Abstract
Pressure fluctuation for flow around an airfoil has been well studied for subsonic, transonic and supersonic flows. In this paper, the sonic flow case is studied using a NACA0012 airfoil. It is known that such a flow has a limiting characteristic line which is known to separate the supersonic region into an upstream zone(U-zone) and a downstream zone(D-zone) where the pressure waves propagate into different directions, thus it is interesting to investigate whether the pressure fluctuation also exhibits special behavior along the limiting characteristic line. From an analysis of the pressure fluctuation properties by detached eddy simulation and method of characteristics, it is found that the pressure fluctuation exhibits different behavior in these two zones, and displays interesting properties along the limiting characteristic line. The fluctuation pressure is the largest along the limiting characteristic line, while the correlation coefficient between two adjacent points is the smallest along the limiting characteristic line. Away from the limiting characteristic line, the fluctuation pressure decays. Moreover, there is a spatial variation of the pressure fluctuation across the boundary layer. This spatial variation is in the mid-frequency band in the U-zone, in the high-frequency band in the D-zone, and in the entire-frequency band along the limiting characteristics line.The special behavior of the pressure fluctuation along the limiting characteristic line revealed by this study enriches our knowledge about transonic flow.
1. Introduction
The pressure fluctuation of the flow near the surface of aircraft may induce damage-causing structural vibration and bothering noise environment that affects the normal operation of airborne instruments [1]. For this reason the problem of pressure fluctuation for an airfoil has received considerable interests.
For subsonic flow, the wall fluctuating pressure generated around a NACA0012 airfoil with the attack angle of 10 has been studied numerically by Wang and Tian [2], the frequency property shows that the fluctuating pressure is dominated by the vortex shedding for stationary situation and the flapping for the pitching situation, respectively. For the stationary and low frequency pitching airfoil, the fluctuation of the high frequency band induced by the vortex scattering are crucial, which is decreased by the high frequency pitching. In addition, Awasthi et al. [3] used the large eddy simulation (LES) method to simulate the characterization of the wall fluctuating pressure, the computations of pressure fluctuation around the airfoil and near the trailing-edge are consistent with the measurements in the low-to-mid frequency band, and the histogram distribution of surface pressure fluctuation within the separation bubble upstream of the airfoil shows serious streamwise difference reflecting the instantaneous nature of the flow in this region.
For transonic flow, Hillenherms and Limberg [4] has experimentally measured the fluctuating pressure on a pitching airfoil. They found that, on the upper side of the pitching airfoil, maximum fluctuation levels occur for Mach numbers of 0.72 to 0.77 which is not only in the region of the shock but overall on the upper side, since this is likely due to a higher fluctuation level of the incoming flow. Hasan and Alam [5] used numerical simulation to investigate the fluctuating pressure over a supercritical airfoil for a fixed free-stream Mach number of 0.77 and at angle of attack varying from 2 to 7. They found that the values of peak pressure fluctuation is increased with an increase of angle of attack, and the location of peak pressure fluctuation is shifted toward the leading edge of the airfoil with increasing angle of attack. Chen, Xu and Lu [6] used detached-eddy simulation (DES) to study pressure fluctuation at Mach number and discovered that the velocity of downstream-propagating waves in the separated boundary layer is close to the convection speed of the coherent vortical structures, the power spectral density function (PSD) properties show that there are various spectral scalings with the frequency in different flow regions.
For supersonic flow, Messiter [7] combined the method of multiple scales and matched asymptotic expansions to derive the disturbances caused by an oscillating airfoil. They found that the oscillatory part of the pressure at a leading-edge shock wave diminishes fleetly with increasing distance from the edge. Later, fluctuating pressure around airfoil has been studied experimentally by Fleeter [8] for six different oscillating airfoil surfaces in a supersonic flowfield, and the unsteady pressure fluctuation properties is correlated with Mach number.
Past studies of airfoil pressure fluctuation have focused on the wall surface. In generally, pressure fluctuation propagates at the speed of sound, so it is imaginable that the pressure fluctuation does not vary significantly across the boundary layer. However, at least for academic purpose, it is interesting to investigate whether the variation of pressure fluctuation is indeed negligible across the boundary layer.
