First-Principles Study of the Electronic Properties and Thermal Expansivity of a Hybrid 2D Carbon and Boron Nitride Material
Abstract
1. Introduction
2. Computational Methods
3. Results and Discussion
3.1. Structural Model and Electronic Properties
3.2. Lattice Vibrations
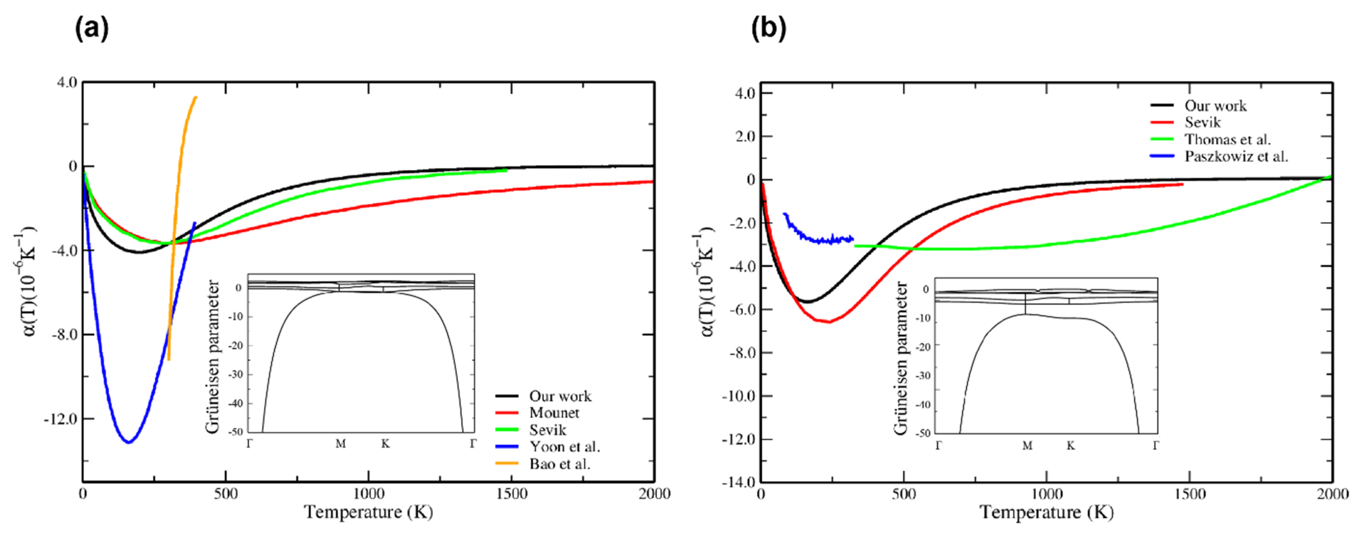
3.3. Thermodynamic Properties
4. Conclusions
Author Contributions
Funding
Institutional Review Board Statement
Informed Consent Statement
Data Availability Statement
Acknowledgments
Conflicts of Interest
References
- Geim, A.K. Graphene: Status and prospects. Science 2009, 324, 1530–1534. [Google Scholar] [CrossRef] [PubMed]
- Shi, Y.; Hamsen, C.; Jia, X.; Kim, K.K.; Reina, A.; Hofmann, M.; Hsu, A.L.; Zhang, K.; Li, H.; Juang, Z.Y.; et al. Synthesis of few-layer hexagonal boron nitride thin film by chemical vapor deposition. Nano Lett. 2010, 10, 4134–4139. [Google Scholar] [CrossRef] [PubMed]
- Avouris, P. Graphene: Electronic and photonic properties and devices. Nano Lett. 2010, 10, 4285–4294. [Google Scholar] [CrossRef] [PubMed]
- Golberg, D.; Bando, Y.; Huang, Y.; Terao, T.; Mitome, M.; Tang, C.; Zhi, C. Boron nitride nanotubes and nanosheets. ACS Nano 2010, 4, 2979–2993. [Google Scholar] [CrossRef]
- Novoselov, K.S.; Geim, A.K.; Morozov, S.V.; Jiang, D.; Katsnelson, M.I.; Grigorieva, I.V.; Dubonos, S.V.; Firsov, A.A. Two-dimensional gas of massless Dirac fermions in graphene. Nature 2005, 438, 197–200. [Google Scholar] [CrossRef]
- Zhang, Y.; Tan, Y.W.; Stormer, H.L.; Kim, P. Experimental observation of the quantum Hall effect and Berry’s phase in graphene. Nature 2005, 438, 201–204. [Google Scholar] [CrossRef]
- Neek-Amal, M.; Beheshtian, J.; Sadeghi, A.; Michel, K.H.; Peeters, F.M. Boron nitride monolayer: A strain-tunable nanosensor. J. Phys. Chem. C 2013, 117, 13261–13267. [Google Scholar] [CrossRef]
- Radisavljevic, B.; Radenovic, A.; Brivio, J.; Giacometti, V.; Kis, A. Single-layer MoS2 transistors. Nat. Nanotechnol. 2011, 6, 147–150. [Google Scholar] [CrossRef]
- Tongay, S.; Zhou, J.; Ataca, C.; Liu, J.; Kang, J.S.; Matthews, T.S.; You, L.; Li, J.; Grossman, J.C.; Wu, J. Broad-range modulation of light emission in two-dimensional semiconductors by molecular physisorption gating. Nano Lett. 2013, 13, 2831–2836. [Google Scholar] [CrossRef]
- Scarpa, F.; Adhikari, S.; Srikantha Phani, A. Effective elastic mechanical properties of single layer graphene sheets. Nanotechnology 2009, 20, 065709. [Google Scholar] [CrossRef]
- Li, C.; Bando, Y.; Zhi, C.; Huang, Y.; Golberg, D. Thickness-dependent bending modulus of hexagonal boron nitride nanosheets. Nanotechnology 2009, 20, 385707. [Google Scholar] [CrossRef]
- Serrano, J.; Bosak, A.; Arenal, R.; Krisch, M.; Watanabe, K.; Taniguchi, T.; Kanda, H.; Rubio, A.; Wirtz, L. Vibrational properties of hexagonal boron nitride: Inelastic X-ray scattering and Ab Initio calculations. Phys. Rev. Lett. 2007, 98, 095503. [Google Scholar] [CrossRef] [PubMed]
