Analysis of a Stator-Rotor-Stator Spinning Disk Reactor in Single-Phase and Two-Phase Boiling Conditions Using a Thermo-Fluid Flow Network and CFD
Abstract
:1. Introduction
2. Single-Phase Flow
2.1. Test Case Description
2.2. 1D Network—Test Case Modelling
2.3. 1D Network—Heat Transfer and Pressure Drop Modelling
2.4. 1D Network—Results
- Conduction becomes the limiting factor for the heat fluxes through the stators. This phenomenon affects also the rotor, but at higher rotational speeds, due to different thicknesses of the two components (4 mm for the stators and only 1 mm for the rotor);
- Flow regime transition occurs on the rotor for values of between 40 rad/s and 60 rad/s. The simulation tool switches between the three different correlations available, with an increase in the convective heat transfer coefficient. This does not occur for the stators, where only Equation (4) is used.
2.5. CFD—Test Case Modelling
2.6. CFD—Results
3. Two-Phase Flow
3.1. Test Case Description
3.2. 1D Network—Heat Transfer and Pressure Losses Modelling
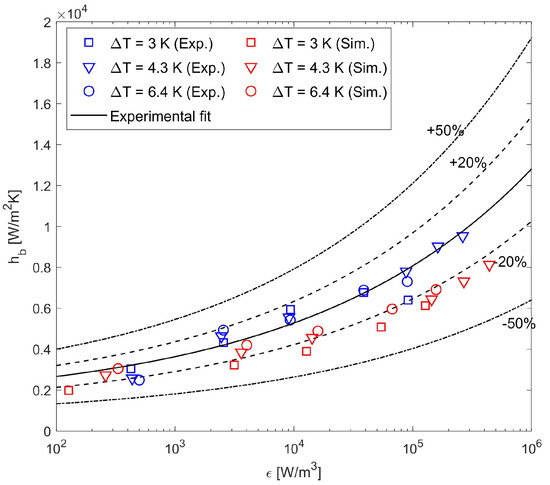
3.3. 1D Network—Results
3.4. CFD—Test Case Modelling
3.5. CFD—Results
4. Conclusions
Author Contributions
Funding
Data Availability Statement
Conflicts of Interest
Nomenclature
| Symbols | |
| Specific heat at constant pressure [J/kgK] | |
| d | Thickness [m] |
| Hydraulic diameter [m] | |
| G | Mass flux [kg/s] |
| Gap ratio | |
| g | Gravitational acceleration [m/s] |
| h | Heat transfer coefficient [W/mK] |
| H | Enthalpy [J/kg] |
| k | Thermal conductivity [W/m K] |
| Mass Flow Rate [kg/s] | |
| Nusselt number referred to the rotor radius | |
| Power dissipated [W] | |
| p | Pressure [Pa] |
| Prandtl number | |
| Q | Thermal power [W] |
| q | Heat flux [W/m] |
| R | Radius [m] |
| Reynolds number referred to | |
| Reynolds number referred to the liquid fraction | |
| Rotational Reynolds number | |
| s | Gap between disks [m] |
| T | Temperature [K] |
| u | Velocity [m/s] |
| V | Volume [m] |
| x | Quality |
| Greeks | |
| Mean mass flux per unit of length [kg/ms] | |
| Specific energy dissipation rate | |
| Heat exchange effectiveness | |
| Dynamic viscosity [Pa· s] | |
| Kinematic viscosity [m/s] | |
| Angular velocity [rad/s] | |
| Volumetric flow rate [l/s] | |
| Density [kg/m] | |
| Subscripts and superscripts | |
| b | Boiling |
| ext | External cavity |
| f | fluid |
| in | inlet |
| int | Internal cavity |
| l | Saturated liquid |
| m | Mean |
| out | Outlet |
| R | Reactor |
| rot | Rotor |
| s | Solid |
| tot | Overall |
| v | Saturated vapor |
| vap | Vaporization |
| w | Wall |
| Acronyms | |
| CFD | Computational Fluid Dynamics |
| DCM | Dichlomomethane |
| srs-SDR | stator-rotor-stator Spinning Disk Reactor |
References
- Moreau, G.M.; Le Thanh, K.; Bachelet, C.H.; Duri, D. Toward the chilldown modeling of cryogenic upper-stage engines under microgravity conditions using the thermal-hydraulic code COMETE. In Proceedings of the EUCASS 2015—6th European Conference for Aeronautics and Space Sciences, Cracovie, Poland, June 2015. [Google Scholar]
- Li, C.; Li, Y.; Cheng, E.; Liu, Z.; Wang, J. Transient characteristics and performances of passive recirculation system for liquid rocket engine precooling. Appl. Therm. Eng. 2019, 149, 41–53. [Google Scholar] [CrossRef]
- Hooser, K.V.; Bailey, J.; Majumdar, A. Numerical prediction of transient axial thrust and internal flows in a rocket engine turbopump. In Proceedings of the 35th AIAA/ASME/SAE/ASEE Joint Propulsion Conference and Exhibit, Los Angeles, CA, USA, 20–24 June 1999. [Google Scholar]
- Kim, S.; Mudawar, I. Review of databases and predictive methods for heat transfer in condensing and boiling mini/micro-channel flows. Int. J. Heat Mass Transf. 2014, 77, 627–652. [Google Scholar] [CrossRef]
