Computed Tomography-Assisted Study of the Liquid Contrast Agent’s Spread in a Hydrogel Phantom of the Brain Tissue
Abstract
1. Introduction
2. Materials and Methods
3. Results
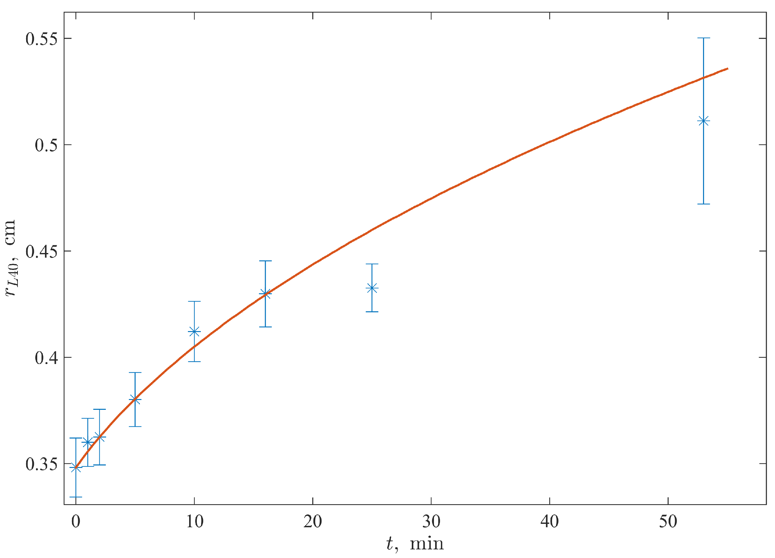
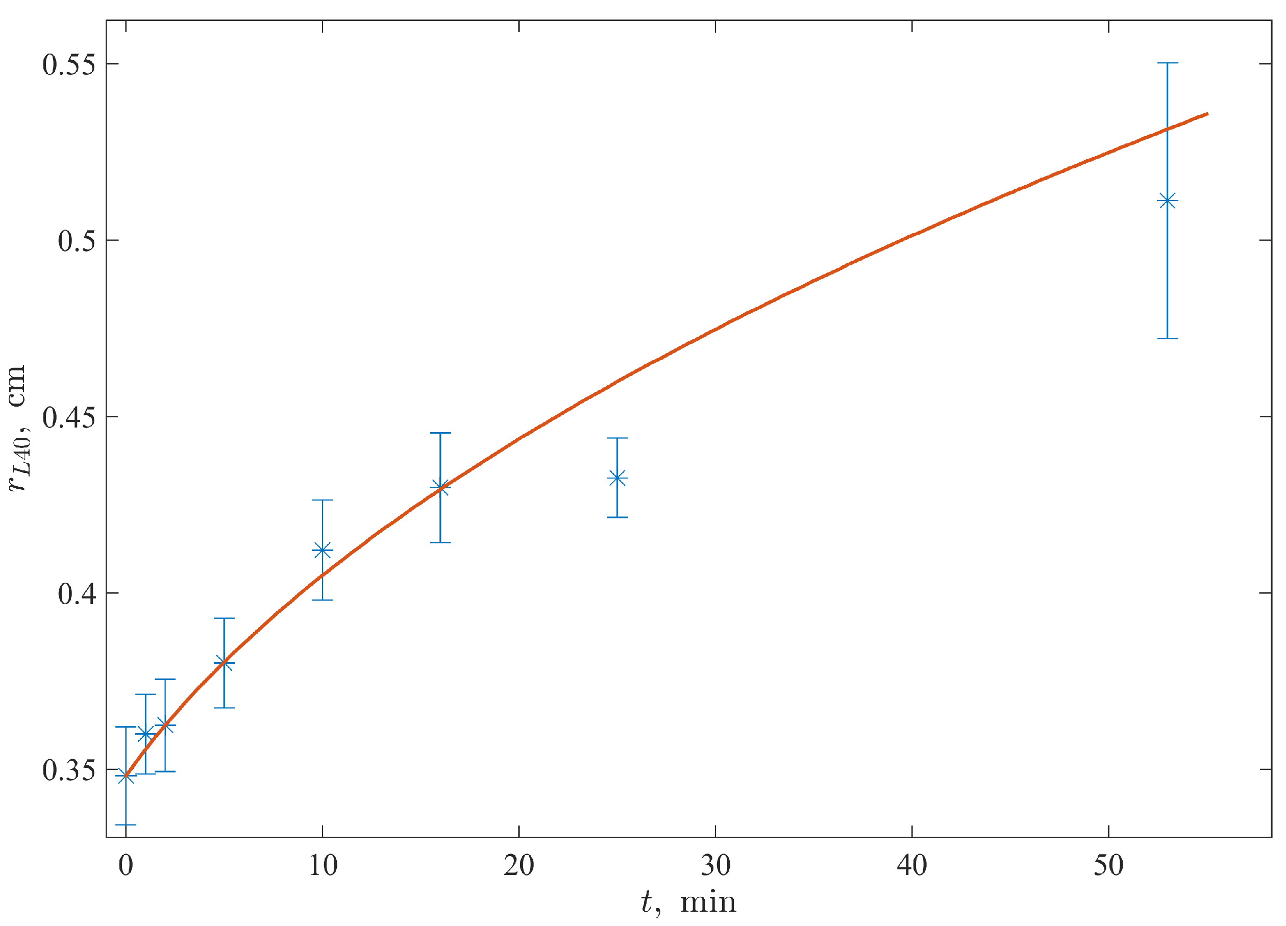
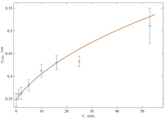
3.1. Computed Tomography Results
3.2. Modeling
4. Discussion
5. Conclusions
Author Contributions
Funding
Data Availability Statement
Conflicts of Interest
References
- Lei, Y.; Han, H.; Yuan, F.; Javeed, A.; Zhao, Y. The brain interstitial system: Anatomy, modeling, in vivo measurement, and applications. Prog. Neurobiol. 2017, 157, 230–246. [Google Scholar] [CrossRef] [PubMed]
- Shetty, A.K.; Zanirati, G. The Interstitial System of the Brain in Health and Disease. Aging Dis. 2020, 11, 200–211. [Google Scholar] [CrossRef] [PubMed]
- Nicholson, C.; Hrabětová, S. Brain Extracellular Space: The Final Frontier of Neuroscience. Biophys. J. 2017, 113, 2133–2142. [Google Scholar] [CrossRef] [PubMed]
- Chatterjee, K.; Carman-Esparza, C.M.; Munson, J.M. Methods to measure, model and manipulate fluid flow in brain. J. Neurosci. Methods 2020, 333, 108541. [Google Scholar] [CrossRef] [PubMed]
- Hladky, S.B.; Barrand, M.A. The glymphatic hypothesis: The theory and the evidence. Fluids Barriers CNS 2022, 19, 9. [Google Scholar] [CrossRef]
- Postnikov, E.B.; Lavrova, A.I.; Postnov, D.E. Transport in the Brain Extracellular Space: Diffusion, but Which Kind? Int. J. Mol. Sci. 2022, 23, 12401. [Google Scholar] [CrossRef]
- Tønnesen, J.; Hrabĕtová, S.; Soria, F.N. Local diffusion in the extracellular space of the brain. Neurobiol. Dis. 2023, 177, 105981. [Google Scholar] [CrossRef]
- Nance, E.; Pun, S.H.; Saigal, R.; Sellers, D.L. Drug delivery to the central nervous system. Nat. Rev. Mater. 2022, 7, 314–331. [Google Scholar] [CrossRef]
- Gu, Z.; Chen, H.; Zhao, H.; Yang, W.; Song, Y.; Li, X.; Wang, Y.; Du, D.; Liao, H.; Pan, W.; et al. New insight into brain disease therapy: Nanomedicines-crossing blood–brain barrier and extracellular space for drug delivery. Expert Opin. Drug Deliv. 2022, 19, 1618–1635. [Google Scholar] [CrossRef]
