Onset of Primary and Secondary Instabilities of Viscoelastic Fluids Saturating a Porous Layer Heated from below by a Constant Flux
Abstract
1. Introduction
2. Mathematical Formulation
3. Primary Stationary and Oscillatory Instabilities
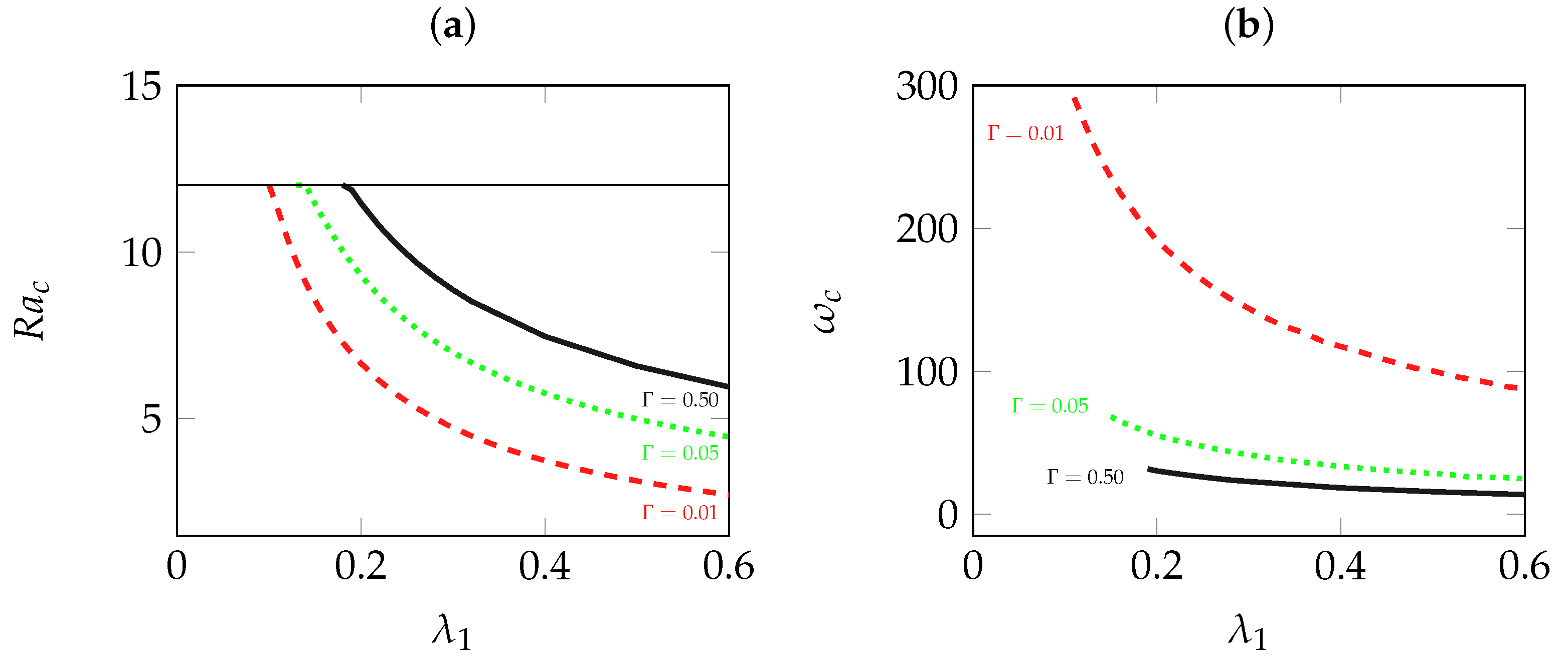
3.1. Infinite Aspect Ratios
3.2. Effect of Lateral Confinement on Pattern Selection
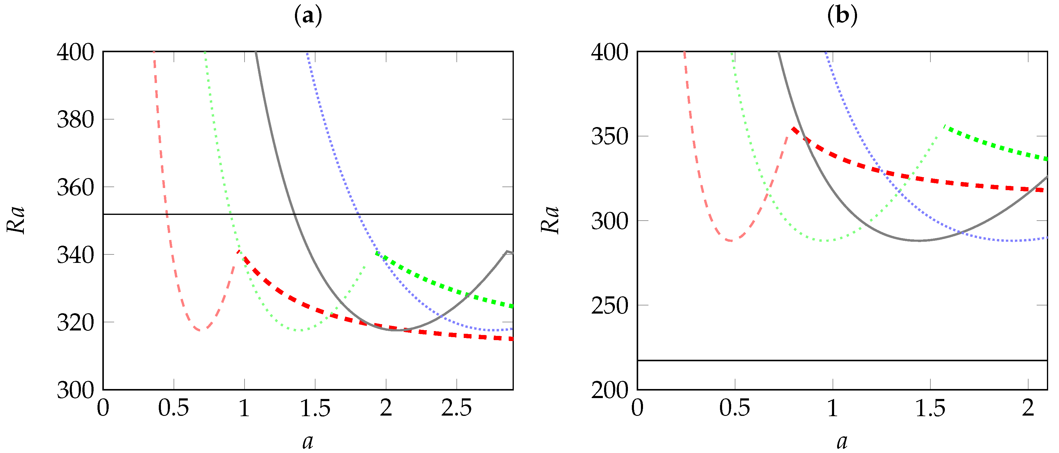
4. Secondary Instabilities
4.1. Nonlinear Solution and Formulation of Its Linear Stability
4.2. Results for Newtonian Fluids
4.3. Results for Viscoelastic Fluids
4.3.1. Hopf Bifurcation to Transverse Rolls
4.3.2. Bifurcation to Steady or Oscillatory Longitudinal Rolls
5. Conclusions
Author Contributions
Conflicts of Interest
References
- Kim, M.C.; Lee, S.B.; Kim, S.; Chung, B.J. Thermal instability of viscoelastic fluids in porous media. Int. J. Heat Mass Transf. 2003, 46, 5065–5072. [Google Scholar] [CrossRef]
- Yoon, D.; Kim, M.C.; Choi, C.K. The onset of oscillatory convection in a horizontal porous layer saturated with viscoelastic liquid. Transp. Porous Media 2004, 55, 275–284. [Google Scholar] [CrossRef]
- Bertola, V.; Cafaro, E. Thermal instability of viscoelastic fluids in horizontal porous layers as initial value problem. Int. J. Heat Mass Transf. 2006, 49, 4003–4012. [Google Scholar] [CrossRef]
- Hirata, S.C.; Ella Eny, G.; Ouarzazi, M.N. Nonlinear pattern selection and heat transfer in thermal convection of a viscoelastic fluid saturating a porous medium. Int. J. Therm. Sci. 2015, 95, 136–146. [Google Scholar] [CrossRef]
- Hirata, S.C.; Ouarzazi, M.N. Three-dimensional absolute and convective instabilities in mixed convection of a viscoelastic fluid through a porous medium. Phys. Lett. A 2010, 374, 2661–2666. [Google Scholar] [CrossRef]
- Alves, L.S.B.; Barletta, A.; Hirata, S.; Ouarzazi, M.N. Effects of viscous dissipation on the convective instability of viscoelastic mixed convection flows in porous media. Int. J. Heat Mass Transf. 2014, 70, 586–598. [Google Scholar] [CrossRef]
- Delenda, N.; Hirata, S.C.; Ouarzazi, M.N. Primary and secondary instabilities of viscoelastic mixtures saturating a porous medium: Application to separation of species. J. Non-Newton. Fluid Mech. 2012, 181, 11–21. [Google Scholar] [CrossRef]
- Fu, C.J.; Zhang, Z.Y.; Tan, W.C. Numerical simulation of thermal convection of a viscoelastic fluid in a porous square box heated from below. Phys. Fluids 2007, 19, 104107. [Google Scholar] [CrossRef]
