Next Article in Journal
A Fully Implicit Model of Compressible Capillary Flows
Previous Article in Journal
Editorial: Rarefied Gas Flows—From Micro–Nano Scale to the Hypersonic Regime
Previous Article in Special Issue
Heat Transfer Characteristics of Thermosyphons Used in Vacuum Water Heaters
 
 
Font Type:
Arial Georgia Verdana
Font Size:
Aa Aa Aa
Line Spacing:
Column Width:
Background:
Article

Comparative Analysis of Unsteady Natural Convection and Thermal Performance in Rectangular and Square Cavities Filled with Stratified Air

by
Syed Mehedi Hassan Shaon
1,
Md. Mahafujur Rahaman
2,3,*,
Suvash C. Saha
4 and
Sidhartha Bhowmick
3,*
1
Department of Chemical Engineering, Z. H. Sikder University of Science and Technology, Shariatpur 8024, Bangladesh
2
Department of Computer Science and Engineering, Z. H. Sikder University of Science and Technology, Shariatpur 8024, Bangladesh
3
Department of Mathematics, Jagannath University, Dhaka 1100, Bangladesh
4
School of Mechanical and Mechatronic Engineering, University of Technology Sydney, Ultimo, NSW 2007, Australia
*
Authors to whom correspondence should be addressed.
Fluids 2026, 11(2), 33; https://doi.org/10.3390/fluids11020033
Submission received: 29 October 2025 / Revised: 16 January 2026 / Accepted: 26 January 2026 / Published: 27 January 2026
(This article belongs to the Special Issue Convective Flows and Heat Transfer)

Abstract

A comprehensive numerical analysis has been conducted to investigate unsteady natural convection (UNC), bifurcation behavior, and heat transfer (HT) in a rectangular enclosure containing thermally stratified air. The enclosure comprises a uniformly heated bottom wall, thermally stratified vertical sidewalls, and a cooled top wall. To assess thermal performance, square and rectangular cavities with identical boundary conditions and working fluid are considered. The finite volume method (FVM) is used to solve the governing equations over a wide range of Rayleigh numbers (Ra = 101 to 109) for air with a Prandtl number (Pr) of 0.71. Flow dynamics and thermal performance are analyzed using temperature time series (TTS), limit point–limit cycle behavior, average Nusselt number (Nuavg), average entropy generation (Savg), average Bejan number (Beavg), and the ecological coefficient of performance (ECOP). In the rectangular cavity, the transition from steady to chaotic flow exhibits three bifurcations: a pitchfork bifurcation at Ra = 3 × 104–4 × 104, a Hopf bifurcation at Ra = 3 × 106–4 × 106, and the onset of chaotic flow at Ra = 9 × 107–2 × 108. The comparative analysis indicates that Nuavg remains nearly identical for both cavities within Ra = 105 to 107. However, at Ra = 108, the HT rate in the rectangular cavity is 29.84% higher than that of the square cavity, while Savg and Beavg differ by 39.32% and 37.50%, respectively. Despite higher HT and Savg in the rectangular enclosure, the square cavity demonstrates superior overall thermal performance by 13.52% at Ra = 108. These results offer significant insights for optimizing cavity geometries in thermal system design based on energy efficiency and entropy considerations.

