Application of Hydrogels and Hydrocarbon-Based Gels in Oil Production Processes and Well Drilling
Abstract
1. Introduction
2. Hydraulic Fracturing Gels
2.1. Guar-Based Gels
- Water-soluble cellulose derivatives (carboxymethylcellulose, carboxymethylhydroxyethylcellulose, hydroxyethylcellulose, etc.) [26,27]. Depending on the substituents, these polymers form gels in a wide range of viscosity, application temperatures, and mineralization of the water base. Heavy metal cations are often added to these systems to increase the viscosity.
- Microbial polysaccharides: xanthan, emulsifier, simusan, kurdlan; bacterial alginates and fungal: aubazidan, pullulan, rodexman, scleroglucan. The most common of these is xanthan, which, due to its structure, forms highly viscous solutions in a wide range of pH, mineralization, and temperature. Guar and hydroxypropyl guar (HPG) are the cheapest of a biopolymer series, as well as effective thickeners of aqueous media for hydraulic fracturing. The general structural formula for guar and HPG is shown in Figure 2. The degree of polymerization of molecules (n) is usually 400–600, and the average molecular weight is in the range of 200,000 to 2,000,000 Daltons.
2.2. Polyacrylamide-Based Gels
2.3. Gels Based on Viscoelastic Surfactants
- Oil-flushing properties, which can increase the oil recovery factor (ORF).
- Hydrophobization of the formation rock due to the adsorption of surfactants. This contributes to the stabilization of clays, and also prevents the formation of water blockades after hydraulic fracturing [67].
2.4. Hydrocarbon Gels
3. Gels for Conformance Control and Flow Diversion
3.1. Gels Based on Acrylamide Polymers
- −
- At the polymerization stage, the bifunctional monomer methylene bisacrylamide is introduced into the composition of acrylamide and acrylic acid monomers [92].
- −
- Heat treatment of polyacrylamide at moderate temperatures when the cross-linking of macromolecules occurs as a result of the imidization reaction [92].
- −
3.2. Gel-Dispersed and Sedimentary-Gel-Forming Compositions
3.3. Gels Based on Inorganic Compounds
4. Gels for Water and Gas Shutoff
4.1. Gels Based on Organic Polymers and Inorganic Compounds
4.2. Gels with Nanocomponent Additives
4.3. Mathematical Modeling of Water Shutoff Operation with Gel-Forming Compositions
- Flow continuity equations (for the water and oil phase) [78]:
- 2.
- Darcy’s linear filtration law:
- 3.
- Equation of normalization of saturation of pore space:
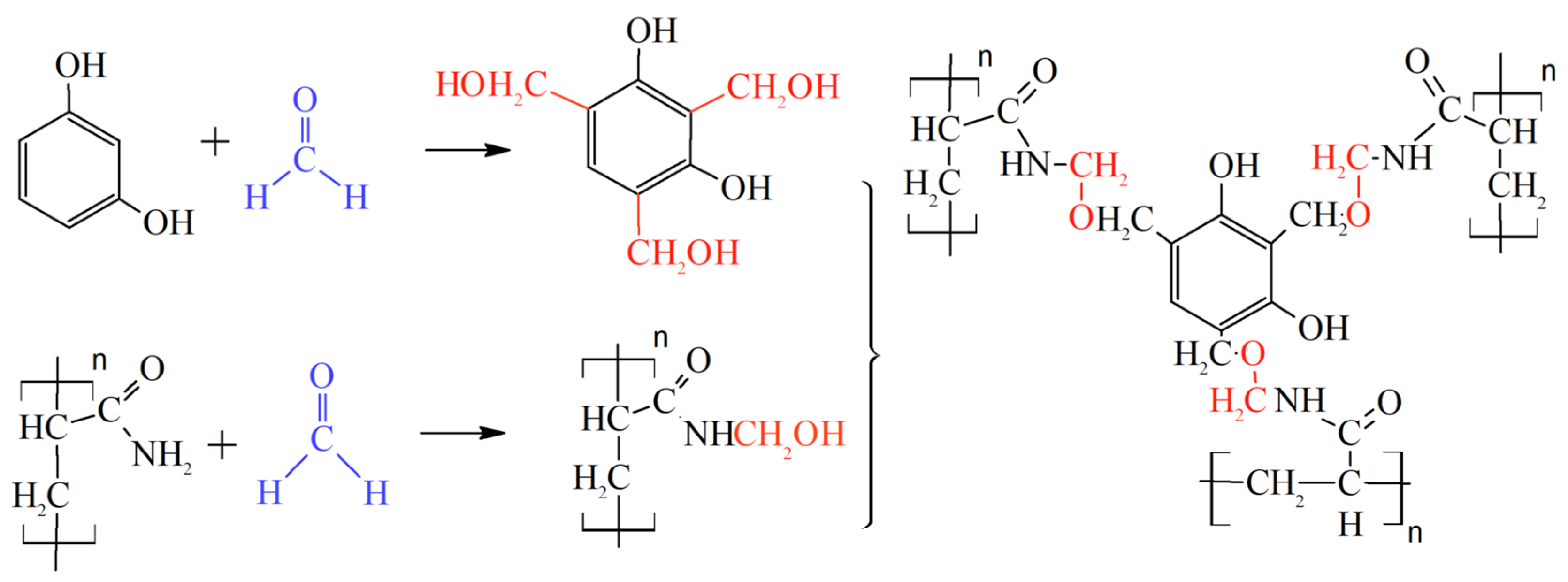
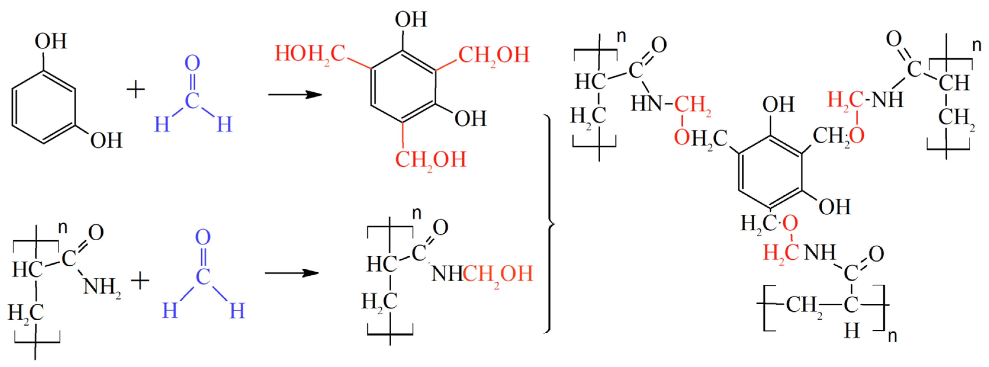
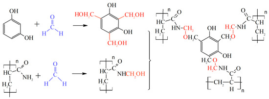
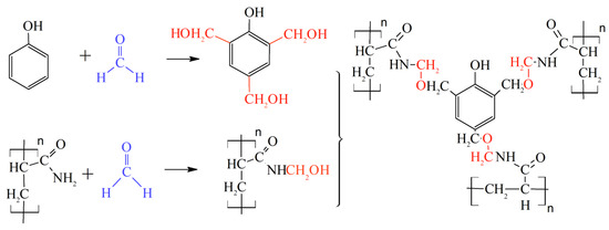
5. Gels for EOR
6. Gels for Acid Stimulation of Wells
7. Gels for Well Drilling
- Uncontrolled inflow of formation fluid into the well [220].
- Resistance of the drilling flushing fluid to aggressive environments.
8. Well-Killing Gels
- Use of hydrocarbon base (reverse emulsion, thickened oil).
- Introduction of special modifying additives to the well killing fluid.
- Creation of a colloidal system from the well killing fluid (gel, foam, emulsion, etc.).
- The use of blocking compounds in combination with a well killing fluid.
9. Conclusions
- In general, this is a relevant technological area. It is developing rapidly in all the mentioned processes.
- A wide variety of gel compositions allows for the selection of the optimal composition for any geological and physical conditions of wells for hydraulic fracturing. The use of viscoelastic surfactants currently is the most promising direction of gel studies for this process. With a minimum content of components, they have a good sand-bearing capacity and do not have a damaging effect on the productive layer and the proppant packing.
- The tendency to increase the depth of well treatment with gels with the lower gelling concentration limit should be noted in flow-diversion technologies, which makes it possible to pump large volumes of flow diverters and significantly increase the sweep efficiency. In case of conformance control in wells along the section, the modern development of this technology has come to the injection of low-volume rigid gel-forming and gel-dispersed systems, which is constantly developing in terms of treatment cost reduction.
- There is a clear trend of using microcomposite and nanocomposite materials in water-shutoff technologies to increase the strength of the water-shutoff gel screen; hydrodynamic modeling methods have also been actively used to increase the accuracy of the effect prediction and optimize the volume of injection of the water-shutoff composition.
- Self-diverting acid compositions based on viscoelastic surfactants are increasingly actively and successfully used in the well-acid stimulation technologies.
- The use of non-damaging block pills and killing fluids is becoming increasingly relevant due to the depletion of the fields being developed and the commissioning of deposits with hard-to-recover reserves. The use of gels based on polysaccharides (guar gum, xanthan gum, and modified cellulose) as remedial fluids allows for the production potential of wells during workovers to continue, minimizing the well-stabilization period.