For a pure turbulent boundary layer, Panton, Lee and Moser [9] used direct numerical simulation (DNS) method to investigate the correlation of spatial fluctuating properties in turbulent layers, and the root-mean-square (RMS) pressure fluctuations in the inner and outer layers are correlated for different Reynolds numbers. They discovered that there are small variations of fluctuating pressure across the boundary layer and the outer layer profiles of the fluctuation properties correlate very well for various Reynolds numbers, however, the correlation in inner profiles is not excellent, and the overlap matching area has logarithmic behavior.
Zhang and Wu [10] studied the fluctuating pressure near the expansion corner in supersonic flow and found that near the corner the fluctuation pressure varies across the boundary layer. Moreover, there exists a region bounded by the characteristics lines that the variation of the pressure fluctuation is pronounced. They identified three zones: U-zone, M-zone and D-zone inside which the variation of the pressure fluctuation exhibits various behaviors, due to that disturbance in supersonic flow propagate along inside the Mach cone.
In this paper, we consider the spatial pressure fluctuation properties inside the supersonic flow region of a NACA0012 airfoil at sonic inflow condition, that is, the upstream flow Mach number is one. The reason to consider this case is that there is a limiting characteristics line in the supersonic zone, upstream and downstream of which the pressure waves propagate in different directions. It is expected that the spatial variation of pressure perturbation may exhibit similar interesting phenomena like in the supersonic expansion corner case, and more undesired properties due to the existence of limiting characteristics line.
Here, in this work, we relate the spatial distribution of the fluctuating pressure to the propagation of the characteristics around NACA0012 airfoil, at sonic inflow. In Section 2, we will introduce the sonic flow problem and numerical problem. The division of the flow domain into U-zone and D-zone according to the limiting characteristic line will be described in Section 3. The results of the spatial distribution of fluctuation properties in the two different zones are given in Section 4, where the pressure distributions properties will be measured by the root-mean-square fluctuating pressure coefficient () and power spectral density function () [11]. The special behaviors of spatial distribution of and in U-zone and D-zone will be presented in Section 5. Finally, conclusion will be given in Section 6.
2. The Sonic Flow Problem and Numerical Method for Simulation
2.1. Sonic Flow and Limiting Characteristic Line
In the present paper we consider a two-dimensional flow around the NACA0012 airfoil at sonic inflow, i.e., the free-stream Mach number . At this condition, it is well-known that there is a large bulk of supersonic flow region near the airfoil and there is a limiting characteristic line [12], see Figure 1 for a schematic display of the flow.
Figure 1.
Limiting characteristics at the speed of sound [12].
In Figure 1, dashed lines such as denote sonic line and is the recompression shock. The limiting characteristic line, which contains the segment , lies between and and extends to infinity. Upstream of , the characteristics propagate upstream and the characteristics lines join the sonic line . Downstream of , the characteristics propagate downstream and join the recompression shock . The limiting characteristic line meets the sonic line and the recompression shock at infinity.
Landau and Lifshitz [12] provided the analytical formula for the shape of this limiting characteristics line, as well as the sonic line and shock wave. The coordinates of these lines are given by
The parameter k is an arbitrary positive constant which depends on the actual shape of the airfoil. In our case of NACA0012 airfoil, we find In Equation (1), the value of s is determined by
where f and satisfy
In (3), , is the ratio of specific heat, V is the fluid velocity, is the critical speed, is the angle between the velocity and x-axis. When is small enough, the velocity and , where c is the speed of sound.
The sonic line corresponds to , and limiting characteristic line to , the shock line to .
2.2. Numerical Simulation Method
Various authors have used numerical simulation to study pressure fluctuation, with special attention on the choice of turbulence models, including Reynolds averaged Navier–Stokes (RANS) method (e.g., Lozano and Paniagua [13], Soni et al. [14]), detached eddy simulation (DES) method (e.g., Chen, Xu and Lu [6]), large eddy simulation (LES) method (e.g., Awasthi et al. [3]) and direct numerical simulation (DNS) method (e.g., Richard [15]).
