 min. After cooling to room temperature, the volume was adjusted to 25 mL. The absorbance was measured at 540 nm. The filter paper enzyme activity was expressed as X (U/g) and calculated as follows:
where m is the difference in glucose between the experimental and control groups; M is 108.2 g mol−1; t is the reaction time; n is the fold dilution; 1000 is the conversion factor; and V: 0.5 mL [11].
2.3.3. Method for Determination of Reducing Sugar Content
Total reducing sugars were analyzed by the DNS (3,5-dinitrosalicylic acid) method [12].
2.3.4. Method for Determination of Protein Content (True Protein and Crude Protein)
The nitrogen content in the distillers’ grains and fermented samples was determined by the Kjeldahl method. The results were multiplied by a coefficient (6.25) to convert the crude protein content. The true protein content was determined by the copper sulfate precipitation method. Specifically, 0.5000 g of sample was added to 75 mL of water and boiled for 30 min. Then, 20 mL of 2.5% NaOH and 20 mL of 10% CuSO4 were added, and the reaction continued to boil for 5 min. After cooling, the sample was filtered through filter paper and rinsed with warm water at 80 °C until the filtrate could not make the 10% BaCl2 solution turbid. The eluted solid was dried in an oven at 65 °C for 12 h. The nitrogen content was determined by the Kjeldahl method, and the value was multiplied by a factor of 6.25 to obtain the true protein content of the sample [11].
2.3.5. Method for Determination of the Amino Acid Composition
The sample (50–200 mg) was placed into a hydrolysis tube and 10 mL of 6 M HCl was added. The mixture was hydrolyzed at 110 °C for 22–24 h. Following hydrolysis, the sample was cooled to room temperature and filtered through a 0.45 μm membrane in a 50 mL volumetric flask. A portion of the sample was aspirated into a 2 mL aliquot from the 50 mL volumetric flask. This aliquot was deacidified using a rotary evaporator and dried at 45 °C until only a few solids or traces remained at the bottom of the flask. Then, 2 mL of sample buffer was added to fully solubilize the residue, followed by filtration through a 0.45 μm filter. Finally, the samples were analyzed using an amino acid analyzer (Biochrom 30+, Biochrom, Cambridge, UK) [13].
2.3.6. Method for Measuring Organic Acids and pH
Acetic acid and lactic acid were measured by gas chromatography (GC-8890, Agilent, CA, USA) and high-performance liquid chromatography (1260, Agilent, CA, USA), respectively, as described in the literature [14]. For the measurement of pH, the samples were mixed with purified water at a ratio of 1:9, and the pH values were measured with a pH meter (PHS-3E, Shanghai Leimagnet Co., Ltd., Shanghai, China).
2.3.7. Absolute Quantitative Method for Microorganisms
In this study, Aspergillus niger was absolutely quantified. Total fungal DNA was extracted from the sample using the Fungal Genomic DNA Extraction Kit (B518229-0050, Sangon Biotech, Shanghai, China). The extracted Aspergillus niger DNA was sequenced. The conserved gene sequence of Aspergillus niger was obtained from the sequencing data. PCR primers were designed using Primer v5.0 software (Premier, DE, USA). The forward primer sequence was 5′-GTCAAAGGCCCCTGGAATGT-3′. The reverse primer sequence was 3′-ACGACCATTATGCCAGCGTC-5′. Blast analysis was carried out to select the primer sequences with strong specificity. The primers were synthesized by Sangon Biotech. Purified PCR products were obtained by amplification using the synthesized primers. The purified PCR product was used as a template for vector ligation using T4 DNA Ligase (EL0011, Thermo Scientific, Waltham, MA, USA). Following ligation, the products were inoculated into an LB solid medium containing kanamycin resistance. The recombinant plasmid DNA was extracted and sequenced. The correctly sequenced recombinant plasmid was used as a standard sample, and its concentration was measured using a nucleic acid quantitation assay (NanoDrop OneC, Thermo Scientific, USA). The original plasmid copy number was calculated based on Equation (1), as follows:
where N is the copy number of the plasmid, C is the mass concentration of the plasmid, and DNA length is the sum of the fragment length of the vector (2692 bp) and the length of the target fragment.
Genomic DNA was extracted from the samples and standard plasmid using the phenol–isoamyl alcohol–chloroform method [15]. DNA from the sample and standard plasmid were used as a template for the experimental treatment and the positive control. For the negative control, DNA was replaced with sterile ddH2O. A standard curve was plotted using the logarithm of the copy number of the positive control as the horizontal coordinate and the number of initial cycles of the fluorescence signal (Ct value) as the vertical coordinate. qPCR was performed using a fluorescence quantitative PCR instrument (QuantStudio 3, Thermo Scientific, MA, USA). The 10 μL reaction mixture contained 1 μL of DNA template, 5 μL of 2 × Power Up SYBR Green Master Mix, 0.5 μL of 10 μM forward primer, 0.5 μL of 10 μM reverse primer, and 2 μL of ddH2O. qPCR was run on a 96-well plate. The qPCR reaction consisted of four phases: a pre-denaturation phase (95 °C for 15 min), denaturation phase (95 °C for 10 s), annealing phase (55 °C for 30 s), and extension phase (72 °C for 40 s). Three replicates were run for each sample [16].
2.3.8. Determination Methods for Metabolite Content and Microbial Composition
Metabolite content was measured by liquid chromatography–mass spectrometry [16]. Microbial composition was determined using a 16S rRNA gene sequencing technique as described in the literature [17]. The raw data were uploaded to the NCBI (https://www.ncbi.nlm.nih.gov/sra URL (accessed on 25 October 2024)). The SRA No were SRR30173683, SRR30173679, SRR30173682, SRR30173685, SRR30173690, SRR30173686, SRR30173689, SRR30173688, SRR30173687, SRR30173681, SRR30173684, and SRR30173680.