- Seol, J.H.; Jo, I.; Moore, A.L.; Lindsay, L.; Aitken, Z.H.; Pettes, M.T.; Li, X.; Yao, Z.; Huang, R.; Broido, D.; et al. Two-dimensional phonon transport in supported graphene. Science 2010, 328, 213–216. [Google Scholar] [CrossRef] [PubMed]
- Balandin, A.A.; Ghosh, S.; Bao, W.; Calizo, I.; Teweldebrhan, D.; Miao, F.; Lau, C.N. Superior thermal conductivity of single-layer graphene. Nano Lett. 2008, 8, 902–907. [Google Scholar] [CrossRef] [PubMed]
- Singh, S.K.; Neek-Amal, M.; Costamagna, S.; Peeters, F.M. Thermomechanical properties of a single hexagonal boron nitride sheet. Phys. Rev. B Condens. Matter Mater. Phys. 2013, 87, 184106. [Google Scholar] [CrossRef]
- Olaniyan, O.; Moskaleva, L.; Mahadi, R.; Igumbor, E.; Bello, A. Tuning the electronic structure and thermodynamic properties of hybrid graphene-hexagonal boron nitride monolayer. FlatChem 2020, 24, 100194. [Google Scholar] [CrossRef]
- Olaniyan, O.; Maphasha, R.E.; Madito, M.J.; Khaleed, A.A.; Igumbor, E.; Manyala, N. A systematic study of the stability, electronic and optical properties of beryllium and nitrogen co-doped graphene. Carbon N. Y. 2018, 129, 207–227. [Google Scholar] [CrossRef]
- Sevik, C. Assessment on lattice thermal properties of two-dimensional honeycomb structures: Graphene, h-BN, h-MoS2, and h-MoSe2. Phys. Rev. B Condens. Matter Mater. Phys. 2014, 89, 035422. [Google Scholar] [CrossRef]
- Lau, K.C.; Pandey, R. Thermodynamic stability of novel boron sheet configurations. J. Phys. Chem. B 2008, 112, 10217–10220. [Google Scholar] [CrossRef]
- Kouvetakis, J.; Kaner, R.B.; Sattler, M.L.; Bartlett, N. A novel graphite-like material of composition BC3, and nitrogen-carbon graphites. J. Chem. Soc. Chem. Commun. 1986, 24, 1758–1759. [Google Scholar] [CrossRef]
- Lowther, J.E.; Zinin, P.V.; Ming, L.C. Vibrational energies of graphene and hexagonal structured planar B-C complexes. Phys. Rev. B Condens. Matter Mater. Phys. 2009, 79, 033401. [Google Scholar] [CrossRef]
- Hu, Q.; Wu, Q.; Ma, Y.; Zhang, L.; Liu, Z.; He, J.; Sun, H.; Wang, H.T.; Tian, Y. First-principles studies of structural and electronic properties of hexagonal BC5. Phys. Rev. B Condens. Matter Mater. Phys. 2006, 73, 214116. [Google Scholar] [CrossRef]
- Zhou, Y.; Wang, Z.; Yang, P.; Gao, F. Novel electronic and magnetic properties of graphene nanoflakes in a boron nitride layer. J. Phys. Chem. C 2012, 116, 7581–7586. [Google Scholar] [CrossRef]
- Kan, M.; Zhou, J.; Wang, Q.; Sun, Q.; Jena, P. Tuning the band gap and magnetic properties of BN sheets impregnated with graphene flakes. Phys. Rev. B Condens. Matter Mater. Phys. 2011, 84, 205412. [Google Scholar] [CrossRef]
- Ci, L.; Song, L.; Jin, C.; Jariwala, D.; Wu, D.; Li, Y.; Srivastava, A.; Wang, Z.F.; Storr, K.; Balicas, L.; et al. Atomic layers of hybridized boron nitride and graphene domains. Nat. Mater. 2010, 9, 430–435. [Google Scholar] [CrossRef]
- Suenaga, K.; Colliex, C.; Demoncy, N.; Loiseau, A.; Pascard, H.; Willaime, F. Synthesis of nanoparticles and nanotubes with well-separated layers of boron nitride and carbon. Science 1997, 278, 653–655. [Google Scholar] [CrossRef]