To study the spatial distribution of fluctuation properties around an expansion corner, the present authors used DES for numerical simulation [10]. This method has been proposed by Spalart [16]. As in the previous work, the unsteady compressible Navier-Stokes equations are solved by means of the second-order-accurate implicit Roe scheme based on finite difference simulation. For unsteady computation, the time step is fixed to be s, and the total number of time iterations is . The implicit scheme involves internal iteration for each physical time step, and we require the inner-residuals of each iteration be . We have tested three grids of different density: 50, 80 and 100 thousands of grid points, with refinement near the wall and we found that a grid of 80 thousand elements with refinement near the wall and limiting characteristics is suitable to give the required results. The mesh has a wall normal resolution of ~ 0.5 in the densified region (e.g., [17]), and increases smoothly at a rate 1.05 away from the wall.
We have not found experimental result of NACA0012 at sonic inflow, so we choose an inflow Mach number that is close to unity and for which we can find experimental results.
The fluctuating pressure around NACA0012 airfoil has been studied experimentally by Ren [18] with the free-stream mach number . This experiment was carried out to investigate the fluctuating wall-pressure field along chord and spanwise, and the results of the measurements of pressure coefficient (Cp) and sound pressure level (SPL) were given in this paper.
As usual, is defined by , where and are density and velocity of the free-stream, T is the entire sampling time, is the average pressure during the total sampling process, is the rms of the fluctuating pressure, is the the momentary pressure at a specified point in the flow field that is recorded during numerical simulation. PSD (denoted ) is obtained by the Fourier transform of the pressure change in the time domain by , where is the frequency (Hz).
We tested the above numerical method against the experimental results of Ren [18] and the comparison of pressure coefficient () and the sound pressure level are shown in Figure 2 It is seen that the comparison is reasonably good.
Figure 2.
Comparison of results [18]. (a) Pressure Coefficient along the flow direction on the wall (c is the chord). (b) Sound Pressure Levels(SPL)at different Mach numbers (x/c = 0.75).
3. Limiting Characteristics and Definition of U-Zone and D-Zone
3.1. Method to Find Characteristic Lines from CFD Data
In order to define the U-zone and D-zone divided by the limiting characteristic line and distribute sampling points along the characteristic lines, we need to obtain the characteristic lines from the numerical solution of the flow field. A simple method has been described by Zhang and Wu [10]. Here we simply recall how it is used.
For the isentropic supersonic flow region, the characteristic lines are given by
where is the eigenvalue. The value corresponds to the first family of characteristics, and the second family of the characteristics corresponds to , where and are defined by
and u and v are the velocity components; is the Mach number; a is the speed of sound. In the present paper only the second family of characteristics is used.
Once the numerical solution of the mean flow field is obtained by numerical simulation, the expressions (4) and (5) are used to obtain the characteristic lines.
For numerical simulation of the present problem, we used a computational domain and boundary conditions as shown in Figure 3 The upstream flow is a sonic flow, with a freestream Mach number . The right boundary is a pressure exit, and the other sides are pressure far field condition. The wall has a no-slip condition. The Reynolds number based on the chord ( mm) is , with a freestream turbulent intensity Tu = 5%.
Figure 3.
NACA0012 airfoil computed model.
Now we use the local flow parameters from numerical results and apply (4) and (5) to obtain the characteristic lines. The results are given in Figure 4, where we also display the sonic line, limiting characteristic line and the recompression shock wave, obtained by both theory (see (1)) and numerical simulation. As in Figure 1, AB is sonic line, CD is limiting characteristics, EF is shock wave. Note that inside the boundary layer and very close to the wall, so that we have no real values of and . As in our previous work, in such regions, we simply extend the characteristic lines to the wall using straight lines.
Figure 4.
Limiting Characteristics in the Mach number contour map [12].
From Figure 4, we see that the theory matches the numerical simulation and that the propagation of characteristics indeed follows two different directions according to whether they are upstream and downstream of the limiting characteristic line.