- Hartwig, J.; Darr, S.; Asencio, A. Assessment of existing two phase heat transfer coefficient and critical heat flux correlations for cryogenic flow boiling in pipe quenching experiments. Int. J. Heat Mass Transf. 2016, 93, 441–463. [Google Scholar] [CrossRef]
- Mercado, M.; Wong, N.; Hartwig, J. Assessment of two phase heat transfer coefficient and critical heat flux correlations for cryogenic flow boiling in pipe heating experiments. Int. J. Heat Mass Transf. 2019, 113, 295–315. [Google Scholar] [CrossRef]
- Kurul, N.; Podowski, M.Z. On the Modeling of Multidimensional Effects in Boiling Channels. In Proceedings of the ANS. Proc. National Heat Transfer Conference, Minneapolis, MN, USA, 28–31 July 1991. [Google Scholar]
- Tu, J.Y.; Yeoh, G.H. On Numerical Modelling of Low-Pressure Subcooled Boiling Flows. Int. J. Heat Mass Transf. 2002, 45, 1197–1209. [Google Scholar] [CrossRef]
- Das, S.; Punekar, H. On Development of a Semimechanistic Wall Boiling Model. J. Heat Transf. 2016, 4138, 1–10. [Google Scholar] [CrossRef]
- Bianchini, C.; Da Soghe, R.; Mazzei, L.; Caggiano, G.; Angelucci, M. Assessment of CFD models for multiphase heat transfer in different boiling regimes. In Proceedings of the ASME Turbo Expo, Online, 7–11 June 2021; Volume GT2021-59658. [Google Scholar]
- Bartolomej, G.G.; Brantov, V.G.; Molochnikov, Y.S.; Kharitonov, Y.V.; Solodkij, G.N.; Batashova, G.N.; Mikhajlov, V.N. An Experimental Investigation of the True Volumetric Vapour Content with Subcooled Boiling Tubes. Therm. Eng. 1982, 29, 20–22. [Google Scholar]
- Pierre, C.C.S.; Bankoff, S.G. Vapor Volume Profiles in Developing Two-Phase Flow. Int. J. Heat Mass Transf. 1967, 10, 237–249. [Google Scholar] [CrossRef]
- Roy, R.P.; Velidandla, V.; Kalra, S.P. Velocity Field in Turbulent Subcooled Boiling Flow. J. Heat Transf. 1997, 119, 754–766. [Google Scholar] [CrossRef]
- Becker, K.M.; Ling, C.H.; Hedberg, S.; Strand, G. An Experimental Investigation of Post Dryout Heat Transfer; Technical Report KTH-NEL–33 (V.1,2); Department of Reactor Technology, Royal Institute of Technology: Stockholm, Sweden, 1983. [Google Scholar]
- de Beer, M.; Keurentjes, J.; Schouten, J.; van der Schaaf, J. Intensification of convective heat transfer in a stator-rotor-stator spinning reactor. AlChE J. 2015, 61, 2307–2318. [Google Scholar] [CrossRef]
- de Beer, M.; Keurentjes, J.; Schouten, J.; van der Schaaf, J. Forced convection boiling in a stator-rotor-stator spinning disc reactor. AlChE J. 2016, 62, 3763–3773. [Google Scholar] [CrossRef]
- Bejan, A.; Kraus, A. Heat Transfer Handbook; Wiley: Hoboken, NJ, USA, 2003. [Google Scholar]
- de Beer, M.; Loane, L.P.M.; Keurentjes, J.; Schouten, J.; van der Schaaf, J. Single phase fluid-stator heat transfer in a rotor-stator spinning disc reactor. Chem. Eng. Sci. 2014, 119, 88–98. [Google Scholar] [CrossRef]
- Liu, Z.; Winterton, R. A general correlation for saturated and subcooled flow boiling in tubes and annuli, based on a nucleate pool boiling equation. Int. J. Heat Mass Transf. 1982, 25, 945–960. [Google Scholar] [CrossRef]
- Kolokotsa, D.; Yanniotis, S. Experimental study of the boiling mechanism of a liquid film flowing on the surface of a rotating disc. Exp. Therm. Fluid Sci. 2010, 34, 1346–1352. [Google Scholar] [CrossRef]
- Muller-Steinhagen, H.; Heck, K. A simple friction pressure drop correlation for two-phase flow in pipes. Chem. Eng. Process. 1986, 20, 297–308. [Google Scholar] [CrossRef]
- eThermo.us. Dichloromethane: Thermodynamic & Transport Properties. Available online: http://www.ethermo.us/Mars862Vatemp!303.15!1~press!100!3~model!1!1.htm (accessed on 2 December 2021).