Author Contributions
Funding
Institutional Review Board Statement
Informed Consent Statement
Data Availability Statement
Conflicts of Interest
References
- Seright, R.; Brattekas, B. Water shutoff and conformance improvement: An introduction. Pet. Sci. 2021, 18, 450–478. [Google Scholar] [CrossRef]
- Economides, M.; Oligney, R.; Valkó, P. Unified Fracture Design: Bridging the Gap between Theory and Practice; Orsa Press: Alvin, TX, USA, 2002; ISBN 978-0-9710427-0-4. [Google Scholar]
- Lenchenkova, L.E. Enhancement of Oil Recovery by Physical and Chemical Methods; Nedra-Business-Center: Moscow, Russia, 1998. [Google Scholar]
- Altunina, L.K.; Kuvshinov, V.A. Physicochemical methods for enhancing oil recovery from oil fields. Russ. Chem. Rev. 2007, 76, 971–987. [Google Scholar] [CrossRef]
- Chen, B.; Barboza, B.R.; Sun, Y.; Bai, J.; Thomas, H.R.; Dutko, M.; Cottrell, M.; Li, C. A Review of Hydraulic Fracturing Simulation. Arch. Comput. Methods Eng. 2021, 29, 1–58. [Google Scholar] [CrossRef]
- Wang, J.; Zhou, F.; Bai, H.; Li, Y.; Yang, H. A Comprehensive method to evaluate the viscous slickwater as fracturing fluids for hydraulic fracturing applications. J. Pet. Sci. Eng. 2020, 193, 107359. [Google Scholar] [CrossRef]
- Gaillard, N.; Thomas, A.; Favero, C. Novel Associative Acrylamide-based Polymers for Proppant Transport in Hydraulic Fracturing Fluids. Proc.-SPE Int. Symp. Oilfield Chem. 2013, 1, 324–334. [Google Scholar] [CrossRef]
- Holtsclaw, J.; Funkhouser, G.P. A Crosslinkable Synthetic Polymer System for High-Temperature Hydraulic Fracturing Applications. In Proceedings of the Tight Gas Completions Conference; OnePetro: San Antonio, TX, USA, 2009; pp. 51–61. [Google Scholar]
- Deng, Y.; Dixon, J.B.; White, G.N.; Loeppert, R.H.; Juo, A.S.R. Bonding between polyacrylamide and smectite. Colloids Surf. Physicochem. Eng. Asp. 2006, 281, 82–91. [Google Scholar] [CrossRef]
- Xiong, B.; Miller, Z.; Roman-White, S.; Tasker, T.; Farina, B.; Piechowicz, B.; Burgos, W.D.; Joshi, P.; Zhu, L.; Gorski, C.A.; et al. Chemical Degradation of Polyacrylamide during Hydraulic Fracturing. Environ. Sci. Technol. 2018, 52, 327–336. [Google Scholar] [CrossRef]
- Mccabe, M.A. ClM-90 021586 Continuously Gelled Diesel Systems for Fracturing Applications. In Proceedings of the Annual Technical Meeting, Calgary, AB, Canada, 9–12 June 1990. [Google Scholar]
- Maberry, L.J.; McConnell, S.B.; Hinkel, J.J. New Complexation Chemistry Provides Improved Continuous-Mix Gelled Oil. In Proceedings of the International Symposium on Oilfield Chemistry, Houston, TX, USA, 18–21 February 1997; pp. 169–174. [Google Scholar] [CrossRef]
- McKenzie, L.F.; Hughes, B.J. Hydrocarbon Gels of Alumino Alkyl Acid Orthophosphates. In Proceedings of the SPE Oilfield and Geothermal Chemistry Symposium, Stanford, CA, USA, 28–30 May 1980; pp. 293–298. [Google Scholar] [CrossRef]
- Mao, J.; Yang, X.; Wang, D.; Li, Y.; Zhao, J. A novel gemini viscoelastic surfactant (VES) for fracturing fluids with good temperature stability. RSC Adv. 2016, 6, 88426–88432. [Google Scholar] [CrossRef]
- Xu, T.; Mao, J.; Zhang, Y.; Yang, X.; Lin, C.; Du, A.; Zhang, H. Application of gemini viscoelastic surfactant with high salt in brine-based fracturing fluid. Colloids Surf. Physicochem. Eng. Asp. 2021, 611, 125838. [Google Scholar] [CrossRef]
- Zhang, W.; Mao, J.; Yang, X.; Zhang, H.; Zhang, Z.; Yang, B.; Zhang, Y.; Zhao, J. Study of a novel gemini viscoelastic surfactant with high performance in clean fracturing fluid application. Polymers 2018, 10, 1215. [Google Scholar] [CrossRef]
- Morishima, K.; Sugawara, S.; Yoshimura, T.; Shibayama, M. Structure and Rheology of Wormlike Micelles Formed by Fluorocarbon-Hydrocarbon-Type Hybrid Gemini Surfactant in Aqueous Solution. Langmuir 2017, 33, 6084–6091. [Google Scholar] [CrossRef]
- Mao, J.; Huang, Z.; Cun, M.; Yang, X.; Lin, C.; Zhang, Y.; Xu, T.; Zhang, H.; Du, A.; Wang, Q. Effect of spacer hydroxyl number on the performance of Gemini cationic viscoelastic surfactant for fracturing fluids. J. Mol. Liq. 2022, 346, 117889. [Google Scholar] [CrossRef]
- Kumars, R.; Kalur, G.C.; Ziserman, L.; Danino, D.; Raghavan, S.R. Wormlike micelles of a C22-tailed zwitterionic betaine surfactant: From viscoelastic solutions to elastic gels. Langmuir 2007, 23, 12849–12856. [Google Scholar] [CrossRef] [PubMed]
- Liu, S.; Lin, Y.T.; Bhat, B.; Kuan, K.Y.; Kwon, J.S.I.; Akbulut, M. PH-responsive viscoelastic supramolecular viscosifiers based on dynamic complexation of zwitterionic octadecylamidopropyl betaine and triamine for hydraulic fracturing applications. RSC Adv. 2021, 11, 22517–22529. [Google Scholar] [CrossRef] [PubMed]
- Zhang, W.; Mao, J.; Yang, X.; Zhang, H.; Zhao, J.; Tian, J.; Lin, C.; Mao, J. Development of a sulfonic gemini zwitterionic viscoelastic surfactant with high salt tolerance for seawater-based clean fracturing fluid. Chem. Eng. Sci. 2019, 207, 688–701. [Google Scholar] [CrossRef]
- Agrawal, N.R.; Yue, X.; Feng, Y.; Raghavan, S.R. Wormlike Micelles of a Cationic Surfactant in Polar Organic Solvents: Extending Surfactant Self-Assembly to New Systems and Subzero Temperatures. Langmuir 2019, 35, 12782–12791. [Google Scholar] [CrossRef]
- Zakharov, V.P.; Ismagilov, T.A.; Telin, A.G.; Silin, M.A. Regulation of Filtration Flows by Water-Isolating Technologies in the Development of Oil Fields; Gubkin Russian State University of Oil and Gas Publishing Center: Moscow, Russia, 2011. [Google Scholar]
- Strizhnev, K.V. Remover and Insulation Works in Wells: Theory and Practice; Nedra: Saint Petersburg, Russia, 2010. [Google Scholar]
- Strizhnev, V.A.; Vezhnin, S.A.; Karazeev, D.V.; Safarov, F.E.; Telin, A.G. Experience in Carrying out Repair and Insulation Works In Various Geological and Industrial Conditions. Oil Gas Innov. 2022, 8, 49–55. [Google Scholar]
- Al-Muntasheri, G.A. A critical review of hydraulic-fracturing fluids for moderate- to ultralow- permeability formations over the last decade. SPE Prod. Oper. 2014, 29, 243–260. [Google Scholar] [CrossRef]
- Trabelsi, S.; Kakadjian, S. Comparative Study Between Guar and Carboxymethylcellulose Used as Gelling Systems in Hydraulic Fracturing Application. In Proceedings of the SPE Production and Operations Symposium, Oklahoma City, OK, USA, 23–26 March 2013; OnePetro: Oklahoma City, OK, USA, 2013; pp. 183–202. [Google Scholar]
- Hurnaus, T.; Plank, J. Behavior of titania nanoparticles in cross-linking hydroxypropyl guar used in hydraulic fracturing fluids for oil recovery. Energy Fuels 2015, 29, 3601–3608. [Google Scholar] [CrossRef]
- Ihejirika, B.; Dosunmu, A.; Eme, C. Performance Evaluation of Guar Gum as a Carrier Fluid for Hydraulic Fracturing. In Proceedings of the SPE Nigeria Annual International Conference and Exhibition, Lagos, Nigeria, 4–6 August 2015. [Google Scholar] [CrossRef]
- Coveney, P.V.; Silva, H.D.; Gomtsyan, A.; Whiting, A.; Boek, E.S. Novel Approaches to Cross-linking High Molecular Weight Polysaccharides: Application to Guar-based Hydraulic Fracturing Fluids. Mol. Simul. 2006, 25, 265–299. [Google Scholar] [CrossRef]
- Kesavan, S.; Prud’homme, R.K. Rheology of Guar and HPG Cross-Linked by Borate. Macromolecules 1992, 25, 2026–2032. [Google Scholar] [CrossRef]
- Wang, S.; Tang, H.; Guo, J.; Wang, K. Effect of pH on the rheological properties of borate crosslinked hydroxypropyl guar gum hydrogel and hydroxypropyl guar gum. Carbohydr. Polym. 2016, 147, 455–463. [Google Scholar] [CrossRef] [PubMed]
- Nimerick, K.H.; Temple, H.L.; Card, R.J. New pH-Buffered Low Polymer Borate Crosslinked Fluids for Hydraulic Fracturing. SPE J. 1997, 2, 150–156. [Google Scholar] [CrossRef]
- Hurnaus, T.; Plank, J. Crosslinking of Guar and HPG Based Fracturing Fluids Using ZrO2 Nanoparticles. Proc.-SPE Int. Symp. Oilfield Chem. 2015, 2, 988–1002. [Google Scholar] [CrossRef]
- Chauhan, G.; Verma, A.; Doley, A.; Ojha, K. Rheological and breaking characteristics of Zr-crosslinked gum karaya gels for high-temperature hydraulic fracturing application. J. Pet. Sci. Eng. 2019, 172, 327–339. [Google Scholar] [CrossRef]
- Lafitte, V.; Tustin, G.; Drochon, B.; Parris, M. Nanomaterials in Fracturing Applications. In Proceedings of the SPE International Oilfield Nanotechnology Conference and Exhibition, Noordwijk, The Netherlands, 12–14 June 2012; pp. 93–100. [Google Scholar] [CrossRef]
- Reddy, B.R. Laboratory Characterization of Gel Filter Cake and Development of Nonoxidizing Gel Breakers for Zirconium-Crosslinked Fracturing Fluids. SPE J. 2014, 19, 662–673. [Google Scholar] [CrossRef]
- Al-Muntasheri, G.A.; Liang, F.; Hull, K.L. Nanoparticle-Enhanced Hydraulic-Fracturing Fluids: A Review. SPE Prod. Oper. 2017, 32, 186–195. [Google Scholar] [CrossRef]
- Li, L.; Al-Muntasheri, G.A.; Liang, F. A review of crosslinked fracturing fluids prepared with produced water. Petroleum 2016, 2, 313–323. [Google Scholar] [CrossRef]
- Rae, P.; Lullo, G.D. Fracturing Fluids and Breaker Systems—A Review of the State-of-the-Art. In Proceedings of the SPE Eastern Regional Meeting, Columbus, OH, USA, 23–25 October 1996; OnePetro: Columbus, OH, USA, 1996; p. 237. [Google Scholar]
- Patil, P.; Muthusamy, R.; Pandya, N. Novel Controlled-Release Breakers for High-Temperature Fracturing. In Proceedings of the North Africa Technical Conference and Exhibition; OnePetro: Cairo, Egypt, 2013; Volume 1, pp. 599–604. [Google Scholar]
- Almubarak, T.; Ng, J.H.C.; Alkhaldi, M.; Panda, S.; Nasr-El-din, H.A. Insights on Potential Formation Damage Mechanisms Associated with the Use of Gel Breakers in Hydraulic Fracturing. Polymers 2020, 12, 2722. [Google Scholar] [CrossRef]
- Al-Muntasheri, G.A.; Li, L.; Liang, F.; Gomaa, A.M. Concepts in Cleanup of Fracturing Fluids Used in Conventional Reservoirs: A Literature Review. SPE Prod. Oper. 2018, 33, 196–213. [Google Scholar] [CrossRef]
- Meng, Y.; Zhao, F.; Jin, X.; Feng, Y.; Sun, G.; Lin, J.; Jia, B.; Li, P. Performance Evaluation of Enzyme Breaker for Fracturing Applications under Simulated Reservoir Conditions. Molecules 2021, 26, 3133. [Google Scholar] [CrossRef] [PubMed]