1. Introduction

Natural or free convection within cavities has been extensively studied due to its fundamental importance in engineering applications such as electronic cooling, solar collectors, building insulation, and thermal energy storage systems (Bergman [1] and Bejan [2]). The convective motion in a cavity is primarily driven by buoyancy forces arising from temperature gradients along the walls, which induce complex flow and thermal patterns depending on the geometry, boundary conditions, and fluid properties. Numerous studies have investigated natural convection (NC) in square, rectangular, and cylindrical cavities under various thermal conditions. For instance, Rahman et al. [3] numerically analyzed MHD free convection heat and mass transfer along a vertical porous surface within a rotating system with a tempted magnetic field. Cesini et al. [4] examined NC heat transport from a horizontal cylinder blocked by a rectangular cavity employing numerical and experimental techniques. The results indicate that heat transport escalates with the Ra and reaches its peak at a reduced aspect ratio (AR). Additionally, thermal stratification has been shown to play a significant role in altering NC flow behaviors, either suppressing or enhancing convective circulation and thereby affecting HT rates within enclosed domains (Zoubir et al. [5]).
Unsteady natural convection (UNC) plays a pivotal role in thermal–fluid systems where transient temperature variations give rise to time-dependent flow structures. Unlike steady convection, unsteady behavior can lead to oscillatory, periodic, or even chaotic flow patterns, which strongly influence HT performance and system stability. Foundational work by Patterson and Imberger [6] introduced a groundbreaking concept for characterizing unsteady states, presenting a scaling analysis for UNC in a differentially heated cavity with uniform wall temperatures. Lei et al. [7] investigated transient NC in a water-filled isosceles triangular cavity with bottom heating, providing detailed insights into the stages of flow evolution, the influence of the Grashof number (Gr), and the resulting HT characteristics. Rahaman et al. [8] analyzed transient convective HT within a stratified air-filled enclosure due to uniformly low temperature at the top. They revealed time dependent flow characteristics under a stratified clause. In a related study, Rahaman et al. [9] investigated UNC in a stratified trapezoidal cavity heated from below. Their study revealed that the initial stratification strongly influences the onset and evolution of convective motion, affecting both flow structures and thermal distributions. The results demonstrated that stronger stratification delays the development of convection and reduces HT rates, highlighting the critical role of initial density gradients in controlling transient convective behavior. Later, Rahaman et al. [10] numerically examined UNC and HT in a thermally stratified trapezoidal cavity, confirming that stratification intensity significantly influences HT rates and emphasizing its critical role in controlling transient convective behavior and thermal performance in confined enclosures.
Understanding NC in different cavity configurations, such as square, triangular, rectangular, cylindrical, and many others, significantly affects the flow structures, thermal distribution, and overall HT performance. Variations in cavity shape influence the formation of boundary layers, circulation patterns, and the onset of flow instabilities, thereby controlling the efficiency of convective transport. Bouafia and Daube [11] investigated NC about a square-shaped solid body situated inside a rectangular cavity subjected to large temperature gradients, showing that strong thermal gradients significantly affect flow structure and enhance HT around the solid body. Roshani et al. [12] highlighted the significance of buoyancy-driven convection in triangular cavities, showing that barrier placement and geometric configuration critically affect circulation patterns and HT characteristics. Das and Basak [13] conducted comprehensive CFD- and heatline-based analyses of NC in square and triangular cavities equipped with distributed and discrete solar heaters, providing valuable insights into the influence of heating configuration on thermal performance. Karatas and Derbentli [14] examined NC in rectangular cavities with differential heating and a time-periodic boundary condition, revealing that periodic temperature variations substantially modify flow structures and thermal distributions, resulting in oscillatory convection patterns. Charles et al. [15] examined turbulent NC in a rectangular cavity and found that turbulence markedly enhances HT relative to laminar flow while generating complex, highly unsteady velocity and temperature fields. Berdnikov et al. [16] studied the development of transient NC inside a rectangular cavity subjected to abrupt heating of a vertical wall, demonstrating that rapid thermal forcing produces transient flow structures and dynamic temperature fields, leading to complex circulation patterns. Fichera et al. [17] developed a model for NC within a rectangular cavity where the vertical walls are differentially heated, highlighting that wall temperature differences strongly dictate circulation patterns and thermal boundary layers. Farahani et al. [18] investigated NC in a tall rectangular cavity containing an oscillating and rotating cylinder, revealing that cylinder motion and rotation significantly alter flow structures and thermal distribution, with oscillation frequency, rotation speed, and cylinder position strongly influencing convective patterns and HT rates. Islam et al. [19] numerically examined magnetohydrodynamic free convection in a rectangular enclosure containing a corner-mounted heater and a centrally placed triangular obstacle, demonstrating that increasing the Hartmann number suppresses buoyancy-driven circulation and reduces HT. Their results further showed that the triangular obstacle alters flow pathways, intensifies localized thermal gradients, and influences the overall Nusselt number depending on its orientation.
Square enclosures are extensively employed as benchmark models in NC studies owing to their straightforward geometric configuration and clearly prescribed boundary conditions. They enable comprehensive theoretical, numerical, and experimental analyses of complex thermo-fluid phenomena such as boundary layers formation, temperature stratification, hydrodynamic instabilities, and the transition between laminar and turbulent flow transitions. De Vahl Davis [20] conducted a classical benchmark numerical study of air-filled square cavities, providing accurate steady-state solutions over Ra extending from 103 to 106. Pesso and Piva [21] extended the investigation to low-Prandtl-number fluids with large density variations, highlighting the limitations of the Boussinesq approximation and offering a more realistic representation of thermally driven flows. Hakeem et al. [22] analyzed NC inside a square enclosure with thermally active plates under diverse boundary conditions, demonstrating the strong influence of the plate position and temperature on HT characteristics. Choi and Kim [23] carried out a comparative study of various thermal lattice Boltzmann models for simulating NC, assessing their predictive accuracy and numerical stability across a range of Ra. Butler et al. [24] experimentally examined NC from a heated horizontal cylinder positioned within a differentially heated square enclosure and revealed that the interaction between the cylinder and the cavity walls significantly modifies flow structures and enhances local HT. Saravanan [25] numerically investigated NC in a square cavity incorporating internal heat-generating baffles. The study analyzed the impacts of baffle length, position, and heat generation rate on the flow structure and thermal behavior in the cavity.
Rectangular cavities have been widely studied due to their geometric simplicity and direct relevance to numerous engineering applications. A substantial body of research has examined NC in rectangular cavities under various thermal boundary conditions. Dalal and Das [26] numerically investigated NC inside a rectangular domain heated uniformly from the base and cooled from the top and the sidewalls. Their study explored the impact of the Ra and AR on flow patterns and HT performance. Nithyadevi et al. [27] numerically examined NC within a rectangular domain with partially active sidewalls to analyze the effects of differential heating on flow and HT characteristics. Khezzar et al. [28] investigated NC in sloped 2D rectangular cavities to assess the influence of the inclination angle and Ra on flow structure and HT performance. Their outcomes illustrated that cavity inclination significantly alters the flow circulation patterns and thermal field symmetry. Hatami [29] numerically investigated the NC of nanofluids inside a rectangular domain comprising heated fins to examine their influence on flow and HT characteristics. The study revealed that the existence of fins significantly augments convective circulation and HT by increasing the surface area and promoting stronger fluid mixing. Miroshnichenko and Sheremet [30] provided an inclusive review of turbulent NC and HT in rectangular cavities, utilizing both experimental and numerical approaches. Their study highlighted that turbulence significantly enhances convective HT, particularly at high Ra values, by promoting vigorous mixing and reducing thermal boundary layer thickness. Jobby et al. [31] conducted an inclusive review on free convection HT inside parallel and inclined rectangular cavities with internal substances under numerous heating conditions. They reported that enclosure inclination, AR, and heat source location strongly influence flow circulation and thermal performance, with moderate inclination angles enhancing HT.
Entropy, a fundamental thermodynamic property, quantifies the degree of disorder within a system and represents the portion of energy that is unavailable for performing useful work. In fluid flow and HT processes, higher entropy formation signifies increased irreversibility and energy loss. Therefore, minimizing EG is indispensable for enhancing the overall thermal performance of systems. Bejan [32] first introduced the concept of EG minimization to improve energy efficiency in various transport processes by analyzing the loss of usable energy caused by irreversibility. Shuja et al. [33] performed an entropy analysis to evaluate the irreversibility ratio at different positions of a heat-generating solid body within a cavity and reported that both HT and EG attain their maximum values when the solid body is centrally located. Ilis et al. [34] investigated EG in rectangular enclosures of varying ARs while maintaining a constant area, employing isotherms, streamlines, and local EG distributions to provide practical insights for reducing entropy inside rectangular enclosures. Varol et al. [35] examined conjugate NC, HT, and fluid flow irreversibilities in a cavity, highlighting the complex interactions between thermal and fluid frictional effects. Oliveski et al. [36] conducted a numerical study on EG within rectangular cavities subjected to NC induced by temperature variations on vertical walls, revealing that total EG increases linearly with both AR and the irreversibility coefficient, and exponentially with the Ra. Furthermore, AR and Ra significantly affect the Beavg and viscous effect. Bouabid et al. [37] numerically analyzed transient NC and EG in a sloped rectangular domain filled with air, showing that EG increases with the Gr, AR, and irreversibility distribution ratio, exhibiting oscillatory behavior at higher Gr and steady-state characteristics at lower Gr. Singh et al. [38] investigated thermal mixing and EG in tilted square cavities using the Galerkin finite element method under varying Pr and Ra numbers, finding that flow structure and HT are strongly influenced by cavity corners, circulation patterns, and inclination angles. Similarly, Shavik et al. [39] analyzed NC and EG within a square cavity at inclination angles ranging from 0° to 60°, demonstrating distinct differences between HT and fluid friction (FF) irreversibilities through entropy maps and Beavg distributions across various Ra. Salari et al. [40] numerically examined EG associated with NC in rectangular cavities featuring circularly rounded corners and reported that corner curvature significantly alters flow topology and thermal gradients, thereby influencing both local and global irreversibility. Sheremet et al. [41] examined NC and EG in a nanofluid-filled square cavity featuring sinusoidal wall heating. Their results indicated that increasing Ra, temperature amplitude, and wave number enhance nanofluid flow and improve HT, mass transfer, and EG. The impact of AR and Gr on UNC, HT, and EG in trapezoidal cavities was investigated by Rahaman et al. [42], who found that increasing AR decreases the cavity’s thermal efficiency. In a subsequent study, Rahaman et al. [43] carried out a computational investigation of UNC, HT, and EG in a trapezoidal enclosure filled with thermally stratified water, characterized by a heated bottom surface, stratified inclined surfaces, and a cooled upper surface.
Although NC in square and rectangular cavities has been widely examined, the thermal behavior of configurations featuring a uniformly heated base, a cooled upper surface, and stratified vertical side surfaces filled with stratified air remains insufficiently unexplored. In particular, the transient bifurcation dynamics and the associated thermodynamic performance have not been comprehensively addressed in the existing literature. Thermal stratification along the vertical walls of such cavities develops due to temperature gradients created by differential heating, leading to layered fluid motion and buoyancy-driven convection. This behavior is of significant relevance in various engineering and environmental applications, such as building and room ventilation, solar thermal energy storage, and atmospheric or environmental flow analyses. To the best of the authors’ knowledge, the present study constitutes one of the first comparative investigations aimed at assessing the thermal performance of square and rectangular cavities with identical surface areas and boundary conditions, wherein only the cavities’ height and length are varied. The primary objective of this study is to explore the influence of Ra on flow behavior and bifurcations, focusing specifically on determining the critical Ra associated with transitions, including pitchfork and Hopf bifurcations, as well as the emergence of chaotic flow patterns within air-filled rectangular cavity. Furthermore, the study evaluates the Nuavg, Savg, Beavg, and ECOP for both rectangular and square cavities under identical boundary conditions, surface area, and working fluid. The outcomes of this research offer substantial insight into the effects of geometric configuration on thermal efficiency and bifurcation characteristics in thermally stratified enclosures. The numerical results have been thoroughly validated against previously published data to confirm the credibility and precision of the current findings.