2.4. Data Analysis Methods
Plotting and data processing were performed on Excel 2016 (Microsoft, Redmond, WA, USA) and Origin 2023b. Correlation analysis was performed using SPSS 25.0 (IBM, Armonk, NY, USA). One-way ANOVA was used and the data were considered significant when the p-value was less than 0.05.
3. Results
3.1. The Effect of Aspergillus Niger Fermentation on Distillers’ Grains in the First Stage
3.1.1. The Effect of Oxygen Supply on Aspergillus Niger Growth
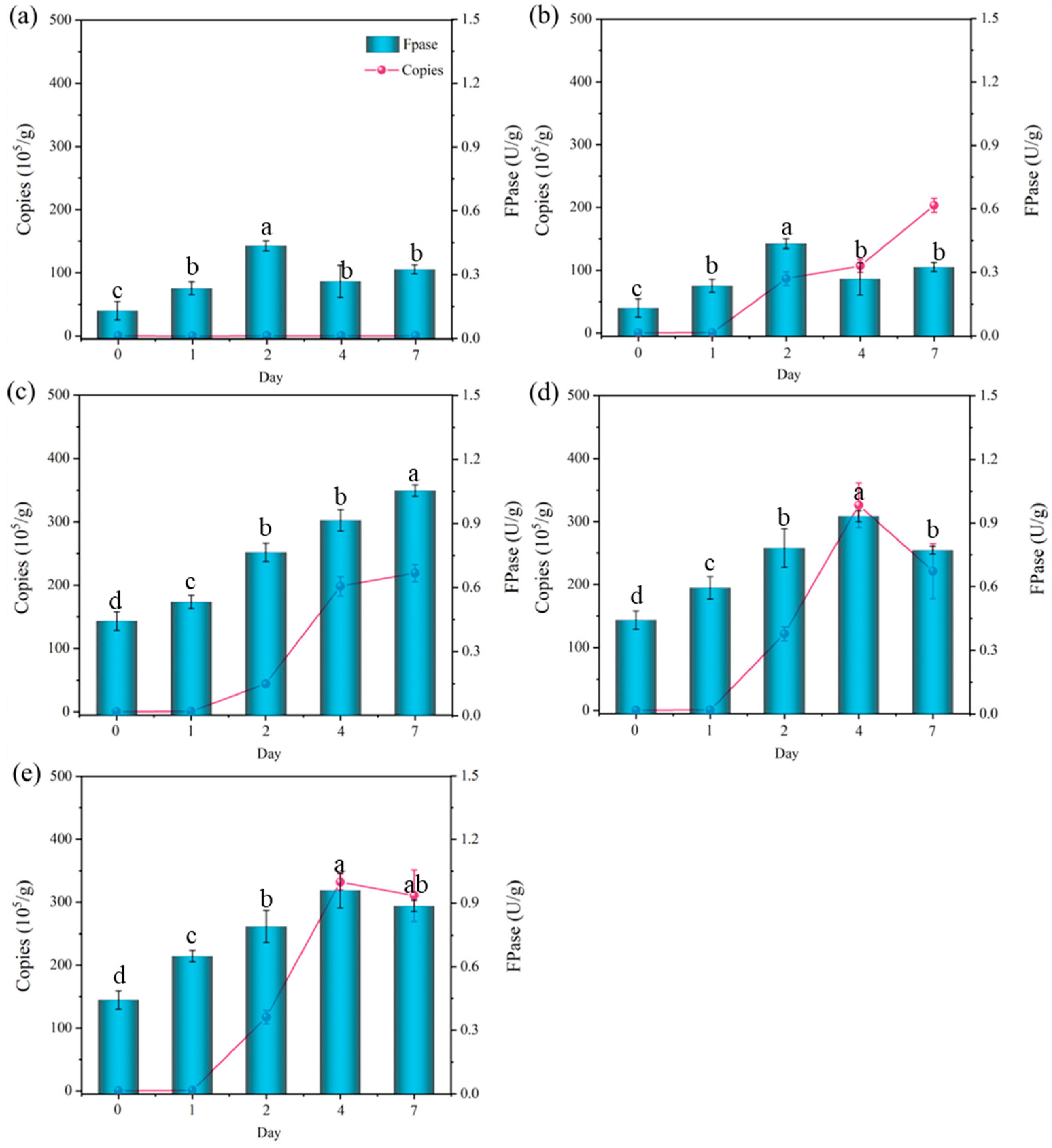
Figure 1 shows the changes in the amount of Aspergillus niger and filter paper enzyme activity over time at different oxygen levels during the first digestion stage. Aspergillus niger could not grow when the fermentation system was under completely sealed conditions (Figure 1a), which might be because Aspergillus niger is an aerobic microorganism. Figure 1b,c show that the amount of Aspergillus niger increased with the extension of the fermentation time from day 0 to the 4th day. The amount of Aspergillus niger decreased after the 4th day, which was primarily because it entered a declining phase after the 4th day [11]. Figure 1c shows that Aspergillus niger did not reach the maximum copy number on the 2nd day when the aeration rate was below the optimal value of 30 mL min−1. Aspergillus niger grew slowly at a ventilation rate of 10 mL min−1, reaching a maximum copy value on the 5th day. However, the growth rate and final amount of Aspergillus niger were still higher under these ventilation conditions compared with the treatment of breathable hole sealing film. Figure 1a shows that a trend of increasing and then decreasing filter paper enzyme activity was observed in several systems along with fermentation time. This might be because that the fermentation system contained a small amount of oxygen that could be used for Aspergillus niger at the beginning of fermentation. However, the oxygen was consumed with the prolongation of fermentation time. Figure 1b,c show that the filter paper enzyme activity increased as the fermentation time increased. Figure 1d,e show that the filter paper enzyme activity increased from day 0 to the 4th day and the filter paper enzyme activity decreased after the 4th day. This was related to the growth trend of Aspergillus niger. Abundant cellulase was secreted when Aspergillus niger grew vigorously. Meanwhile, the secreted cellulase would be reduced to a certain extent when Aspergillus niger experienced a lag or decline period [18].