- Jamal, A.; Yuan, T.; Galvan, S.; Castellano, A.; Riva, M.; Secoli, R.; Falini, A.; Bello, L.; Rodriguez y Baena, F.; Dini, D. Insights into infusion-based targeted drug delivery in the brain: Perspectives, challenges and opportunities. Int. J. Mol. Sci. 2022, 23, 3139. [Google Scholar] [CrossRef]
- Smith, Q.R. Brain Perfusion Systems for Studies of Drug Uptake and Metabolism in the Central Nervous System. In Models for Assessing Drug Absorption and Metabolism; Pharmaceutical Biotechnology; Springer: Boston, MA, USA, 1996. [Google Scholar] [CrossRef]
- Rossi, S.; Picetti, E.; Zoerle, T.; Carbonara, M.; Zanier, E.R.; Stocchetti, N. Fluid management in acute brain injury. Curr. Neurol. Neurosci. Rep. 2018, 18, 74. [Google Scholar] [CrossRef] [PubMed]
- Wintermark, M.; Sesay, M.; Barbier, E.; Borbély, K.; Dillon, W.P.; Eastwood, J.D.; Glenn, T.C.; Grandin, C.B.; Pedraza, S.; Soustiel, J.F.; et al. Comparative overview of brain perfusion imaging techniques. Stroke 2005, 36, e83–e99. [Google Scholar] [CrossRef] [PubMed]
- Miles, K.A. Brain perfusion: Computed tomography applications. Neuroradiology 2004, 46, s194–s200. [Google Scholar] [CrossRef] [PubMed]
- Zeng, D.; Zeng, C.; Zeng, Z.; Li, S.; Deng, Z.; Chen, S.; Bian, Z.; Ma, J. Basis and current state of computed tomography perfusion imaging: A review. Phys. Med. Biol. 2022, 67, 18TR01. [Google Scholar] [CrossRef] [PubMed]
- Kamphuis, M.E.; Greuter, M.J.W.; Slart, R.H.J.A.; Slump, C.H. Quantitative imaging: Systematic review of perfusion/flow phantoms. Eur. Radiol. Exp. 2020, 4, 15. [Google Scholar] [CrossRef]
- McGarry, C.K.; Grattan, L.J.; Ivory, A.M.; Leek, F.; Liney, G.P.; Liu, Y.; Miloro, P.; Rai, R.; Robinson, A.P.; Shih, A.J.; et al. Tissue mimicking materials for imaging and therapy phantoms: A review. Phys. Med. Biol. 2020, 65, 23TR01. [Google Scholar] [CrossRef] [PubMed]
- Chen, Z.J.; Gillies, G.T.; Broaddus, W.C.; Prabhu, S.S.; Fillmore, H.; Mitchell, R.M.; Corwin, F.D.; Fatouros, P.P. A realistic brain tissue phantom for intraparenchymal infusion studies. J. Neurosurg. 2004, 101, 314–322. [Google Scholar] [CrossRef]
- Pomfret, R.; Miranpuri, G.; Sillay, K. The substitute brain and the potential of the gel model. Ann. Neurosci. 2013, 20, 118–122. [Google Scholar] [CrossRef]
- Rauti, R.; Renous, N.; Maoz, B.M. Mimicking the brain extracellular matrix in vitro: A review of current methodologies and challenges. Isr. J. Chem. 2020, 60, 1141–1151. [Google Scholar] [CrossRef]
