Experiments and Simulations of Free-Surface Flow behind a Finite Height Rigid Vertical Cylinder
Abstract
:1. Introduction
2. Experimental Setup
3. Numerical Method
3.1. Description of the YALES2 Library
3.2. Treatement of Free-Surfaces in YALES2
3.3. Dimensionless Coefficient and Setup for the Simulation
4. Results and Discussion
4.1. Pressure and Vorticity Fields
4.2. Deformation of the Free Surface
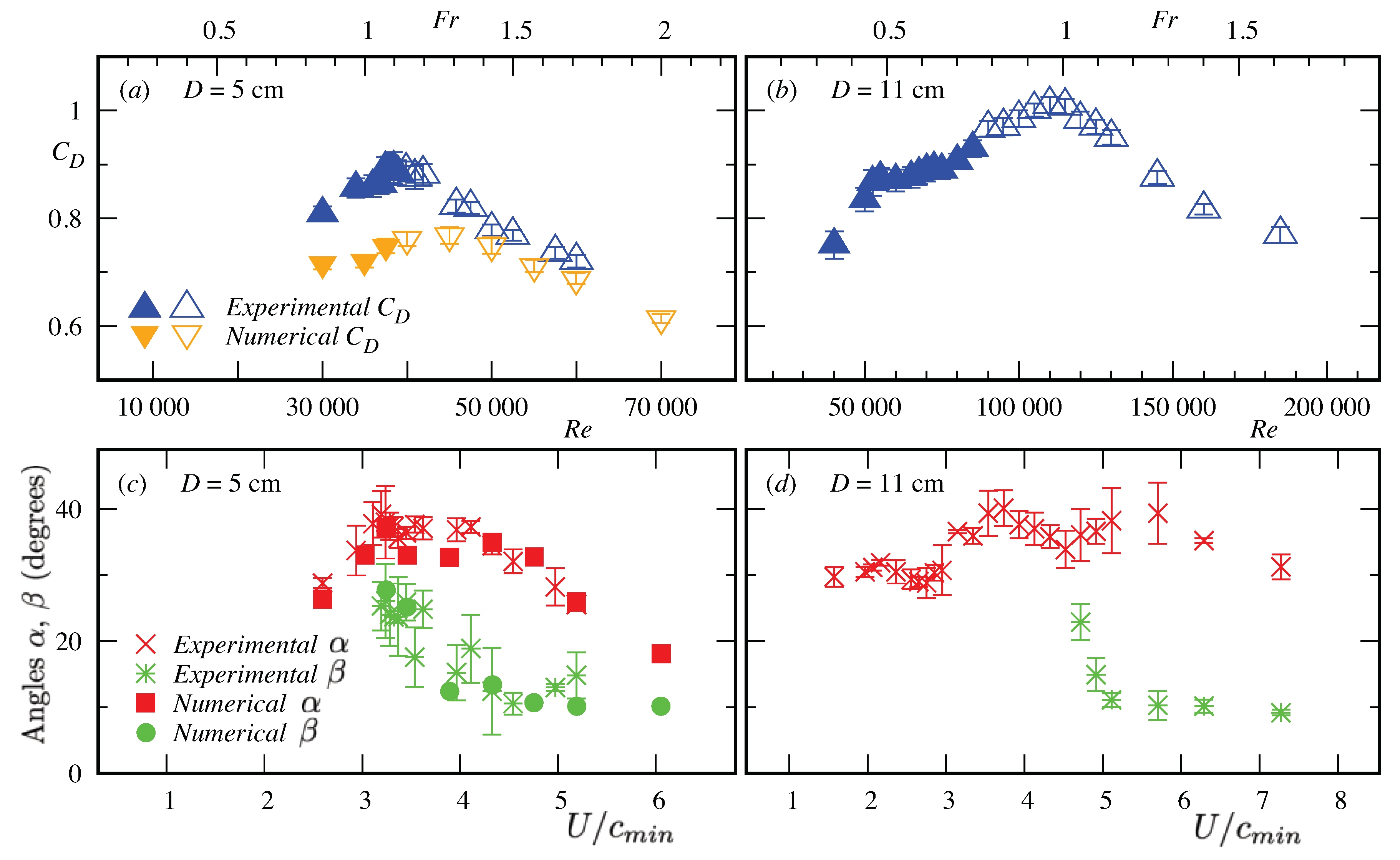
4.3. Drag and Wake Angles
5. Conclusions
Author Contributions
Funding
Acknowledgments
Conflicts of Interest
References
- Schewe, G. On the force fluctuations acting on a circular cylinder in crossflow from subcritical up to transcritical Reynolds numbers. J. Fluid Mech. 1983, 133, 265–285. [Google Scholar] [CrossRef]
- Braza, M.; Perrin, R.; Hoarau, Y. Turbulence properties in the cylinder wake at high Reynolds numbers. J. Fluids Struct. 2006, 22, 757–771. [Google Scholar] [CrossRef] [Green Version]
- Rodríguez, I.; Lehmkuhl, O.; Chiva, J.; Borrell, R.; Oliva, A. On the flow past a circular cylinder from critical to super-critical Reynolds numbers: Wake topology and vortex shedding. Int. J. Heat Fluid Flow 2015, 55, 91–103. [Google Scholar] [CrossRef] [Green Version]
- Thompson, W. On ship waves. Proc. Inst. Mech. Engrs 1887, 38, 409–434. [Google Scholar] [CrossRef]
- Satheesh, S.; Huera-Huarte, F.J. Effect of free surface on a flat plate translating normal to the flow. Ocean Eng. 2019, 171, 458–468. [Google Scholar] [CrossRef]
- Díaz-Ojeda, H.R.; Huera-Huarte, F.J.; González-Gutiérrez, L.M. Hydrodynamics of a rigid stationary flat plate in cross-flow near the free surface. Phys. Fluids 2019, 31, 102108. [Google Scholar] [CrossRef]
- Benham, G.P.; Boucher, J.P.; Labbé, R.; Benzaquen, M.; Clanet, C. Wake drag on asymmetric bodies. J. Fluid Mech. 2019, 878, 147–168. [Google Scholar] [CrossRef] [Green Version]
- Harwood, C.; Young, Y.; Ceccio, S.L. Ventilated cavities on a surface-piercing hydrofoil at moderate Froude numbers: Cavity formation, elimination and stability. J. Fluid Mech. 2016, 800, 5–56. [Google Scholar] [CrossRef]
- Hay, A. Flow about Semi-Submerged Cylinders of Finite Length; Technical Report; Princeton University: Princeton, NJ, USA, 1947. [Google Scholar]
- Chaplin, J.R.; Teigen, P. Steady flow past a vertical surface-piercing circular cylinder. J. Fluids Struct. 2003, 18, 271–285. [Google Scholar] [CrossRef]