Figure 1.
Variation in growth conditions and cellulase activity of Aspergillus niger with time under different oxygen supplies. (a): Tubber plug sealing; (b): breathable hole sealing film sealing; (c): aeration at 10 mL min−1; (d): aeration at 30 mL min−1; (e): aeration at 50 mL min−1. Different letters represent significant differences (p < 0.05).
3.1.2. Effect of Oxygen Supply on Cellulose Degradation and Reducing Sugar Production of Distillers’ Grains
Figure 2 shows the cellulose degradation rate and reducing sugar content in the first stage. The cellulose degradation rate increased along with fermentation time, while it could be seen that little cellulose degradation was observed under sealed conditions (see Figure 2a). Figure 2b–e show that the cellulose degradation rate increased in the first 2 days, which was attributed to the effect of abundant cellulase secreted by Aspergillus niger. Figure 2b–e show that the reducing sugar content first increased and showed a gradual decrease after the 2nd day. Similarly, the maximum cellulose degradation rate and the optimum reducing sugar content were achieved at 30 mL min−1 of aeration. This was because the Aspergillus niger grew quickly in the first 2 days and a large amount of cellulase was secreted to decompose cellulose to produce reducing sugar. After the 2nd day, a large amount of sugar was consumed because of the growth of Aspergillus niger. The production of reducing sugar was less than its consumption, which led to the decrease in reducing sugar content after the 2nd day. In a study by Yang et al. (2014), similar trends were discovered [19].
Figure 2.
Variation in cellulose degradation rate and reducing sugar content in distillers’ grains with time under different aeration conditions. (a): Rubber plug sealing; (b): breathable hole sealing film sealing; (c): aeration volume of 10 mL min−1; (d): aeration volume of 30 mL min−1; (e): aeration volume of 50 mL min−1. Different letters represent significant differences (p < 0.05).
3.2. Influence of Oxygen Supply Methods on the Enhancement of Protein Content in the Second Phase
Figure 3 shows the effect of oxygen supply methods (natural exchange, forced ventilation, and filling supplement) on the protein content of distiller’s grains. The pH of fermentation substrates was 3.8 and 5.8. Figure 3b shows the fermentation in each 100 mL triangular flask with different qualities of fermentation substrates (30 g, 60 g, 80 g, 90 g, and 120 g). The treatment loading with 80 g of substrate showed the best fermentation results. In this case, the group with pH = 5.8 was again superior to the group with pH = 3.8. Figure 3c shows the effect of different amounts of filler on the fermentation results. The amount of filler had no effect on the final fermentation results. For natural exchange, the real protein increased by 52.08% after fermentation. pH adjustment could further increase the true protein content. Overall, we found that natural placement had advantages in terms of improving the true protein content. True protein content had the highest value (15.28%) when natural exchange was used as the oxygen supply method. Under this oxygen supply method, some key factors including moisture content, urea addition, and fermentation time were further explored. Figure 4a–c show the effect of moisture content, urea addition, and fermentation time on the true protein content of distillers’ grains. Under the condition of 50% moisture content, 1% urea addition, and fermentation time of 11 days, the true protein content of distillers’ grains increased from 10.81% to 16.44%, which was an increase of 52.08% compared to original distiller’s grains. Figure 4c shows the effect of fermentation time on the true protein of distillers’ grains. The true protein content increased with the increase in fermentation time, but there was no significant change (p > 0.05) on the 11th and 14th days. Considering economy and fermentation efficiency, the fermentation time of 11 days was finally selected as the appropriate fermentation time. The increase in protein in distillers’ grains was mainly attributed to two aspects. On the one hand, yeast could convert urea to SCP (single cell protein) during the fermentation process when urea was used as a nitrogen source [20]. Compared to proteins, amino acids were more easily absorbed and utilized by animals. Figure 4d shows the changes in amino acid content in distillers’ grains before and after fermentation. Essential amino acids cannot be synthesized by animals and can only be obtained from external sources [21]. The total amount of amino acids increased from 104.50 mg g−1 to 149.51 mg g−1, a significant increase of 43.01%. After fermentation, the contents of valine, methionine, isoleucine, leucine, threonine, phenylalanine, histidine, lysine, and arginine among the essential amino acids were 8.75 mg/g, 2.53 mg/g, 4.63 mg/g, 13.46 mg/g, 6.11 mg/g, 8.38 mg/g, 3.78 mg/g, 4.87 mg/g, and 4.93 mg/g, respectively, which increased by 56.52%, 32.46%, 59.65%, 29.42%, 56.26%, 55.18%, 62.23%, 144.72%, and 22.94%.
Figure 3.
Effect of aeration (a), filling material (b), and number of fillers (c) on true protein content in distillers’ grains. Note: (a): 1: raw material, 2: under natural standing condition, 3–7: aeration for 10 min stopping for 1, 4, 8, 16, and 32 h, respectively, and 8: aeration all the time; (b): 1: raw material, 2–6: addition of 30, 60, 80, 90, and 120 g of distillers’ grains, respectively; (c): 1: raw material, 2: left naturally without filler, 3–5: addition of 5, 15, and 30 fillers, respectively. The ones marked with an asterisk (*) are the groups with significant differences (p < 0.05).
Figure 4.
