Geomechanical Response of Fractured Reservoirs
Abstract
1. Introduction
2. Methods
2.1. Geometry
2.2. Modeling Discontinuities
2.3. THM Mathematical and Numerical Model
2.4. Model Setup
3. Results
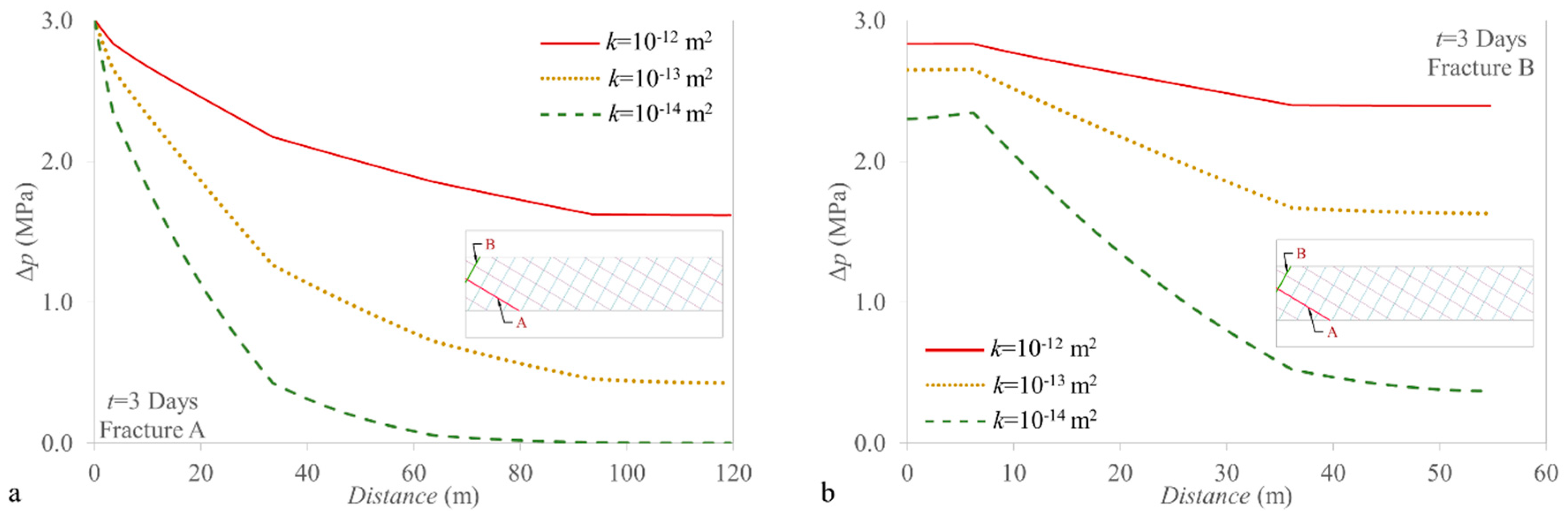
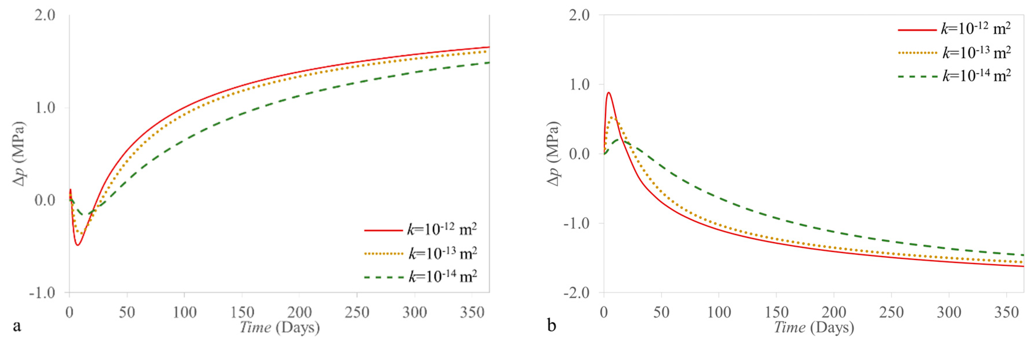
3.1. Fluid Pressure Evolution
3.2. Non-Isothermal Effects
3.3. Geomechanical Response
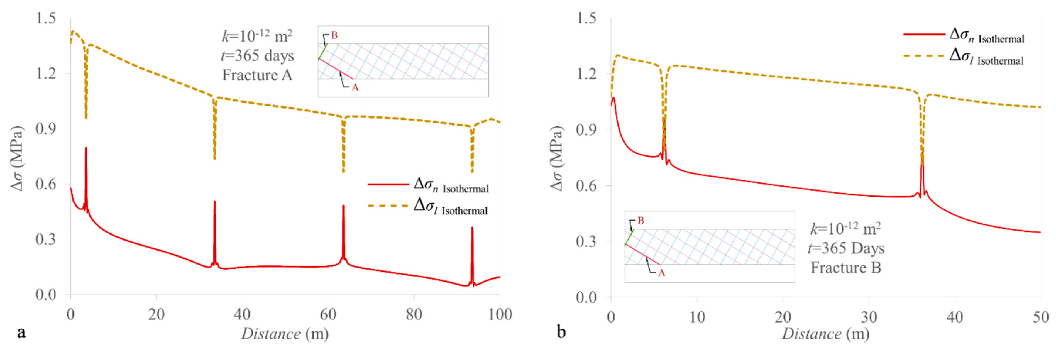
3.3.1. Stress Changes in Fractures
3.3.2. Fractures Stability
3.3.3. Caprock Stability
4. Discussion
5. Conclusions
- -
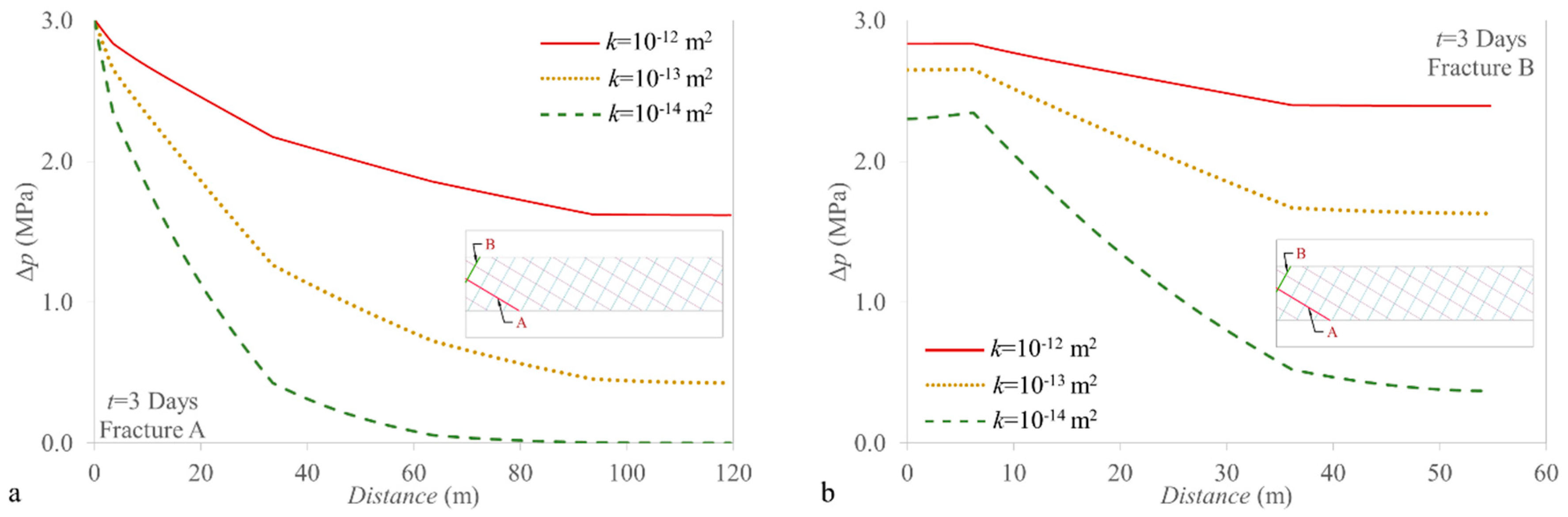
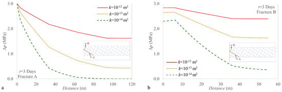
- Fluid pressure changes extend further in the fractures than in the reservoir matrix in the short-term due to the large permeability contrast between them, but pressure eventually diffuses into the matrix, leading to a homogenized pressure variation in the long-term.
- -
- The pore volume increases above the injection well and decrease above the production well in the lower part of the caprock as a result of caprock bending, causing reverse water-level fluctuations.
- -
- The permeability contrast between the fractures and the reservoir matrix causes a large and non-uniform pressure gradient in the direction normal to the fractures, which causes a greater increase of the total stress in the longitudinal direction of the fracture than in the direction normal to it.