- Axpe, E.; Orive, G.; Franze, K.; Appel, E.A. Towards brain-tissue-like biomaterials. Nat. Commun. 2020, 11, 3423. [Google Scholar] [CrossRef]
- Bouattour, Y.; Sautou, V.; Hmede, R.; El Ouadhi, Y.; Gouot, D.; Chennell, P.; Lapusta, Y.; Chapelle, F.; Lemaire, J.J. A Minireview on Brain Models Simulating Geometrical, Physical, and Biochemical Properties of the Human Brain. Front. Bioeng. Biotechnol. 2022, 10, 818201. [Google Scholar] [CrossRef] [PubMed]
- Forte, A.E.; Galvan, S.; Manieri, F.; Rodriguez y Baena, F.; Dini, D. A composite hydrogel for brain tissue phantoms. Mater. Des. 2016, 112, 227–238. [Google Scholar] [CrossRef]
- Lovett, M.L.; Nieland, T.J.F.; Dingle, Y.T.L.; Kaplan, D.L. Innovations in 3D tissue models of human brain physiology and diseases. Adv. Funct. Mater. 2020, 30, 1909146. [Google Scholar] [CrossRef]
- Mohapatra, S.; Mirza, M.; Hilles, A.R.; Zakir, F.; Gomes, A.C.; Ansari, M.J.; Iqbal, Z.; Mahmood, S. Biomedical application, patent repository, clinical trial and regulatory updates on hydrogel: An extensive review. Gels 2021, 7, 207. [Google Scholar] [CrossRef] [PubMed]
- Kasai, R.D.; Radhika, D.; Archana, S.; Shanavaz, H.; Koutavarapu, R.; Lee, D.Y.; Shim, J. A review on hydrogels classification and recent developments in biomedical applications. Int. J. Polym. Mater. Polym. Biomater. 2022, 2022, 1–11. [Google Scholar] [CrossRef]
- Vanina, A.S.; Sychev, A.V.; Grekhnyova, E.V.; Postnikov, E.B. A collagen network-based hydrogel phantom for testing models of the metabolite transport in the brain parenchyma. In Proceedings of the 2022 Fourth International Conference Neurotechnologies and Neurointerfaces (CNN), Kaliningrad, Russia, 14–16 September 2022; pp. 212–214. [Google Scholar] [CrossRef]
- Vanina, A.S.; Sychev, A.V.; Lavrova, A.I.; Gavrilov, P.V.; Andropova, P.L.; Grekhnyova, E.V.; Kudryavtseva, T.N.; Postnikov, E.B. A hydrogel-based phantom of the brain tissue aimed at modelling complex metabolic transport processes. Eur. Phys. J. Spec. Top. 2022, 2022, 1–9. [Google Scholar] [CrossRef]
- Dong, Y.C.; Bouche, M.; Uman, S.; Burdick, J.A.; Cormode, D.P. Detecting and monitoring hydrogels with medical imaging. ACS Biomater. Sci. Eng. 2021, 7, 4027–4047. [Google Scholar] [CrossRef]