Effects of water content (a), urea addition (b), and fermentation time (c) on true protein content of distillers’ grains and changes in amino acid content of distillers’ grains before and after fermentation (d). Different letters represent significant differences (p < 0.05).
3.3. Effects of Lactic Acid Bacteria Anaerobic Fermentation on Feed Protein
3.3.1. The Effect of Different Lactic Acid Bacteria Inoculation on the pH and Organic Acid Content
In this study, three kinds of lactic acid bacteria, namely Lactobacillus fermentum, Streptococcus thermophilus, and Lactobacillus paracasei, were used. Figure 5 illustrates the effect of lactic acid bacteria inoculation on feed protein. The pH of the fermentation system underwent a significant (p < 0.05) decrease within the first 15 days, stabilized between the 15th and 60th day, and then declined again from the 60th to 90th day. This initial sharp drop in pH from day 0 to the 15th day was attributed to the fact that lactic acid bacteria converted sugars to organic acids, including lactic acid, acetic acid, and propionic acid. This resulted in a marked decrease in pH [22]. At the early stages of anaerobic fermentation, the rapid decline in pH inhibited the growth of harmful microorganisms, while also minimizing the loss of nutrients [23]. The reason for this change in pH was the production of organic acids during the anaerobic fermentation phase, and lactic acid was the main metabolite of lactic acid bacteria during fermentation [24]. Figure 5 demonstrates that the concentration of lactic acid remained stable from day 0 to the 7th day and increased markedly from the 7th to 15th day. The level maintained a stable state from the 15th to 45th day, and then increased again from the 45th to 90th day. Lactic acid can decrease the pH of animals’ intestines and enhance intestinal digestive capabilities [25]. In summary, fermentation with different types of lactic acid bacteria could reduce to the pH to below 4.8 within 90 days, which had a crucial impact on the preservation of feed protein and the enhancement of feed flavor.
Figure 5.
Variation in pH, lactic acid, and acetic acid with time during lactic acid bacteria fermentation. (a) Control; (b) Lactobacillus fermentum inoculation; (c) Streptococcus thermophilus inoculation; (d) Lactobacillus paracasei inoculation. Different letters represent significant differences (p < 0.05).
3.3.2. Analysis of Microbial Community and Metabolites During Lactic Acid Bacteria Fermentation
Figure 6a shows that the percentage of Lactobacillus paracasei and the relative abundance of Lactobacillus buchneri in fermented distillers’ grains was higher when Lactobacillus fermentum, Streptococcus thermophilus, or Lactobacillus paracasei were inoculated. The addition of lactic acid bacteria increased the relative abundance of corresponding lactic acid bacteria at the end of fermentation compared to the control. This means that the colonization of lactic acid bacteria occurred in the fermentation system after inoculation. Figure 6b shows the relationship between microorganisms and the top 30 metabolites. There was a significant positive correlation between Lactobacillus paracasei and metabolites. There was a significant negative correlation with Lactobacillus buchneri and Lactobacillus fermentum. The correlation of metabolites with Lactobacillus buchneri and Lactobacillus fermentum was consistent. This might be because of their similarity in metabolic type. Lactobacillus buchneri and Lactobacillus fermentum were heterofermentative lactic bacteria, while Lactobacillus paracasei was a homofermentative lactic bacteria. The difference in metabolism mode gave them opposite properties considering their relationship with different metabolites [12]. Streptococcus thermophilus showed a significant positive correlation only with S-Adenosylhomocysteine (p < 0.01). The correlation between microorganisms and metabolites was attributed to two main aspects: (1) metabolites were produced through microbial catabolism and synthesis, and (2) metabolites affected the microbial growth [26]. Some metabolites were significantly positively correlated with some bacteria and negatively correlated with others [15]. This phenomenon suggested that the metabolites produced by the microorganism had an inhibitory effect on others, suggesting that the metabolites might alter the bacterial community structure [26]. Among these metabolic species, Stachyose, Raffinose, Dextran, Maltotetraose, and other substances were useful to improve the taste of feed. These substances had a significant correlation with Lactobacillus fermentum (p < 0.01). In addition, some of these metabolites that were significantly associated with Lactobacillus fermentum could enhance the immunity of food animals. This means that Lactobacillus fermentum played an important role in protecting the host from harmful microorganisms, improving feed digestibility, and reducing metabolic disorders [27]. In addition, the addition of Lactobacillus fermentum had a better correlation with pH, acetic acid, and lactate content than Lactobacillus paracasei and Lactobacillus buchneri. Therefore, Lactobacillus fermentum could be used as an inoculation to enhance the flavor of the feed in the anaerobic stage (as shown in Figure S1 in the Supplementary Materials). The relative abundance of microorganisms at the phylum and genus level after fermentation with different lactic acid bacteria during the anaerobic fermentation phase is shown in the Supplementary Materials. The results showed that Firmicutes and Proteobacteria were the dominant microorganisms at the phylum level. The relative abundance of Firmicutes was more than 80%. Firmicutes such as Streptococcus, Lactobacillus, and Streptococcus are often considered probiotic and could play a large role in the intestinal tract of animals [28]. At the genus level, Lactobacillus, Achromobacter, Pediococcus, Streptococcus, and Acinetobacter were the dominant microorganisms. The relative abundance of Lactobacillus was more than 80%. Pediococcus was one kind of lactic acid bacteria characterized as Gram-positive, non-spore-forming, and parthenogenetic. Pediococcus could produce pediocin bacteriocins, which had the function of killing Listeria monocytogenes [29]. Figure S1c shows a significant positive correlation (p < 0.05) between Lactobacillus fermentum and pH. Meanwhile, there was no significant correlation between the Streptococcus thermophilus and Lactobacillus paracasei and pH, lactic acid, and acetic acid.