- Han, W.Q.; Mickelson, W.; Cumings, J.; Zettl, A. Transformation of BxCyNz nanotubes to pure BN nanotubes. Appl. Phys. Lett. 2002, 81, 1110–1112. [Google Scholar] [CrossRef]
- Kawasaki, T.; Ichimura, T.; Kishimoto, H.; Akbar, A.A.; Ogawa, T.; Oshima, C. Double atomic layers of graphene/monolayer h-BN on Ni(111) studied by scanning tunneling microscopy and scanning tunneling spectroscopy. Surf. Rev. Lett. 2002, 9, 1459–1464. [Google Scholar] [CrossRef]
- Giovannetti, G.; Khomyakov, P.A.; Brocks, G.; Kelly, P.J.; van den Brink, J. Substrate-induced band gap in graphene on hexagonal boron nitride: Ab initio density functional calculations. Phys. Rev. B 2007, 76, 073103. [Google Scholar] [CrossRef]
- Pruneda, J.M. Origin of half-semimetallicity induced at interfaces of C-BN heterostructures. Phys. Rev. B Condens. Matter Mater. Phys. 2010, 81, 161409. [Google Scholar] [CrossRef]
- Fan, X.; Shen, Z.; Liu, A.Q.; Kuo, J.L. Band gap opening of graphene by doping small boron nitride domains. Nanoscale 2012, 4, 2157–2165. [Google Scholar] [CrossRef]
- Jung, J.; Qiao, Z.; Niu, Q.; MacDonald, A.H. Transport properties of graphene nanoroads in boron nitride sheets. Nano Lett. 2012, 12, 2936–2940. [Google Scholar] [CrossRef][Green Version]
- Wu, M.M.; Zhong, X.; Wang, Q.; Sun, Q.; Pandey, R.; Jena, P. Anisotropy and transport properties of tubular C-BN Janus nanostructures. J. Phys. Chem. C 2011, 115, 23978–23983. [Google Scholar] [CrossRef]
- Bernardi, M.; Palummo, M.; Grossman, J.C. Optoelectronic properties in monolayers of hybridized graphene and hexagonal boron nitride. Phys. Rev. Lett. 2012, 108, 226805. [Google Scholar] [CrossRef]
- Ge, M.; Si, C. Mechanical and electronic properties of lateral graphene and hexagonal boron nitride heterostructures. Carbon N. Y. 2018, 136, 286–291. [Google Scholar] [CrossRef]
- Pavone, P.; Karch, K.; Schütt, O.; Strauch, D.; Windl, W.; Giannozzi, P.; Baroni, S. Ab initio lattice dynamics of diamond. Phys. Rev. B 1993, 48, 3156–3163. [Google Scholar] [CrossRef]
- Mounet, N.; Marzari, N. First-principles determination of the structural, vibrational and thermodynamic properties of diamond, graphite, and derivatives. Phys. Rev. B Condens. Matter Mater. Phys. 2005, 71, 1–14. [Google Scholar] [CrossRef]
- Zakharchenko, K.V.; Katsnelson, M.I.; Fasolino, A. Finite temperature lattice properties of graphene beyond the quasiharmonic approximation. Phys. Rev. Lett. 2009, 102, 046808. [Google Scholar] [CrossRef]
- Zakharchenko, K.V.; Los, J.H.; Katsnelson, M.I.; Fasolino, A. Atomistic simulations of structural and thermodynamic properties of bilayer graphene. Phys. Rev. B Condens. Matter Mater. Phys. 2010, 81, 235439. [Google Scholar] [CrossRef]
- Los, J.H.; Ghiringhelli, L.M.; Meijer, E.J.; Fasolino, A. Improved long-range reactive bond-order potential for carbon. I. Construction. Phys. Rev. B Condens. Matter Mater. Phys. 2005, 72, 214102. [Google Scholar] [CrossRef]