- Guo, T.; Gong, F.; Lin, X.; Lin, Q.; Wang, X. Experimental Investigation on Damage Mechanism of Guar Gum Fracturing Fluid to Low-Permeability Reservoir Based on Nuclear Magnetic Resonance. J. Energy Resour. Technol. Trans. ASME 2018, 140, 072906. [Google Scholar] [CrossRef]
- Liu, S.; Huang, J.; Tang, S.; Shi, S.; Wu, X.; Liu, X. Experimental Study on the Damage of Artificial Fracture Permeability in Coal during the Flow Back of Guar-Based Fracturing Fluid. Geofluids 2020, 2020, 8302310. [Google Scholar] [CrossRef]
- Li, Y.; Wang, S.; Guo, J.; Chen, R.; Zhao, F.; Liu, Y. Reducing adsorption of hydroxypropyl guar gum on sandstone by silicon nanoparticles. Carbohydr. Polym. 2019, 219, 21–28. [Google Scholar] [CrossRef] [PubMed]
- Shi, P.; Wang, S.; Ouyang, C.; Yang, N.; Li, J. Novel nanometer silica desorption reagent reducing the damage of hydroxypropyl guar gum to sandstone reservoir. J. Pet. Sci. Eng. 2022, 216, 110838. [Google Scholar] [CrossRef]
- Wang, S.; Chen, F.; Guo, J.; Li, Y.; Zhao, F.; Zhou, S.Y. Adsorption damage of hydroxypropyl guar gum to porous media composed of quartz. J. Pet. Sci. Eng. 2019, 182, 106379. [Google Scholar] [CrossRef]
- Bera, A.; Agarwal, J.; Shah, M.; Shah, S.; Vij, R.K. Recent advances in ionic liquids as alternative to surfactants/chemicals for application in upstream oil industry. J. Ind. Eng. Chem. 2020, 82, 17–30. [Google Scholar] [CrossRef]
- Berry, S.L.; Boles, J.L.; Brannon, H.D.; Beall, B.B. Performance Evaluation of Ionic Liquids as a Clay Stabilizer and Shale Inhibitor. Proc.-SPE Int. Symp. Form. Damage Control 2008, 2, 997–1010. [Google Scholar] [CrossRef]
- Kahrilas, G.A.; Blotevogel, J.; Stewart, P.S.; Borch, T. Biocides in hydraulic fracturing fluids: A critical review of their usage, mobility, degradation, and toxicity. Environ. Sci. Technol. 2015, 49, 16–32. [Google Scholar] [CrossRef]
- Nguyen, T.C.; Romero, B.; Vinson, E.; Wiggins, H. Effect of salt on the performance of drag reducers in slickwater fracturing fluids. J. Pet. Sci. Eng. 2018, 163, 590–599. [Google Scholar] [CrossRef]
- Xiaowu, Y.; Yiding, S.; Peizhi, L. Solution properties of anionic hydrophobic association polyacrylamide modified with fluorinated acrylate. J. Polym. Res. 2010, 17, 601–606. [Google Scholar] [CrossRef]
- Zhao, Z.; Liu, T.; Luo, P.; Li, Y.; Liu, J.; Cheng, J.; Yu, Y. Performance and field implementation of a new fracturing fluid consisting of hydrophobically associating polyacrylamide and anionic surfactant. J. Polym. Eng. 2016, 36, 13–21. [Google Scholar] [CrossRef]
- Chen, F.; Wu, Y.; Wang, M.; Zha, R. Self-assembly networks of wormlike micelles and hydrophobically modified polyacrylamide with high performance in fracturing fluid application. Colloid Polym. Sci. 2015, 293, 687–697. [Google Scholar] [CrossRef]
- Shao, Y.; Mao, J.; Yang, B.; Zhao, J.; Yang, X. High Performance Hydrophobic Associated Polymer for Fracturing Fluids with Low-Dosage. Pet. Chem. 2020, 60, 219–225. [Google Scholar] [CrossRef]
- Al-Hajri, S.; Negash, B.M.; Rahman, M.; Haroun, M.; Al-Shami, T.M. Perspective Review of Polymers as Additives in Water-Based Fracturing Fluids. ACS Omega 2022, 7, 7431–7443. [Google Scholar] [CrossRef] [PubMed]
- Jianchun, G.; Li, Y.; Wang, S. Adsorption damage and control measures of slick-water fracturing fluid in shale reservoirs. China Natl. Sci. Technol. Major Proj. 2018, 45, 336–342. [Google Scholar]
- Li, Y.; Wang, S.; Guo, J.; Gou, X.; Jiang, Z.; Pan, B. Reduced adsorption of polyacrylamide-based fracturing fluid on shale rock using urea. Energy Sci. Eng. 2018, 6, 749–759. [Google Scholar] [CrossRef]
- Kakadjian, S.; Kitchen, J.; Flowers, A.; Vu, J.; Gebrekirstos, A.; Algadi, O. Successfully Optimizing Breakers in Polyacrylamides for Slickwater and High-Viscosity Fluids. In Proceedings of the SPE Annual Technical Conference and Exhibition, Dubai, United Arab Emirates, 21–23 September 2021. [Google Scholar] [CrossRef]
- Wang, Z.; Bai, B.; Zhou, E.; Pu, J.; Schuman, T. Experimental Evaluation of Oxidizing Breakers for a Polyacrylamide-Based Re-Crosslinkable Preformed Particle Gel. Energy Fuels 2019, 33, 5001–5010. [Google Scholar] [CrossRef]
- Gilbert, W.J.R.; Johnson, S.J.; Tsau, J.S.; Liang, J.T.; Scurto, A.M. Enzymatic degradation of polyacrylamide in aqueous solution with peroxidase and H2O2. J. Appl. Polym. Sci. 2017, 134, 44560. [Google Scholar] [CrossRef]
- Yang, C.; Hu, Z.; Song, Z.; Bai, J.; Zhang, Y.; Luo, J.Q.; Du, Y.; Jiang, Q. Self-assembly properties of ultra-long-chain gemini surfactant with high performance in a fracturing fluid application. J. Appl. Polym. Sci. 2017, 134, 44602. [Google Scholar] [CrossRef]
- Silin, M.A.; Magadova, L.A.; Krisanova, P.K.; An, F.V. A Polymer-Free Process Fluid for Hydraulic Fracturing Based on Viscoelastic Surfactants; Gubkin University: Moscow, Russia, 2017; p. 110. [Google Scholar]
- Chieng, Z.H.; Mohyaldinn, M.E.; Hassan, A.M.; Bruining, H. Experimental investigation and performance evaluation of modified viscoelastic surfactant (VES) as a new thickening fracturing fluid. Polymers 2020, 12, 1470. [Google Scholar] [CrossRef] [PubMed]
- Tariq, Z.; Kamal, M.S.; Mahmoud, M.; Hussain, S.M.S.; Hussaini, S.R. Novel gemini surfactant as a clay stabilizing additive in fracturing fluids for unconventional tight sandstones: Mechanism and performance. J. Pet. Sci. Eng. 2020, 195, 107917. [Google Scholar] [CrossRef]
- Mao, J.; Zhang, H.; Zhang, W.; Fan, J.; Zhang, C.; Zhao, J. Dissymmetric beauty: A novel design of heterogemini viscoelastic surfactant for the clean fracturing fluid. J. Ind. Eng. Chem. 2018, 60, 133–142. [Google Scholar] [CrossRef]
- Tian, J.; Mao, J.; Zhang, W.; Yang, X.; Lin, C.; Cun, M. Salinity- and Heat-Tolerant VES (Viscoelastic Surfactant) Clean Fracturing Fluids Strengthened by a Hydrophobic Copolymer with Extremely Low Damage. ChemistrySelect 2021, 6, 2126–2143. [Google Scholar] [CrossRef]
- Zhang, W.; Mao, J.; Yang, X.; Zhang, Y.; Zhang, H.; Tian, J.; Lin, C.; Mao, J.; Zhao, J. Effect of propylene glycol substituted group on salt tolerance of a cationic viscoelastic surfactant and its application for brine-based clean fracturing fluid. Colloids Surf. Physicochem. Eng. Asp. 2020, 584, 124043. [Google Scholar] [CrossRef]
- Wang, C.; Qiu, G.; Long, X.; Wang, T.; Zhang, X.; Liang, L.; Bai, J.; Li, Z.; Qiu, L.; Yang, X.; et al. Hooked gemini viscoelastic surfactant based on linolenic oil for oil recovery and its various gel-breaking mechanisms. J. Pet. Sci. Eng. 2021, 204, 108717. [Google Scholar] [CrossRef]
- McCoy, T.M.; King, J.P.; Moore, J.E.; Kelleppan, V.T.; Sokolova, A.V.; de Campo, L.; Manohar, M.; Darwish, T.A.; Tabor, R.F. The effects of small molecule organic additives on the self-assembly and rheology of betaine wormlike micellar fluids. J. Colloid Interface Sci. 2019, 534, 518–532. [Google Scholar] [CrossRef]
- Zhao, J.; Fan, J.; Mao, J.; Yang, X.; Zhang, H.; Zhang, W. High performance clean fracturing fluid using a new tri-cationic surfactant. Polymers 2018, 10, 535. [Google Scholar] [CrossRef]
- Philippova, O.E.; Mityuk, D.Y.; Shibaev, A.V.; Muravlev, D.A. Properties of fracking fluid based on viscoelastic surfactant and polysaccharide. Equip. Technol. Oil Gas Complex 2018, 6, 73–79. [Google Scholar]
- Hegazy, M.A.; Abdallah, M.; Ahmed, H. Novel cationic gemini surfactants as corrosion inhibitors for carbon steel pipelines. Corros. Sci. 2010, 52, 2897–2904. [Google Scholar] [CrossRef]
- Zhang, W.; Mao, J.; Yang, X.; Zhang, H.; Yang, B.; Zhang, Z.; Zhang, Y.; Zhao, J. Development of a Stimuli-Responsive Gemini Zwitterionic Viscoelastic Surfactant for Self-Diverting Acid. J. Surfactants Deterg. 2019, 22, 535–547. [Google Scholar] [CrossRef]
- Wattebled, L.; Laschewsky, A. Effects of organic salt additives on the behavior of dimeric (“gemini”) surfactants in aqueous solution. Langmuir 2007, 23, 10044–10052. [Google Scholar] [CrossRef] [PubMed]
- Qiao, Y.; Lin, Y.; Wang, Y.; Li, Z.; Huang, J. Metal-driven viscoelastic wormlike micelle in anionic/zwitterionic surfactant systems and template-directed synthesis of dendritic silver nanostructures. Langmuir 2011, 27, 1718–1723. [Google Scholar] [CrossRef]
- Yang, J.; Lu, Y.; Zhou, C.; Cui, W.; Guan, B.; Qiu, X.; Liu, P.; Ming, H.; Qin, W.; Ji, S. Supramolecular Viscoelastic Surfactant Fluid for Hydraulic Fracturing. In Proceedings of the SPE North Africa Technical Conference and Exhibition, Cairo, Egypt, 14–16 September 2015; pp. 14–16. [Google Scholar]
- Hanafy, A.; Najem, F.; Nasr-El-Din, H.A. Effect of nanoparticle shape on viscoelastic surfactant performance at high temperatures. SPE J. 2021, 26, 1436–1454. [Google Scholar] [CrossRef]
- Huang, T.; Crews, J.B.; Hughes, B. Nanotechnology Applications in Viscoelastic Surfactant Stimulation Fluids. SPE Prod. Oper. 2008, 23, 512–517. [Google Scholar] [CrossRef]
- Seright, R.S. Improved Methods for Water Shut Off; Annual Technical Progress Report; New Mexico Inst. of Mining and Technology, New Mexico Petroleum Recovery Research Center: Socorro, NM, USA, 1997. [Google Scholar]
- Gumerova, G.R.; Yarkeeva, N.R. Technology of application of crosslinked polymeric compositions. Oil Gas Bus. 2017, 2, 63–79. [Google Scholar] [CrossRef][Green Version]
- Khasanov, M.M.; Ismagilov, T.A.; Mangazeev, V.P.; Rastrogin, A.E.; Kolchugin, I.S.; Tyan, N.S. Application of cross-linked polymer-gel compositions for enhanced oil recovery. Oil Ind. 2002, 7, 110–112. [Google Scholar]
- Prada, A.; Civan, F.; Dalrymple, E.D. Evaluation of gelation systems for conformance control. In Proceedings of the SPE/DOE Improved Oil Recovery Symposium, Tulsa, OK, USA, 3–5 April 2000. [Google Scholar]
- Chen, Z. Polyacrylamide and Its Derivatives for Oil Recovery. Doctoral Dissertation, Missouri University of Science and Technology, Rolla, MO, USA, 2016. Available online: https://scholarsmine.mst.edu/doctoral_dissertations/2532 (accessed on 24 May 2023).