Figure 6.
Relative abundance of microorganisms in distillers’ grains at species level (a) and correlation of microorganisms with metabolites (b). n = 3. * p < 0.05 and **: p < 0.01, *** p < 0.001. During the measurement process, C represents the group without added lactic acid bacteria, and L1, L2, and L3 represent the group with the addition of Lactobacillus fermentum, Streptococcus thermophilus, and Lactobacillus paracasei, respectively.
4. Discussion
Oxygen is a key parameter for the growth of aerobic microorganisms during the aerobic fermentation phase. The growth of Aspergillus niger was accelerated when the oxygen content was increased. However, the enhancement effect was not obvious when the oxygen content exceeded a certain limit, and the aeration rate of 30 mL min−1 in this system was sufficient to satisfy the growth of Aspergillus niger. Sealing or only using breathable hole sealing film could not satisfy the growth of Aspergillus niger. The main components of lignocellulose are cellulose, hemicellulose, and lignin. Among them, cellulose has a highly ordered structure, which mainly plays the role of a skeleton. Hemicellulose acts as a matrix substance. Lignin is mainly wrapped in the outer layer, which makes the plant tissues tough [30]. Cellulose is a macromolecular compound consisting of glucose molecules linked by β-1,4-glycosidic bonds. It mainly consists of crystalline and non-crystalline regions [31]. The crystalline region is difficult to degrade because of hydrogen bonding, while the amorphous region is easily degraded because of its loose intermolecular structure [18]. Hemicellulose mainly contains xylose, arabinose, and galactose [32]. Lignin is composed of aromatic derivatives, which prevent the destruction of cellulose and hemicellulose [33]. Distillers’ grains contain a large amount of lignocellulose, which can adversely affect the growth and development of ruminants when they are fed directly. The degradation of cellulose is the result of the combined action of exoglucanase, endoglucanase, and β-glucosidase [31]. Aspergillus has a good ability to secrete enzymes to degrade lignocellulose [34]. Cellulases degrade cellulose to glucose through the synergistic action of several enzymes, including exoglucanase, endoglucanase, and β-glucosidase [35]. The filter paper enzyme activity could reflect the total enzyme activity considering the synergistic action of the three main hydrolases [11]. The importance of appropriate aeration in the aerobic phase is also reflected in the changes in the enzyme activity of Aspergillus niger during this experiment. Oxygen plays an important role as an electron acceptor at the end of the respiratory chain during aerobic microbial growth. In solid-state fermentation, when oxygen is transferred from the gas phase to the fermentation body, resistance from the physical properties of the medium is encountered. In addition, the hyphal growth of filamentous fungi can also limit the transfer of oxygen. In the case of Aspergillus niger, oxygen restriction led to an increase in the content of tricarboxylic acid cycle intermediates and a decrease in mitochondrial respiration activity, which reduced ATP production. The production of intracellular cellulases was also affected. Cellulase produced by microorganisms decreased under the condition of limited oxygen supply [36]. In this study, the main function of Aspergillus niger was to decompose lignocellulose and produce sufficient reducing sugars for the second stage of fermentation. The concentration of reducing sugars was related to the growth of Aspergillus niger, which in turn was inseparable from the amount of oxygen supplied. The content of reducing sugars was the result of the balance between the degradation of cellulose by Aspergillus niger and the use of cellulose for self-growth. In terms of the optimal aeration rate of 30 mL/min, Aspergillus niger was in the growth phase and its amount was low before the first 2 days. It utilized little reducing sugar, and there was an accumulation of reducing sugars. After that, the amount of Aspergillus niger rose before the 2nd day, which required more reducing sugar; therefore, the reducing sugar was accumulated in this period. The growth of Aspergillus niger and the production of enzymes are related to lignocellulose degradation. The frequency and amount of oxygen supply are important factors limiting large-scale production. Therefore, it is important to balance the oxygen demand of Aspergillus niger with ventilation energy [37]. In this experiment, the oxygen supply was reflected by the ventilation rate. Compared with the control and the groups with a ventilation rate of 10 mL min−1, the reducing sugar content of the optimal ventilation group increased. The reducing sugar content decreased when the ventilation rate increased because of the loss of water caused by the excessive airflow, which in turn adversely affected the growth of Aspergillus niger [38].
Similarly, oxygen plays an important role in the microaerobic phase. Among the three modes of aeration for the micro-oxygen consumption phase, natural exchange is the economical and more efficient one. In this process, the true protein content first increases and then decreases as the amount of material in the reactor gradually increases. The reason may be that although the oxygen transfer performance is better when the substrate is thinner, the high volatilization of water in the substrate also happens, which leads to the stunted growth of yeast. When the thickness of the substrate is too high, the accumulation of finer stillage particles hinders the transport of air, which has a more significant effect on the bottom substrate [38]. Although this substance contains sufficient water, the lack of oxygen causes the yeast to respirate. Therefore, it is necessary to maintain the micro-oxygen environment for the growth of the yeast under natural storage conditions. It is important to maintain the suitable fermentation height with the right amount of substance under natural storage conditions. For forced ventilation, it is beneficial to increase the true protein after adjusting the pH, and the content of true protein increases with the increase in fermentation time. Compared with natural placement, the increase in ventilation frequency does not significantly increase the true protein content. As facultative anaerobic microorganisms, forced aeration has no significant effect on yeast growth [8]. Compared with the natural exchange treatment, the addition of fillers has little effect on the improvement in true protein, while a filler separation step will increase the production cost. At the same time, we also notice that the water in the fermentation system occupies the inside of the filler, which may the reason why the addition of filler does not increase the true protein content. Therefore, the addition of fillers to increase porosity is not the best choice. The growth of yeast in distillers’ grains produces a large amount of SCP, which leads to the increase in true protein. In addition, yeast also utilizes nutrients such as sugar in distillers’ grains and converts them to CO2 and water during the growth process. Therefore, the mass of substrate decreases and the concentration effect occurs [15]. Protein is essential nutrition for animal growth; the higher the protein content of fermented feeds, to a certain extent, the better the growth of animals [39]. In summary, the quality of distillers’ grains as feed protein is significantly improved through yeast fermentation.