- -
- A large thermal stress reduction occurs in the longitudinal direction of the fracture in response to temperature drop. Given that thermal stress is proportional to the material stiffness, stress reduction becomes large in the portion of the matrix affected by cooling.
- -
- Coupled THM effects in NFRs might cause local rotations of the stress tensor.
- -
- Simulations show that, after one year of operation, the cooling front does not reach the caprock, which remains stable, but the fractures and reservoir matrix close to the injection point may reach failure conditions because of thermally-induced stresses. Thus, fractures may only be reactivated around injection wells.
Author Contributions
Acknowledgments
Conflicts of Interest
References
- Dake, L.P. The Practice of Reservoir Engineering; Elsevier: New York, NY, USA, 2001. [Google Scholar]
- Amarnath, A. Enhanced Oil Recovery Scoping Study; Electric Power Research Institute: Palo Alto, CA, USA, 1999. [Google Scholar]
- Thomas, S. Enhanced oil recovery-an overview. Oil Gas Sci. Technol. 2008, 63, 9–19. [Google Scholar] [CrossRef]
- De Simone, S.; Vilarrasa, V.; Carrera, J.; Alcolea, A.; Meier, P. Thermal coupling may control mechanical stability of geothermal reservoirs during cold water injection. Phys. Chem. Earth 2013, 64, 117–126. [Google Scholar] [CrossRef]
- Vilarrasa, V.; Rutqvist, J.; Rinaldi, A. Thermal and Capillary effects on the caprock mechanical stability at In Salah, Algeria. Greenh. Gases Sci. Technol. 2015, 2, 408–418. [Google Scholar] [CrossRef]
- Kim, S.; Hosseini, S.A. Hydro-thermo-mechanical analysis during injection of cold fluid into a geologic formation. Int. J. Rock Mech. Min. Sci. 2015, 77, 220–236. [Google Scholar] [CrossRef]
- Schlumberger. Carbonate Reservoirs: Meeting Unique Challenges to Maximize Recovery. Schlumberger Mark. Anal. 2007, 1, 1–12. [Google Scholar]
- Narr, W.; Schechter, D.S.; Thompson, L.B. Naturally Fractured Reservoir Characterization; Society of Petroleum Engineers: Richardson, TX, USA, 2006. [Google Scholar]
- Nelson, R.A. Geologic Analysis of Naturally Fractured Reservoirs; Gulf Professional Pub: Houston, TX, USA, 2001. [Google Scholar]
- Tsang, C.-F. Linking Thermal, Hydrological, and Mechanical Processes in Fractured Rocks. Annu. Rev. Earth Planet. Sci. 1999, 27, 359–384. [Google Scholar] [CrossRef]
- Rutqvist, J.; Börgesson, L.; Chijimatsu, M.; Kobayashi, A.; Jing, L.; Nguyen, T.S.; Noorishad, J.; Tsang, C.F. Thermohydromechanics of partially saturated geological media: governing equations and formulation of four finite element models. Int. J. Rock Mech. Min. Sci. 2001, 38, 105–127. [Google Scholar] [CrossRef]
- Neuzil, C.E. Hydromechanical coupling in geologic processes. Hydrogeol. J. 2003, 11, 41–83. [Google Scholar] [CrossRef]
- Rutqvist, J.; Stephansson, O. The role of hydromechanical coupling in fractured rock engineering. Hydrogeol. J. 2003, 11, 7–40. [Google Scholar] [CrossRef]
- Rutqvist, J.; Tsang, C.-F. Multiphysics processes in partially saturated fractured rock: Experiments and models from Yucca Mountain. Rev. Geophys. 2012, 50. [Google Scholar] [CrossRef]
- Vilarrasa, V.; Rutqvist, J. Thermal effects on geologic carbon storage. Earth Sci. Rev. 2017, 165, 245–256. [Google Scholar] [CrossRef]
- Wang, W.; Kolditz, O. Object-oriented finite element analysis of thermo-hydro-mechanical (THM) problems in porous media. Int. J. Numer. Methods Eng. 2007, 69, 162–201. [Google Scholar] [CrossRef]
