Polypyrrole-Barium Ferrite Magnetic Cryogels for Water Purification
Abstract
1. Introduction
2. Results and Discussion
2.1. Material Morphology and Composition
2.2. Material Properties
2.3. Spectroscopy
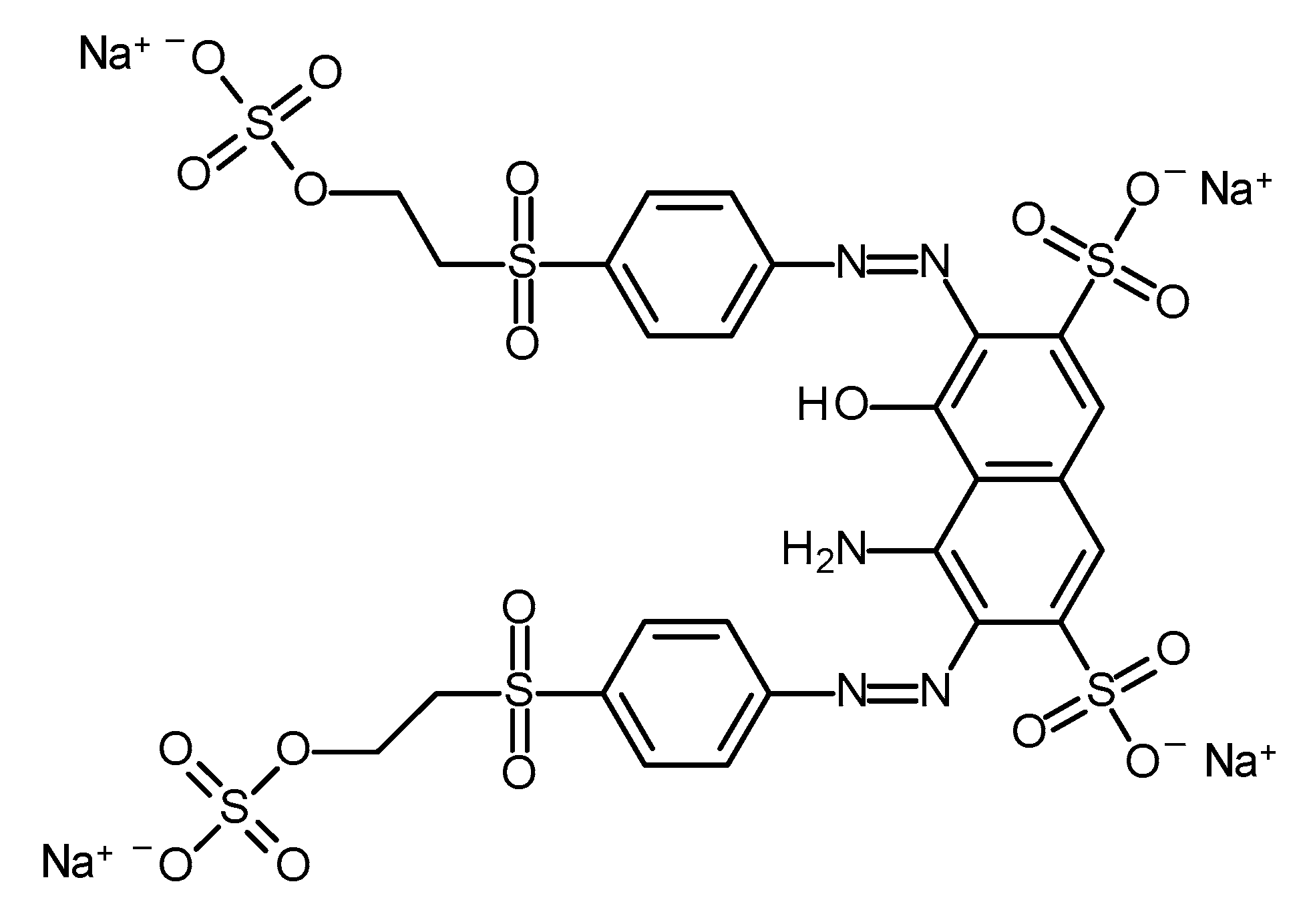
2.4. Dye Adsorption
3. Conclusions
4. Materials and Methods
4.1. Materials and Preparation
4.2. Characterization
Supplementary Materials
Author Contributions
Funding
Data Availability Statement
Conflicts of Interest
References
- Mekonnen, M.M.; Hoekstra, A.Y. Four billion people facing severe water scarcity. Sci. Adv. 2016, 2, e1500323. [Google Scholar] [CrossRef] [PubMed]
- Taghizadeh, A.; Taghizadeh, M.; Jouyandeh, M.; Yazdi, M.K.; Zarrintaj, P.; Saeb, M.R.; Lima, E.C.; Gupta, V.K. Conductive polymers in water treatment: A review. J. Mol. Liq. 2020, 312, 113447. [Google Scholar] [CrossRef]
- Ghaedi, M.; Ansari, A.; Bahari, F.; Ghaedi, A.M.; Vafaei, A. A hybrid artificial neural network and particle swarm optimization for prediction of removal of hazardous dye brilliant green from aqueous solution using zinc sulfide nanoparticle loaded on activated carbon. Spectrochim. Acta Part A 2015, 137, 1004–1015. [Google Scholar] [CrossRef] [PubMed]
- Al-Tohamy, R.; Ali, S.S.; Li, F.H.; Okasha, K.M.; Mahmoud, Y.A.G.; Elsamahy, T.; Jiao, H.X.; Fu, Y.Y.; Sun, J.Z. A critical review on the treatment of dye-containing wastewater: Ecotoxicological and health concerns of textile dyes and possible remediation approaches for environmental safety. Ecotoxicol. Environ. Saf. 2022, 231, 113160. [Google Scholar] [CrossRef] [PubMed]
- Singh, N.B.; Nagpal, G.; Agrawal, S.; Rachna. Water purification by using Adsorbents: A Review. Environ. Technol. Innov. 2018, 11, 187–240. [Google Scholar] [CrossRef]
- Choi, W.S.; Lee, H.J. Nanostructured Materials for Water Purification: Adsorption of Heavy Metal Ions and Organic Dyes. Polymers 2022, 14, 2183. [Google Scholar] [CrossRef]
- Barakan, S.; Aghazadeh, V. The advantages of clay mineral modification methods for enhancing adsorption efficiency in wastewater treatment: A review. Environ. Sci. Pollut. Res. 2021, 28, 2572–2599. [Google Scholar] [CrossRef]
- Wang, S.B.; Peng, Y.L. Natural zeolites as effective adsorbents in water and wastewater treatment. Chem. Eng. J. 2010, 156, 11–24. [Google Scholar] [CrossRef]