Inoculation with Lactobacillus fermentum increases its relative abundance in the third anaerobic fermentation phase and has a significant effect on the production of several beneficial metabolites, which shows a significant positive correlation with a variety of metabolites that improve the palatability of the feeds. Lactobacillus fermentum also affects other bacteria by producing inhibitory metabolites, which may change the bacterial community structure and inhibit the deterioration during storage. In addition, the low pH is beneficial for extending the storage time. Lactobacillus fermentum has more of a correlation with pH, acetic acid, and lactic acid content than Lactobacillus paracasei and Lactobacillus buchneri, suggesting that Lactobacillus fermentum supplementation can enhance the flavor of feeds when it is used as an inoculum in the anaerobic phase.
5. Conclusions
This study explored the feasibility of converting distillers’ grains to feed protein. After pretreatment by Aspergillus niger under the condition of a 30 mL min−1 aeration rate and 2 days of fermentation time, the highest sugar concentration of 36.9 mg g−1 was obtained. The natural exchange of oxygen achieved the highest true protein enhancement (+51.9%) under this condition of 50% moisture, 1% urea addition, and the fermentation time of 11 days. The exogenous supplementation of lactic acid bacteria has a positive impact on the preservation of feed protein and flavor enhancement. This study provided the possibility of high-value utilization of distillers’ grains.
Supplementary Materials
The following supporting information can be downloaded at https://www.mdpi.com/article/10.3390/fermentation10110550/s1, Figure S1: Relative abundance of microorganisms in phylum (a) and genus (b) level, and correlation of microorganisms with pH, lactic acid, and acetic acid (c).
Author Contributions
Conceptualization, S.K. and S.W.; methodology, S.K. and Y.H.; software, N.W.; validation, Z.W., L.W. and J.C.; formal analysis, L.W.; investigation, D.L.; resources, X.Z.; data curation, Y.C.; writing—original draft preparation, S.K.; writing—review and editing, S.K.; visualization, J.X.; supervision, H.Y.; project administration, Y.C.; funding acquisition, H.Y. All authors have read and agreed to the published version of the manuscript.
Funding
This study was supported by the National Natural Science Foundation of China (52200178; 22308338), National Engineering Research Center of Solid-state Brewing (GFGS-2023000773), Henan Province Science and Technology Research (12102310864), the Key Research Project of the Higher Education Institutions of Henan Province, China (22A530010), and the Key Program for Collaborative and Innovation of Nanyang, Henan Province, China (21XTCX21001).
Institutional Review Board Statement
Not applicable.
Informed Consent Statement
Not applicable.
Data Availability Statement
The original contributions presented in the study are included in the article and Supplementary Material, further inquiries can be directed to the corresponding author.
Conflicts of Interest
The authors declare no conflicts of interest.
References
- Kilama, J.; Yakir, Y.; Shaani, Y.; Adin, G.; Kaadan, S.; Wagali, P.; Sabastian, C.; Ngomuo, G.; Mabjeesh, S.J. Chemical composition, in vitro digestibility, and storability of selected agro-industrial by-products: Alternative ruminant feed ingredients in Israel. Heliyon 2023, 9, e14581. [Google Scholar] [CrossRef] [PubMed]
- Liu, Y.; Liu, S.; Huang, C.; Ge, X.; Xi, B.; Mao, J. Chinese Baijiu distiller’s grains resourcing: Current progress and future prospects. Resour. Conserv. Recy. 2022, 176, 105900. [Google Scholar] [CrossRef]
- Tang, J.L.; Hu, Z.K.; Pu, Y.H.; Wang, X.C.C.; Abomohra, A. Bioprocesses for lactic acid production from organic wastes toward industrialization-a critical review. J. Environ. Manag. 2024, 369, 122372. [Google Scholar] [CrossRef]
- Wang, C.; Liu, Y.; Xu, L.; Xin, C.H.; Tan, Z.; Zhang, X.; Ma, C.Y.; Chen, S.F.; Li, H.J. Changes of the main components, physicochemical properties of distiller’s grains after extrusion processing with focus on modification mechanism. Food Chem. 2022, 390, 133187. [Google Scholar] [CrossRef]
- Zengin, M.; Sur, A.; İlhan, Z.; Azman, M.A.; Tavşanlı, H.; Esen, S.; Bacaksız, O.K.; Demir, E. Effects of fermented distillers grains with solubles, partially replaced with soybean meal, on performance, blood parameters, meat quality, intestinal flora, and immune response in broiler. Res. Vet. Sci. 2022, 150, 58–64. [Google Scholar] [CrossRef]