2. Physical Model

The present study primarily focuses on examining the UNC, bifurcation behavior, and HT characteristics in a rectangular cavity through 2D numerical simulation. A comparative analysis is subsequently conducted to evaluate the Nuavg, Savg, Beavg, and overall thermal performance between square and rectangular cavities. Figure 1 depicts a schematic of the physical domain of (a) rectangular and (b) square cavities, along with the associated boundary conditions. The aspect ratio of the cavity is defined as AR = H/L, where H and L denote the cavity height and length, respectively. In the present study, the square cavity corresponds to AR = 1.0, while the rectangular cavity has an aspect ratio of AR = 1.563 (with the same surface area as the square cavity). Furthermore, a comparative analysis of thermal performance between square and rectangular cavities is performed under identical boundary conditions and working fluid to elucidate the influence of the geometric configuration on system behavior. The bottom wall of the cavity is maintained at a constant high temperature, denoted as Th, while the top wall is kept at a lower constant temperature, Tc. The vertical walls are subjected to thermal stratification, represented by Ti. The working fluid is air with a Pr of 0.71, initially assumed to be linearly stratified. The thermophysical characteristics of the stratified air are summarized in Table 1. All walls of the cavity are rigid and satisfy the no-slip velocity condition.
The analysis of the UNC of stratified air within rectangular and square enclosures is performed utilizing a 2D computational approach based on the coupled Navier–Stokes and energy equations under the Boussinesq approximation, as follows (refer to Hossain et al. [44]):
{ U X + V Y = 0 , U t + U U X + V U Y = 1 ρ   P X + υ ( 2 U X 2 + 2 U Y 2 ) , V t + U V X + V V Y = 1 ρ   P Y + υ ( 2 V X 2 + 2 V Y 2 ) + g β ( T T ) , T t + U T X + V T Y = α ( 2 T X 2 + 2 T Y 2 ) .
The dimensional boundary conditions are as follows:
{ Top   cold   wall :   T = T c ,   U = V = 0 ,     Bottom   heated   wall :   T   =   T h ,   U   =   V   =   0 , Vertical   stratified   walls :   T   =   T i ,   U   =   V   =   0 .
The following are the normalized variables:
x = X H ,   y = Y H R a ,   u = U H α R a ,   v = V H α R a ,   p = P H 2 ρ α 2 R a ,   θ = T T T h T c ,   τ = t α R a H 2 .
Here, u, v, x, y, p, τ, and θ represent the non-dimensional forms of U, V, X, Y, P, t, and T, respectively. Two results controlling parameters within the cavities, Pr and Ra, are defined as follows (for additional details, see [10]):
R a = g β ( T h T c ) H 3 v α ,   P r = v α .
The non-dimensional form of Equation (1) becomes (refer to [45])
{ u x + v y = 0 , u τ + u u x + v u y = p x + P r R a ( 2 u x 2 + 2 u y 2 ) , v τ + u v x + v v y = p y + P r R a ( 2 v x 2 + 2 v y 2 ) + P r θ , θ τ + u θ x + v θ y = 1 R a ( 2 θ x 2 + 2 θ y 2 ) .
The following are the non-dimensional boundary conditions:
{ Cold   top   wall :   θ c =   u   =   v   =   0 ,   Heated   bottom   wall :   θ h   =   1 ,   u   =   v   =   0 , Stratified   vertical   walls :   θ i =   1     y ,   u   =   v   =   0 .
The Nuavg on the horizontal and vertical walls is defined as follows (see Rahaman et al. [46,47] for further details):
Nu avg = 1 l 0 1 θ y d x   and   Nu avg = 1 l 0 1 θ x d y
Entropy generation represents the overall measure of thermodynamic irreversibility within a system. In an NC arrangement, the primary sources of thermodynamic irreversibility can be traced back to two mechanisms: HT and FF. Local EG associated with these processes can be articulated in the following manner (refer to [47] for details):
{ S θ =   ( θ x ) 2 + ( θ y ) 2 , S f =   φ [ 2 { ( u x ) 2 + ( v y ) 2 } + ( u y + v x ) 2 ] .
where Sθ and Sf correspond to the local EG caused by the HT and the FF. The irreversible distribution ratio, denoted as φ, is defined as follows (refer to Varol et al. [35] for details):
φ = μ T k ( κ L T ) 2 .
The local EG within the enclosures, characterized as Sl, defined as the sum of Sθ and Sf, is as follows (refer to [47]):
S l = S θ + S f .
The local Bejan number (Bel) is defined in the following manner (refer to [42]):
B e l = S θ S l .
In convective systems, entropy is produced primarily due to temperature gradients (thermal irreversibility) and viscous dissipation (FF irreversibility). A higher average entropy generation (Savg) indicates greater destruction of available energy and reduced thermodynamic efficiency of the system. The average Bejan number (Beavg) provides a quantitative measure of the relative contribution of thermal irreversibility compared to total EG within a convective system. The Savg and the Beavg are characterized by the following (refer to [42] for details):
{ S a v g =   0 1 0 1 S l d x d y 0 1 0 1 d x d y , B a v g =   0 1 0 1 B e l d x d y 0 1 0 1 d x d y .
The ecological coefficient of performance (ECOP), which serves as an indicator for assessing the thermal performance within the domain, is defined as follows (for additional details, see [46]):
ECOP =   Nu avg S a v g .

3. Numerical Approach, Grid Test, and Validation Test

3.1. Methodology

The FVM based ANSYS Fluent 17.0 software is employed to discretize the governing equations (Equation (5)) and the corresponding boundary conditions (Equation (6)), for both rectangular and square enclosures, as detailed in Rahaman et al. [10]. The coupling between pressure and velocity fields is achieved using the Semi-Implicit Method for Pressure-Linked Equations (SIMPLE) algorithm. The viscous diffusion terms are discretized using a second-order central differencing scheme, while the convective (advection) terms are treated using the third-order Quadratic Upwind Interpolation for Convective Kinematics (QUICK) scheme (refer to Patterson and Imberger [6] for details). A second-order implicit time-marching scheme is applied for the unsteady formulation to ensure numerical stability and temporal accuracy. The discretized equations are solved iteratively on a non-uniform rectangular grid with appropriate under-relaxation factors, as discussed in [45]. Convergence is considered to be achieved when the residuals of the continuity, momentum, and energy equations fall below a relative tolerance threshold of 10−5.

3.2. Mesh and Time Step Dependent Tests

The mesh resolution within the computational domain significantly influences the precision and credibility of the numerical outcomes. To ensure grid independence and temporal consistency, a comparative analysis was conducted to evaluate the effects of varying mesh resolutions and time step sizes at the maximum Ra. It is assumed that the mesh and time step validated at the highest Ra are also appropriate for simulations at lower Ra. For this analysis, three symmetric mesh arrangements (300 × 400, 350 × 450, and 400 × 500) were evaluated in conjunction with two time step sizes (0.001 and 0.0005). Figure 2 presents the temperature time series (TTS) at position P1 (0, 0.16) for Ra = 109. The results demonstrate that the TTS obtained using different mesh resolutions and time step sizes are in excellent agreement during the initial stage, show only minor deviations in the transitional stage (Figure 2a), and coincide closely throughout the fully developed stage (FDS) (Figure 2b).
Table 2 presents the variance of average velocity during the FDS, evaluated across different mesh resolutions and time step sizes. The velocity variation observed between the coarsest mesh (300 × 400) and the finer mesh (350 × 450) was approximately 0.85%. In contrast, the velocity variation between the two finer meshes, (350 × 450) and (400 × 500), was around 0.36%. Based on these observations, it is concluded that all tested grid configurations provide sufficient accuracy in resolving the flow. Subsequently, a mesh resolution of (350 × 450) and a time step of 0.001 were implemented for the numerical simulations.
In this study, the non-dimensional dissipative time scale is determined from the succeeding equation (see [43] for further details):
λ k = ( 32 π 2 ) 1 4 ( Ra Pr ) 3 8
Here, λ k is 0.0012 for Ra = 109; the non-dimensional time steps of 0.001 and 0.0005 have been chosen for the comparison.

3.3. Validation Test

A qualitative validation of the current model was carried out by comparing the numerical results with the established benchmark for buoyancy-driven flow in a differentially heated square enclosure reported by Bawazeer and Alsoufi [48]. The comparison, illustrated in Figure 3, is based on their investigation of NC in a square cavity with a uniformly heated left wall and a cooled right wall, while the top and bottom boundaries were maintained under adiabatic conditions. Non-dimensional parameters within the range Ra = 105 to 106 and Pr = 0.71 were selected for the comparison. The comparison demonstrates strong agreement between the current numerical results and the benchmark data of Bawazeer and Alsoufi [48], thereby confirming the precision and reliability of the current computational approach. A quantitative validation was also conducted by comparing the Nuavg obtained from the present simulations with those reported by Bawazeer and Alsoufi [48] for Pr = 0.71 over the range Ra = 102 to 106. As shown in Figure 4, the quantitative comparison demonstrates excellent agreement in Nuavg across the entire Ra range, further reinforcing the reliability of the present numerical model. In a previous study [47], the authors also validated their square cavity model against the benchmark results of Basak et al. [49].

4. Results and Discussion

The unsteady characteristics of NC, HT, and flow development in a square cavity have been demonstrated in the authors’ previous study [47]. In the present work, the validated model is employed to investigate the unsteady characteristics of NC, HT, and flow development in a rectangular cavity, as shown in Figure 5, Figure 6, Figure 7, Figure 8 and Figure 9. Furthermore, a comparative analysis is performed to evaluate the Nuavg, Savg, Beavg, and overall thermal performance between square and rectangular cavities filled with thermally stratified air, as depicted in Figure 10, Figure 11, Figure 12, Figure 13 and Figure 14. The cavities’ configuration encompasses a heated lower wall, a cooled upper wall, and stratified vertical walls. Two-dimensional simulations are carried out for a Pr of 0.71 across an extensive range of Ra, ranging from 101 to 109. The results reveal that at low Ra, HT is predominantly governed by conduction, while increasing Ra, leads to multiple bifurcations in the flow structure, transitioning the system from a symmetric to a chaotic state.

4.1. Development of Flow

At the beginning, the cavity’s bottom wall is subjected to uniform heating, the vertical walls display thermal stratification, and the top wall is maintained at a fixed cold temperature. These boundary conditions induce the development of boundary layers along the cavity’s internal walls. For lower Ra of 101 to 103, the flow is primarily governed by conduction; with the rise in Ra, convection gradually becomes dominant. For brevity, the results corresponding to these lower Ra values (101 to 103) are not presented here.
Isotherms and streamline plots are shown in Figure 5, to illustrate the evolution of flow patterns within the rectangular cavity over the Ra range of 104 to 109. At Ra = 104, in Figure 5a, two distinct convective cells are observed, with HT dominated by conduction. The flow remains symmetrical about the vertical centerline of the cavity, consistent with the weak buoyancy forces at this regime. As Ra increases to 105, in Figure 5b, convection becomes more significant, leading to the breakdown of symmetry and the development of asymmetric flow structures. At Ra = 106, in Figure 5c, the strength of the convective cells further intensifies, and the flow reaches a steady configuration for the FDS. A further increase to Ra = 107, in Figure 5d, leads to the formation of additional convective cells and the emergence of oscillatory flow behavior. This periodic response indicates a transition from steady to periodic motion corresponding to a Hopf bifurcation (see [50] for details). For Ra = 108 and 109, in Figure 5e,f, additional tiny cells formed and the flow becomes more complicated, transitioning to chaotic flow. These results highlight the progressive complexity of NC in the cavity, demonstrating the sequence of flow transitions from steady to periodic, and finally to chaotic behavior with increasing Ra.