- Ihsanullah, I. Applications of MOFs as adsorbents in water purification: Progress, challenges and outlook. Curr. Opin. Environ. Sci. Health 2022, 26, 100335. [Google Scholar] [CrossRef]
- Sajid, M.; Nazal, M.K.; Ihsanullah; Baig, N.; Osman, A.M. Removal of heavy metals and organic pollutants from water using dendritic polymers based adsorbents: A critical review. Sep. Purif. Technol. 2018, 191, 400–423. [Google Scholar] [CrossRef]
- Qi, F.F.; Ma, T.Y.; Liu, Y.; Fan, Y.M.; Li, J.Q.; Yu, Y.; Chu, L.L. 3D superhydrophilic polypyrrole nanofiber mat for highly efficient adsorption of anionic azo dyes. Microchem. J. 2020, 159, 105389. [Google Scholar] [CrossRef]
- Yan, Y.Y.; Zhou, P.Z.; Zhang, S.; Yin, X.Y.; Zeng, X.J.; Pi, P.H.; Nong, Y.J.; Wen, X.F. Facile preparation of ultralong polypyrrole nanowires-coated membrane for switchable emulsions separation and dyes adsorption. J. Water Process Eng. 2022, 49, 102942. [Google Scholar] [CrossRef]
- Stejskal, J. Recent Advances in the Removal of Organic Dyes from Aqueous Media with Conducting Polymers, Polyaniline and Polypyrrole, and Their Composites. Polymers 2022, 14, 4243. [Google Scholar] [CrossRef] [PubMed]
- Zhou, J.; Lu, Q.F.; Luo, J.J. Efficient removal of organic dyes from aqueous solution by rapid adsorption onto polypyrrole-based composites. J. Clean. Prod. 2017, 167, 739–748. [Google Scholar] [CrossRef]
- Ayad, M.M.; Amer, W.A.; Zaghlol, S.; Minisy, I.M.; Bober, P.; Stejskal, J. Polypyrrole-coated cotton textile as adsorbent of methylene blue dye. Chem. Pap. 2018, 72, 1605–1618. [Google Scholar] [CrossRef]
- Pang, A.L.; Arsad, A.; Ahmadipour, M. Synthesis and factor affecting on the conductivity of polypyrrole: A short review. Polym. Adv. Technol. 2021, 32, 1428–1454. [Google Scholar] [CrossRef]
- Milakin, K.A.; Capáková, Z.; Acharya, U.; Vajďák, J.; Morávková, Z.; Hodan, J.; Humpolíček, P.; Bober, P. Biocompatible and antibacterial gelatin-based polypyrrole cryogels. Polymer 2020, 197, 122491. [Google Scholar] [CrossRef]
- Bober, P.; Capáková, Z.; Acharya, U.; Zasońska, B.A.; Humpolíček, P.; Hodan, J.; Hromádková, J.; Stejskal, J. Highly conducting and biocompatible polypyrrole/poly(vinyl alcohol) cryogels. Synth. Met. 2019, 252, 122–126. [Google Scholar] [CrossRef]
- Sadeghnezhad, M.; Ghorbani, M.; Nikzad, M. Synthesis of magnetic polypyrrole modified sodium alginate nanocomposite with excellent antibacterial properties and optimization of dye removal performance using. Ind. Crops Prod. 2022, 186, 115192. [Google Scholar] [CrossRef]