- Keough, S.J.; Kermonde, I.L.; Amiet, A.; Philip, J.; Ooi, A.; Monty, J.P.; Anderson, B. Time resolved measurements of wake characteristics from vertical surface-piercing circular cylinders. In Proceedings of the 20th Australian Fluid Mechanics Conference, Perth, Australia, 5–8 December 2016. [Google Scholar]
- Gonçalves, R.T.; Franzini, G.R.; Rosetti, G.F.; Meneghini, J.R.; Fujarra, A.L.C. Flow around circular cylinders with very low aspect ratio. J. Fluids Struct. 2015, 54, 122–141. [Google Scholar] [CrossRef]
- Ageorges, V.; Peixinho, J.; Perret, G. Flow and air-entrainment around partially submerged vertical cylinders. Phys. Rev. Fluids 2019, 4, 064801. [Google Scholar] [CrossRef] [Green Version]
- Inoue, M.; Baba, N.; Himeno, Y. Experimental and numerical study of viscous flow field around an advancing vertical circular cylinder piercing a free-surface. J. Kansai Soc. Naval Arch. 1993, 220, 57–64. [Google Scholar]
- Kawamura, T.; Mayer, S.; Garapon, A.; Sørensen, L. Large eddy simulation of a flow past a free surface piercing circular cylinder. J. Fluids Eng. 2002, 124, 91–101. [Google Scholar] [CrossRef]
- Yu, G.; Avital, E.J.; Williams, J.J. Large eddy simulation of flow past free surface piercing circular cylinders. J. Fluids Eng. 2008, 130, 101304. [Google Scholar] [CrossRef]
- Suh, J.; Yang, J.; Stern, F. The effect of air–water interface on the vortex shedding from a vertical circular cylinder. J. Fluids Struct. 2011, 27, 1–22. [Google Scholar] [CrossRef]
- Koo, B.; Yang, J.; Yeon, S.M.; Stern, F. Reynolds and Froude number effect on the flow past an interface-piercing circular cylinder. Int. J. Nav. Archit. Ocean Eng. 2014, 6, 529–561. [Google Scholar] [CrossRef] [Green Version]
- Benitz, M.A.; Carlson, D.W.; Seyed-Aghazadeh, B.; Modarres-Sadeghi, Y.; Lackner, M.A.; Schmidt, D.P. CFD simulations and experimental measurements of flow past free-surface piercing, finite length cylinders with varying aspect ratios. Comp. Fluids 2016, 136, 247–259. [Google Scholar] [CrossRef] [Green Version]
- Rosetti, G.F.; Vaz, G.; Hoekstra, M.; Gonçalves, R.T.; Fujarra, A.L.C. CFD calculations for free-surface-piercing low aspect ratio circular cylinder with solution verification and comparison with experiments. In Proceedings of the ASME 32nd International Conference on Ocean, Offshore and Arctic Engineering, Nantes, France, 9–14 June 2013; Volume 7: CFD and VIV. [Google Scholar]