- Zhi, Y.; Wu, Q.; Xu, Y. Production of surfactin from waste distillers’ grains by co-culture fermentation of two Bacillus amyloliquefaciens strains. Bioresour. Technol. 2017, 235, 96–103. [Google Scholar] [CrossRef]
- Darwesh, O.M.; El-Maraghy, S.H.; Abdel-Rahman, H.M.; Zaghloul, R.A. Improvement of paper wastes conversion to bioethanol using novel cellulose degrading fungal isolate. Fuel 2020, 262, 116518. [Google Scholar] [CrossRef]
- van Rijswijck, I.M.; Wolkers–Rooijackers, J.C.; Abee, T.; Smid, E.J. Performance of non-conventional yeasts in co-culture with brewers’ yeast for steering ethanol and aroma production. Microb. Biotechnol. 2017, 10, 1591–1602. [Google Scholar] [CrossRef]
- Li, T.L.; Jiang, T.; Liu, N.; Wu, C.Y.; Xu, H.D.; Lei, H.J. Biotransformation of phenolic profiles and improvement of antioxidant capacities in jujube juice by select lactic acid bacteria. Food Chem. 2021, 339, 127859. [Google Scholar] [CrossRef]
- De Groof, V.; Coma, M.; Arnot, T.; Leak, D.J.; Lanham, A.B. Medium Chain Carboxylic Acids from Complex Organic Feedstocks by Mixed Culture Fermentation. Molecules 2019, 24, 398. [Google Scholar] [CrossRef]
- Liu, J.X.; Wang, S.L.; Wang, Z.; Shen, C.H.; Liu, D.; Shen, X.J.; Weng, L.F.; He, Y.; Wang, S.M.; Wang, J.X.; et al. Pretreatment of Luzhou distiller’s grains for feed protein production using crude enzymes produced by a synthetic microbial consortium. Bioresour. Technol. 2023, 390, 129852. [Google Scholar] [CrossRef] [PubMed]
- Duan, W.H.; Guan, Q.J.; Zhang, H.L.; Wang, F.Z.; Lu, R.; Li, D.M.; Geng, Y.; Xu, Z.H. Improving flavor, bioactivity, and changing metabolic profiles of goji juice by selected lactic acid bacteria fermentation. Food Chem. 2023, 408, 135155. [Google Scholar] [CrossRef] [PubMed]
- Xu, W.; Zhong, C.; Zou, C.; Wang, B.; Zhang, N. Analytical methods for amino acid determination in organisms. Amino Acids 2020, 52, 1071–1088. [Google Scholar] [CrossRef] [PubMed]
- Jurado-Sánchez, B.; Ballesteros, E.; Gallego, M. Gas chromatographic determination of 29 organic acids in foodstuffs after continuous solid-phase extraction. Talanta 2011, 84, 924–930. [Google Scholar] [CrossRef] [PubMed]
- Gumińska, N.; Płecha, M.; Walkiewicz, H.; Hałakuc, P.; Zakryś, B.; Milanowski, R. Culture purification and DNA extraction procedures suitable for next-generation sequencing of euglenids. J. Appl. Phycol. 2018, 30, 3541–3549. [Google Scholar] [CrossRef]
- Weng, L.F.; Wang, Z.; Zhuang, W.; Yang, T.Z.; Xu, X.X.; Liu, J.L.; Liu, J.X.; Xu, Z.Z.; Chen, R.T.; Wang, Q.; et al. Effect of Replacing Fish Meal Using Fermented Soybean Meal on Growth Performance, Intestine Bacterial Diversity, and Key Gene Expression of Largemouth Bass (Micropterus salmoides). Fermentation 2023, 9, 520. [Google Scholar] [CrossRef]
- Wu, Y.Q.; Li, A.; Chen, L.; Chen, Q.X.; Li, J.Y.; Xu, Y.Q.; Huo, D.X. Deep Shotgun metagenomic and 16S rRNA analysis revealed the microbial diversity of lactic acid bacteria in traditional fermented foods of eastern Hainan, China. Food Funct. 2023, 14, 5820. [Google Scholar] [CrossRef]
- Xu, X.; Xu, Z.; Shi, S.; Lin, M. Lignocellulose degradation patterns, structural changes, and enzyme secretion by Inonotus obliquus on straw biomass under submerged fermentation. Bioresour. Technol. 2017, 241, 415–423. [Google Scholar] [CrossRef]
- Yang, H.; Jianjun, D.; Hua, Y.; Peng, C.; Hong, L.; Lu, C. Monitoring of the production of flavor compounds by analysis of the gene transcription involved in higher alcohol and ester formation by the brewer’s yeast Saccharomyces pastorianus using a multiplex RT-qPCR assay. J. Inst. Brew. 2014, 120, 119–126. [Google Scholar]
- Amara, A.A.; El-Baky, N.A. Fungi as a Source of Edible Proteins and Animal Feed. J. Fungi 2023, 9, 73. [Google Scholar] [CrossRef]
- Reyes, S.M.; Brockway, M.; McDermid, J.M.; Chan, D.B.R.; Granger, M.; Refvik, R.; Sidhu, K.K.; Musse, S.; Monnin, C.; Lotoski, L.; et al. Human Milk Micronutrients and Child Growth and Body Composition in the First 2 years: A Systematic Review. Adv. Nutr. 2024, 15, 100082. [Google Scholar] [CrossRef] [PubMed]
- Tang, J.L.; Wang, X.C.; Hu, Y.S.; Zhang, Y.M.; Li, Y.Y. Lactic acid fermentation from food waste with indigenous microbiota: Effects of pH, temperature and high OLR. Waste Manag. 2016, 52, 278–285. [Google Scholar] [CrossRef] [PubMed]
- Xu, D.M.; Ding, W.R.; Ke, W.C.; Li, F.H.; Zhang, P.; Guo, X.S. Modulation of Metabolome and Bacterial Community in Whole Crop Corn Silage by Inoculating Homofermentative Lactobacillus plantarum and Heterofermentative Lactobacillus buchneri. Front. Microbiol. 2019, 9, 3299. [Google Scholar] [CrossRef] [PubMed]