4.2. Development of Symmetrical to Asymmetrical Flow

To investigate the changeover from symmetric to asymmetric flow, TTS is evaluated at two geometrically symmetric locations, P3 (0.6, 0.2) and P4 (−0.6, 0.2), positioned with regard to the cavity’s vertical symmetry line. As illustrated in Figure 6a, the TTS at both points coincide over an extended period and exhibit identical behavior at Ra = 3 × 104, confirming that the flow persists symmetrically with regard to the cavity’s centerline. However, when Ra is raised to 4 × 104, the TTS begin to diverge in the time interval τ = 1200 and 1600. This deviation suggests the emergence of pitchfork bifurcation, marking the changeover of the cavity flow from a symmetric to an asymmetric state.
Again, a bifurcation diagram (refer to [45] for details) is constructed in the Ra–u plane to examine the emergence of pitchfork bifurcation as illustrated in Figure 6b. The bifurcation diagram demonstrates that at Ra = 3 × 104, the magnitude of u-velocity at point P2 (0, 0.4) remains zero (marked by black gradient symbols), indicating that the flow preserves its symmetry about the vertical midline of the cavity. As Ra rises to Ra = 4 × 104, a bifurcation becomes apparent by the loss of symmetry: the u-velocity at P2 deviates from zero, indicating the emergence of asymmetric flow. This divergence presents two separate solution branches: one, denoted by blue circular markers, corresponds to an increase in u-velocity along the upward trend, whereas the other, represented by purple square symbols, indicates a decrease along the downward trend. The onset of these couple of separate solution branches is characteristic of a supercritical pitchfork bifurcation.

4.3. Development of Unsteady Flow

The shift from steady-state to chaotic flow dynamics is characterized through analyses of the TTS and power spectral density (PSD) at point P2 (0, 0.4), as shown in Figure 7, for higher Ra to elucidate the development of unsteady flow behavior. At Ra = 3 × 106, the flow persists completely steady at the FDS, as depicted in Figure 7a. When Ra increases to 4 × 106, the flow exhibits periodic behavior, as depicted in Figure 7b. This transition signifies the existence of a Hopf bifurcation between Ra = 3 × 106 and Ra = 4 × 106, indicating the onset of periodic flow emerging from a steady-state regime. The spectral analyses of the TTS presented in Figure 7c,e provide further insight, revealing the presence of dominant harmonic modes with fundamental peak frequency. The principal peak frequencies are identified at 0.068 and 0.073 for Ra = 4 × 106 and 9 × 107, respectively, confirming the existence of periodic flow at these Ra values.
As Ra increases further, the periodic flow begins to deform. At Ra = 9 × 107, as shown in Figure 7d, the flow still maintains its periodic nature. At Ra = 2 × 108, the periodicity of the TTS becomes irregular and inconsistent. The corresponding PSD of the TTS, as illustrated in Figure 7g, reveals that the principal peak frequency becomes inconsistent. These observations indicate that another bifurcation occurs between Ra = 9 × 107 and Ra = 2 × 108, marking the transition from periodic to chaotic flow behavior.
The analysis of limit points and limit cycles at the point P3 (0.6, 0.2) on the v–θ phase plane is conducted to further investigate the transient flow behavior. At Ra = 3 × 106, the trajectory approaches a static point, represented by a rounded symbol, indicating steady-state solution, as demonstrated in Figure 8a. When the Ra increases to Ra = 4 × 106, the trajectory evolves into a closed orbital path, signifying an unchanging limit cycle and marking the emergence of a Hopf bifurcation, as illustrated in Figure 8b. The periodic nature of the limit cycles persists at Ra = 9 × 107, as depicted in Figure 8c. However, at Ra = 2 × 108, the trajectories become erratic and non-repetitive, demonstrating the transition to a chaotic regime, as portrayed in Figure 8d.

5. Heat Transfer

Although streamlines and isotherms do not directly quantify HT rates at the cavity boundaries, they provide valuable qualitative information about the internal flow structure and the governing physical mechanisms. The average Nusselt number (Nuavg) quantifies the enhancement of HT at a heated or cooled surface due to convection relative to pure conduction. Physically, it reflects how effectively the flow field transports thermal energy away from the boundary. Figure 9 illustrates the computed time series of the Nuavg at the bottom, top, left, and right walls. At the initial state, the temperature distributions of the fluid remain closely aligned with the boundary temperatures of the bottom, top, and vertical walls.
For lower Ra, HT is primarily governed by conduction; therefore, the discussion emphasizes higher Ra values, where the flow changes over from steady to chaotic regime. Initially, because of the thermally stratified air, the HT is minimal; however, during the transitional stage, the stratification effect becomes weakened, and the HT rate increases with rising Ra. At the FDS, the flow remains at a steady state for Ra ≤ 3 × 106, becomes periodic at Ra = 4 × 106, and sustains periodic behavior up to Ra = 9 × 107. Beyond this, at Ra = 2 × 108, the periodicity breaks down, and the flow shifts to a chaotic state.
The HT rate increases monotonically at the bottom (Figure 9a), top (Figure 9b), and right vertical (Figure 9c) walls with increasing Ra. However, an exception is observed at the right vertical wall for higher Ra values, as illustrated in Figure 9d. At the elevated Ra, the intensity of fluid motion within the cavity increases, leading to the upward (ascending) movement of heated air along the left vertical wall and the downward (descending) movement of cooled air along the right vertical wall. As a result, the HT rate on the left vertical wall becomes significantly higher than that on the right wall.