- Chen, L.; Zhang, G.; Ge, J.; Jiang, P.; Zhu, X.; Ran, Y.; Han, S. Ultrastable Hydrogel for Enhanced Oil Recovery Based on Double-Groups Cross-Linking. Energy Fuels 2015, 29, 7196–7203. [Google Scholar] [CrossRef]
- Zhu, D.; Bai, B.; Hou, J. Polymer Gel Systems for Water Management in High-Temperature Petroleum Reservoirs: A Chemical Review. Energy Fuels 2017, 31, 13063–13087. [Google Scholar] [CrossRef]
- Akhmetshin, I.D.; Popov, V.I.; Osenov, N.L.; Kolchugin, I.S.; Koscheev, I.G.; Revyakin, V.A.; Telin, A.G. Property of Deep Formation Treatment with Viscoelastic Composition. Russia Patent RU2125155C1, 20 January 1999. [Google Scholar]
- Mikhailov, A.V.; Rizvanov, R.Z.; Ganeeva, Z.M.; Abrosimova, N.N.; Elizarova, T.Y. Technology of increase of formation recovery at the late stage of oil field development with application of cross-linked cellulose ethers (DKM technology). Interval 2006, 12, 48–49. [Google Scholar]
- Ganiev, I.M.; Yakovlev, K.V.; Belykh, A.M.; Ismagilov, T.A. On specifics of using flow redirection technologies at late stages of fractured carbonate reservoirs development. Pet. Eng. 2020, 18, 51–60. [Google Scholar] [CrossRef]
- Kurochkin, B.M.; Khisamov, R.S. Technology of carrying out insulating works with use of water-swelling polymer. Oil Ind. 2003, 1, 48–53. [Google Scholar]
- Kaushansky, D.A. Improvement of oil field development indicators by using polymer-gel systems “Temposcreen”. Geol. Geophys. Dev. Oil Gas Fields 2008, 7, 36–46. [Google Scholar]
- Kaushansky, D.A.; Demjanovsky, V.B.; Batyrbaev, M.D. Creation and industrial introduction of the technology of physical and chemical influence on productive formations of oil fields by the polymer-gel system “Temposcreen”—A technology of new generation. Oilfield Eng. 2006, 8, 28–37. [Google Scholar]
- Ismagilov, T.A.; Igdavletova, M.Z. Results of complex application of geological-technical actions and methods of oil recovery increase on BC10 horizon of Ust’-Balykskoye deposit. Oil Ind. 2005, 8, 72–75. [Google Scholar]
- Platov, A.I. Radiochemical technology for the oil industry. Oil Ind. 2007, 2, 70–71. [Google Scholar]
- Telin, A.G.; Svirsky, D.S.; Khalilov, L.M.; Remnev, G.E. Structural features of radiation crosslinking of sodium acrylamide-acrylate copolymer. Bashkir Chem. J. 2001, 3, 63–67. [Google Scholar]
- Telin, A.; Khlebnikova, M.; Singizova, V.; Kalimullina, G.; Khakimov, A.; Kolchugin, I.; Ismagilov, T. Regulation of rheological and filtration properties of cross-linked polymer systems in order to improve the efficiency of the impact on the reservoir. Bull. Yukos Eng. Cent. 2002, 4, 41–45. [Google Scholar]
- Telin, A.G.; Zaynetdinov, T.I.; Khlebnikova, M.E. Study of rheological properties of water swelling polyacrylamide of mark FS 305 for the development of technologies of water shut-off works in oil wells. Proc. Inst. Mech. UNTs RAS 2007, 4, 207–223. [Google Scholar]
- Ganiev, I.M.; Kalimullina, G.Z.; Mingalishev, F.K.; Valeev, R.F.; Belykh, A.M. Experience in using pre-crosslinked polymer systems for enhanced oil recovery in carbonate reservoirs. Pet. Eng. 2023, 21, 105–113. [Google Scholar] [CrossRef]
- Pritchett, J.; Frampton, H.; Brinkman, J.; Cheung, S.; Morgan, J.; Chang, K.T.; Williams, D.; Goodgame, J. Field Application of a New In-Depth Waterflood Conformance Improvement Tool. In Proceedings of the SPE International Improved Oil Recovery Conference in Asia Pacific, Kuala Lumpur, Malaysia, 20–21 October 2003; p. SPE-84897-MS. [Google Scholar]
- Frampton, H.; Morgan, J.C.; Cheung, S.K.; Munson, L.; Chang, K.T.; Williams, D. Development of a novel waterflood conformance control system. In Proceedings of the SPE/DOE Symposium on Improved Oil Recovery, Tulsa, OK, USA, 17–21 April 2004; p. SPE-89391-MS. [Google Scholar]
- Matveev, S.; Gazizov, A.; Gazizov, A. Polymer Dispersed Systems for Conformance Improvement in Fractured Carbonate Reservoirs. In Proceedings of the Abu Dhabi International Petroleum Exhibition & Conference; Abu Dhabi, United Arab Emirates, 9–12 November 2020. [Google Scholar]
- Zemtsov, Y.V.; Mazaev, V.V. The current state of physico-chemical methods of production enhancement. In Literary-Patent Review; Publisher Solutions: Ekaterinburg, Russia, 2021. [Google Scholar]
- Safarov, F.E.; Karazeev, D.V.; Vezhnin, S.A.; Ratner, A.A.; Koptyaeva, E.I.; Khasanova, G.I.; Telin, A.G. Development of compositions for leveling the injectivity profile of injection wells in conditions of low-permeability high-temperature reservoirs with a complex structure of the pore space. Oil Gas Innov. 2017, 4, 40–45. [Google Scholar]
- Dai, C.; Chen, W.; You, Q.; Wang, H.; Yang, Z.; He, L.; Jiao, B.; Wu, Y. A novel strengthened dispersed particle gel for enhanced oil recovery application. J. Ind. Eng. Chem. 2016, 41, 175–182. [Google Scholar] [CrossRef]
- Ganeeva, Z.M.; Khisametdinov, N.A.; Khisametdinov, M.R.; Rizvanov, R.Z.; Musabirov, R. Kh Development of silica gel based EOR technologies in Tatneft OAO. Oil Ind. 2013, 8, 82–84. [Google Scholar]
- Ganeeva, Z.M.; Elizarova, T.Y.; Rizvanov, R.Z.; Mikhailov, A.V.; Khisametdinov, M.R. Application of sodium silicate-based dispersant systems to increase sweep efficiency. Oil Ind. 2011, 7, 33–36. [Google Scholar]
- Fahretdinov, R.N.; Enikeev, P.M.; Mukhametzyanova, R.S.; Rizvanova, Z.I. Prospects of application of gel-forming systems to enhance oil recovery at the late stage of field development. Oilfield Eng. 1994, 5, 12. [Google Scholar]
- Iler, R. The Chemistry of Silica; Mir: Moscow, Russia, 1982. [Google Scholar]
- Selimov, F.A.; Kononova, T.G.; Blinov, S.A. Gel compositions based on acidic aluminosilicate solutions. Interval 2003, 5, 8–40. [Google Scholar]
- Khlebnikov, V.N.; Lenchenkova, L.E. Kinetic regularity of gelation in hydrochloric acid aluminosilicate solutions. Bashkir Chem. J. 1998, 5, 18–21. [Google Scholar]
- Yakimenko, G.K.; Alvard, A.L.; Yagafarov, Y.N.; Stenichkin, Y.N. Application of gel-forming technology based on acidic aluminosilicate solutions. Oil Ind. 2005, 1, 64–66. [Google Scholar]
- Strizhnev, V.A.; Presnyakov, A.Y.; Nigmatullin, T.E.; Emaletdinova, L.D.; Elesin, V.A.; Urusov, S.A.; Zhumagaziev, E.T. Gel Composition. Russian Patent RU2472836C1, 20 January 2013. [Google Scholar]
- Akchurin, H.I.; Nasryev, A.M.; Lenchenkov, N.S.; Lenchenkova, L.E. Experemental tests blocking out technology in highly watered layers by using gelforming composition “CAS”. Oil Gas Bus. 2014, 5, 71–90. [Google Scholar] [CrossRef]
- Rogachev, M.K.; Lenchenkov, N.S.; Lenchenkova, L.E. Laboratory investigation of gelling composition physico-chemical properties on aluminum silicate bas for oil recovery technology. Pet. Eng. 2009, 7, 168–171. [Google Scholar]
- Badalyants, G.A.; Buchenkov, L.N.; Rogova, T.S.; Starkovsky, A.V. Study of the possibility and efficiency of using silicate-polymer gels for formation isolation. Proc. VNIIneft 1993, 116, 49–58. [Google Scholar]
- Sermyagin, K.V.; Khlebnikova, M.E.; Singizova, V.H.; Telin, A.G. Mineral and mineral-polymer water-insulating compositions. Interval 2001, 3, 5–10. [Google Scholar]
- Altunina, L.K.; Kuvshinov, V.A.; Stas’eva, L.A. Enhancement of coverage of high-viscosity oil reservoirs by means of gels. Interval 2001, 1, 18–20. [Google Scholar]
- Altunina, L.K.; Kuvshinov, V.A.; Selimov, F.A. Gel-technologies for increasing the coverage of high-viscosity oil reservoirs. Interval 2001, 1, 9–11. [Google Scholar]
- Kuvshinov, V.A.; Altunina, L.K.; Shevlyuk, V.V. Application of the gel-forming composition “Label” for elimination of behind-the-casing water overflow in the gas production well of the Myldzhinskoye gas condensate field. Interval 2003, 2, 72–73. [Google Scholar]
- Kuvshinov, I.V.; Altunina, L.K. Thermotropic gel-forming compositions for elimination of steam breakthroughs in horizontal steam injection wells. Oil Gas Innov. 2023, 1, 62–66. [Google Scholar]
- Zemtsov, Y.V. Development and Improvement of Repair and Insulation Works in the Fields of Western Siberia; Nedra: Saint Petersburg, Russia, 2014. [Google Scholar]
- Kadyrov, R.R. Remont and Insulation Works in the Wells with the Use of Polymer Materials; Fen: Kazan, Russia, 2007. [Google Scholar]
- Kulikov, A.N.; Nikishov, V.I. Study of peculiarities of water encroachment of oil reservoirs of different types during well interventions with the purpose of planning water production limitation measures. Interval 2007, 8, 27–31. [Google Scholar]
- Seright, R. Gel Placement Concepts Reservoir Sweep Improvement [Electronic Resource] 1996. Available online: http://www.prrc.nmt.edu/groups/res-sweep/gel-placement-concepts/ (accessed on 24 May 2023).
