Viscoelasticity-Induced Instability in Plane Couette Flow at Very Low Reynolds Number
Abstract
:1. Introduction
2. Numerical Method and Procedure
3. Results and Discussion
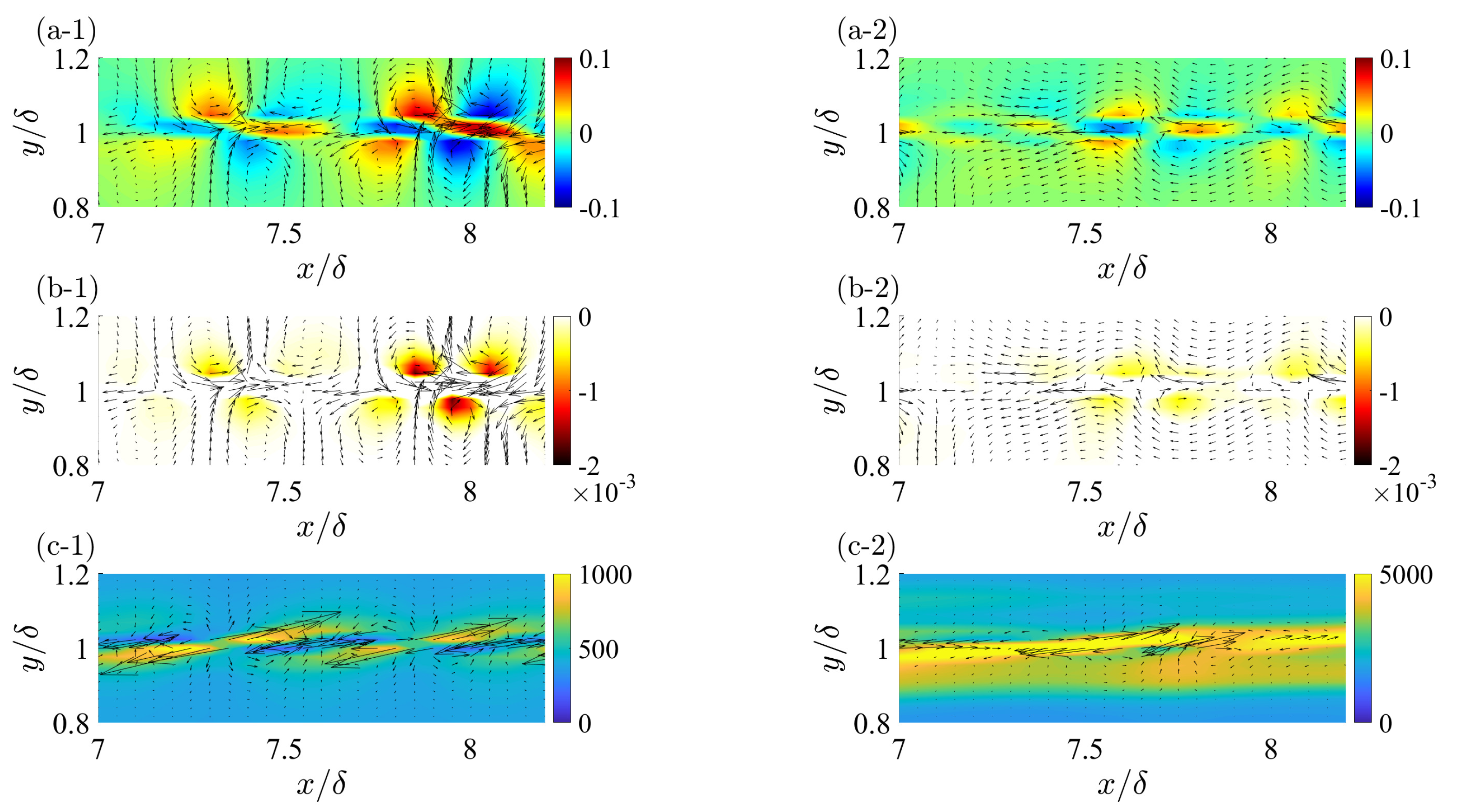
3.1. Onset of a Viscoelasticity-Induced Instability
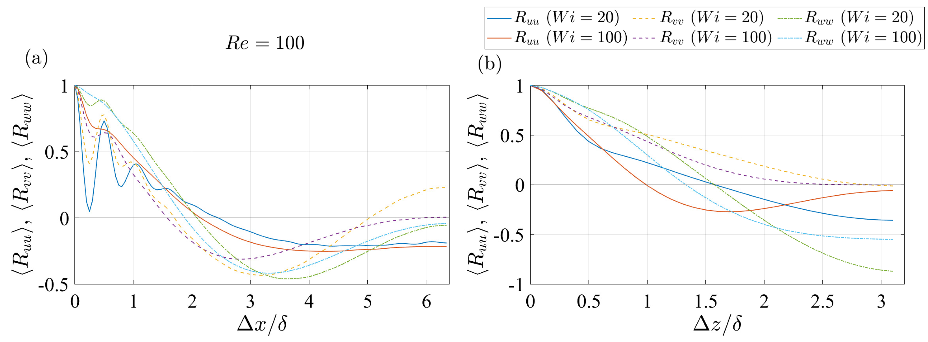
3.2. Scale of EIT Structures
4. Conclusions
Author Contributions
Funding
Institutional Review Board Statement
Informed Consent Statement
Data Availability Statement
Acknowledgments
Conflicts of Interest
Appendix A. Grid Convergence

References
- Toms, B.A. Some observations on the flow of linear polymersolutions through straight tubes at large Reynolds numbers. In Proceedings of the 1st International Congress Rheology, Scheveningen, The Netherlands, 21–24 September 1949; Volume 2, pp. 135–141. [Google Scholar]
- Lumley, J.L. Drag reduction by additives. Annu. Rev. Fluid Mech. 1969, 1, 367–384. [Google Scholar] [CrossRef]
- Virk, P.S. Drag reduction fundamentals. AIChE J. 1975, 21, 625–656. [Google Scholar] [CrossRef]
- Sureshkumar, R.; Beris, A.N.; Handler, R.A. Direct numerical simulation of the turbulent channel flow of a polymer solution. Phys. Fluids 1997, 9, 743–755. [Google Scholar] [CrossRef]
- Dimitropoulos, C.D.; Sureshkumar, R.; Beris, A.N. Direct numerical simulation of viscoelastic turbulent channel flow exhibiting drag reduction: Effect of the variation of rheological parameters. J. Non-Newton. Fluid Mech. 1998, 79, 433–468. [Google Scholar] [CrossRef]
- White, C.M.; Mungal, M.G. Mechanics and prediction of turbulent drag reduction with polymer additives. Annu. Rev. Fluid Mech. 2008, 40, 235–256. [Google Scholar] [CrossRef]
- Graham, M.D. Drag reduction and the dynamics of turbulence in simple and complex fluids. Phys. Fluids 2014, 26, 625–656. [Google Scholar] [CrossRef]
- Ptasinski, P.; Boersma, B.; Nieuwstadt, F.; Hulsen, M.; van den Brule, B.; Hunt, J. Turbulent channel flow near maximum drag reduction: Simulations, experiments and mechanisms. J. Fluid Mech. 2003, 490, 251–291. [Google Scholar] [CrossRef] [Green Version]
- Dubief, Y.; White, C.M.; Terrapon, V.E.; Shaqfeh, E.S.; Moin, P.; Lele, S.K. On the coherent drag-reducing and turbulence-enhancing behaviour of polymers in wall flows. J. Fluid Mech. 2004, 514, 271–280. [Google Scholar] [CrossRef]