6. Thermal Performance Analysis for Square and Rectangular Cavities

This study investigates UNC, HT, and bifurcation phenomena within a rectangular cavity, along with a comparative analysis of the Nuavg, Savg, Beavg, and thermal performance between square and rectangular cavities filled with thermally stratified air. In both cases, identical boundary conditions are applied, with variations introduced only in the cavity dimensions (length and width). The flow transition behavior of the square cavity is considered beyond the scope of the current study.
Figure 10 illustrates the variation in Nuavg at the bottom wall for both square and rectangular cavities over a Ra range from 105 to 108. As observed, Nuavg increased consistently with increasing Ra for both geometries, indicating the progressive enhancement of convective HT as buoyancy forces intensify. At the lowest Ra = 105, the bottom of the square cavity exhibits a noticeably higher Nuavg of 5.79 compared to 3.24 for the rectangular cavity, signifying that under weak convection conditions, the square geometry facilitates more effective HT. At Ra = 5 × 105, Nuavg rises to 6.15 in the square cavity and 5.89 in the rectangular cavity. When Ra increases to 106, Nuavg rises to 7.28 in the square cavity and 7.22 in the rectangular cavity, suggesting that the difference between the two configurations becomes insignificant. For Ra = 5 × 106, Nuavg further increases to 14.37 in the square cavity and 13.99 in the rectangular cavity. A substantial enhancement is observed at Ra = 107, where Nuavg reaches 22.00 for the square cavity and 20.10 for the rectangular cavity. At Ra = 5 × 107, the values rise to 37.02 and 33.95, respectively. At the Ra of 108, Nuavg attains 50.79 in the square cavity and 41.79 in the rectangular cavity. Overall, Figure 10 demonstrates that the bottom of the square cavity consistently exhibits slightly higher Nuavg values than the rectangular cavity. Notably, at Ra = 108, the HT rate at the bottom of the square cavity is approximately 17.72% higher than that in the rectangular cavity, confirming the superior thermal performance of the square configuration under strong convective conditions.
Figure 11 presents the variation in the Nuavg for the square and rectangular cavities over an Ra ranging from 105 to 108. As expected, Nuavg increases with increasing Ra for both geometries, demonstrating the progressive enhancement of convective HT as buoyancy forces become more dominant. At the lowest Ra = 105, the square cavity exhibits a higher Nuavg of 5.33 compared to 3.69 for the rectangular cavity, indicating that the square geometry shows stronger fluid circulation under weak convection conditions. At Ra = 5 × 105, Nuavg increases to 6.60 in the square cavity and 5.60 in the rectangular cavity. As Ra reaches to 106, Nuavg rises to 8.01 in the square cavity and 7.27 in the rectangular cavity, showing that both enclosures exhibit comparable convective behavior, although the square configuration remains marginally more effective. For Ra = 5 × 106, Nuavg further increases to 13.99 in the square cavity and 10.80 in the rectangular cavity. At Ra = 107, Nuavg increases to 15.36 for the square cavity and 14.49 for the rectangular cavity. At Ra = 5 × 107, the value increases to 20.65 and 25.90, respectively. However, at the highest Ra = 108, a distinct reversal in trend is observed: the rectangular cavity attains a significantly higher Nuavg of 36.97, whereas the square cavity records a lower value of 25.94. This behavior can be attributed to the intensified buoyancy-driven flow in the rectangular enclosure. Consequently, at Ra = 108, the HT rate in the rectangular cavity is approximately 29.84% higher than that of the square cavity.
Figure 12 illustrates the variation in HT along the vertical walls for both square and rectangular cavities over a range of (Ra = 105–108). At Ra = 105, the left vertical wall (LVW) of the square cavity exhibits Nuavg of 4.90, while the rectangular cavity shows a slightly lower value of 4.12. Similarly, at the right vertical wall (RVW), the square cavity exhibits a Nuavg of 4.97 compared to 4.21 for the rectangular configuration. At Ra = 5 × 105, Nuavg at the LVW increases to 5.20 in the square cavity and 5.45 in the rectangular cavity, while the corresponding values at the RVW rise to 5.18 and 5.51, respectively. As Ra increases to 106, the Nuavg at the LVW reaches 5.47 for the square cavity and 6.86 for the rectangular cavity, whereas at the RVW the values increase to 5.57 and 6.93, respectively. For Ra = 5 × 106, further enhancement in HT is observed, with Nuavg at the LVW increasing to 8.47 in the square cavity and 8.09 in the rectangular cavity, while the corresponding RVW values become 6.01 and 7.73, respectively. At Ra = 107, the LVW Nuavg of the square cavity increases to 11.21, compared to 9.33 for the rectangular cavity, whereas at the RVW the respective values are 6.24 and 8.52. At Ra = 5 × 107, Nuavg at the LVW rises markedly to 17.98 in the square cavity and 29.81 in the rectangular cavity, while at the RVW the corresponding values increase to 8.29 and 12.01, respectively. At the highest Ra = 108, a sharp enhancement in HT is observed, particularly in the rectangular cavity. On the LVW, Nuavg reaches 50.29 in the rectangular configuration, whereas the square cavity records a considerably lower value of 23.74. On the RVW, the square cavity attains a Nuavg of 10.79, while the rectangular cavity reaches 14.04. As shown in Figure 12a,b, Nuavg increases almost linearly for both cavities, indicating the strengthening of convective HT with buoyancy. The RVW (Figure 12b) consistently exhibits higher HT rates in the rectangular cavity than in the square cavity. On the other hand, at the LVW (Figure 12a), both geometries display similar HT behavior at lower Ra values. However, at Ra = 108, a pronounced enhancement occurs in the rectangular cavity, where the Nuavg is approximately 52.79% higher than that of the square cavity. Although identical thermal boundary conditions are imposed on both vertical walls in the rectangular cavity, the heat transfer rate becomes significantly higher at the LVW than at the RVW at Ra = 108. This disparity arises from the development of asymmetric flow structures as buoyancy forces dominate the flow field. At such high Ra, the flow transitions from a relatively symmetric conduction–convection regime to a strongly convection-driven circulation.
The primary clockwise (or counterclockwise) recirculating cell intensifies and causes warmer fluid to ascend preferentially along one vertical wall, typically the left wall in the present configuration. This results in a thinner thermal boundary layer and a steeper temperature gradient along that wall, which directly enhances the Nuavg. In contrast, the opposite wall experiences descending colder fluid, which forms a thicker boundary layer with weaker temperature gradients, leading to reduced HT.
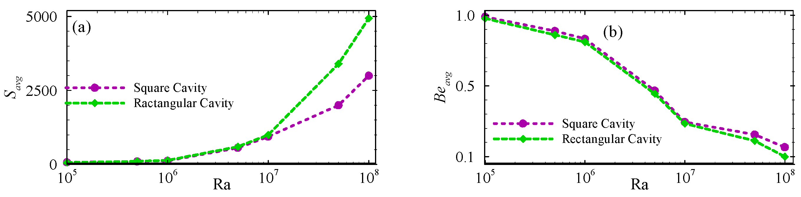
Figure 13 illustrates the variation in Savg and Beavg for square and rectangular cavities over a range of Ra (Ra = 105 to 108). At Ra = 105, the square cavity exhibits Savg of 72.4, which is slightly higher than 64.2 for the rectangular cavity. At Ra = 5 × 105, Savg increases to 100.50 in the square cavity and 106.60 in the rectangular cavity. As Ra increases to 106, both cavities show a noticeable rise in Savg, reaching 122.3 for the square and 139.5 for the rectangular cavity, indicating that convective motion becomes stronger in both enclosures. For Ra = 5 × 106, Savg further increases to 560.70 in the square cavity and 601.20 in the rectangular cavity. At Ra = 107, Savg increases sharply to 939.5 for the square cavity and 999.7 for the rectangular cavity. At Ra = 5 × 107, the values increase to 2000.30 and 3400.20, respectively. A further rise in Ra to 108 leads to a dramatic increase in Savg, reaching 2997.7 for the square cavity and 4940.3 for the rectangular cavity. The higher Savg observed in the rectangular cavity at elevated Ra values signifies more intense convective circulation and greater irreversibility due to thermal and viscous effects. As depicted in Figure 13a, Savg values for both cavities remain closely aligned up to Ra = 107. However, at Ra = 108 the Savg of the rectangular cavity becomes significantly higher, approximately 39.32% greater than that of the square cavity.
The variationa in the Beavg are depicted in Figure 13b for different Ra. At lower Ra = 105, Beavg values are nearly identical for both cavities (0.99 for square and 0.98 for rectangular), indicating that HT irreversibility dominates over FF. As Ra increases, Beavg gradually decreases, reaching 0.16 for the square cavity and 0.10 for the rectangular cavity at Ra = 108. This steady decline reflects the growing contribution of FF effects at higher buoyancy-driven flow intensities.
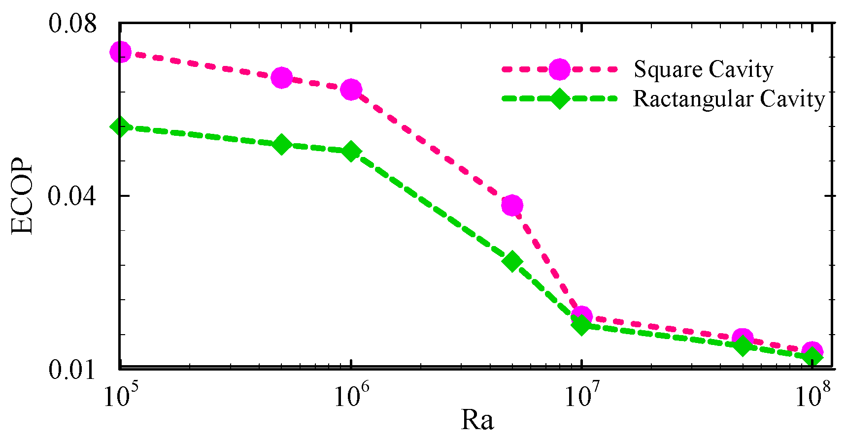
The ecological coefficient of performance (ECOP = Nuavg/Savg) serves as an indicator to measure the thermal performance within the simulation domain. A higher ECOP value corresponds to reduced EG, indicating enhanced thermodynamic efficiency, whereas a lower ECOP value replicates diminished HT performance because of the elevated thermal convection and associated irreversibilities.
Figure 14 demonstrates the variation in the ECOP for square and rectangular cavities at different Ra. At Ra = 105, the ECOP values are 0.0736 for the square cavity and 0.0575 for the rectangular cavity, indicating slightly superior thermal performance in the square configuration under low buoyancy conditions. At Ra = 5 × 105, ECOP decreases to 0.0681 for the square and 0.0556 for the rectangular cavity. As Ra increases to 106, ECOP decreases to 0.0655 for the square and 0.0521 for the rectangular cavity. For Ra = 5 × 106, ECOP decreases to 0.0404 for the square and 0.0283 for the rectangular cavity. With further increases in Ra, the ECOP continues to decline, reaching 0.0163 and 0.0145 at Ra = 107, and finally 0.0087 and 0.0075 at Ra = 108 for the square and rectangular cavities, respectively.
At Ra = 105, the square cavity demonstrates approximately 21.93% higher thermal efficiency than the rectangular cavity. At higher buoyancy levels, the thermal efficiency remains evident: 11.35% at Ra = 107 and 13.52% at Ra = 108. These findings reveal that the HT performance of the square cavity improves more prominently than that of the rectangular configuration, thereby identifying the square cavity as more thermally efficient under strong buoyancy-driven convection conditions.