- Taleb, A.; Ben Hamed, H.; Ouarzazi, M.N.; Beji, H. Analytical and numerical analysis of bifurcations in thermal convection of viscoelastic fluids saturating a porous square box. Phys. Fluids 2016, 28, 053106. [Google Scholar] [CrossRef]
- Niu, J.; Fu, C.J.; Tan, W.C. Stability of thermal convection of an Oldroyd-B fluid in a porous medium with Newtonian heating. Phys. Lett. A 2010, 374, 4607–4613. [Google Scholar] [CrossRef]
- Nield, D.A. Onset of thermohaline convection in a porous medium. Water Resour. Res. 1968, 4, 553–560. [Google Scholar] [CrossRef]
- Nield, D.A.; Bejan, A. Convection in Porous Media; Springer: New York, NY, USA, 2006. [Google Scholar]
- Mamou, M.; Mahidjiba, A.; Vasseur, P.; Robillard, L. Onset of convection in an anisotropic porous medium heated from below by a constant heat flux. Int. Commun. Heat Mass Trans. 1998, 25, 799–808. [Google Scholar] [CrossRef]
- Mojtabi, A.; Rees, D.A.S. The effect of conducting bounding plates on the onset of Horton-Rogers-Lapwood convection. Int. J. Heat Mass Trans. 2011, 54, 293–301. [Google Scholar] [CrossRef]
- Falsaperla, P.; Mulone, G.; Straughan, B. Rotating porous convection with prescribed heat flux. Int. J. Eng. Sci. 2010, 48, 685–692. [Google Scholar] [CrossRef]
- Falsaperla, P.; Giacobbe, A.; Mulone, G. Double diffusion in rotating porous media under general boundary conditions. Int. J. Heat Mass Trans. 2012, 55, 2412–2419. [Google Scholar] [CrossRef]
- Kimura, S.; Vynnycky, M.; Alavyoon, F. Unicellular natural circulation in a shallow horizontal porous layer heated from below by a constant flux. J. Fluid Mech. 1995, 294, 231–257. [Google Scholar] [CrossRef]
- Skartsis, L.; Khomami, B.; Kardos, J.L. Polymeric flow through fibrous media. J. Rheol. 1992, 36, 589–620. [Google Scholar] [CrossRef]
- Joseph, D.D. Fluid Dynamics of Viscoelastic Liquids; Springer: New York, NY, USA, 1990. [Google Scholar]
- Khuzhayorov, B.; Auriault, J.L.; Royer, P. Derivation of macroscopic filtration law for transient linear viscoelastic fluid flow in porous media. Int. J. Eng. Sci. 2000, 38, 487–504. [Google Scholar] [CrossRef]
- Bejan, A. The boundary layer regime in a porous layer with uniform heat flux from the side. Int. J. Heat Mass Transf. 1983, 26, 1339–1346. [Google Scholar] [CrossRef]
- Vasseur, P.; Satish, M.G.; Robillard, L. Natural convection in a thin, inclined, porous layer exposed to a constant heat flux. Int. J. Heat Mass Transf. 1987, 30, 537–549. [Google Scholar] [CrossRef]