- Bao, W.; Miao, F.; Chen, Z.; Zhang, H.; Jang, W.; Dames, C.; Lau, C.N. Controlled ripple texturing of suspended graphene and ultrathin graphite membranes. Nat. Nanotechnol. 2009, 4, 562–566. [Google Scholar] [CrossRef] [PubMed]
- Yoon, D.; Son, Y.W.; Cheong, H. Negative thermal expansion coefficient of graphene measured by raman spectroscopy. Nano Lett. 2011, 11, 3227–3231. [Google Scholar] [CrossRef] [PubMed]
- Kresse, G.; Hafner, J. Ab initio molecular dynamics for liquid metals. Phys. Rev. B 1993, 47, 558–561. [Google Scholar] [CrossRef] [PubMed]
- Kresse, G.; Furthmüller, J. Efficient iterative schemes for ab initio total-energy calculations using a plane-wave basis set. Phys. Rev. B Condens. Matter Mater. Phys. 1996, 54, 11169–11186. [Google Scholar] [CrossRef] [PubMed]
- Joubert, D. From ultrasoft pseudopotentials to the projector augmented-wave method. Phys. Rev. B Condens. Matter Mater. Phys. 1999, 59, 1758–1775. [Google Scholar]
- Hedin, L.; Lundqvist, B.I. Explicit local exchange-correlation potentials. J. Phys. C Solid State Phys. 1971, 4, 2064–2083. [Google Scholar] [CrossRef]
- Perdew, J.P.; Burke, K.; Ernzerhof, M. Generalized gradient approximation made simple. Phys. Rev. Lett. 1996, 77, 3865–3868. [Google Scholar] [CrossRef]
- Heyd, J.; Scuseria, G.E. Efficient hybrid density functional calculations in solids: Assessment of the Heyd-Scuseria-Ernzerhof screened Coulomb hybrid functional. J. Chem. Phys. 2004, 121, 1187–1192. [Google Scholar] [CrossRef]
- Monkhorst, H.J.; Pack, J.D. Special points for Brillouin-zone integrations. Phys. Rev. B 1976, 13, 5188–5192. [Google Scholar] [CrossRef]
- Maradudin, A.; Montroll, E.; Weiss, G.; Ipatova, I. Theory of Lattice Dynamics in the Harmonic Approximation, 2nd ed.; Academic Press: New York, NY, USA, 1971. [Google Scholar]
- Geim, A.K.; Novoselov, K.S. The rise of graphene. Nat. Mater. 2007, 6, 183–191. [Google Scholar] [CrossRef]
- Cassabois, G.; Valvin, P.; Gil, B. Hexagonal boron nitride is an indirect bandgap semiconductor. Nat. Photonics 2016, 10, 262–266. [Google Scholar] [CrossRef]
- Reina, A.; Jia, X.; Ho, J.; Nezich, D.; Son, H.; Bulovic, V.; Dresselhaus, M.S.; Jing, K. Large area, few-layer graphene films on arbitrary substrates by chemical vapor deposition. Nano Lett. 2009, 9, 30–35. [Google Scholar] [CrossRef] [PubMed]
- Li, X.; Cai, W.; An, J.; Kim, S.; Nah, J.; Yang, D.; Piner, R.; Velamakanni, A.; Jung, I.; Tutuc, E.; et al. Large-area synthesis of high-quality and uniform graphene films on copper foils. Science 2009, 324, 1312–1314. [Google Scholar] [CrossRef] [PubMed]
- Preobrajenski, A.B.; Vinogradov, A.S.; Mårtensson, N. Monolayer of h-BN chemisorbed on Cu(111) and Ni(111): The role of the transition metal 3d states. Surf. Sci. 2005, 582, 21–30. [Google Scholar] [CrossRef]
- Li, X.; Cai, W.; Colombo, L.; Ruoff, R.S. Evolution of graphene growth on Ni and Cu by carbon isotope labeling. Nano Lett. 2009, 9, 4268–4272. [Google Scholar] [CrossRef]
- Togo, A.; Tanaka, I. First principles phonon calculations in materials science. Scr. Mater. 2015, 108, 1–5. [Google Scholar] [CrossRef]