7. Conclusions

This study primarily investigated the transient characteristics of NC, HT, and flow development within a rectangular enclosure filled with thermally stratified air. A comparative assessment was further conducted to evaluate the Nuavg, Savg, Beavg, and overall thermal performance between square and rectangular cavities. The analyzed cavities’ configuration comprised a heated bottom surface, thermally stratified vertical walls, and a cooled top surface, with simulations conducted over a wide range of Ra (101–109) for air (Pr = 0.71).
The results revealed a sequence of flow bifurcations governing the shift from symmetric to chaotic behavior in the rectangular cavity. Specifically,
The flow transition from a symmetric to an asymmetric state between Ra = 3 × 104 and 4 × 104, identified as a pitchfork bifurcation.
The transitions from an asymmetrical steady to a periodic state between Ra = 3 × 106 and 4 × 106, referred to as a Hopf bifurcation.
A further transition occurs between Ra = 9 × 107 and 2 × 108 and evolves into chaotic flow.
The HT mechanisms were analyzed for both cavities:
At Ra = 2 × 108 the RVW of the rectangular enclosure exhibits higher HT compared to other boundaries.
At Ra = 108, the square cavity achieves 17.72% higher HT than the rectangular enclosure along the bottom wall, whereas at the LVW the rectangular enclosure shows 52.79% higher HT than the LVW of the square cavity.
Overall, at Ra = 108, the rectangular cavity provides 29.84% higher HT than the square cavity.
The mechanisms of EG were further analyzed for both cavities by decomposing the total EG due to HT and FF components using the Beavg.
At Ra ≤ 106, entropy production was dominated by HT irreversibility, with negligible FF effects.
At Ra ≥ 107, FF irreversibility became increasingly dominant, leading to higher total EG.
At Ra = 108, the Savg of the rectangular cavity is 39.32% higher than the square cavity, indicating greater irreversibilities; in contrast, the lower Savg in the square cavity reflects a more thermodynamically optimized design.
At Ra = 108, the ECOP of the square cavity is 13.52% higher than that of the rectangular cavity. These findings reveal that the HT performance of the square cavity improves more prominently than that of the rectangular configuration.
The study indicates that with increasing HT rates, the square cavity offers a more thermally efficient system by minimizing EG.

8. Limitations and Future Works

While this study provides valuable insights, several limitations should be acknowledged. The numerical model is restricted to two-dimensional laminar flow with constant fluid properties under the Boussinesq approximation. Although these assumptions are widely adopted in thermal–fluid simulations, they may overlook important three-dimensional and transient behaviors, especially near flow transition regimes. Incorporating variable thermophysical properties, turbulence modeling, and fully three-dimensional analyses in future studies would substantially enhance the generality and applicability of the present findings.
In addition, the current work focuses on thermally stratified fluids within square and rectangular cavities for only two Prandtl numbers, Pr = 0.71 and Pr = 7.01. Future investigations could extend this study by exploring a broader spectrum of Prandtl numbers to capture a wider variety of fluid types and thermal transport characteristics. Examining low-Prandtl-number fluids (e.g., liquid metals) and high-Prandtl-number fluids (e.g., oils or molten salts) may reveal additional flow structures, heat transfer behaviors, or irreversibility patterns not observed in the present analysis. Moreover, future research may consider incorporating internal heat generation, non-uniform boundary conditions, porous inserts, magnetic field effects, or complex geometries, which would further diversify the physical scenarios and provide deeper insight into practical thermal system designs.

Declaration of Generative AI and AI-Assisted Technologies in the Manuscript Preparation Process

Throughout the development of this work, the authors used ChatGPT-4.0 to assist with grammar and English language refinement. Following this, the authors thoroughly reviewed and revised the content as necessary and assume full responsibility for the final version of the published article.

Author Contributions

Conceptualization, M.M.R. and S.B.; methodology, S.M.H.S.; software, S.M.H.S.; validation, M.M.R. and S.B.; formal analysis, M.M.R., S.M.H.S. and S.C.S.; investigation, M.M.R. and S.M.H.S.; resources, S.M.H.S.; data curation, M.M.R.; writing—original draft preparation, S.M.H.S.; writing—review and editing, M.M.R., S.B. and S.C.S.; visualization, M.M.R.; supervision, M.M.R., S.B. and S.C.S.; project administration, S.B. All authors have read and agreed to the published version of the manuscript.

Funding

This research received no external funding.

Institutional Review Board Statement

Not applicable.

Informed Consent Statement

Not applicable.

Data Availability Statement

The data presented in this study are available on request from the corresponding authors.

Conflicts of Interest

The authors declare no conflicts of interest.

Nomenclature

Bellocal Bejan numberU, Vvelocity components (m/s)
Cpspecific heat (J/kg·K)u, vdimensionless velocity components
Sfentropy generation due to fluid frictionX, Ycoordinates
EGentropy generationx, ydimensionless coordinates
Sθentropy generation due to heat transferGreek symbols
Stlocal entropy generationαthermal diffusivity (m2/s)
ggravitational force (m/s2)θdimensionless temperature
L, Hlength and height of the cavity (m)νkinematic viscosity (m2/s)
kthermal conductivity (W/(m·K))φirreversibility distribution ratio
Ppressure (N/m2)ψinclination angle
pdimensionless pressureρdensity (kg/m3)
PrPrandtl numberτdimensionless time
RaRayleigh number, (ThTc)H3κΔτdimensionless time step
ttime (s)θhdimensionless temperature of the bottom wall
Ttemperature (K)
Tctemperature of the top wall (K)θidimensionless temperature of the vertical walls
Thtemperature of the bottom wall (K)
Titemperature of the vertical walls (K)θcdimensionless temperature of the top wall
Tenvironmental temperature (K)
Nuavgaverage Nusselt number  