3.2. Division of the U-Zone and D-Zone
For the problem of the pressure fluctuation of expansion corner, Zhang and Wu [10] have found that the region near the corner can be divided into three zones with different pressure fluctuation properties. For the present problem, since pressure disturbance propagates along the characteristic lines and since the characteristics (of second family) propagate at different direction according to whether they are upstream and downstream of the limiting characteristic line, we intend to divide the flow region into two zones: U-zone and D-zone, as shown in Figure 5. The U-zone is the region which lies between the sonic line and the limiting characteristics . The D-zone is the region which lies between the limiting characteristics and the shock wave .
Figure 5.
The U-Zone and D-Zone.
It is expected that the pressure fluctuation in the U-zone does not affect that in the D-zone, and that in the D-zone does not affect that in the U-zone.
4. The and PSD in the Various Zones
The spatial distributions of the numerical results of fluctuating pressure properties and within the boundary layer are given along the direction of characteristic lines in various zones. First we discuss how the sampling points are chosen in order to study the spatial distribution related to characteristics.
4.1. Distribution of Sampling Points
The sampling points are evenly arranged at different zones along the characteristic lines around the NACA0012 airfoil, and the positions of these points are given in Figure 6. The sampling points are distributed over a finite number of characteristic lines labeled “a”, “b”,…“g”. The