- Seshadri, D.N.; Viswanath, D.S.; Kuloor, N.R. Thermodynamic properties of methylene chloride. J. Indian Inst. Sci. 1967, 49, 117–130. [Google Scholar]
- ANSYS Inc. Fluent Theory Guide; ANSYS Inc.: Canonsburg, PA, USA, 2019; Volume Release 2019 R3. [Google Scholar]
- Huiying, L.; Vasquez, S.; Punekar, H.; Muralikrishnan, R. Prediction of Boiling and Critical Heat Flux Using an Eulerian Multiphase Boiling Model. In Proceedings of the ASME Internation Mehcanical Engineering Congress and Exposition, Denver, CO, USA, 11–17 November 2011; pp. 463–476. [Google Scholar]
- Chen, J.C. Correlation for Boiling Heat Transfer to Saturated Fluids in Convective Flow. Ind. Eng. Chem. Process Des. Dev. 1966, 5, 322–329. [Google Scholar] [CrossRef] [Green Version]
- Kutateladze, S.S. Boiling heat transfer. Int. J. Heat Mass Transf. 1961, 4, 31–45. [Google Scholar] [CrossRef]





















| [mm] | [mm] | |
|---|---|---|
| Internal stator | 15.5 | 58.5 |
| Rotor | 17.5 | 71 |
| External stator | 30 | 73 |
| Test Point | [rad/s] | [g/s] | [g/s] | [°C] | [°C] | [°C] |
|---|---|---|---|---|---|---|
| 4 | 0.0 | 14.92 | 2.67 | 47.39 | 43.55 | 33.49 |
| 6 | 10.6 | 14.93 | 2.66 | 46.90 | 42.49 | 33.42 |
| 8 | 21.0 | 14.93 | 2.66 | 46.84 | 42.08 | 33.22 |
| 10 | 42.0 | 14.93 | 2.66 | 46.81 | 41.91 | 33.36 |
| 12 | 63.1 | 14.92 | 2.66 | 46.80 | 42.22 | 33.90 |
| 31 | 0.0 | 14.92 | 2.66 | 55.80 | 48.64 | 34.23 |
| 32 | 10.6 | 14.92 | 2.66 | 55.18 | 46.74 | 34.35 |
| 33 | 21.0 | 14.92 | 2.67 | 54.98 | 46.08 | 34.29 |
| 34 | 42.0 | 14.92 | 2.68 | 54.80 | 45.48 | 34.60 |
| 35 | 62.8 | 14.92 | 2.68 | 54.71 | 45.14 | 34.77 |
Publisher’s Note: MDPI stays neutral with regard to jurisdictional claims in published maps and institutional affiliations. |
© 2022 by the authors. Licensee MDPI, Basel, Switzerland. This article is an open access article distributed under the terms and conditions of the Creative Commons Attribution (CC BY) license (https://creativecommons.org/licenses/by/4.0/).
Share and Cite
Mazzei, L.; Marin, F.M.; Bianchini, C.; Da Soghe, R.; Bertani, C.; Pastrone, D.; Angelucci, M.; Caggiano, G.; de Beer, M. Analysis of a Stator-Rotor-Stator Spinning Disk Reactor in Single-Phase and Two-Phase Boiling Conditions Using a Thermo-Fluid Flow Network and CFD. Fluids 2022, 7, 42. https://doi.org/10.3390/fluids7020042
Mazzei L, Marin FM, Bianchini C, Da Soghe R, Bertani C, Pastrone D, Angelucci M, Caggiano G, de Beer M. Analysis of a Stator-Rotor-Stator Spinning Disk Reactor in Single-Phase and Two-Phase Boiling Conditions Using a Thermo-Fluid Flow Network and CFD. Fluids. 2022; 7(2):42. https://doi.org/10.3390/fluids7020042
Chicago/Turabian StyleMazzei, Lorenzo, Francesco Maria Marin, Cosimo Bianchini, Riccardo Da Soghe, Cristina Bertani, Dario Pastrone, Maddalena Angelucci, Giuseppe Caggiano, and Michiel de Beer. 2022. "Analysis of a Stator-Rotor-Stator Spinning Disk Reactor in Single-Phase and Two-Phase Boiling Conditions Using a Thermo-Fluid Flow Network and CFD" Fluids 7, no. 2: 42. https://doi.org/10.3390/fluids7020042
APA StyleMazzei, L., Marin, F. M., Bianchini, C., Da Soghe, R., Bertani, C., Pastrone, D., Angelucci, M., Caggiano, G., & de Beer, M. (2022). Analysis of a Stator-Rotor-Stator Spinning Disk Reactor in Single-Phase and Two-Phase Boiling Conditions Using a Thermo-Fluid Flow Network and CFD. Fluids, 7(2), 42. https://doi.org/10.3390/fluids7020042