References

  1. Bergman, T.L. Fundamentals of Heat and Mass Transfer; John Wiley & Sons: Hoboken, NJ, USA, 2011. [Google Scholar]
  2. Bejan, A. Convection Heat Transfer; John Wiley & Sons: Hoboken, NJ, USA, 2013. [Google Scholar]
  3. Rahman, M.M.; Hye, M.A.; Rahman, M.M.; Rahaman, M.M. Numerical simulation on MHD free convection mass and heat transfer fluid flow over a vertical porous plate in a rotating system with induced magnetic field. Ann. Pure Appl. Math. 2014, 7, 35–44. [Google Scholar]
  4. Cesini, G.; Paroncini, M.; Cortella, G.; Manzan, M. Natural convection from a horizontal cylinder in a rectangular cavity. Int. J. Heat Mass Transf. 1999, 42, 1801–1811. [Google Scholar] [CrossRef]
  5. Zoubir, A.; El Otmani, R.; Bouferra, R.; Essaleh, L. Effects of thermal stratification on natural convection in a symmetrically heated channel: Comparison of characteristic quantities between air and water. Case Stud. Therm. Eng. 2023, 45, 102950. [Google Scholar] [CrossRef]
  6. Patterson, J.; Imberger, J. Unsteady natural convection in a rectangular cavity. J. Fluid Mech. 1980, 100, 65–86. [Google Scholar] [CrossRef]
  7. Lei, C.; Armfield, S.W.; Patterson, J.C. Unsteady natural convection in a water-filled isosceles triangular enclosure heated from below. Int. J. Heat Mass Transf. 2008, 51, 2637–2650. [Google Scholar] [CrossRef]
  8. Rahaman, M.M.; Titab, R.; Bhowmick, S.; Mondal, R.N.; Saha, S.C. Unsteady 2D flow in an initially stratified air-filled trapezoid. Jagannath Univ. J. Sci. 2022, 8, 1–6. [Google Scholar]
  9. Rahaman, M.M.; Bhowmick, S.; Mondal, R.N.; Saha, S.C. Unsteady natural convection in an initially stratified air-filled trapezoidal enclosure heated from below. Processes 2022, 10, 1383. [Google Scholar] [CrossRef]
  10. Rahaman, M.M.; Bhowmick, S.; Ghosh, B.P.; Xu, F.; Mondal, R.N.; Saha, S.C. Transient natural convection flows and heat transfer in a thermally stratified air-filled trapezoidal cavity. Therm. Sci. Eng. Prog. 2024, 47, 102377. [Google Scholar] [CrossRef]
  11. Bouafia, M.; Daube, O. Natural convection for large temperature gradients around a square solid body within a rectangular cavity. Int. J. Heat Mass Transf. 2007, 50, 3599–3615. [Google Scholar] [CrossRef]
  12. Roshani, H.; Jalili, B.; Mirzaei, A.; Jalili, P.; Ganji, D.D. The effect of buoyancy force on natural convection heat transfer of nanofluid flow in triangular cavity with different barriers. Heliyon 2024, 10, e35690. [Google Scholar] [CrossRef] [PubMed]
  13. Das, D.; Basak, T. Role of distributed/discrete solar heaters during natural convection in the square and triangular cavities: CFD and heatline simulations. Sol. Energy 2016, 135, 130–153. [Google Scholar] [CrossRef]
  14. Karatas, H.; Derbentli, T. Natural convection in differentially heated rectangular cavities with time periodic boundary condition on one side. Int. J. Heat Mass Transf. 2019, 129, 224–237. [Google Scholar] [CrossRef]
  15. Charles, N.A.G.; Otieno, A.K.; Stephen, K.M. Turbulent Natural Convection in A Rectangular Enclosure. Ger. J. Adv. Sci. Res. 2020, 3, 73. [Google Scholar]
  16. Berdnikov, V.S.; Grishkov, V.A.; Shumilov, N.A. Development of unsteady convection in a rectangular cavity with sudden heating of a vertical wall. Thermophys. Aeromech 2020, 16 27, 529–537. [Google Scholar] [CrossRef]
  17. Fichera, A.; Marcoux, M.; Pagano, A.; Volpe, R. An analytical model for natural convection in a rectangular enclosure with differentially heated vertical walls. Energies 2020, 13, 3220. [Google Scholar] [CrossRef]
  18. Farahani, S.D.; Farahani, A.D.; Öztop, H.F. Natural convection in a rectangular tall cavity in the presence of an oscillating and rotating cylinder. Colloids Surf. A Physicochem. Eng. Asp. 2022, 647, 129027. [Google Scholar] [CrossRef]
  19. Islam, M.J.; Ali, M.M.; Miah, M.M.; Munshi, M.J.H. Numerical Study of Magnetohydrodynamic Free Convection in a Rectangular Cavity with Corner Heater Having a Triangular Obstacle. J. Sci. Res. 2024, 16, 493–505. [Google Scholar] [CrossRef]
  20. de Vahl Davis, G. Natural convection of air in a square cavity: A bench mark numerical solution. Int. J. Numer. Methods Fluids 1983, 3, 249–264. [Google Scholar] [CrossRef]
  21. Pesso, T.; Piva, S. Laminar natural convection in a square cavity: Low Prandtl numbers and large density differences. Int. J. Heat Mass Transf. 2009, 52, 1036–1043. [Google Scholar] [CrossRef]
  22. Hakeem, A.A.; Saravanan, S.; Kandaswamy, P. Natural convection in a square cavity due to thermally active plates for different boundary conditions. Comput. Math. Appl. 2011, 62, 491–496. [Google Scholar] [CrossRef]
  23. Choi, S.K.; Kim, S.O. Comparative analysis of thermal models in the lattice boltzmann method for the simulation of natural convection in a square cavity. Numer. Heat Transf. Part B Fundam. 2011, 23 60, 135–145. [Google Scholar] [CrossRef]
  24. Butler, C.; Newport, D.; Geron, M. Natural convection experiments on a heated horizontal cylinder in a differentially heated square cavity. Exp. Therm. Fluid Sci. 2013, 24 44, 199–208. [Google Scholar] [CrossRef]
  25. Saravanan, S. Natural convection in square cavity with heat generating baffles. Appl. Math. Comput. 2014, 244, 1–9. [Google Scholar] [CrossRef]
  26. Dalal, A.; Das, M.K. Natural convection in a rectangular cavity heated from below and uniformly cooled from the top and both sides. Numer. Heat Transf. Part A Appl. 2006, 49, 301–322. [Google Scholar] [CrossRef]
  27. Nithyadevi, N.; Kandaswamy, P.; Lee, J. Natural convection in a rectangular cavity with partially active side walls. Int. J. Heat Mass Transf. 2007, 50, 4688–4697. [Google Scholar] [CrossRef]
  28. Khezzar, L.; Siginer, D.; Vinogradov, I. Natural convection in inclined two dimensional rectangular cavities. Heat Mass Transf. 2012, 48, 227–239. [Google Scholar] [CrossRef]
  29. Hatami, M. Numerical study of nanofluids natural convection in a rectangular cavity including heated fins. J. Mol. Liq. 2017, 233, 1–8. [Google Scholar] [CrossRef]
  30. Miroshnichenko, I.V.; Sheremet, M.A. Turbulent natural convection heat transfer in rectangular enclosures using experimental and numerical approaches: A review. Renew. Sustain. Energy Rev. 2018, 82, 40–59. [Google Scholar] [CrossRef]
  31. Jobby, A.; Khatamifar, M.; Lin, W. A Comprehensive Review on the Natural Convection Heat Transfer in Horizontal and Inclined Closed Rectangular Enclosures with Internal Objects at Various Heating Conditions. Energies 2025, 18, 19961073. [Google Scholar] [CrossRef]
  32. Bejan, A. Entropy generation minimization: The new thermodynamics of finite-size devices and finite-time processes. J. Appl. Phys. 1996, 79, 1191–1218. [Google Scholar] [CrossRef]
  33. Shuja, S.Z.; Yilbas, B.S.; Budair, M.O. Natural convection in a square cavity with a heat generating body: Entropy consideration. Heat Mass Transf. 2000, 36, 343–350. [Google Scholar] [CrossRef]
  34. Ilis, G.G.; Mobedi, M.; Sunden, B. Effect of aspect ratio on entropy generation in a rectangular cavity with differentially heated vertical walls. Int. Commun. Heat Mass Transf. 2008, 35, 696–703. [Google Scholar] [CrossRef]
  35. Varol, Y.; Oztop, H.F.; Koca, A. Entropy generation due to conjugate natural convection in enclosures bounded by vertical solid walls with different thicknesses. Int. Commun. Heat Mass Transf. 2008, 35, 648–656. [Google Scholar] [CrossRef]
  36. Oliveski, R.D.C.; Macagnan, M.H.; Copetti, J.B. Entropy generation and natural convection in rectangular cavities. Appl. Therm. Eng. 2009, 29, 1417–1425. [Google Scholar] [CrossRef]
  37. Bouabid, M.; Magherbi, M.; Hidouri, N.; Brahim, A.B. Entropy generation at natural convection in an inclined rectangular cavity. Entropy 2011, 13, 1020–1033. [Google Scholar] [CrossRef]
  38. Singh, A.K.; Roy, S.; Basak, T. Analysis of entropy generation due to natural convection in tilted square cavities. Ind. Eng. Chem. Res. 2012, 51, 13300–13318. [Google Scholar] [CrossRef]
  39. Shavik, S.M.; Hassan, M.N.; Morshed, A.M.; Islam, M.Q. Natural convection and entropy generation in a square inclined cavity with differentially heated vertical walls. Procedia Eng. 2014, 90, 557–562. [Google Scholar] [CrossRef]
  40. Salari, M.; Rezvani, A.; Mohammadtabar, A.; Mohammadtabar, M. Numerical study of entropy generation for natural convection in rectangular cavity with circular corners. Heat Transf. Eng. 2015, 36, 186–199. [Google Scholar] [CrossRef]
  41. Sheremet, M.A.; Grosan, T.; Pop, I. Natural convection and entropy generation in a square cavity with variable temperature side walls filled with a nanofluid: Buongiorno’s mathematical model. Entropy 2017, 19, 337. [Google Scholar] [CrossRef]
  42. Rahaman, M.M.; Bhowmick, S.; Saha, G.; Xu, F.; Saha, S.C. Transition to chaotic flow, bifurcation, and entropy generation analysis inside a stratified trapezoidal enclosure for varying aspect ratio. Chin. J. Phys. 2024, 91, 867–882. [Google Scholar] [CrossRef]
  43. Rahaman, M.M.; Bhowmick, S.; Saha, S.C. Thermal performance and entropy generation of unsteady natural convection in a trapezoid-shaped cavity. Processes 2025, 13, 921. [Google Scholar] [CrossRef]
  44. Hossain, M.N.; Shaon, S.M.H.; Rahaman, M.M. Transient Natural Convection and Entropy Generation Analysis in a Stratified Square Enclosure. AUT J. Mech. Eng 2025. [Google Scholar] [CrossRef]
  45. Rahaman, M.M.; Bhowmick, S.; Mondal, R.N.; Saha, S.C. A computational study of chaotic flow and heat transfer within a trapezoidal cavity. Energies 2023, 16, 5031. [Google Scholar] [CrossRef]
  46. Rahaman, M.M.; Bhowmick, S.; Saha, S.C. Unsteady Natural Convection and Entropy Generation in Thermally Stratified Trapezoidal Cavities: A Comparative Study. Processes 2025, 13, 1908. [Google Scholar] [CrossRef]
  47. Shaon, S.M.H.; Rahaman, M.M. Unsteady natural convection and heat transfer analysis within a thermally stratified air-filled square enclosure. Math. Mech. Complex Syst. 2025, 14, 37–57. [Google Scholar] [CrossRef]
  48. Bawazeer, S.A.; Alsoufi, M.S. Natural Convection in a Square Cavity: Effects of Rayleigh and Prandtl Numbers on Heat Transfer and Flow Patterns. Case Stud. Therm. Eng. 2025, 73, 106680. [Google Scholar] [CrossRef]
  49. Basak, T.; Roy, S.; Balakrishnan, A.R. Effects of thermal boundary conditions on natural convection flows within a square cavity. Int. J. Heat Mass Transf. 2006, 49, 4525–4535. [Google Scholar] [CrossRef]
  50. Jiménez, J. Transition to turbulence in two-dimensional Poiseuille flow. J. Fluid Mech. 1990, 218, 265–297. [Google Scholar] [CrossRef]
Figure 1. Physical domain and non-dimensional boundary conditions of (a) rectangular and (b) square cavities, indicating the key points P1 (0, 0.16), P2 (0, 0.4), P3 (0.6, 0.2), and P4 (−0.6, 0.2), which are used in subsequent figures.
Figure 1. Physical domain and non-dimensional boundary conditions of (a) rectangular and (b) square cavities, indicating the key points P1 (0, 0.16), P2 (0, 0.4), P3 (0.6, 0.2), and P4 (−0.6, 0.2), which are used in subsequent figures.
Fluids 11 00033 g001
Figure 2. Temperature time series at P1 (0, 0.16) for Ra = 109, illustrating the effects of time step and mesh size variations in the rectangular cavity.
Figure 2. Temperature time series at P1 (0, 0.16) for Ra = 109, illustrating the effects of time step and mesh size variations in the rectangular cavity.
Fluids 11 00033 g002
Figure 3. Comparison of the present results with those reported by Bawazeer and Alsoufi [48] for streamlines and isotherms in a square enclosure at Pr = 0.71 and Ra = 105 and 106.
Figure 3. Comparison of the present results with those reported by Bawazeer and Alsoufi [48] for streamlines and isotherms in a square enclosure at Pr = 0.71 and Ra = 105 and 106.
Fluids 11 00033 g003
Figure 4. Comparison of the current results with those reported by Bawazeer and Alsoufi [48] for Nuavg in a square enclosure at Pr = 0.71 and Ra = 102 to 106.
Figure 4. Comparison of the current results with those reported by Bawazeer and Alsoufi [48] for Nuavg in a square enclosure at Pr = 0.71 and Ra = 102 to 106.
Fluids 11 00033 g004
Figure 5. Isotherms and streamlines illustrating flow development within the rectangular cavity at the FDS for (a) Ra = 104, (b) Ra = 105, (c) Ra = 106, (d) Ra = 107, (e) Ra = 108, and (f) Ra = 109.
Figure 5. Isotherms and streamlines illustrating flow development within the rectangular cavity at the FDS for (a) Ra = 104, (b) Ra = 105, (c) Ra = 106, (d) Ra = 107, (e) Ra = 108, and (f) Ra = 109.
Fluids 11 00033 g005
Figure 6. Pitchfork bifurcation analysis in the rectangular cavity: (a) TTS at points P3 (0.6, 0.2) and P4 (−0.6, 0.2); (b) bifurcation diagram at point P2 (0, 0.4) in the Ra–u plane.
Figure 6. Pitchfork bifurcation analysis in the rectangular cavity: (a) TTS at points P3 (0.6, 0.2) and P4 (−0.6, 0.2); (b) bifurcation diagram at point P2 (0, 0.4) in the Ra–u plane.
Fluids 11 00033 g006
Figure 7. Temperature time series and corresponding spectral analysis at point P2 (0, 0.4) in the rectangular cavity: (a) steady state at Ra = 3 × 106; (b,c) changeover to periodic state at Ra = 4 × 106; (d,e) sustained periodic behavior at Ra = 9 × 107; and (f,g) shift to chaotic state at Ra = 2 × 108.
Figure 7. Temperature time series and corresponding spectral analysis at point P2 (0, 0.4) in the rectangular cavity: (a) steady state at Ra = 3 × 106; (b,c) changeover to periodic state at Ra = 4 × 106; (d,e) sustained periodic behavior at Ra = 9 × 107; and (f,g) shift to chaotic state at Ra = 2 × 108.
Fluids 11 00033 g007
Figure 8. Limit point and limit cycles at P3 (0.6, 0.2) in the rectangular cavity: (a) for Ra = 3 × 106; (b) for Ra = 4 × 106; (c) for Ra = 9 × 107; and (d) for Ra = 2 × 108.
Figure 8. Limit point and limit cycles at P3 (0.6, 0.2) in the rectangular cavity: (a) for Ra = 3 × 106; (b) for Ra = 4 × 106; (c) for Ra = 9 × 107; and (d) for Ra = 2 × 108.
Fluids 11 00033 g008
Figure 9. Time series of Nuavg at the boundary walls of the rectangular cavity for different Ra: (a) bottom wall, (b) top wall, (c) left vertical wall, and (d) right vertical wall.
Figure 9. Time series of Nuavg at the boundary walls of the rectangular cavity for different Ra: (a) bottom wall, (b) top wall, (c) left vertical wall, and (d) right vertical wall.
Fluids 11 00033 g009
Figure 10. Variation in Nuavg at the bottom wall with different Ra for square and rectangular cavity geometry.
Figure 10. Variation in Nuavg at the bottom wall with different Ra for square and rectangular cavity geometry.
Fluids 11 00033 g010
Figure 11. Variation in Nuavg for square and rectangular cavity configurations at different Ra.
Figure 11. Variation in Nuavg for square and rectangular cavity configurations at different Ra.
Fluids 11 00033 g011
Figure 12. Variation in HT along the vertical walls ((a) left vertical wall and (b) right vertical wall) for square and rectangular cavity configurations.
Figure 12. Variation in HT along the vertical walls ((a) left vertical wall and (b) right vertical wall) for square and rectangular cavity configurations.
Fluids 11 00033 g012
Figure 13. Variation in (a) Savg and (b) Beavg with different Ra for square and rectangular cavity configurations.
Figure 13. Variation in (a) Savg and (b) Beavg with different Ra for square and rectangular cavity configurations.
Fluids 11 00033 g013
Figure 14. Variation in ECOP with different Ra for square and rectangular cavity configurations.
Figure 14. Variation in ECOP with different Ra for square and rectangular cavity configurations.
Fluids 11 00033 g014
Table 1. The operating fluid’s thermophysical properties (refer to [43] for details).
Table 1. The operating fluid’s thermophysical properties (refer to [43] for details).
Property (Unit)Stratified Fluid (Air)
ρ (kg/m3)1.117
Cp (J/kg·K)1012
μ (kg/ms)0.000018
κ (W/m·K)0.0257887
Table 2. Variance of y-velocity at P1 (0, 0.16) using different mesh and time steps.
Table 2. Variance of y-velocity at P1 (0, 0.16) using different mesh and time steps.
Mesh and Time StepsAverage VelocityRelative Difference
300 × 400 and ∆τ = 0.0010.060590.85%
350 × 450 and ∆τ = 0.0010.06111-
350 × 450 and ∆τ = 0.00050.061260.25%
400 × 500 and ∆τ = 0.0010.061330.36%
Disclaimer/Publisher’s Note: The statements, opinions and data contained in all publications are solely those of the individual author(s) and contributor(s) and not of MDPI and/or the editor(s). MDPI and/or the editor(s) disclaim responsibility for any injury to people or property resulting from any ideas, methods, instructions or products referred to in the content.