limiting characteristic line corresponds to “d”. Thus, the characteristic lines “a”, “b”, “c” are upstream of the limiting characteristics, and the lines “e”, “f”, “g” are downstream of the limiting characteristics. Along each characteristic line, we put a point at (wall surface), a point at (inside the buffer layer), a point at (inside the log-law layer) and a point at (inside the outer layer), and these points are labelled with subscripts “1”, “2”, “3” and “4”, respectively. The points with lie in the U-zone, and the points with lie in the D-zone.
Figure 6.
The distribution of measuring points.
As stated in Introduction, for airfoils the fluctuation properties have been considered mainly along the wall, possibly for reason that these properties do not vary across the boundary layer due to the rapid propagation of sound waves compared to the thickness of the boundary layer. Now we output these pressure perturbation properties at the various points as shown in Figure 6 to see if noticeable variation across the boundary layer exists and if yes how this variation is associated with the characteristic lines upstream and downstream of the limiting characteristic line.
4.2. The Distribution of in the Various Zones
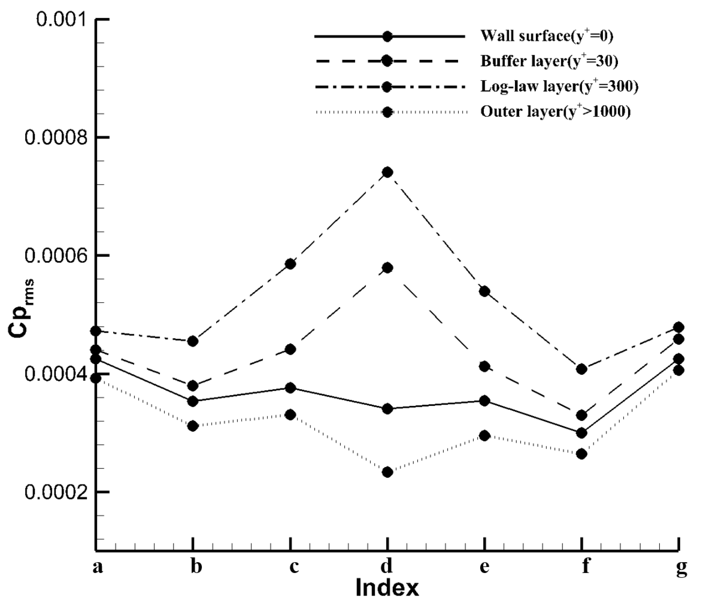
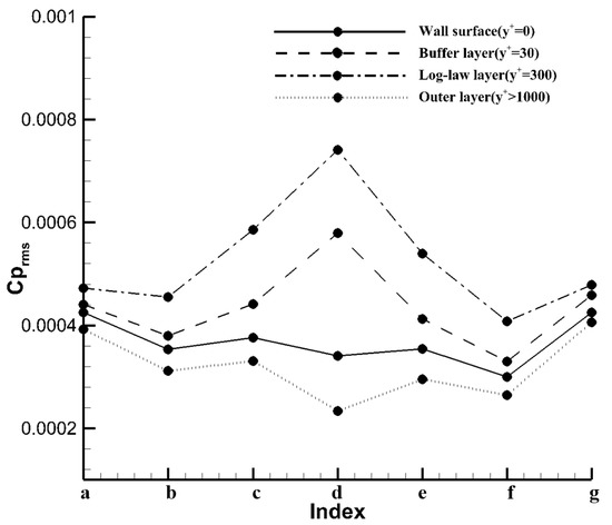
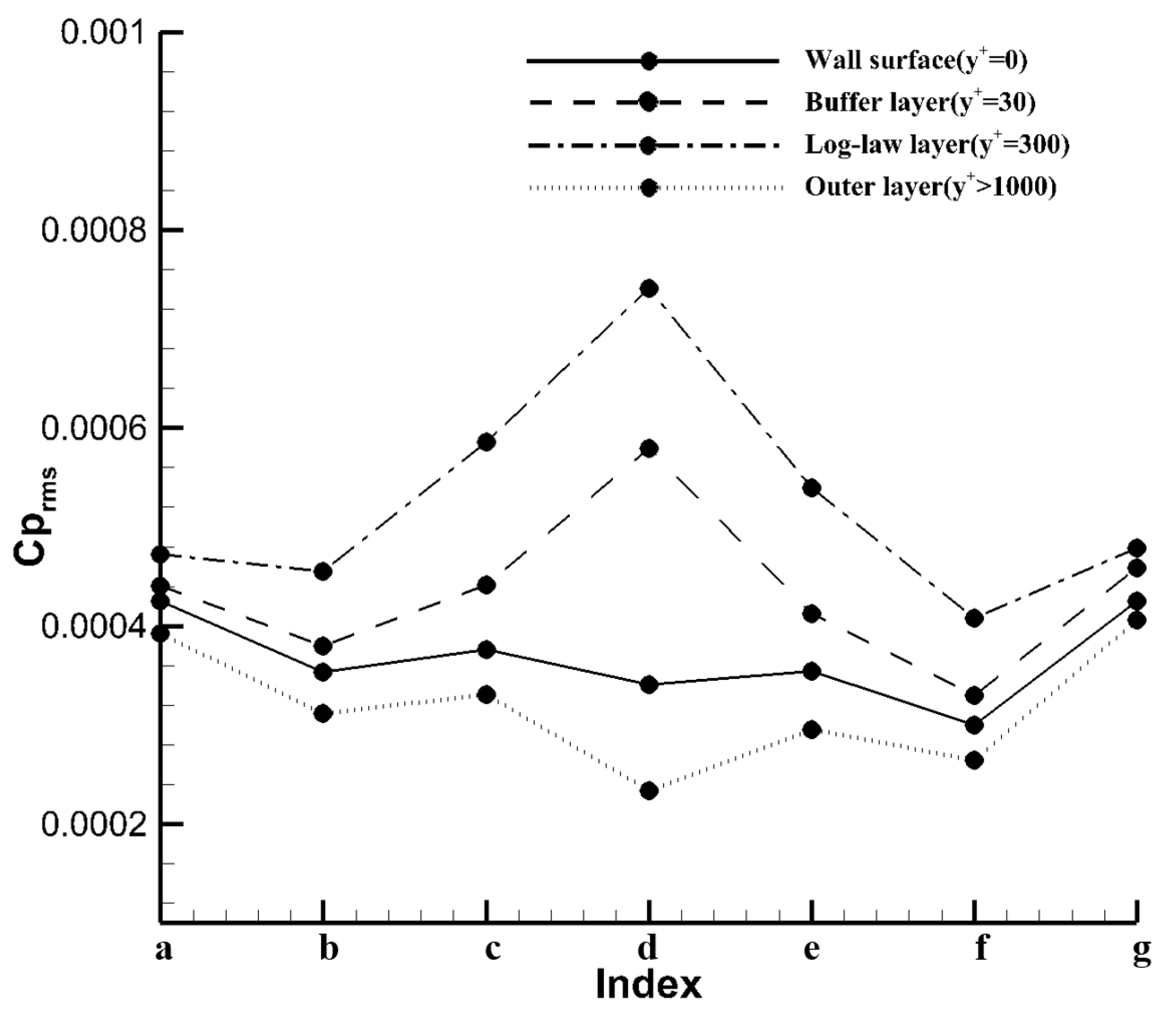
The distribution of within the boundary layer obtained by numerical simulation is shown in Figure 7. The abscissa “a~g” correspond to the different characteristic lines displayed in Figure 6. The four curves correspond to the four points (1,2,3,4) inside the boundary layer as shown in Figure 6.