- Stone, P.A.; Roy, A.; Larson, R.G.; Waleffe, F.; Graham, M.D. Polymer drag reduction in exact coherent structures of plane shear flow. Phys. Fluids 2004, 16, 3470–3482. [Google Scholar] [CrossRef] [Green Version]
- Samanta, D.; Dubief, Y.; Holzner, M.; Schäfer, C.; Morozov, A.N.; Wagner, C.; Hof, B. Elasto-inertial turbulence. Proc. Natl. Acad. Sci. USA 2013, 110, 10557–10562. [Google Scholar] [CrossRef] [Green Version]
- Dubief, Y.; Terrapon, V.E.; Soria, J. On the mechanism of elasto-inertial turbulence. Phys. Fluids 2013, 25, 110817. [Google Scholar] [CrossRef] [PubMed] [Green Version]
- Forame, P.; Hansen, R.; Little, R. Observations of early turbulence in the pipe flow of drag reducing polymer solutions. AIChE J. 1972, 18, 213–217. [Google Scholar] [CrossRef]
- Hoyt, J. Laminar-turbulent transition in polymer solutions. Nature 1977, 270, 508–509. [Google Scholar] [CrossRef]
- Draad, A.A.; Kuiken, G.; Nieuwstadt, F. Laminar-turbulent transition in pipe flow for Newtonian and non-Newtonian fluids. J. Fluid Mech. 1998, 377, 267–312. [Google Scholar] [CrossRef] [Green Version]
- Choueiri, G.H.; Lopez, J.M.; Hof, B. Exceeding the asymptotic limit of polymer drag reduction. Phys. Rev. Lett. 2018, 120, 124501. [Google Scholar] [CrossRef] [PubMed] [Green Version]
- Lopez, J.M.; Choueiri, G.H.; Hof, B. Dynamics of viscoelastic pipe flow at low Reynolds numbers in the maximum drag reduction limit. J. Fluid Mech. 2019, 874, 699–719. [Google Scholar] [CrossRef] [Green Version]
- Garg, P.; Chaudhary, I.; Khalid, M.; Shankar, V.; Subramanian, G. Viscoelastic pipe flow is linearly unstable. Phys. Rev. Fluids 2018, 121, 024502. [Google Scholar] [CrossRef] [Green Version]
- Chaudhary, I.; Garg, P.; Shankar, V.; Subramanian, G. Elasto-inertial wall mode instabilities in viscoelastic plane Poiseuille flow. J. Fluid Mech. 2019, 881, 119–163. [Google Scholar] [CrossRef]
- Shekar, A.; McMullen, R.M.; Wang, S.N.; McKeon, B.J.; Graham, M.D. Critical-layer structures and mechanisms in elastoinertial turbulence. Phys. Rev. Fluids 2019, 122, 124503. [Google Scholar] [CrossRef] [Green Version]
- Page, J.; Dubief, Y.; Kerswell, R.R. Exact traveling wave solutions in viscoelastic channel flow. Phys. Rev. Lett. 2020, 125, 154501. [Google Scholar] [CrossRef]
- Shekar, A.; McMullen, R.M.; McKeon, B.J.; Graham, M.D. Self-sustained elastoinertial Tollmien–Schlichting waves. J. Fluid Mech. 2020, 897, A3. [Google Scholar] [CrossRef]