- Ali, H.; Ismail, A.M. Fabrication of Magnetic Fe3O4/Polypyrrole/Carbon Black Nanocomposite for Effective Uptake of Congo Red and Methylene Blue Dye: Adsorption Investigation and Mechanism. J. Polym. Environ 2022. [Google Scholar] [CrossRef]
- Shanehsaz, M.; Seidi, S.; Ghorbani, Y.; Shoja, S.M.R.; Rouhani, S. Polypyrrole-coated magnetic nanoparticles as an efficient adsorbent for RB19 synthetic textile dye: Removal and kinetic study. Spectrochim. Acta Part A 2015, 149, 481–486. [Google Scholar] [CrossRef] [PubMed]
- Bober, P.; Minisy, I.M.; Acharya, U.; Pfleger, J.; Babayan, V.; Kazantseva, N.; Hodan, J.; Stejskal, J. Conducting polymer composite aerogel with magnetic properties for organic dye removal. Synth. Met. 2020, 260, 116266. [Google Scholar] [CrossRef]
- Pei, Q.; Qian, R. Protonation and deprotonation of polypyrrole chain in aqueous-solutions. Synth. Met. 1991, 45, 35–48. [Google Scholar] [CrossRef]
- Smela, E.; Lu, W.; Mattes, B.R. Polyaniline actuators—Part 1. PANI(AMPS) in HCl. Synth. Met. 2005, 151, 25–42. [Google Scholar] [CrossRef]
- Balcioglu, I.A.; Arslan, I.; Sacan, M.T. Homogenous and heterogenous advanced oxidation of two commercial reactive dyes. Environ. Technol. 2001, 22, 813–822. [Google Scholar] [CrossRef] [PubMed]
- Ahmad, A.L.; Puma, S.W. Reactive dyes decolourization from an aqueous solution by combined coagulation/micellar-enhanced ultrafiltration process. Chem. Eng. J. 2007, 132, 257–265. [Google Scholar] [CrossRef]
- Saber-Samandari, S.; Saber-Samandari, S.; Joneidi-Yekta, H.; Mohseni, M. Adsorption of anionic and cationic dyes from aqueous solution using gelatin-based magnetic nanocomposite beads comprising carboxylic acid functionalized carbon nanotube. Chem. Eng. J. 2017, 308, 1133–1144. [Google Scholar] [CrossRef]
- Van Vlierberghe, S.; Graulus, G.-J.; Keshari Samal, S.; Van Nieuwenhove, I.; Dubruel, P. 12—Porous hydrogel biomedical foam scaffolds for tissue repair. In Biomedical Foams for Tissue Engineering Applications; Woodhead Publishing: Sawston, UK, 2014; pp. 335–390. [Google Scholar] [CrossRef]
- Sakai, H.; Cima, M.J.; Rhine, W.E. Adsorption of sulfonic-acid doped poly(vinyl chloride) on barium ferrite particles. J. Am. Ceram. Soc. 1993, 76, 3136–3140. [Google Scholar] [CrossRef]