Share and Cite

MDPI and ACS Style

Shaon, S.M.H.; Rahaman, M.M.; Saha, S.C.; Bhowmick, S. Comparative Analysis of Unsteady Natural Convection and Thermal Performance in Rectangular and Square Cavities Filled with Stratified Air. Fluids 2026, 11, 33. https://doi.org/10.3390/fluids11020033

AMA Style

Shaon SMH, Rahaman MM, Saha SC, Bhowmick S. Comparative Analysis of Unsteady Natural Convection and Thermal Performance in Rectangular and Square Cavities Filled with Stratified Air. Fluids. 2026; 11(2):33. https://doi.org/10.3390/fluids11020033

Chicago/Turabian Style

Shaon, Syed Mehedi Hassan, Md. Mahafujur Rahaman, Suvash C. Saha, and Sidhartha Bhowmick. 2026. "Comparative Analysis of Unsteady Natural Convection and Thermal Performance in Rectangular and Square Cavities Filled with Stratified Air" Fluids 11, no. 2: 33. https://doi.org/10.3390/fluids11020033

APA Style

Shaon, S. M. H., Rahaman, M. M., Saha, S. C., & Bhowmick, S. (2026). Comparative Analysis of Unsteady Natural Convection and Thermal Performance in Rectangular and Square Cavities Filled with Stratified Air. Fluids, 11(2), 33. https://doi.org/10.3390/fluids11020033

Article Metrics

Article metric data becomes available approximately 24 hours after publication online.
Back to TopTop