Figure 7.
The distribution of within boundary layer near limiting characteristics.
As can be seen from Figure 7, varies much across the boundary layer near the limiting characteristic line, and this variation diminishes away from the limiting characteristic line. There may be some intrinsic reason for this that may need be considered further. Moreover, has different values within the boundary layer: reaches maximum in the log-law layer (, labeled “3”) and the minimum value in the outer layer (, labeled “4”). Thus, the wall pressure fluctuation is less intense than that in the log-law layer.
Along the characteristic line, in the log-law layer, which is larger than outer layer () and larger than wall surface ().
At point a, in the log-law layer, which is larger than outer layer () and larger than wall surface ().
At point g, in the log-law layer, which is larger than outer layer () and larger than wall surface ().
4.3. The in the Various Zones
For the positions a,b,c which are upstream of the limiting characteristic line, the numerical results of PSD at locations 2, 3 and 4 in the boundary layer are displayed in Figure 8a–c. Recall that location 2 is at (buffer layer), location 3 is at (log-law layer) and location 4 is at (outer layer). We see that the PSDs at the three locations have differences in the mid-frequency band, and have littile difference in the low-frequency and high-frequency band. The values of in the mid-frequency band first increase and then decrease with the distance from the wall. Thus, the pressure perturbation variation across the boundary layer is due to the middle-frequency perturbation. Approaching the limiting characteristics line along the flow direction, the spatial difference of PSD gradually increases. Thus, the frequency properties of fluctuating pressure show differences in the mid-frequency in “U-zone”.
Figure 8.
PSD at positions “a~c”.
On the limiting characteristic line (point “d”), at the locations 2, 3 and 4 are displayed in Figure 9. On the limiting characteristc line, at different layers show differences over the entire-frequency band. As for points a,b,c, the values of PSD first increases and then diminishes with the distance from the wall and it reaches the maximum value at (log-law layer). That is, the frequency properties of fluctuating pressure show differences in the entire-frequency along the “limiting characteristics”.
Figure 9.
PSD at positions “d”.
The numerical results of at positions “e~g” (downstream from the limiting characteristics ) are displayed in Figure 10. The curves of the at (buffer layer), (log-law layer) and (outer layer) show differences in the high-frequency band, however, they almost overlap in the low-frequency and mid-frequency band. In the flow direction away from the limiting characteristics, the difference of PSD gradually decreases. The values of in the high-frequency band first increase and then decrease with the distance from the wall. That is, the frequency properties of fluctuating pressure show differences in the high-frequency in “D-zone”.
Figure 10.
PSD at positions “e~g”.
5. Summary of Fluctuating Pressure Properties
Based on the fluctuation properties displayed in Section 4, we use Figure 11 to summarize the special behaviors of the fluctuating pressure near the limiting characteristics in a sonic flow around NACA0012 airfoil. There are two zones, U-zone and D-zone, as introduced in Section 3.
Figure 11.
The pressure fluctuation in the U-zone and D-zone.
In the U-zone which is upstream of the limiting characteristics, there is spatial variation of across the boundary and this variation becomes important when approaching the limiting characteristics. In the D-zone which is downstream of the limiting characteristics, the spatial variation of gradually increases when approaching the limiting characteristic line. The spatial variation of is the largest along the limiting characteristic line, showing an interesting property of the limiting characteristic line.
Upstream of the limiting characteristic line, PSD shows spatial variation mainly in the middle-frequency band, downstream of the limiting characteritic line the spatial variation of PSA occurs mainly in the high-frequency band, and along the limiting characteristic line this variation occurs over the entire-frequency band.