- Reichl, P.; Hourigan, K.; Thompson, M.C. Flow past a cylinder close to a free surface. J. Fluid Mech. 2005, 533, 269–296. [Google Scholar] [CrossRef] [Green Version]
- Bouscasse, B.; Colagrossi, A.; Marrone, S.; Souto-Iglesias, A. SPH modelling of viscous flow past a circular cylinder interacting with a free surface. Comp. Fluids 2017, 16, 190–212. [Google Scholar] [CrossRef]
- González-Gutierrez, L.M.; Gimenez, J.M.; Ferrer, E. Instability onset for submerged cylinders. Phys. Fluids 2019, 31. [Google Scholar] [CrossRef]
- Lamb, H. Hydrodynamics; Cambridge University Press: Cambridge, UK, 1932. [Google Scholar]
- Rabaud, M.; Moisy, F. Ship wakes: Kelvin or Mach angle? Phys. Rev. Lett. 2013, 110, 214503. [Google Scholar] [CrossRef] [PubMed]
- Moisy, F.; Rabaud, M. Mach-like capillary-gravity wakes. Phys. Rev. E 2014, 90, 023009. [Google Scholar] [CrossRef] [PubMed] [Green Version]
- Lubin, O.; Kimmoun, O.; Véron, F.; Glockner, S. Discussion on instabilities in breaking waves: Vortices, air-entrainment and droplet generation. Eur. J. Mech./B Fluids 2019, 73, 144–156. [Google Scholar] [CrossRef]
- Mailybaev, A.A.; Nachbin, A. Explosive ripple instability due to incipient wave breaking. J. Fluid Mech. 2019, 863, 876–892. [Google Scholar] [CrossRef] [Green Version]
- Yu, X.; Hendrickson, K.; Yue, D.K.P. Scale separation and dependence of entrainment bubble-size distribution in free-surface turbulence. J. Fluid Mech. 2020, 885. [Google Scholar] [CrossRef] [Green Version]
- Griffith, M.D.; Leontini, J.; Thompson, M.C.; Hourigan, K. Vortex shedding and three-dimensional behaviour of flow past a cylinder confined in a channel. J. Fluids Struct. 2011, 27, 855–860. [Google Scholar] [CrossRef]
- Ageorges, V. Écoulement et Entraînement d’air Autour d’un Cylindre Vertical Partiellement Immergé. Ph.D. Thesis, Université Le Havre Normandie, Le Havre, France, 2019. [Google Scholar]
- Fujarra, A.L.C.; Pesce, C.P.; Flemming, F.; Williamson, C.H.K. Vortex-induced vibration of a flexible cantilever. J. Fluids Struct. 2001, 15, 651–658. [Google Scholar] [CrossRef]
- Sarpkaya, T. A critical review of the intrinsic nature of vortex-induced vibrations. J. Fluids Struct. 2004, 19, 389–447. [Google Scholar] [CrossRef]
- Williamson, C.H.K.; Govardhan, R. Vortex-induced vibrations. Annu. Rev. Fluid Mech. 2004, 36, 413–455. [Google Scholar] [CrossRef] [Green Version]
- Moureau, V.; Lartigue, G. YALES2. Available online: https://www.coria-cfd.fr/index.php/YALES2 (accessed on 2 February 2018).