- Safarov, F.E.; Gusarova, E.I.; Karazeev, D.V.; Arslanov, I.R.; Telin, A.G.; Dokichev, V.A. Synthesis of Polyacrylamide Gels for Restricting the Water Inflow in Development of Oil Fields. Russ. J. Appl. Chem. 2018, 91, 872–876. [Google Scholar] [CrossRef]
- Telin, A.G.; Arslanov, I.R.; Koptyaeva, E.I.; Karaseev, D.V. Development of Gel-Forming Polymer Composition for Performance of Water Shut-Off Works for Severe Geological Conditions and High Reservoir Temperatures. Oil Gas Innov. 2017, 8, 58–62. [Google Scholar]
- Strizhnev, V.A.; Arslanov, I.R.; Dmitriev, Y.I.; Ratner, A.A.; Sergeeva, N.A.; Lenchenkova, L.E.; Markin, N.I.; Telin, A.G. Justification of the Technology of Gas Isolation in Oil Wells Using Foam, Foam Polymer Systems and Organomineral Complex. Oil Gas Innov. 2021, 3, 21–25. [Google Scholar]
- Suleimanov, B.A.; Valiev, E.F.; Nagiev, N.F. Gel-Forming Composition for Water Shut-Off in the Well. Eurasian Patent Off. EA202000289, 30 November 2021. [Google Scholar]
- Aliev, A.A.; Aliev, A.A. polyvinylpyrrolidone-based gels for water shut-off in wells. Ashirov Read. 2020, 1, 5–11. [Google Scholar]
- Kadirov, R.R.; Latypov, R.R.; Nizayev, R.K.; Sakhapova, A.K.; Khasanova, D.K.; Zhirkeyev, A.S. Complex of water shut-off technologies in wells. Equip. Technol. Oil Gas Complex 2017, 1, 67–72. [Google Scholar]
- Osipov, P.V.; Krupin, S.V.; Gubaidullin, A.A. Analysis of the efficiency of gel-forming compositions based on high-modulus soluble glasses, used in JSC Tatneft. Oil Ind. 2007, 6, 66–69. [Google Scholar]
- Nikitin, M.N.; Petukhov, A.V. Gel-forming composition on sodium silicate base for water shutoff in complex structure fractured reservoir conditions. Oil Gas Bus. 2011, 5, 143–153. [Google Scholar]
- Duryagin, V.N.; Strizhnev, K.V. Development of sodium silicate-based inorganic water shut-off composition for low-permeability heterogeneous reservoirs. Oil Gas Bus. 2014, 1, 14–29. [Google Scholar] [CrossRef][Green Version]
- Fahretdinov, R.N.; Yakimenko, G.H.; Pavlishin, R.L.; Selimov, D.F.; Fatkullin, A.A.; Tastemirov, S.A.; Pasanaev, E.A. Multidimensional Industrial Replication of the Selective WSO Method is a Determining Factor in Increasing the Profitability of Produced Oil. Oil Gas Innov. 2020, 7, 50–54. [Google Scholar]
- Fakhretdinov, R.N.; Fatkullin, A.A.; Khavkin, A.Y. Intensification of oil production with a decrease in the volume of the liquid being lifted. Oil Ind. 2021, 12, 107–109. [Google Scholar] [CrossRef]
- Vakhitov, T.M.; Kamaletdinova, R.M.; Emaletdinova, L.D.; Sudakov, A.S.; Kargapoltseva, T.A.; Shuvalov, A.V. Development and introduction of new backfill compounds and repair technologies in the fields of Bashneft. Oil Ind. 2008, 4, 61–63. [Google Scholar]
- Mukhametshin, M.M.; Khasanov, F.F.; Shuvalov, A.V.; Emaletdinova, L.D.; Kamaletdinova, R.M.; Yagafarov, Y.N.; Zhadaev, Y.V.; Galliamov, I.I.; Khalikov, I.S. Gel-Forming Composition for Regulation of Formation Permeability. Russian Patent RU2291890, 20 January 2007. [Google Scholar]
- Akhmetov, A.T.; Ilash, D.A.; Arslanov, I.R.; Gusarova, E.I.; Valiev, A.A.; Lenchenkova, L.E.; Telin, A.G. Development of water-insulating hybrid hydrogels based on partially hydrolyzed polyacrylamide and sodium silicate crosslinked with chromium acetate. Oil Gas Innov. 2019, 226, 64–75. [Google Scholar]
- Meshalkin, V.; Akhmetov, A.; Lenchenkova, L.; Nzioka, A.; Politov, A.; Strizhnev, V.; Telin, A.; Fakhreeva, A. Application of Renewable Natural Materials for Gas and Water Shutoff Processes in Oil Wells. Energies 2022, 15, 9216. [Google Scholar] [CrossRef]
- Lyakhov, N.Z.; Tolochko, B.P.; Poluboyarov, V.A.; Politov, A.A.; Telin, A.G. Development of functional materials by methods of solid state chemistry for the oil and gas complex. Drill. Oil 2008, 1, 20–22. [Google Scholar]
- Politov, A.A.; Lomovsky, A.A.; Telin, A.G.; Kornilov, A.A. The use of nanomaterials in the creation of plugging systems with new rheological properties. Qual. Manag. Oil Gas Complex 2008, 4, 13–14. [Google Scholar]
- Telin, A.G.; Strizhnev, V.A.; Fakhreeva, A.V.; Asadullin, R.R.; Lenchenkova, L.E.; Ratner, A.A.; Chepenko, V.S. Polyacrylamide hydrogels with dispersed filler: Peculiarities of rheology and filtration in fractures. J. Eng. Phys. Thermophys. 2023, 96, 515–519. [Google Scholar] [CrossRef]
- Meshalkin, V.P.; Lenchenkova, L.E.; Dolomatov, M.Y.; Fakhreeva, A.V.; Voloshin, A.I.; Telin, A.G. Conformational Analysis of the Multicomponent Media Used in Oil and Gas Production Technologies for Water Shutoff. Russ. J. Gen. Chem. 2023, 93, 694–705. [Google Scholar] [CrossRef]
- Akhmetov, A.T.; Valiev, A.A.; Rakhimov, A.A.; Fakhreeva, A.V.; Lenchenkova, L.E.; Yakubov, R.N. Features of rheological characteristics of water insulation materials based on polymer-dispersed organomineral reagents. Pet. Eng. 2023, 21, 15–26. [Google Scholar] [CrossRef]
- Kozlov, V.V.; Altunina, L.K.; Stasieva, L.A.; Kuvshinov, V.A. New thermothropic MEGA compositions with two gel-forming components for limiting the water inflow and the increase of the oil recovery. Chem. Sustain. Dev. 2019, 27, 19–23. [Google Scholar] [CrossRef]
- Altunina, L.K.; Kuvshinov, V.A. Improved Oil Recovery of High-Viscosity Oil Pools with Physicochemical Methods and Thermal-Steam Treatments. Oil Gas Sci. Technol.-Rev. D’IFP Energies Nouv. 2008, 63, 37–48. [Google Scholar] [CrossRef]
- Strizhnev, V.A.; Akhmetov, A.T.; Valiev, A.A.; Arslanov, I.R.; Sergeeva, N.A.; Lenchenkova, L.E.; Markin, N.I.; Fakhreeva, A.V.; Ratner, A.A.; Telin, A.G. Self-generating foam polymer compositions for water and gas insulation works. Oilfield Eng. 2022, 644, 35–45. [Google Scholar] [CrossRef]
- Shaidullin, V.A.; Nigmatullin, T.E.; Magzumov, N.R.; Abrashov, V.N.; Skorobogach, M.A.; Bondarev, S.V.; Mantorov, A.N. Analysis of advanced waterproofing technologies in gas wells. Pet. Eng. 2021, 19, 51–60. [Google Scholar] [CrossRef]
- Obino, V.; Yadav, U. Application of Polymer Based Nanocomposites for Water Shutoff—A Review. Fuels 2021, 2, 304–322. [Google Scholar] [CrossRef]
- Lu, S.; Bo, Q.; Zhao, G.; Shaikh, A.; Dai, C. Recent advances in enhanced polymer gels for profile control and water shutoff: A review. Front. Chem. 2023, 11, 1067094. [Google Scholar] [CrossRef] [PubMed]
- Zareie, C.; Bahramian, A.R.; Sefti, M.V.; Salehi, M.B. Network-gel strength relationship and performance improvement of polyacrylamide hydrogel using nano-silica; with regards to application in oil wells conditions. J. Mol. Liq. 2019, 278, 512–520. [Google Scholar] [CrossRef]
- Cassagnau, P. Linear viscoelasticity and dynamics of suspensions and molten polymers filled with nanoparticles of different aspect ratios. Polymer 2013, 54, 4762–4775. [Google Scholar] [CrossRef]
- Fadil, N.A.; Irawan, S.; Mohd Isa, N.A.; Shafian, S.R. Gelation Behavior of Polyacrylamide Reinforced with Nano-Silica for Water Shutoff Treatment in Oil Field. Solid State Phenom. 2020, 307, 252–257. [Google Scholar] [CrossRef]
- Huang, J.; Al-Mohsin, A.; Bataweel, M.; Karadkar, P.; Li, W.; Shaikh, A. Systematic Approach to Develop a Colloidal Silica Based Gel System for Water Shut-Off. In Proceedings of the SPE Middle East Oil & Gas Show and Conference, Manama, Kingdom of Bahrain, 6–9 March 2017; p. D031S025R003. [Google Scholar]
- Moradi-Araghi, A. A review of thermally stable gels for fluid diversion in petroleum production. J. Pet. Sci. Eng. 2000, 26, 1–10. [Google Scholar] [CrossRef]
- Liu, Y.; Dai, C.; Wang, K.; Zou, C.; Gao, M.; Fang, Y.; Zhao, M.; Wu, Y.; You, Q. Study on a Novel Cross-Linked Polymer Gel Strengthened with Silica Nanoparticles. Energy Fuels 2017, 31, 9152–9161. [Google Scholar] [CrossRef]
- Suleymanov, A.B.; Shovgenov, A.D. Nano Composite Polymer Composition for Water Shutoff Treatment at High Formation Temperature. In Proceedings of the SPE Annual Caspian Technical Conference, Virtual, 5–7 October 2021; p. D031S011R002. [Google Scholar]
- Chang, C.; Duan, B.; Cai, J.; Zhang, L. Superabsorbent hydrogels based on cellulose for smart swelling and controllable delivery. Eur. Polym. J. 2010, 46, 92–100. [Google Scholar] [CrossRef]
- Kabir, S.M.F.; Sikdar, P.P.; Haque, B.; Bhuiyan, M.A.R.; Ali, A.; Islam, M.N. Cellulose-based hydrogel materials: Chemistry, properties and their prospective applications. Prog. Biomater. 2018, 7, 153–174. [Google Scholar] [CrossRef]