- Xu, J.; Peng, S.; Xiong, Y.; Zheng, Z.; Liu, M.; Xu, J.; Chen, W.; Liu, M.; Kong, J.; Wang, C. A review on fermented vegetables: Microbial community and potential upgrading strategy via inoculated fermentation. Compr. Rev. Food Sci. Food Saf. 2024, 23, e13362. [Google Scholar] [CrossRef]
- Cui, Q.Y.; Li, L.H.; Huang, H.; Yang, Y.P.; Chen, S.J.; Li, C.S. Novel insight into the formation and improvement mechanism of physical property in fermented tilapia sausage by cooperative fermentation of newly isolated lactic acid bacteria based on microbial contribution. Food Rev. Int. 2024, 187, 114456. [Google Scholar] [CrossRef]
- Xia, Y.; Yu, E.M.; Lu, M.X.; Xie, J. Effects of probiotic supplementation on gut microbiota as well as metabolite profiles within Nile tilapia, Oreochromis niloticus. Aquaculture 2020, 527, 735428. [Google Scholar] [CrossRef]
- Naghmouchi, K.; Belguesmia, Y.; Bendali, F.; Spano, G.; Seal, B.S.; Drider, D. Lactobacillus fermentum: A bacterial species with potential for food preservation and biomedical applications. Crit. Rev. Food Sci. Nutr. 2020, 60, 3387–3399. [Google Scholar] [CrossRef]
- Huang, B.C.; Zhang, S.; Dong, X.H.; Chi, S.Y.; Yang, Q.H.; Liu, H.Y.; Tan, B.P.; Xie, S.W. Effects of fishmeal replacement by black soldier fly on growth performance, digestive enzyme activity, intestine morphology, intestinal flora and immune response of pearl gentian grouper (Epinephelus fuscoguttatus ♀ x Epinephelus lanceolatus ♂). Fish Shellfish Immunol. 2022, 120, 497–506. [Google Scholar] [CrossRef]
- Porto, M.C.W.; Kuniyoshi, T.M.; Azevedo, P.O.S.; Vitolo, M.; Oliveira, R.P.S. Pediococcus spp.: An important genus of lactic acid bacteria and pediocin producers. Biotechnol. Adv. 2017, 35, 361–374. [Google Scholar] [CrossRef]
- Ren, F.Y.; Wu, F.; Wu, X.; Bao, T.T.; Jie, Y.C.; Gao, L. Fungal systems for lignocellulose deconstruction: From enzymatic mechanisms to hydrolysis optimization. GCB Bioenergy 2024, 16, 13130. [Google Scholar] [CrossRef]
- Liang, J.S.; Zhang, R.; Chang, J.N.; Chen, L.; Nabi, M.; Zhang, H.B.; Zhang, G.M.; Zhang, P.Y. Rumen microbes, enzymes, metabolisms, and application in lignocellulosic waste conversion A comprehensive review. Biotechnol. Adv. 2024, 71, 108308. [Google Scholar] [CrossRef] [PubMed]
- Bao, Y.Q.; Du, Z.C.; Liu, X.Y.; Liu, H.; Tang, J.S.; Qin, C.R.; Liang, C.; Huang, C.X.; Yao, S.Q. Furfural production from lignocellulosic biomass: One-step and two-step strategies and techno-economic evaluation. Green Chem. 2024, 26, 6318–6338. [Google Scholar] [CrossRef]
- Izydorczyk, G.; Skrzypczak, D.; Mironiuk, M.L.; Mikula, K.; Samoraj, M.; Gil, F.; Taf, R.; Moustakas, K.; Chojnacka, K. Lignocellulosic biomass fertilizers: Production, characterization, and agri-applications. Sci. Total Environ. 2024, 923, 171343. [Google Scholar] [CrossRef] [PubMed]
- Niego, A.G.T.; Lambert, C.; Mortimer, P.; Thongklang, N.; Rapior, S.; Grosse, M.; Schrey, H.; Charria-Girón, E.; Walker, A.; Hyde, K.D.; et al. The contribution of fungi to the global economy. Fungal Divers 2023, 121, 95–137. [Google Scholar] [CrossRef]
- Rawat, R.; Srivastava, N.; Chadha, B.S.; Oberoi, H.S. Generating Fermentable Sugars from Rice Straw Using Functionally Active Cellulolytic Enzymes from Aspergillus niger HO. Energy Fuels 2014, 28, 5067–5075. [Google Scholar] [CrossRef]
- Kumar Ramamoorthy, N.; Sambavi, T.R.; Renganathan, S. A study on cellulase production from a mixture of lignocellulosic wastes. Process Biochem. 2019, 83, 148–158. [Google Scholar] [CrossRef]
- Li, C.; Zhou, J.W.; Du, G.C.; Chen, J.; Takahashi, S.; Liu, S. Developing Aspergillus niger as a cell factory for food enzyme production. Biotechnol. Adv. 2020, 44, 107630. [Google Scholar] [CrossRef]
- Mitchell, D.A.; Ruiz, H.A.; Krieger, N. A Critical Evaluation of Recent Studies on Packed-Bed Bioreactors for Solid-State Fermentation. Processes 2023, 11, 872. [Google Scholar] [CrossRef]
- Dong, S.S.; Li, L.Y.; Hao, F.Y.; Fang, Z.Y.; Zhong, R.M.; Wu, J.F.; Fang, X. Improving quality of poultry and its meat products with probiotics, prebiotics, and phytoextracts. Poult. Sci. 2024, 103, 103287. [Google Scholar]
Disclaimer/Publisher’s Note: The statements, opinions and data contained in all publications are solely those of the individual author(s) and contributor(s) and not of MDPI and/or the editor(s). MDPI and/or the editor(s) disclaim responsibility for any injury to people or property resulting from any ideas, methods, instructions or products referred to in the content. |
© 2024 by the authors. Licensee MDPI, Basel, Switzerland. This article is an open access article distributed under the terms and conditions of the Creative Commons Attribution (CC BY) license (https://creativecommons.org/licenses/by/4.0/).