- Moureau, V.; Domingo, P.; Vervisch, L. Design of a massively parallel CFD code for complex geometries. C. R. Mécanique 2011, 339, 141–148. [Google Scholar] [CrossRef]
- Moureau, V.; Domingo, P.; Vervisch, L. From large-eddy simulation to direct numerical simulation of a lean premixed swirl flame: Filtered laminar flame-PDF modeling. Combust. Flame 2011, 158, 1340–1357. [Google Scholar] [CrossRef]
- Chorin, A.J. Numerical solution of the Navier-Stokes equations. Math. Comput. 1968, 22, 745–762. [Google Scholar] [CrossRef]
- Pierce, C.D.; Moin, P. Progress-variable approach for large-eddy simulation of non-premixed turbulent combustion. J. Fluid Mech. 2004, 504, 73–97. [Google Scholar] [CrossRef]
- Malandain, M.; Maheu, N.; Moureau, V. Optimization of the deflated conjugate gradient algorithm for the solving of elliptic equations on massively parallel machines. J. Comp. Phys. 2013, 238, 32–47. [Google Scholar] [CrossRef]
- Desjardins, O.; Moureau, V.; Pitsch, H. An accurate conservative level set/ghost fluid method for simulating turbulent atomization. J. Comp. Phys. 2008, 227, 8395–8416. [Google Scholar] [CrossRef]
- Chiodi, R.; Desjardins, O. A reformulation of the conservative level set reinitialization equation for accurate and robust simulation of complex multiphase flows. J. Comp. Phys. 2017, 343, 186–200. [Google Scholar] [CrossRef]
- Fedkiw, R.P.; Aslam, T.; Merriman, B.; Osher, S. A non-oscillatory Eulerian approach to interfaces in multimaterial flows (the ghost fluid method). J. Comp. Phys. 1999, 152, 457–492. [Google Scholar] [CrossRef]
- Ageorges, V.; Peixinho, J.; Perret, G.; Lartigue, G.; Moureau, V. Numerical and experimental studies of the flow around a partially submerged vertical cylinder. In Proceedings of the 24ème Congrès Français de Mécanique, Brest, France, 26–29 August 2019. [Google Scholar]
- Luo, H.; Baum, J.; Lohner, R. An improved finite volume scheme for compressible flows on unstructured grids. In Proceedings of the 33rd Aerospace Sciences Meeting and Exhibit, Reno, NV, USA, 9–12 January 1995; pp. 1–9. [Google Scholar]
- Pham, C.T.; Nore, C.; Brachet, M.E. Critical speed for capillary-gravity flows in the disperse shallow water limit. Phys. Fluids 2005, 17, 062104. [Google Scholar] [CrossRef] [Green Version]
- Ducros, F.; Nicoud, F.; Poinsot, T. Wall-adapting local eddy-viscosity models for simulations in complex geometries. In Numerical Methods for Fluid Dynamics VI; 1998; pp. 293–299. [Google Scholar]
- Janodet, R.; Moureau, V.; Mercier, R.; Lartigue, G.; Benard, P.; Ménard, T.; Berlemont, A. An interface capturing procedure for simulating incompressible two-phase flows on adaptive unstructured grids. In APS Division of Fluid Dynamics Meeting Abstracts; APS: Washington, DC, USA, 2020; pp. F09. 018. [Google Scholar]
- Pogozelski, E.M.; Katz, J.; Huang, T.T. The flow structure around a surface piercing strut. Phys. Fluids 1997, 9, 1387–1399. [Google Scholar] [CrossRef]
- Palau-Salvador, G.; Stoesser, T.; Fröhlich, J.; Kappler, M.; Rodi, W. Large eddy simulations and experiments of flow around finite-height cylinders. Flow Turbul. Combust. 2010, 84, 239–275. [Google Scholar] [CrossRef]
- Krajnović, S. Flow around a tall finite cylinder explored by large eddy simulation. J. Fluid Mech. 2011, 676, 294–317. [Google Scholar] [CrossRef] [Green Version]
- Gnevyshev, V.; Badulin, S. Wave Patterns of Gravity–Capillary Waves from Moving Localized Sources. Fluids 2020, 5, 219. [Google Scholar] [CrossRef]
- Binnie, A.M. Solutions of the fish-line problem at intermediate velocities. Br. J. Appl. Phys. 1965, 16, 1755. [Google Scholar] [CrossRef]
- Sugiyama, K.; Calzavarini, E.; Lohse, D. Microbubbly drag reduction in Taylor–Couette flow in the wavy vortex regime. J. Fluid Mech. 2008, 608, 21–41. [Google Scholar] [CrossRef] [Green Version]






Publisher’s Note: MDPI stays neutral with regard to jurisdictional claims in published maps and institutional affiliations. |
© 2021 by the authors. Licensee MDPI, Basel, Switzerland. This article is an open access article distributed under the terms and conditions of the Creative Commons Attribution (CC BY) license (https://creativecommons.org/licenses/by/4.0/).
Share and Cite
Ageorges, V.; Peixinho, J.; Perret, G.; Lartigue, G.; Moureau, V. Experiments and Simulations of Free-Surface Flow behind a Finite Height Rigid Vertical Cylinder. Fluids 2021, 6, 367. https://doi.org/10.3390/fluids6100367
Ageorges V, Peixinho J, Perret G, Lartigue G, Moureau V. Experiments and Simulations of Free-Surface Flow behind a Finite Height Rigid Vertical Cylinder. Fluids. 2021; 6(10):367. https://doi.org/10.3390/fluids6100367
Chicago/Turabian StyleAgeorges, Valentin, Jorge Peixinho, Gaële Perret, Ghislain Lartigue, and Vincent Moureau. 2021. "Experiments and Simulations of Free-Surface Flow behind a Finite Height Rigid Vertical Cylinder" Fluids 6, no. 10: 367. https://doi.org/10.3390/fluids6100367
APA StyleAgeorges, V., Peixinho, J., Perret, G., Lartigue, G., & Moureau, V. (2021). Experiments and Simulations of Free-Surface Flow behind a Finite Height Rigid Vertical Cylinder. Fluids, 6(10), 367. https://doi.org/10.3390/fluids6100367