- Shen, X.; Shamshina, J.L.; Berton, P.; Gurau, G.; Rogers, R.D. Hydrogels based on cellulose and chitin: Fabrication, properties, and applications. Green Chem. 2016, 18, 53–75. [Google Scholar] [CrossRef]
- Dufresne, A. Nanocellulose: A new ageless bionanomaterial. Mater. Today 2013, 16, 220–227. [Google Scholar] [CrossRef]
- Phanthong, P.; Reubroycharoen, P.; Hao, X.; Xu, G.; Abudula, A.; Guan, G. Nanocellulose: Extraction and application. Carbon Resour. Convers. 2018, 1, 32–43. [Google Scholar] [CrossRef]
- Moon, R.J.; Martini, A.; Nairn, J.; Simonsen, J.; Youngblood, J. Cellulose nanomaterials review: Structure, properties and nanocomposites. Chem. Soc. Rev. 2011, 40, 3941. [Google Scholar] [CrossRef] [PubMed]
- Lavoine, N.; Desloges, I.; Dufresne, A.; Bras, J. Microfibrillated cellulose—Its barrier properties and applications in cellulosic materials: A review. Carbohydr. Polym. 2012, 90, 735–764. [Google Scholar] [CrossRef]
- Maiti, S.; Jayaramudu, J.; Das, K.; Reddy, S.M.; Sadiku, R.; Ray, S.S.; Liu, D. Preparation and characterization of nano-cellulose with new shape from different precursor. Carbohydr. Polym. 2013, 98, 562–567. [Google Scholar] [CrossRef] [PubMed]
- Huang, F.; Lv, J.; Li, H.; Xu, S. Regulation rule of cellulose nanocrystals on thixotropy of hydrogel for water shutoff in horizontal wells. Colloids Surf. Physicochem. Eng. Asp. 2022, 643, 128735. [Google Scholar] [CrossRef]
- Yang, J.; Zhao, J.-J.; Xu, F.; Sun, R.-C. Revealing Strong Nanocomposite Hydrogels Reinforced by Cellulose Nanocrystals: Insight into Morphologies and Interactions. ACS Appl. Mater. Interfaces 2013, 5, 12960–12967. [Google Scholar] [CrossRef] [PubMed]
- Li, J.; Wei, P.; Xie, Y.; Liu, Z.; Chen, H.; He, L. Conjoined-network induced highly tough hydrogels by using copolymer and nano-cellulose for oilfield water plugging. J. Ind. Eng. Chem. 2022, 109, 161–172. [Google Scholar] [CrossRef]
- Liu, Z.; Wei, P.; Qi, Y.; Huang, X.; Xie, Y. High stretchable and self-healing nanocellulose-poly(acrylic acid) composite hydrogels for sustainable CO2 shutoff. Carbohydr. Polym. 2023, 311, 120759. [Google Scholar] [CrossRef] [PubMed]
- Mao, R.; Wei, B.; Tian, Q.; Wang, L.; Tang, J.; Lu, J.; Xu, X. Nanocellulose-regulated robust particle-gel for conformance improvement in fractured tight reservoirs: A mechanistic investigation of transport behavior and EOR performance in fracture models. Chem. Eng. Sci. 2022, 264, 118169. [Google Scholar] [CrossRef]
- Cong, H.-P.; Wang, P.; Yu, S.-H. Highly Elastic and Superstretchable Graphene Oxide/Polyacrylamide Hydrogels. Small 2014, 10, 448–453. [Google Scholar] [CrossRef]
- Cong, H.-P.; Wang, P.; Yu, S.-H. Stretchable and Self-Healing Graphene Oxide–Polymer Composite Hydrogels: A Dual-Network Design. Chem. Mater. 2013, 25, 3357–3362. [Google Scholar] [CrossRef]
- Michael, F.M.; Krishnan, M.R.; AlSoughayer, S.; Busaleh, A.; Almohsin, A.; Alsharaeh, E.H. Thermo-elastic and self-healing polyacrylamide -2D nanofiller composite hydrogels for water shutoff treatment. J. Pet. Sci. Eng. 2020, 193, 107391. [Google Scholar] [CrossRef]
- Wang, C.; Zhang, L.; Ju, G.; Sun, Q. Development and Performance Evaluation of a High-Temperature Profile Control System. ACS Omega 2020, 5, 17828–17838. [Google Scholar] [CrossRef] [PubMed]
- Almoshin, A.M.; Alsharaeh, E.; Fathima, A.; Bataweel, M. A Novel Polymer Nanocomposite Graphene Based Gel for High Temperature Water Shutoff Applications. In Proceedings of the SPE Kingdom of Saudi Arabia Annual Technical Symposium and Exhibition, Dammam, Saudi Arabia, 23–26 April 2018; p. SPE-192358-MS. [Google Scholar]
- Legkokonets, V.A.; Mardashov, D.V.; Morozov, A.V. Water shut-off treatment efficiency forecasting in the context of yamburgskoe oil-gas condensate field. PROneft Prof. Oil 2018, 3, 51–55. [Google Scholar] [CrossRef][Green Version]
- Poplygina, I.S. Express forecasting the efficiency of water-insulating works in carbonate collectors. Geol. Geophys. Dev. Oil Gas Fields 2019, 7, 86–89. [Google Scholar] [CrossRef]
- Seddiqi, K.N.; Hao, H.; Liu, H.; Hou, J. Decision-Making Techniques for Water Shutoff Using Random Forests and Its Application in High Water Cut Reservoirs. ACS Omega 2021, 6, 34327–34338. [Google Scholar] [CrossRef]
- Strizhnev, A.; Ilyasov, M.; Lomakina, Y.; Kornilov, V. The Integrated Approach to the Prediction of Water Shut-Off Jobs Effectiveness. In Proceedings of the SPE Russian Oil and Gas Conference and Exhibition, Moscow, Russia, 26–28 October 2010; OnePetro: Richardson, TX, USA, 2010. [Google Scholar]
- Suleimanov, B.A.; Feyzullayev, K.A. Numerical Simulation of Water Shut-Off for Heterogeneous Composite Oil Reservoirs. In Proceedings of the SPE Annual Caspian Technical Conference, Baku, Azerbaijan, 16–18 October 2019; OnePetro: Richardson, TX, USA, 2019. [Google Scholar]
- Lashari, Z.; Tunio, A.H.; Ansari, U.; Memon, H. Simulation study of water shut-off treatment by using polymer gel. Aust. J. Eng. Technol. Res. 2016, 1, 1–4. [Google Scholar]
- Quintero, A.; Delgado, E.; Orozco, A.; Lagos, M.; Lopez, J.; Centeno, J. Successful Control of High Water Production with Thixotropic Conformance Technology in a Horizontal Well: Diagnosing the Water Production Mechanism. In Proceedings of the SPE/ICoTA Well Intervention Conference and Exhibition, The Woodlands, TX, USA, 24–25 March 2020; Society of Petroleum Engineers: The Woodlands, TX, USA, 2020. [Google Scholar]
- Ghedan, S.G.; Boloushi, Y.A.; Khan, K.; Saleh, M.B.F. Development of Early Water Breakthrough and Effectiveness of Water Shut off Treatments in Layered and Heterogeneous Reservoirs; Society of Petroleum Engineers: The Woodlands, TX, USA, 2009. [Google Scholar]
- Sheshdeh, M.J.; Awemo, K.N.; Yadav, A. Simulation Case Study of Water Shut-off With RPM Gels in an Oil Field in Northern Germany. In Proceedings of the SPE Bergen One Day Seminar, Grieghallen, Bergen, Norway, 20 April 2016; SPE: Grieghallen, Bergen, Norway, 2016; p. D011S005R004. [Google Scholar]
- Sheshdeh, M.J.; Awemo, K.N.; Yadav, A. An Innovative Approach for RPM Gel Water Shut-Off Simulation. In Proceedings of the SPE Europec featured at 78th EAGE Conference and Exhibition, Vienna, Austria, 30 May 30–2 June 2016; Society of Petroleum Engineers: Vienna, Austria, 2016. [Google Scholar]
- Hawkins, M.F. A Note on the Skin Effect. J. Pet. Technol. 1956, 8, 65–66. [Google Scholar] [CrossRef]
- Neklesa, R.S.; Morozyuk, O.A. Digital simulation of flow diverting technologies: A review of analytical models for describing the physicochemical properties of cross-linked polymer gels. Perm J. Pet. Min. Eng. 2022, 22, 126–138. [Google Scholar]
- Alfarge, D.; MingzhenWei; Bai, B.; Almansour, A. Numerical simulation study to understand the performance of RPM gels in water-shutoff treatments. J. Pet. Sci. Eng. 2018, 171, 818–834. [Google Scholar] [CrossRef]
- Alfarge, D.K.; Wei, M.; Bai, B. Numerical simulation study of factors affecting relative permeability modification for water-shutoff treatments. Fuel 2017, 207, 226–239. [Google Scholar] [CrossRef]
- Yuan, S.; Han, D.; Wang, Q.; Yang, H. Numerical Simulation Study on Weak Gel Injection. In Proceedings of the SPE Asia Pacific Oil and Gas Conference and Exhibition, Brisbane, Australia, 16–18 October 2000; SPE: Brisbane, Australia, 2000; p. SPE-64291-MS. [Google Scholar]
- Liu, Y.; Bai, B.; Wang, Y. Applied Technologies and Prospects of Conformance Control Treatments in China. Oil Gas Sci. Technol.–Rev. D’IFP Energies Nouv. 2010, 65, 859–878. [Google Scholar] [CrossRef]
- Bai, B.; Leng, J.; Wei, M. A comprehensive review of in-situ polymer gel simulation for conformance control. Pet. Sci. 2022, 19, 189–202. [Google Scholar] [CrossRef]
- Meshalkin, V.P.; Yakubov, R.N.; Lenchenkova, L.E.; Chelnokov, V.V. Computer Modeling of the Integrated Chemical Engineering Process of Water Shutoff of High-Water-Cut Oil-Bearing Porous Rock Formations. Dokl. Chem. 2021, 501, 243–247. [Google Scholar] [CrossRef]
- Gumerova, A.S.; Yakubov, R.N.; Voloshin, A.I.; Lenchenkova, L.Y.; Akchurin, K.I.; Abyzbaev, N.I. Experience of organic-hybrid composition application in water shut-off technology. Probl. Gather. Treat. Transp. Oil Oil Prod. 2019, 2, 69–80. [Google Scholar] [CrossRef]