- Sen, M.; Vasseur, P.; Robillard, L. Multiple steady states for unicellular natural convection in an inclined porous layer. Int. J. Heat Mass Transf. 1987, 30, 2097–2113. [Google Scholar] [CrossRef]








| Newtonian | 506.27 | 138.24 | 4.8 |
| 0.75 | 358.62 | 115.209 | 4.660 |
| 0.70 | 329.48 | 110.448 | 4.630 |
| 0.65 | 300.89 | 105.918 | 4.610 |
| 0.60 | 272.90 | 101.395 | 4.590 |
| 0.55 | 245.58 | 96.897 | 4.570 |
| 0.50 | 219.04 | 92.825 | 4.570 |
| 0.45 | 193.39 | 88.902 | 4.575 |
| 0.40 | 168.81 | 85.603 | 4.610 |
| 0.35 | 145.47 | 83.112 | 4.685 |
| 0.30 | 123.55 | 81.578 | 4.805 |
| 0.7 | 354.21 | 110.819 | 4.545 |
| 0.6 | 354.31 | 110.979 | 4.550 |
| 0.5 | 354.45 | 111.042 | 4.550 |
| 0.4 | 354.66 | 111.251 | 4.555 |
| 0.3 | 355.05 | 111.642 | 4.565 |
| 0.2 | 355.83 | 112.584 | 4.590 |
| 0.1 | 358.62 | 115.209 | 4.660 |
| Newtonian | - | - | - | 506.27 | 313.107 | |
| 0.1 | 0.75 | 426.27 | 1.53 | 5.8 | 358.62 | 313.107 |
| 0.3 | 0.75 | 317.55 | 3.58 | 4.5 | 355.03 | 313.107 |
| 0.5 | 0.75 | 291.34 | 2.65 | 3.9 | 354.45 | 313.107 |
| 0.1 | 0.6 | 333.47 | 12.35 | 6.3 | 272.90 | 313.107 |
| 0.1 | 0.5 | 288.08 | 17.53 | 6.5 | 219.04 | 313.107 |
| 0.1 | 0.3 | 194.20 | 33.62 | 7.0 | 123.55 | 313.107 |
© 2017 by the authors. Licensee MDPI, Basel, Switzerland. This article is an open access article distributed under the terms and conditions of the Creative Commons Attribution (CC BY) license (http://creativecommons.org/licenses/by/4.0/).
Share and Cite
Gueye, A.; Ouarzazi, M.N.; Hirata, S.C.; Hamed, H.B. Onset of Primary and Secondary Instabilities of Viscoelastic Fluids Saturating a Porous Layer Heated from below by a Constant Flux. Fluids 2017, 2, 42. https://doi.org/10.3390/fluids2030042
Gueye A, Ouarzazi MN, Hirata SC, Hamed HB. Onset of Primary and Secondary Instabilities of Viscoelastic Fluids Saturating a Porous Layer Heated from below by a Constant Flux. Fluids. 2017; 2(3):42. https://doi.org/10.3390/fluids2030042
Chicago/Turabian StyleGueye, Abdoulaye, Mohamed Najib Ouarzazi, Silvia C. Hirata, and Haikel Ben Hamed. 2017. "Onset of Primary and Secondary Instabilities of Viscoelastic Fluids Saturating a Porous Layer Heated from below by a Constant Flux" Fluids 2, no. 3: 42. https://doi.org/10.3390/fluids2030042
APA StyleGueye, A., Ouarzazi, M. N., Hirata, S. C., & Hamed, H. B. (2017). Onset of Primary and Secondary Instabilities of Viscoelastic Fluids Saturating a Porous Layer Heated from below by a Constant Flux. Fluids, 2(3), 42. https://doi.org/10.3390/fluids2030042