- Aphesteguy, J.C.; Jacobo, S.E. Synthesis of a soluble polyaniline-ferrite composite: Magnetic and electric properties. J. Mater. Sci. 2007, 42, 7062–7068. [Google Scholar] [CrossRef]
- Rana, K.; Thakur, P.; Tomar, M.; Gupta, V.; Thakurd, A. Investigation of cobalt substituted M-type barium ferrite synthesized via co-precipitation method for radar absorbing material in Ku-band (12–18 GHz). Ceram. Int. 2018, 44, 6370–6375. [Google Scholar] [CrossRef]
- Verma, M.; Singh, A.P.; Sambyal, P.; Singh, B.P.; Dhawan, S.K.; Choudhary, V. Barium ferrite decorated reduced graphene oxide nanocomposite for effective electromagnetic interference shielding. Phys. Chem. Chem. Phys. 2015, 17, 1610–1618. [Google Scholar] [CrossRef] [PubMed]
- Basante-Delgado, S.F.; González-Vidal, D.; Morales-Morales, J.A.; Aperador-Chaparro, W.A.; Gómez-Cuaspud, J.A. A preliminary study of oxides of Fe doped with Ba, Co, Cu and synthetized by the citrate sol–gel combustion route. J. Phys. Conf. Ser. 2020, 1541, 012013. [Google Scholar] [CrossRef]
- Mohammed, J.; Jyoti, S.; Yerima, K.U.; Tchouank Tekou Carol, T.; Basandrai, D.; Arun, K.; Maji, P.K.; Srivastava, A.K. Magnetic, Mossbauer and Raman spectroscopy of nanocrystalline Dy3+-Cr3+ substituted barium hexagonal ferrites. Phys. B 2020, 585, 412115. [Google Scholar] [CrossRef]
- Mustofa, S.; Rizaldy, R.; Adi, W.A. Study of Raman Spectra of Aluminum Powder-Substituted Barium Hexaferrite (BaM) BaFe12-xAlxO19 as a Result of Solid State Reaction Process. IOP Conf. Ser. Mater. Sci. Eng. 2017, 202, 012040. [Google Scholar] [CrossRef]
- Milakin, K.A.; Acharya, U.; Trchova, M.; Zasonska, B.A.; Stejskal, J. Polypyrrole/gelatin cryogel as a precursor for a macroporous conducting polymer. React. Funct. Polym. 2020, 157, 104751. [Google Scholar] [CrossRef]
- Stejskal, J.; Trchová, M.; Bober, P.; Morávková, Z.; Kopecký, D.; Vrňata, M.; Prokeš, J.; Varga, M.; Watzlová, E. Polypyrrole salts and bases: Superior conductivity of nanotubes and their stability towards the loss of conductivity by deprotonation. RSC Adv. 2016, 6, 88382–88391. [Google Scholar] [CrossRef]
- Moravkova, Z.; Taboubi, O.; Minisy, I.M.; Bober, P. The evolution of the molecular structure of polypyrrole during chemical polymerization. Synth. Met. 2021, 271, 116608. [Google Scholar] [CrossRef]
- Crystallography Open Database, Entry 1008841. Available online: http://www.crystallography.net (accessed on 9 December 2022).