- Aziz, K.; Settari, A. Petroleum Reservoir Simulation; Applied Science Publishers: London, UK, 1979; ISBN 978-0-85334-787-3. [Google Scholar]
- Kanevskaya, R.D. Mathematical Modeling of Hydrodynamic Processes of Hydrocarbon Deposits Development; Institute for Computer Research: Izhevsk, Russia, 2002. [Google Scholar]
- Seright, R.S.; Wang, D. Polymer flooding: Current status and future directions. Pet. Sci. 2023, 20, 910–921. [Google Scholar] [CrossRef]
- Shvetsov, I.A.; Manyrin, V.N. Physico-Chemical Methods of Increasing Oil Recovery during Flooding; Samar. House of Printing: Samara, Russia, 2002. [Google Scholar]
- Lobanova, S.Y.; Yelubaev, B.U.; Talamanov, N.E.; Sun, Z.; Wang, C.; Zhao, B.; Ismagilov, T.A.; Telin, A.G. Cyclical Gel-Polymer Flooding Technology is an Effective Method of Enhanced Oil Recovery in High-Viscosity Oil Fields. In Proceedings of the SPE Russian Petroleum Technology Conference, Virtual, 26–29 October 2020; SPE: Moscow, Russia, 2020; p. D033S014R002. [Google Scholar]
- Safarov, F.E.; Lobanova, S.Y.; Yelubaev, S.Y.; Talamanov, N.E.; Sun, Z.; Ismagilov, T.A.; Telin, A.G. Effective EOR methods in high-viscosity oil fields: Cyclical gel-polymer flooding and ASP flooding. Bull. Oil Gas Ind. Kazakhstan 2021, 8, 61–74. [Google Scholar] [CrossRef]
- Sayenko, A.Y. Methods of oil recovery from the gas field productive reservoir at the various development stages. Territ. Neft. 2015, 11, 118–124. [Google Scholar]
- Chang, H.L.; Sui, X.; Xiao, L.; Liu, H.; Guo, Z.; Yao, Y.; Xiao, Y.; Chen, G.; Song, K.; Mack, J.C. Successful Field Pilot of In-Depth Colloidal Dispersion Gel (CDG) Technology in Daqing Oil Field. SPE Res. Eval. Eng. 2006, 9, 664–673. [Google Scholar] [CrossRef]
- Al-Assi, A.A.; Willhite, G.P.; Green, D.W.; McCool, C.S. Formation and Propagation of Gel Aggregates Using Partially Hydrolyzed Polyacrylamide and Aluminum Citrate. In Proceedings of the SPE/DOE Symposium on Improved Oil Recovery, Tulsa, OK, USA, 22–26 April 2006; p. SPE-100049-MS. [Google Scholar]
- Gutorov, A. Yu Application of various kinds of hydrochloric acid treatment for oil producing well efficiency increase in Tatarstan oil fields. Pet. Eng. 2012, 10, 54–58. [Google Scholar]
- Al-Shargabi, M.; Davoodi, S.; Wood, D.A.; Ali, M.; Rukavishnikov, V.S.; Minaev, K.M. A critical review of self-diverting acid treatments applied to carbonate oil and gas reservoirs. Pet. Sci. 2023, 20, 922–950. [Google Scholar] [CrossRef]
- Kelland, M.A. Acid Stimulation. In Production Chemicals for the Oil and Gas Industry; CRC Press: Boca Raton, FL, USA, 2016; pp. 167–202. ISBN 978-0-429-19592-1. [Google Scholar]
- Pestrikov, A.V.; Politov, M.E. A viscoelastic surfactant based in-situ self-diverting acid systems: Experiment and model. Oil Gas Bus. 2013, 4, 529–562. [Google Scholar]
- Shipilov, A.I.; Krutihin, E.V.; Kudrevatih, N.V.; Mikov, A.I. New acid compositions for selective treatment of carbonate reservoir. Oil Ind. 2012, 2, 80–83. [Google Scholar]
- Yakimova, T.S. Self-Diverting Acids as a Method for Intensification of Oil Production in Carbonate Reservoirs. Perm J. Pet. Min. Eng. 2021, 21, 171–175. [Google Scholar]
- Kuryashov, D.A.; Bashkirtseva, N.Y.; Diyarov, I.N. Structural and viscoelastic properties of mixed micellar solutions of oleylamidopropylbetaine and anionic surfactant. Bull. Kazan Technol. Univ. 2009, 6, 385–390. [Google Scholar]
- Diyarov, I.N.; Bashkirtseva, N.Y.; Kuryashov, D.A. Review of the gel-forming materials used for the directed acid treatment of the bottomhole formation zone. Geol. Geophys. Dev. Oil Gas Fields 2005, 11, 50–51. [Google Scholar]
- Ivanova, E.M.; Borhovich, S.Y. Application of self-diverting chemical compositions to improve the efficiency of acid treatments of fractured porous carbonate reservoirs. Manag. Technosphere 2022, 5, 243–261. [Google Scholar] [CrossRef]
- Leusheva, E.; Morenov, V. Effect of Temperature Conditions in Arctic Offshore Oil Fields on the Rheological Properties of Various Based Drilling Muds. Energies 2022, 15, 5750. [Google Scholar] [CrossRef]
- Yang, J.; Sun, J.; Bai, Y.; Lv, K.; Zhang, G.; Li, Y. Status and Prospect of Drilling Fluid Loss and Lost Circulation Control Technology in Fractured Formation. Gels 2022, 8, 260. [Google Scholar] [CrossRef] [PubMed]
- Tang, Z.; Qiu, Z.; Zhong, H.; Mao, H.; Shan, K.; Kang, Y. Novel Acrylamide/2-Acrylamide-2-3 Methylpropanesulfonic Acid/Styrene/Maleic Anhydride Polymer-Based CaCO3 Nanoparticles to Improve the Filtration of Water-Based Drilling Fluids at High Temperature. Gels 2022, 8, 322. [Google Scholar] [CrossRef] [PubMed]
- Yang, J.; Bai, Y.; Sun, J.; Lv, K.; Han, J.; Dai, L. Experimental Study on Physicochemical Properties of a Shear Thixotropic Polymer Gel for Lost Circulation Control. Gels 2022, 8, 229. [Google Scholar] [CrossRef]
- Elkatatny, S.; Gamal, H.; Ahmed, A.; Sarmah, P.; Sangaru, S.; Alohaly, M. A Novel Solution for Severe Loss Prevention While Drilling Deep Wells. Sustainability 2020, 12, 1339. [Google Scholar] [CrossRef]
- Dvoynikov, M.; Sidorov, D.; Kambulov, E.; Rose, F.; Ahiyarov, R. Salt Deposits and Brine Blowout: Development of a Cross-Linking Composition for Blocking Formations and Methodology for Its Testing. Energies 2022, 15, 7415. [Google Scholar] [CrossRef]
- Leusheva, E.; Alikhanov, N.; Morenov, V. Barite-Free Muds for Drilling-in the Formations with Abnormally High Pressure. Fluids 2022, 7, 268. [Google Scholar] [CrossRef]
- Leusheva, E.; Morenov, V.; Liu, T. Dependence of the Equivalent Circulation Density of Formate Drilling Fluids on the Molecular Mass of the Polymer Reagent. Energies 2021, 14, 7639. [Google Scholar] [CrossRef]
- Kong, X.; Chen, M.; Zhang, C.; Liu, Z.; Jin, Y.; Wang, X.; Liu, M.; Li, S. Optimization of High Temperature-Resistant Modified Starch Polyamine Anti-Collapse Water-Based Drilling Fluid System for Deep Shale Reservoir. Molecules 2022, 27, 8936. [Google Scholar] [CrossRef] [PubMed]
- Qiu, Z.; Xu, J.; Yang, P.; Zhao, X.; Mou, T.; Zhong, H.; Huang, W. Effect of Amphiphilic Polymer/Nano-Silica Composite on Shale Stability for Water-Based Muds. Appl. Sci. 2018, 8, 1839. [Google Scholar] [CrossRef]
- Gryaznov, I.V.; Konovalov, E.A.; Iziumsky, V.P.; Ivanov, Y.A. Application of Gel-Technology for Drilling Fluids. Gas Ind. J. 2009, 11, 58–61. [Google Scholar]
- Han, J.; Sun, J.; Lv, K.; Yang, J.; Li, Y. Polymer Gels Used in Oil–Gas Drilling and Production Engineering. Gels 2022, 8, 637. [Google Scholar] [CrossRef]
- Gryaznov, I.V. Gel-Technology in Well Construction and Workover Processes; Ol B Print: Moscow, Russia, 2011. [Google Scholar]
- Magzoub, M.I.; Salehi, S.; Hussein, I.A.; Nasser, M.S. Loss circulation in drilling and well construction: The significance of applications of crosslinked polymers in wellbore strengthening: A review. J. Pet. Sci. Eng. 2020, 185, 106653. [Google Scholar] [CrossRef]
- Bai, Y.; Zhu, Y.; Sun, J.; Shang, X.; Wang, J. High stability polymer gel for lost circulation control when drilling in fractured oil and gas formations. Geoenergy Sci. Eng. 2023, 225, 211722. [Google Scholar] [CrossRef]
- Magzoub, M.I.; Shamlooh, M.; Salehi, S.; Hussein, I.; Nasser, M.S. Gelation kinetics of PAM/PEI based drilling mud for lost circulation applications. J. Pet. Sci. Eng. 2021, 200, 108383. [Google Scholar] [CrossRef]
- Lv, K.; Du, H.; Sun, J.; Huang, X.; Shen, H. A Thermal-Responsive Zwitterionic Polymer Gel as a Filtrate Reducer for Water-Based Drilling Fluids. Gels 2022, 8, 832. [Google Scholar] [CrossRef] [PubMed]
- Zhang, S.; Wei, F.; Liu, P.; Cai, C.; Zeng, Z.; Yu, Z.; Wang, Z.; Bai, Y. Synthesis and Characterization of an Novel Intercalated Polyacrylamide/Clay Nanocomposite. Gels 2023, 9, 104. [Google Scholar] [CrossRef]
- Hamza, A.; Shamlooh, M.; Hussein, I.; Nasser, M.; Magzoub, M.; Salehi, S. Polymer Gel Systems for Wellbore Strengthening of Oil and Gas Wells. In Proceedings of the Fourth EAGE WIPIC Workshop, Online, 21–23 March 2022; European Association of Geoscientists & Engineers: Bunnik, Utrecht, The Netherlands, 2022; pp. 1–3. [Google Scholar]
- Li, H.; Lv, K.; Huang, X.; Lu, Z.; Dong, X. The Synthesis of Polymeric Nanospheres and the Application as High-Temperature Nano-Plugging Agent in Water Based Drilling Fluid. Front. Chem. 2020, 8, 247. [Google Scholar] [CrossRef]