- Morozov, A.N.; van Saarloos, W. Subcritical finite-amplitude solutions for plane Couette flow of viscoelastic fluids. Phys. Rev. Fluids 2005, 95, 024501. [Google Scholar] [CrossRef] [PubMed] [Green Version]
- Shaqfeh, E.S. Purely elastic instabilities in viscometric flows. Annu. Rev. Fluid Mech. 1996, 28, 129–185. [Google Scholar] [CrossRef]
- Groisman, A.; Steinberg, V. Elastic turbulence in a polymer solution flow. Nature 2000, 405, 53. [Google Scholar] [CrossRef] [PubMed] [Green Version]
- Morozov, A.; Van Saarloos, W. Subcritical instabilities in plane Poiseuille flow of an Oldroyd-B fluid. J. Stat. Phys. 2019, 175, 554–577. [Google Scholar] [CrossRef] [Green Version]
- Sid, S.; Terrapon, V.E.; Dubief, Y. Two-dimensional dynamics of elasto-inertial turbulence and its role in polymer drag reduction. Phys. Rev. Fluids 2018, 3, 011301. [Google Scholar] [CrossRef]
- Gorodtsov, V.; Leonov, A. On a linear instability of a plane parallel Couette flow of viscoelastic fluid. J. Appl. Math. Mech. 1967, 31, 310–319. [Google Scholar] [CrossRef]
- Renardy, M.; Renardy, Y. Linear stability of plane Couette flow of an upper convected Maxwell fluid. J. Non-Newton. Fluid Mech. 1986, 22, 23–33. [Google Scholar] [CrossRef]
- Lee, K.C.; Finlayson, B.A. Stability of plane Poiseuille and Couette flow of a Maxwell fluid. J. Non-Newton. Fluid Mech. 1986, 21, 65–78. [Google Scholar] [CrossRef]
- Atalık, K.; Keunings, R. Non-linear temporal stability analysis of viscoelastic plane channel flows using a fully-spectral method. J. Non-Newton. Fluid Mech. 2002, 102, 299–319. [Google Scholar] [CrossRef]
- Grillet, A.M.; Bogaerds, A.C.; Peters, G.W.; Baaijens, F.P. Stability analysis of constitutive equations for polymer melts in viscometric flows. J. Non-Newton. Fluid Mech. 2002, 103, 221–250. [Google Scholar] [CrossRef]
- Giesekus, H. A simple constitutive equation for polymer fluids based on the concept of deformation-dependent tensorial mobility. J. Non-Newton. Fluid Mech. 1982, 11, 69–109. [Google Scholar] [CrossRef]
- Nimura, T.; Kawata, T.; Tsukahara, T. Viscoelastic effect on steady wavy roll cells in wall-bounded shear flow. Fluid Dyn. Res. 2018, 50, 051414. [Google Scholar] [CrossRef] [Green Version]