- Zabel, H. Phonons in layered compounds. J. Phys. Condens. Matter 2001, 13, 7679–7690. [Google Scholar] [CrossRef]
- Lifshitz, I. Thermal properties of chain and layered structures at low temperatures. Zh. Eksp. Teor. Fiz 1952, 22, 475–486. [Google Scholar]
- Thomas, S.; Ajith, K.M.; Chandra, S.; Valsakumar, M.C. Temperature dependent structural properties and bending rigidity of pristine and defective hexagonal boron nitride. J. Phys. Condens. Matter 2015, 27, 315302. [Google Scholar] [CrossRef]
- Paszkowicz, W.; Pelka, J.B.; Knapp, M.; Szyszko, T.; Podsiadlo, S. Lattice parameters and anisotropic thermal expansion of hexagonal boron nitride in the 10-297.5 K temperature range. Appl. Phys. A Mater. Sci. Process. 2002, 75, 431–435. [Google Scholar] [CrossRef]
- Belenkii, G.L.; Suleimanov, R.A.; Abdullaev, N.A.; Shteinshraiber, V.Y. Thermal expansion of layered crystals. Lifshits Models. Fiz. Tverd. Tela 1984, 26, 3560–3566. [Google Scholar]
- Abdullaev, N.A. Grüneisen parameters for layered crystals. Phys. Solid State 2001, 43, 727–731. [Google Scholar] [CrossRef]
- Abdullaev, N.A.; Suleimanov, R.A.; Aldzhanov, M.A.; Alieva, L.N. On the role played by bending vibrations in heat transfer in layered crystals. Phys. Solid State 2002, 44, 1859–1863. [Google Scholar] [CrossRef]
- Tohei, T.; Kuwabara, A.; Oba, F.; Tanaka, I. Debye temperature and stiffness of carbon and boron nitride polymorphs from first principles calculations. Phys. Rev. B Condens. Matter Mater. Phys. 2006, 73, 063304. [Google Scholar] [CrossRef]
- Hultgren, R.; Desai, P.; Hawkins, D.; Gleiser, M.; Kelley, K. Selected Values of the Thermodynamic Properties of the Elements; American Society for Metals: Metals Park, OH, USA, 1973. [Google Scholar]









Publisher’s Note: MDPI stays neutral with regard to jurisdictional claims in published maps and institutional affiliations. |
© 2021 by the authors. Licensee MDPI, Basel, Switzerland. This article is an open access article distributed under the terms and conditions of the Creative Commons Attribution (CC BY) license (http://creativecommons.org/licenses/by/4.0/).
Share and Cite
Olaniyan, O.; Moskaleva, L.V. First-Principles Study of the Electronic Properties and Thermal Expansivity of a Hybrid 2D Carbon and Boron Nitride Material. C 2021, 7, 5. https://doi.org/10.3390/c7010005
Olaniyan O, Moskaleva LV. First-Principles Study of the Electronic Properties and Thermal Expansivity of a Hybrid 2D Carbon and Boron Nitride Material. C. 2021; 7(1):5. https://doi.org/10.3390/c7010005
Chicago/Turabian StyleOlaniyan, Okikiola, and Lyudmila V. Moskaleva. 2021. "First-Principles Study of the Electronic Properties and Thermal Expansivity of a Hybrid 2D Carbon and Boron Nitride Material" C 7, no. 1: 5. https://doi.org/10.3390/c7010005
APA StyleOlaniyan, O., & Moskaleva, L. V. (2021). First-Principles Study of the Electronic Properties and Thermal Expansivity of a Hybrid 2D Carbon and Boron Nitride Material. C, 7(1), 5. https://doi.org/10.3390/c7010005