- Riberdy, V.; Ruiz, E.; Hoekstra, N.; Struik, G.; Pignol, J.P. Comparison of visibility of iodinated hydrogel and gadolinium-modified hyaluronic acid spacer gels on computed tomography and onboard imaging. Phys. Imaging Radiat. Oncol. 2022, 21, 48–53. [Google Scholar] [CrossRef]
- Cherstvy, A.G.; Thapa, S.; Wagner, C.E.; Metzler, R. Non-Gaussian, non-ergodic, and non-Fickian diffusion of tracers in mucin hydrogels. Soft Matter 2019, 15, 2526–2551. [Google Scholar] [CrossRef]
- Metzler, R. Brownian motion and beyond: First-passage, power spectrum, non-Gaussianity, and anomalous diffusion. J. Stat. Mech. Theory Exp. 2019, 2019, 114003. [Google Scholar] [CrossRef]
- Sekar, M.P.; Suresh, S.; Zennifer, A.; Sethuraman, S.; Sundaramurthi, D. Hyaluronic Acid as Bioink and Hydrogel Scaffolds for Tissue Engineering Applications. Acs Biomater. Sci. Eng. 2023. [Google Scholar] [CrossRef] [PubMed]
- Nele, V.; Wojciechowski, J.P.; Armstrong, J.P.K.; Stevens, M.M. Tailoring gelation mechanisms for advanced hydrogel applications. Adv. Funct. Mater. 2020, 30, 2002759. [Google Scholar] [CrossRef]
- Haque, M.A.; Kurokawa, T.; Nakajima, T.; Kamita, G.; Fatema, Z.; Gong, J.P. Surfactant induced bilayer-micelle transition for emergence of functions in anisotropic hydrogel. J. Mater. Chem. B 2022, 10, 8386–8397. [Google Scholar] [CrossRef] [PubMed]
- Dawson, G. Measuring brain lipids. Biochim. Biophys. Acta BBA Mol. Cell Biol. Lipids 2015, 1851, 1026–1039. [Google Scholar] [CrossRef]
- Pankova, Y.P.; Dremuk, A.P.; Kienskaya, K.I. Study of the process of micellization in aqueous solutions of alkylpolyglucosides and surfactant mixtures based on it. Butlerov Commun. 2018, 55, 66–72. [Google Scholar]
- Lavrova, A.I.; Sychev, A.V.; Vanina, A.S.; Grekhnyova, E.V.; Postnikov, E.B. Accessing random diffusivity in a hydrogel-based brain’s paranchyma phantom. In Proceedings of the 2022 7th International Conference on Intelligent Informatics and Biomedical Science (ICIIBMS), Nara, Japan, 24–26 November 2022; Volume 7, pp. 243–244. [Google Scholar] [CrossRef]
- Postnikov, E.B.; Chechkin, A.; Sokolov, I.M. Brownian yet non-Gaussian diffusion in heterogeneous media: From superstatistics to homogenization. New J. Phys. 2020, 22, 063046. [Google Scholar] [CrossRef]