- Nimura, T.; Kawata, T.; Tsukahara, T. Viscoelasticity-induced pulsatile motion of 2D roll cell in laminar wall-bounded shear flow. Int. J. Heat Fluid Flow 2018, 74, 65–75. [Google Scholar] [CrossRef] [Green Version]
- Abe, H.; Kawamura, H.; Matsuo, Y. Direct numerical simulation of a fully developed turbulent channel flow with respect to the Reynolds number dependence. J. Fluids Eng. 2001, 123, 382–393. [Google Scholar] [CrossRef]
- Yu, B.; Kawaguchi, Y. Direct numerical simulation of viscoelastic drag-reducing flow: A faithful finite difference method. J. Non-Newton. Fluid Mech. 2004, 116, 431–466. [Google Scholar] [CrossRef]
- Mei, L.; Qian, S. Electroosmotic flow of viscoelastic fluid in a nanochannel connecting two reservoirs. Micromachines 2019, 10, 747. [Google Scholar] [CrossRef] [Green Version]
- Zhang, M.; Zhang, W.; Wu, Z.; Shen, Y.; Wu, H.; Cheng, J.; Zhang, H.; Li, F.; Cai, W. Modulation of viscoelastic fluid response to external body force. Sci. Rep. 2019, 9, 1–11. [Google Scholar] [CrossRef]
- Zhang, W.H.; Li, J.; Wang, Q.; Ma, Y.; Zhang, H.N.; Yu, B.; Li, F. Comparative study on numerical performances of log-conformation representation and standard conformation representation in the simulation of viscoelastic fluid turbulent drag-reducing channel flow. Phys. Fluids 2021, 33, 023101. [Google Scholar] [CrossRef]
- Zhang, W.H.; Zhang, H.N.; Wang, Z.M.; Li, Y.K.; Yu, B.; Li, F.C. Repicturing viscoelastic drag-reducing turbulence by introducing dynamics of elasto-inertial turbulence. J. Fluid Mech. 2022, 940, A31. [Google Scholar] [CrossRef]
- Tsukahara, T.; Ishigami, T.; Yu, B.; Kawaguchi, Y. DNS study on viscoelastic effect in drag-reduced turbulent channel flow. J. Turbul. 2011, 12, 1–25. [Google Scholar] [CrossRef] [Green Version]
- Duguet, Y.; Schlatter, P.; Henningson, D.S. Formation of turbulent patterns near the onset of transition in plane Couette flow. J. Fluid Mech. 2010, 650, 119–129. [Google Scholar] [CrossRef] [Green Version]
- Nagata, M. Three-dimensional finite-amplitude solutions in plane Couette flow: Bifurcation from infinity. J. Fluid Mech. 1990, 217, 519–527. [Google Scholar] [CrossRef]
- Waleffe, F. Homotopy of exact coherent structures in plane shear flows. Phys. Fluids 2003, 15, 1517–1534. [Google Scholar] [CrossRef] [Green Version]
- Gibson, J.F.; Halcrow, J.; Cvitanović, P. Equilibrium and travelling-wave solutions of plane Couette flow. J. Fluid Mech. 2009, 638, 243–266. [Google Scholar] [CrossRef] [Green Version]