- Börgesson, L. ABAQUS. Dev. Geotech. Eng. 1996, 79, 565–570. [Google Scholar]
- Israelsson, J.I. Short description of FLAC version 3.2. Dev. Geotech. Eng. 1996, 79, 513–522. [Google Scholar]
- Israelsson, J.I. Short Descriptions of UDEC and 3DEC. Dev. Geotech. Eng. 1996, 79, 523–528. [Google Scholar]
- Olivella, S.; Carrera, J.; Gens, A.; Alonso, E.E. Nonisothermal multiphase flow of brine and gas through saline media. Transp. Porous Media 1994, 15, 271–293. [Google Scholar] [CrossRef]
- Olivella, S.; Gens, A.; Carrera, J.; Alonso, E.E. Numerical formulation for a simulator (CODE_BRIGHT) for the coupled analysis of saline media. Eng. Comput. 1996, 13, 87–112. [Google Scholar] [CrossRef]
- Pan, P.-Z.; Rutqvist, J.; Feng, X.-T.; Yan, F. Modeling of caprock discontinuous fracturing during CO2 injection into a deep brine aquifer. Int. J. Greenh. Gas Control 2013, 19, 559–575. [Google Scholar] [CrossRef]
- Pan, P.-Z.; Rutqvist, J.; Feng, X.-T.; Yan, F. An Approach for Modeling Rock Discontinuous Mechanical Behavior Under Multiphase Fluid Flow Conditions. Rock Mech. Rock Eng. 2014, 47, 589–603. [Google Scholar] [CrossRef]
- Hubbert, M.K. Darcy’s Law and the Field Equations of the Flow of Underground Fluid. Int. Assoc. Sci. Hydrol. Bull. 1956, 2, 23–59. [Google Scholar] [CrossRef]
- Bear, J. Dynamics of Fluids in Porous Media; Courier Corporation: Chelmsford, MA, USA, 1972. [Google Scholar]
- Olivella, S.; Alonso, E.E. Gas flow through clay barriers. Géotechnique 2008, 58, 157–176. [Google Scholar] [CrossRef]
- Witherspoon, P.A.; Wang, J.S.Y.; Iwai, K.; Gale, J.E. Validity of Cubic Law for fluid flow in a deformable rock fracture. Water Resour. Res. 1980, 16, 1016–1024. [Google Scholar] [CrossRef]
- Nield, D.A.; Bejan, A. Convection in Porous Media; Springer: Berlin, Germany, 2017. [Google Scholar]
- Biot, M.A. Thermoelasticity and irreversible thermodynamics. J. Appl. Phys. 1956, 27, 240–253. [Google Scholar] [CrossRef]
- Mctigue, D.F. Thermoelastic Response of Fluid-Saturated Porous Rock. J. Geophys. Res. 1986, 91, 9533–9542. [Google Scholar] [CrossRef]
- Vilarrasa, V.; Rinaldi, A.P.; Rutqvist, J. Long-term thermal effects on injectivity evolution during CO2 storage. Int. J. Greenh. Gas Control 2017, 64, 314–322. [Google Scholar] [CrossRef]
- Hsieh, P.A. Deformation-Induced Changes in Hydraulic Head During Ground-Water Withdrawal. Ground Water 1996, 34, 1082–1089. [Google Scholar] [CrossRef]
- Kim, J.-M.; Parizek, R.R. Numerical simulation of the Noordbergum effect resulting from groundwater pumping in a layered aquifer system. J. Hydrol. 1997, 202, 231–243. [Google Scholar] [CrossRef]
- Vilarrasa, V.; Carrera, J.; Olivella, S. Hydromechanical characterization of CO2 injection sites. Int. J. Greenh. Gas Control 2013, 19, 665–677. [Google Scholar] [CrossRef]
- Rutqvist, J.; Birkholzer, J.T.; Tsang, C.F. Coupled reservoir-geomechanical analysis of the potential for tensile and shear failure associated with CO2 injection in multilayered reservoir-caprock systems. Int. J. Rock Mech. Min. Sci. 2008, 45, 132–143. [Google Scholar] [CrossRef]
- Vilarrasa, V.; Bolster, D.; Olivella, S.; Carrera, J. Coupled hydromechanical modeling of CO2 sequestration in deep saline aquifers. Int. J. Greenh. Gas Control 2010, 4, 910–919. [Google Scholar] [CrossRef]
- Jeanne, P.; Rutqvist, J.; Dobson, P.F.; Walters, M.; Hartline, C.; Garcia, J. The impacts of mechanical stress transfers caused by hydromechanical and thermal processes on fault stability during hydraulic stimulation in a deep geothermal reservoir. Int. J. Rock Mech. Min. Sci. 2014, 72, 149–163. [Google Scholar] [CrossRef]