- Pardridge, W.M. Brain Drug Targeting. The Future of Brain Drug Development; Cambridge University Press: Cambridge, UK, 2001. [Google Scholar]
- Fenstermacher, J.; Kaye, T. Drug “Diffusion” within the Brain. Ann. N. Y. Acad. Sci. 1988, 531, 29–39. [Google Scholar] [CrossRef]
- Wolak, D.J.; Thorne, R.G. Diffusion of macromolecules in the brain: Implications for drug delivery. Mol. Pharm. 2013, 10, 1492–1504. [Google Scholar] [CrossRef]
- Whitney, E.; Khan, Y.R.; Alastra, A.; Schiraldi, M.; Siddiqi, J. Contrast extravasation post thrombectomy in patients with acute cerebral stroke: A review and recommendations for future studies. Cureus 2020, 12, e10616. [Google Scholar] [CrossRef]
- Hamann, G.F.; Okada, Y.; del Zoppo, G.J. Hemorrhagic transformation and microvascular integrity during focal cerebral ischemia/reperfusion. J. Cereb. Blood Flow Metab. 1996, 16, 1373–1378. [Google Scholar] [CrossRef]
- Peladeau-Pigeon, M.; Coolens, C. Computational fluid dynamics modelling of perfusion measurements in dynamic contrast-enhanced computed tomography: Development, validation and clinical applications. Phys. Med. Biol. 2013, 58, 6111. [Google Scholar] [CrossRef] [PubMed]
- Rogatina, K.V.; Namykin, A.A.; Postnov, D.E. Vascular mesh and diffusive bells: 2D modeling of blood-brain barrier leakage. Proc. SPIE 2019, 11067, 245–250. [Google Scholar] [CrossRef]
- Zhan, W.; Alamer, M.; Xu, X.Y. Computational modelling of drug delivery to solid tumour: Understanding the interplay between chemotherapeutics and biological system for optimised delivery systems. Adv. Drug Deliv. Rev. 2018, 132, 81–103. [Google Scholar] [CrossRef] [PubMed]
- Stine, C.A.; Munson, J.M. Convection-enhanced delivery: Connection to and impact of interstitial fluid flow. Front. Oncol. 2019, 9, 966. [Google Scholar] [CrossRef]
- Ingrisch, M.; Sourbron, S. Tracer-kinetic modeling of dynamic contrast-enhanced MRI and CT: A primer. J. Pharmacokinet. Pharmacodyn. 2013, 40, 281–300. [Google Scholar] [CrossRef]
- Romain, B.; Rouet, L.; Ohayon, D.; Lucidarme, O.; d’Alché Buc, F.; Letort, V. Parameter estimation of perfusion models in dynamic contrast-enhanced imaging: A unified framework for model comparison. Med. Image Anal. 2017, 35, 360–374. [Google Scholar] [CrossRef]