- Terrapon, V.E.; Dubief, Y.; Soria, J. On the role of pressure in elasto-inertial turbulence. J. Turbul. 2015, 16, 26–43. [Google Scholar] [CrossRef] [Green Version]
- Hameduddin, I.; Meneveau, C.; Zaki, T.A.; Gayme, D.F. Geometric decomposition of the conformation tensor in viscoelastic turbulence. J. Fluid Mech. 2018, 842, 395–427. [Google Scholar] [CrossRef] [Green Version]
- Hameduddin, I.; Zaki, T.A. The mean conformation tensor in viscoelastic turbulence. J. Fluid Mech. 2019, 865, 363–380. [Google Scholar] [CrossRef] [Green Version]
- Valente, P.; da Silva, C.; Pinho, F. Energy spectra in elasto-inertial turbulence. Phys. Fluids 2016, 28, 075108. [Google Scholar] [CrossRef]
- Pereira, A.S.; Mompean, G.; Thais, L.; Soares, E.J.; Thompson, R.L. Active and hibernating turbulence in drag-reducing plane Couette flows. Phys. Rev. Fluids 2017, 2, 084605. [Google Scholar] [CrossRef]
- Pereira, A.S.; Thompson, R.L.; Mompean, G. Common features between the Newtonian laminar–turbulent transition and the viscoelastic drag-reducing turbulence. J. Fluid Mech. 2019, 877, 405–428. [Google Scholar] [CrossRef]

















Publisher’s Note: MDPI stays neutral with regard to jurisdictional claims in published maps and institutional affiliations. |
© 2022 by the authors. Licensee MDPI, Basel, Switzerland. This article is an open access article distributed under the terms and conditions of the Creative Commons Attribution (CC BY) license (https://creativecommons.org/licenses/by/4.0/).
Share and Cite
Nimura, T.; Tsukahara, T. Viscoelasticity-Induced Instability in Plane Couette Flow at Very Low Reynolds Number. Fluids 2022, 7, 241. https://doi.org/10.3390/fluids7070241
Nimura T, Tsukahara T. Viscoelasticity-Induced Instability in Plane Couette Flow at Very Low Reynolds Number. Fluids. 2022; 7(7):241. https://doi.org/10.3390/fluids7070241
Chicago/Turabian StyleNimura, Tomohiro, and Takahiro Tsukahara. 2022. "Viscoelasticity-Induced Instability in Plane Couette Flow at Very Low Reynolds Number" Fluids 7, no. 7: 241. https://doi.org/10.3390/fluids7070241
APA StyleNimura, T., & Tsukahara, T. (2022). Viscoelasticity-Induced Instability in Plane Couette Flow at Very Low Reynolds Number. Fluids, 7(7), 241. https://doi.org/10.3390/fluids7070241