- Jinyang, L. Experimental study and application prospect on alkali metal silicate in the process of drilling. Oil Gas Bus. 2012, 3, 81–91. [Google Scholar]
- Nechaeva, O.A.; Zhivaeva, V.V. The study of the gel-solution for drilling the saliferous and instable rock. Drill. Oil 2009, 10, 33–35. [Google Scholar]
- Kiseleva, S.A.; Poroshin, V.V.; Yashkov, V.A. The Use of Hydrogel Solutions for Drilling Directional and Horizontal Sidetracks. Sci. Tech. Bull. JSC NK Rosneft 2016, 1, 16–19. [Google Scholar]
- Kolodkin, V.A.; Fathutdinov, L.R.; Lozhkin, S.S.; Garayaev, A.V.; Petrov, D.V.; Mamaeva, O.G.; Khristenko, A.V. HYDROGEL-drilling fluid for drilling horizons without xanthan gum. Drill. Oil 2022, 9, 22–24. [Google Scholar]
- Yangirov, F.N.; Sultanov, D.R.; Chudnovskaya, A.V.; Dikhtyar, T.D. Inhibited solution recipe for active clays drilling. Probl. Gather. Treat. Transp. Oil Oil Prod. 2019, 117, 29–36. [Google Scholar] [CrossRef]
- Blinov, P.A.; Nikishin, V.V.; Sokolova, M.M. Development of Compositions and Control of Properties of Weighted Drilling Mud Based On Cambrian Clay. Drill. Oil 2023, 1, 28–33. [Google Scholar]
- Strizhnev, V.A.; Arslanov, I.R.; Gorbunova, A.A.; Gabdrafikov, R.V.; Telin, A.G. Pilot Industrial Works on Elimination of Absorption Using NGT-Chem-3 Reagent. Oil Gas Innov. 2021, 11, 16–20. [Google Scholar]
- Silin, M.A.; Magadova, L.A.; Ponomareva, V.V.; Maksimov, I.S.; Glichev, V.A. Development of Unfiltered Polysaccharide Silencing Liquid with High Density On A Water Basis. Territ. Neft. 2010, 8, 56–61. [Google Scholar]
- Kozlov, E.N. Study of compositions for killing of oil wells havinga high gas-oil ratio. Oil Gas Stud. 2016, 2, 57–61. [Google Scholar] [CrossRef]
- Pan, L.; Liu, H.; Long, W.; Li, J.; Li, J.; Liu, Q. A Novel Foamy Well Killing Fluid for Low-Pressure Gas Reservoirs in Tarim Basin, China. In Proceedings of the International Petroleum Technology Conference, Virtual, 23 March 23–1 April 2021. [Google Scholar] [CrossRef]
- Ying, X.; Yuan, X.; Yadong, Z.; Ziyi, F. Study of Gel Plug for Temporary Blocking and Well-Killing Technology in Low-Pressure, Leakage-Prone Gas Well. SPE Prod. Oper. 2021, 36, 234–244. [Google Scholar] [CrossRef]
- Martyushev, D.A.; Govindarajan, S.K. Development and Study of a Visco-Elastic Gel with Controlled Destruction Times for Killing Oil Wells. J. King Saud Univ.-Eng. Sci. 2022, 34, 408–415. [Google Scholar] [CrossRef]
- Mardashov, D.V.; Duryagin, V.N.; Limanov, M.N.; Onegov, N.A. Process Fluids for Silencing Production Wells Complicated By High Reservoir Pressures. Bus. Mag. Neft. 2022, 7, 42–48. [Google Scholar]
- Jinhua, H.; Xing, Z.; Yuanjun, C.; Baisong, Y.; Jian, Z.; Xuemin, W.; Wei, L.; Zhansheng, W.; Ruizhi, Z. Preparation, characterization and application of environment-friendly high density and low damage solid free completion fluids for completing HTHP oil and gas wells. Geoenergy Sci. Eng. 2023, 221, 211351. [Google Scholar] [CrossRef]
- Zdolnik, S.E.; Zgoba, I.M.; Telin, A.G.; Gusakov, V.N. Problems of killing wells of Priobskoye field and ways of their solution. Sci. Tech. Bull. JSC NK “Rosneft” 2006, 1, 35–38. [Google Scholar]
- Zdolnik, S.E.; Khandriko, A.N.; Akhankin, O.B.; Latypov, A.R.; Gusakov, V.N.; Telin, A.G.; Litvinenko, V.A. Wells killing with absorption control in conditions of intensification of development of terrigenous reservoirs. Oil Ind. 2007, 11, 62–65. [Google Scholar]
- Gusakov, V.N.; Kraevskiy, N.N.; Khakimov, A.F.; Tropin, A.Y.; Sahan, A.V. Technology of absorption prevention during workover in conditions of low reservoir pressure. Oil Ind. 2013, 10, 50–51. [Google Scholar]
- Mardashov, D. Development of blocking compositions with a bridging agent for oil well killing in conditions of abnormally low formation pressure and carbonate reservoir rocks. J. Min. Inst. 2021, 251, 617–626. [Google Scholar] [CrossRef]
- Mardashov, D.V.; Rogachev, M.K.; Zeigman, Y.V.; Mukhametshin, V.V. Well Killing Technology before Workover Operation in Complicated Conditions. Energies 2021, 14, 654. [Google Scholar] [CrossRef]
- Gusakov, V.N.; Korolev, A.Y.; Yagudin, R.A.; Bokarev, V.V.; Baturin, P.I.; Telin, A.G. Well silencing technologies in conditions of multiple complications. Pet. Eng. 2023, 21, 17–24. [Google Scholar] [CrossRef]
- Vickers, S.R.; Cowie, M.S.; Jones, T.; Twynam, A.J. A new methodology that surpasses current bridging theories to efficiently seal a varied pore throat distribution as found in natural reservoir formations. Wiert. Nafta Gaz 2006, 23/1, 501–515. [Google Scholar]







































| Application | Dispersion Medium | Dispersed Phase |
|---|---|---|
| Hydraulic fracturing | Water | 1. Cross-linked polymer gels based on guar (cross-linkers: boron, titanium, and zirconium compounds). 2. Polacrylamide (slickwater, friction-reducing agent). 3. VES (cationic, zwitterionic, anionic surfactants, and their mixtures) and structure-forming agents (electrolytes, polymers, and nanoparticles). |
| Hydrocarbons | Aluminum or iron alkyl phosphates | |
| Water and gas shutoff | Water | 1. PAM with Cr3+ or Al3+ cross-linkers. 2. PAM with organic cross-linkers. 3. Acidic and basic silicate gels. 4. Hybrid organic–inorganic gels. 5. Gels with microparticle and nanoparticle additives. |
| Conformance control and flow diversion | Water | 1. PAM with Cr3+ or Al3+ cross-linkers. 2. Insoluble particles of cross-linked polymers (gel particle dispersions). 3. Cross-linked PAM with nanoparticles. 4. Aluminum oxychloride with modified PAM. 5. Sodium silicate with viscoelastic water-soluble cellulose derivatives. |
| EOR | Water | 1. PAM with Cr3+ cross-linker. 2. Water-swellable phenolaldehyde resin. 3. PAM with a complex organic cross-linker—a mixture of formalin and resorcinol. |
| Stimulation with acidic compounds | Water | 1. Hydrolyzed polyacrylonitrile and reagent based on inorganic gel. 2. VES |
| Well drilling | Water (WBM) | 1. Cross-linked polymer-gel systems based on polyacrylamide–polyethylenimine, with organic cross-linkers (a mixture of resorcinol and paraform) reinforced with polypropylene fiber. 2. Water-soluble cellulose esters and modified starch combined with silicate reagents, lignosulfonates, calcium, potassium, and magnesium chloride salts, as well as caustic soda. 3. Hydrogels filled with mineral fibrous-dispersed materials. 4. Intercalated polymers. |
| Well killing | Water | 1. Guar gum. 2. Xanthan gum. 3. Various types of cellulose (CMC, PAC, HEC). 4. Starch |
Disclaimer/Publisher’s Note: The statements, opinions and data contained in all publications are solely those of the individual author(s) and contributor(s) and not of MDPI and/or the editor(s). MDPI and/or the editor(s) disclaim responsibility for any injury to people or property resulting from any ideas, methods, instructions or products referred to in the content. |
© 2023 by the authors. Licensee MDPI, Basel, Switzerland. This article is an open access article distributed under the terms and conditions of the Creative Commons Attribution (CC BY) license (https://creativecommons.org/licenses/by/4.0/).
Share and Cite
Telin, A.; Lenchenkova, L.; Yakubov, R.; Poteshkina, K.; Krisanova, P.; Filatov, A.; Stefantsev, A. Application of Hydrogels and Hydrocarbon-Based Gels in Oil Production Processes and Well Drilling. Gels 2023, 9, 609. https://doi.org/10.3390/gels9080609
Telin A, Lenchenkova L, Yakubov R, Poteshkina K, Krisanova P, Filatov A, Stefantsev A. Application of Hydrogels and Hydrocarbon-Based Gels in Oil Production Processes and Well Drilling. Gels. 2023; 9(8):609. https://doi.org/10.3390/gels9080609
Chicago/Turabian StyleTelin, Aleksey, Lyubov Lenchenkova, Ravil Yakubov, Kira Poteshkina, Polina Krisanova, Andrey Filatov, and Aleksandr Stefantsev. 2023. "Application of Hydrogels and Hydrocarbon-Based Gels in Oil Production Processes and Well Drilling" Gels 9, no. 8: 609. https://doi.org/10.3390/gels9080609
APA StyleTelin, A., Lenchenkova, L., Yakubov, R., Poteshkina, K., Krisanova, P., Filatov, A., & Stefantsev, A. (2023). Application of Hydrogels and Hydrocarbon-Based Gels in Oil Production Processes and Well Drilling. Gels, 9(8), 609. https://doi.org/10.3390/gels9080609