- De Simone, S.; Carrera, J.; Vilarrasa, V. Superposition approach to understand triggering mechanisms of post-injection induced seismicity. Geothermics 2017, 70, 85–97. [Google Scholar] [CrossRef]
- De Simone, S.; Carrera, J.; Gómez-Castro, B.M. A practical solution to the mechanical perturbations induced by non-isothermal injection into a permeable medium. Int. J. Rock Mech. Min. Sci. 2017, 91, 7–17. [Google Scholar] [CrossRef]
- Engelder, T.; Fischer, M.P. Influence of poroelastic behavior on the magnitude of minimum horizontal stress, Sh in overpressured parts of sedimentary basins. Geology 1994, 22, 949–952. [Google Scholar] [CrossRef]
- Hillis, R. Pore pressure/stress coupling and its implications for seismicity. Explor. Geophys. 2000, 31, 448–454. [Google Scholar] [CrossRef]
- Geertsma, J. Land Subsidence above Compacting Oil and Gas Reservoirs. J. Pet. Technol. 1973, 25, 734–744. [Google Scholar] [CrossRef]
- Segall, P.; Fitzgerald, S.D. A note on induced stress changes in hydrocarbon and geothermal reservoirs. Tectonophysics 1998, 289, 117–128. [Google Scholar] [CrossRef]
- Rudnicki, J.W. Alteration of Regional Stress by Reservoirs and other Inhomogeneities: Stabilizing or Destabilizing? In Proceedings of the 9th ISRM Congress, Paris, France, 25–28 August 1999. [Google Scholar]
- Altmann, J.B.; Müller, T.M.; Müller, B.I.R.; Tingay, M.R.P.; Heidbach, O. Poroelastic contribution to the reservoir stress path. Int. J. Rock Mech. Min. Sci. 2010, 47, 1104–1113. [Google Scholar] [CrossRef]
- Timoshenko, S.; Goodier, J.N. Theory of Elasticity; McGraw-Hill: New York, NY, USA, 1970. [Google Scholar]
- Boley, B.A. Theory of Thermal Stresses; Dover Publications: Mineola, NY, USA, 2012. [Google Scholar]














| Parameters | Units | Reservoir | Cap and Base Rocks | |
|---|---|---|---|---|
| Fractures | Matrix | |||
| Young’s modulus | GPa | 1.2 | 12.0 | 4.0 |
| Poisson ratio | - | 0.25 | 0.25 | 0.25 |
| Intrinsic permeability | m2 | 10−12–10−14 | 10−17 | 10−20 |
| Relative permeability | - | |||
| Entry pressure | MPa | 0.01 | 0.1 | 5 |
| Porosity | % | 15 | 15 | 5 |
| Thermal conductivity | Wm−1K−1 | 2.0 | 2.0 | 1.5 |
| Linear thermal expansion | 10−5/°C | 3.0 | 3.0 | 2.0 |
| Specific heat for solid phase | 103 J/kg K | 1 | 1 | 1 |
| Longitudinal dispersity for heat | m | 10 | 10 | 10 |
| Transversal dispersity for heat | m | 1 | 1 | 1 |
© 2018 by the authors. Licensee MDPI, Basel, Switzerland. This article is an open access article distributed under the terms and conditions of the Creative Commons Attribution (CC BY) license (http://creativecommons.org/licenses/by/4.0/).
Share and Cite
Zareidarmiyan, A.; Salarirad, H.; Vilarrasa, V.; De Simone, S.; Olivella, S. Geomechanical Response of Fractured Reservoirs. Fluids 2018, 3, 70. https://doi.org/10.3390/fluids3040070
Zareidarmiyan A, Salarirad H, Vilarrasa V, De Simone S, Olivella S. Geomechanical Response of Fractured Reservoirs. Fluids. 2018; 3(4):70. https://doi.org/10.3390/fluids3040070
Chicago/Turabian StyleZareidarmiyan, Ahmad, Hossein Salarirad, Victor Vilarrasa, Silvia De Simone, and Sebastia Olivella. 2018. "Geomechanical Response of Fractured Reservoirs" Fluids 3, no. 4: 70. https://doi.org/10.3390/fluids3040070
APA StyleZareidarmiyan, A., Salarirad, H., Vilarrasa, V., De Simone, S., & Olivella, S. (2018). Geomechanical Response of Fractured Reservoirs. Fluids, 3(4), 70. https://doi.org/10.3390/fluids3040070