It is funny to see the correlation of unsteady pressure at two different layers near the limiting characteristic line. The correlation coefficient (named ) of the transient pressure data at two positions A and B is defined by
where is the transient pressure at a certain point x; is the covariance of and ; is the variance of .
The distribution of near the limiting characteristics calculated by Equation (6) is shown in Figure 12, where we displayed between the wall surface and the buffer layer, between the buffer layer and log layer, and between the log layer and the outer layer. It is strange that the correlation between different points is the minimal along the limiting characteristic line. Thus, not only the limiting characteristic line has no interaction with the adjacent characteristic lines, the interaction between various locations along this limiting characteristic line is also the smallest.
Figure 12.
The distribution of the correlation coefficient between different layers near the limiting characteristics.
We observe that a phenomenon occurs both in the U-zone and D-zone. If point A and point B are far from the limiting characteristics(such as position “a” and “g”), the correlation coefficient is a little bit less than 1. If point A and point B are along the limiting characteristics (position “d”), the correlation coefficient is much lower than 1.
6. Conclusions
In this work, the pressure fluctuation properties near the limiting characteristics in a sonic flow (the mach number of inflow is ) around NACA0012 airfoil is studied using numerical method based on DES. The characteristic lines are obtained using the formula for characteristics and using numerical results of flow as input data. The limiting characteristic line is used to divide the supersonic flow zone into two zones: U-zone and D-zone. U-zone is upstream of the limiting characteristic line and D-zone is downstream of this line.
We studied the pressure fluctuation properties inside the U-zone and D-zone, and along the limiting characteristic line. In the U-zone which lies between the sonic line and the limiting characteristics, the values of differ along the characteristic lines within the boundary layer, and the difference gradually increases approaching the limiting characteristics, the variation of PSD occurs in the mid-frequency band in this region, and the correlation coefficient between two adjacent layers is less than 1.
Along the limiting characteristics, both and PSD change significantly in different layers within the boundary layer and the variation of PSD occurs in the entire-frequency band. The correlation coefficient between two adjacent layers is the smallest.
In the D-zone which lies between the limiting characteristics and shock wave, in the process of leaving the limiting characteristics, the variation of gradually decreases in different layers along the characteristic lines, the difference of PSD occurs in the high-frequency band in this region, and the correlation coefficient between two adjacent layers is less than 1.
Thus, the fluctuation pressure and its spatial variation across the boundary layer is strongly determined by the limiting characteristic line. The fluctuation pressure is the largest along the limiting characteristic line, while the correlation coefficient between two adjacent points is the smallest along the limiting characteristic line. Since the waves upstream and downstream of the limiting characteristic line propagate away from the limiting characteristic line, the present finding raises an unanswered question: why the pressure fluctuation is the largest along this line. Away from the limiting characteristic line, the fluctuation pressure decays. There is a spatial variation of the pressure fluctuation across the boundary layer and this spatial variation is in the mid-frequency band in the U-zone, in the high-frequency band in the D-zone, and in the entire-frequency band along the limiting characteristics line. This study revealed a special behavior of the pressure fluctuation along the limiting characteristic line, which not only enriches our knowledge about transonic flow but also raises the question why the pressure fluctuation is the largest along the limiting characteristic line.
Author Contributions
L.Z. and Z.-N.W. have equally contributed to the work. All authors have read and agreed to the published version of the manuscript.
Funding
This work was supported partly by the National Key Project (Grant No. GJXM92579) and the National Science and Technology Major Project 2017-II-003-0015.
Institutional Review Board Statement
Not applicable.
Informed Consent Statement
Not applicable.
Data Availability Statement
Not applicable.
Conflicts of Interest
The authors declare no conflict of interest.