- Spitz, S.; Ko, E.; Ertl, P.; Kamm, R.D. How Organ-on-a-Chip Technology Can Assist in Studying the Role of the Glymphatic System in Neurodegenerative Diseases. Int. J. Mol. Sci. 2023, 24, 2171. [Google Scholar] [CrossRef]



| Additive | Percentage, % | |
|---|---|---|
| None | 9.5 | |
| Lipids | 10% | 9.5 |
| Lipids | 20% | 11.2 |
| Lipids | 30% | 13.2 |
| Surfactant | 10% | 9.2 |
| Surfactant | 20% | 6.5 |
| Surfactant | 30% | 5.0 |
Disclaimer/Publisher’s Note: The statements, opinions and data contained in all publications are solely those of the individual author(s) and contributor(s) and not of MDPI and/or the editor(s). MDPI and/or the editor(s) disclaim responsibility for any injury to people or property resulting from any ideas, methods, instructions or products referred to in the content. |
© 2023 by the authors. Licensee MDPI, Basel, Switzerland. This article is an open access article distributed under the terms and conditions of the Creative Commons Attribution (CC BY) license (https://creativecommons.org/licenses/by/4.0/).
Share and Cite
Vanina, A.S.; Sychev, A.V.; Lavrova, A.I.; Gavrilov, P.V.; Andropova, P.L.; Grekhnyova, E.V.; Kudryavtseva, T.N.; Postnikov, E.B. Computed Tomography-Assisted Study of the Liquid Contrast Agent’s Spread in a Hydrogel Phantom of the Brain Tissue. Fluids 2023, 8, 167. https://doi.org/10.3390/fluids8060167
Vanina AS, Sychev AV, Lavrova AI, Gavrilov PV, Andropova PL, Grekhnyova EV, Kudryavtseva TN, Postnikov EB. Computed Tomography-Assisted Study of the Liquid Contrast Agent’s Spread in a Hydrogel Phantom of the Brain Tissue. Fluids. 2023; 8(6):167. https://doi.org/10.3390/fluids8060167
Chicago/Turabian StyleVanina, Anastasia S., Alexander V. Sychev, Anastasia I. Lavrova, Pavel V. Gavrilov, Polina L. Andropova, Elena V. Grekhnyova, Tatiana N. Kudryavtseva, and Eugene B. Postnikov. 2023. "Computed Tomography-Assisted Study of the Liquid Contrast Agent’s Spread in a Hydrogel Phantom of the Brain Tissue" Fluids 8, no. 6: 167. https://doi.org/10.3390/fluids8060167
APA StyleVanina, A. S., Sychev, A. V., Lavrova, A. I., Gavrilov, P. V., Andropova, P. L., Grekhnyova, E. V., Kudryavtseva, T. N., & Postnikov, E. B. (2023). Computed Tomography-Assisted Study of the Liquid Contrast Agent’s Spread in a Hydrogel Phantom of the Brain Tissue. Fluids, 8(6), 167. https://doi.org/10.3390/fluids8060167