References
- Shiwei, M.; Huabing, J. Discussion on prediction methods of fluctuating pressure environments of flow fields surrounding the aircraft. Equip. Environ. Eng. 2021, 18, 014–022. [Google Scholar]
- Wang, L.; Tian, F.B. Sound generated by the flow around an airfoil with an attached flap: From passive fluid-structure interaction to active control. J. Fluids Struct. 2022, 111, 103571. [Google Scholar] [CrossRef]
- Awasthi, M.; Yauwenas, Y.; Rowlands, J.; Moreau, D.; Doolan, C.J. Characterization of the Fluctuating Pressure Field in the Airfoil-Wall Junction: Measurements and Computations. In Proceedings of the 2018 AIAA/CEAS Aeroacoustics Conference, Atlanta, GA, USA, 25–29 June 2018; pp. 105–177. [Google Scholar] [CrossRef]
- Hillenherms, C.; Schröder, W.; Limberg, W. Experimental investigation of a pitching airfoil in transonic flow. Aerosp. Sci. Technol. 2004, 8, 583–590. [Google Scholar] [CrossRef]
- Hasan, A.B.M.; Alam, M. RANS Computation of Transonic Buffet over a Supercritical Airfoil. Procedia Eng. 2013, 56, 303–309. [Google Scholar] [CrossRef][Green Version]
- Chen, L.W.; Xu, C.Y.; Lu, X.Y. Numerical investigation of the compressible flow past an aerofoil. J. Fluid Mech. 2010, 643, 97–126. [Google Scholar] [CrossRef]
- Messiter, A.F.; Woodruff, S.L. The far field of an oscillating airfoil in supersonic flow. J. Fluid Mech. 1987, 183, 175–183. [Google Scholar] [CrossRef]
- Fleeter, S.; Riffel, R.E. Time-variant aerodynamics of oscillating airfoil surfaces in a supersonic flowfield. AIAA J. 1979, 17, 79–106. [Google Scholar] [CrossRef]
- Panton, R.L.; Lee, M.; Moser, R.D. Correlation of pressure fluctuations in turbulent wall layers. PRFLUIDS 2017, 2, 094604. [Google Scholar] [CrossRef]
- Zhang, L.; Wu, Z.N. Numerical Simulation of Pressure Fluctuation Near an Expansion Corner in a Supersonic Flow of M = 3.01. Fluids 2021, 6, 268. [Google Scholar] [CrossRef]
- Beresh, S.J.; Henfling, J.F.; Spillers, R.W.; Pruett, B.O.M. Fluctuating wall pressures measured beneath a supersonic turbulent boundary layer. Phys. Fluids 2011, 23, 075–110. [Google Scholar] [CrossRef]
- Landau, L.D.; Lifshitz, E.M. Fluid Mechanics, Course of Theoretical Physics; Oxford Pergamon Press: Oxford, UK, 1987; Volume 6, pp. 1–539. [Google Scholar]
- Lozano, F.; Paniagua, G. Airfoil leading edge blowing to control bow shock waves. Sci. Rep. 2020, 10, 21922. [Google Scholar] [CrossRef] [PubMed]
- Soni, R.K.; Arya, N.; De, A. Numerical simulation of supersonic separating-reattaching flow through RANS. J. Phys. Conf. Ser. 2017, 822, 012–037. [Google Scholar] [CrossRef]
- Sandberg, R. Compressible-Flow DNS with Application to Airfoil Noise. Flow Turbul. Combust. 2015, 95, 211–229. [Google Scholar] [CrossRef]
- Spalart, P.R.; Jou, W.; Strelets, M.; Allmaras, S. Comments on the feasibility of LES for wings andon a hybrid RANS/LES approach. In Proceedings of the 1st AFOSR International Conferenceon DNS/LES, Ruston, AP, USA, 1 June 1997; pp. 181–195. [Google Scholar]
- Guilmineau, E.; Deng, G.; Wackers, J. Numerical simulation with a DES approach for automotive flows. J. Fluids Struct. 2011, 27, 807–816. [Google Scholar] [CrossRef]
- Xudong, R.; Zijie, Z.; Chao, G.; Feng, L. Experimental study on buffeting phenomenon of NACA0012 airfoil. Eng. Mech. 2015, 32, 236–242. [Google Scholar]
Publisher’s Note: MDPI stays neutral with regard to jurisdictional claims in published maps and institutional affiliations. |
© 2022 by the authors. Licensee MDPI, Basel, Switzerland. This article is an open access article distributed under the terms and conditions of the Creative Commons Attribution (CC BY) license (https://creativecommons.org/licenses/by/4.0/).