- Sanches, E.A.; Alves, S.F.; Soares, J.C.; da Silva, A.M.; da Silva, C.G.; de Souza, S.M.; da Frota, H.O. Nanostructured Polypyrrole Powder: A Structural and Morphological Characterization. J. Nanomater. 2015, 2015, 129678. [Google Scholar] [CrossRef]
- Ouyang, J.Y.; Li, Y.F. Great improvement of polypyrrole films prepared electrochemically from aqueous solutions by adding nonaphenol polyethyleneoxy(10)ether. Polymer 1997, 38, 3997–3999. [Google Scholar] [CrossRef]
- Shen, J.H.; Chen, K.Y.; Li, L.C.; Wang, W.X.; Jin, Y. Fabrication and microwave absorbing properties of (Z-type barium ferrite/silica)@polypyrrole composites. J. Alloys Compd. 2014, 615, 488–495. [Google Scholar] [CrossRef]
- Tchouank Tekou Carol, T.; Srivastava, A.; Mohammed, J.; Sharma, S.; Mukhtar, G. Investigation of energy band-gap of the composite of hexaferrites and polyaniline. SN Appl. Sci. 2020, 2, 864. [Google Scholar] [CrossRef]
- Al-Harby, N.F.; Albahly, E.F.; Mohamed, N.A. Kinetics, Isotherm and Thermodynamic Studies for Efficient Adsorption of Congo Red Dye from Aqueous Solution onto Novel Cyanoguanidine-Modified Chitosan Adsorbent. Polymers 2021, 13, 4446. [Google Scholar] [CrossRef] [PubMed]
- Minisy, I.M.; Bober, P.; Acharya, U.; Trchová, M.; Hromádková, J.; Pfleger, J.; Stejskal, J. Cationic dyes as morphology-guiding agents for one-dimensional polypyrrole with improved conductivity. Polymer 2019, 174, 11–17. [Google Scholar] [CrossRef]







| BaFe Fraction, wt% | SEM/EDX | Elemental Analysis | |
|---|---|---|---|
| Fe, wt% | Ba, wt% | BaFecalc, wt% | |
| 0 | 0 | 0 | 0 |
| 1% | 1.0 | 0.047 ± 0.001 | 0.36 |
| 2% | 0.2 | 0.075 ± 0.002 | 0.57 |
| 5% | 0.8 | 0.13 ± 0.02 | 1.02 |
| 10% | 0.7 | 0.51 ± 0.03 | 3.90 |
| Pristine BaFe | 18.5 | 13.1 ± 0.4 | 100 |
| BaFe Fraction, wt% | Tensile Strain at Break, % | Tensile Stress at Break, kPa | Tensile Modulus, kPa | Conductivity, S cm−1 | BET Surface Area, m2 g−1 |
|---|---|---|---|---|---|
| 0 | 7 ± 1 | 12 ± 3 | 321 ± 24 | 1 × 10−5 | 7.3 |
| 1% | 7 ± 1 | 10 ± 3 | 267 ± 54 | 2 × 10−4 | 11.0 |
| 2% | 6 ± 1 | 8 ± 1 | 289 ± 42 | 3 × 10−4 | 12.7 |
| 5% | 6 ± 2 | 6 ± 1 | 247 ± 53 | 4 × 10−4 | 18.3 |
| 10% | 6 ± 2 | 7 ± 4 | 299 ± 42 | 6 × 10−5 | 19.3 |
| Material/Mass | Qe (exp), mg g−1 | Pseudo-First-Order | Pseudo-Second-Order | Intraparticle Diffusion | ||||||
|---|---|---|---|---|---|---|---|---|---|---|
| k1, min−1 | Qe, mg g−1 | R2 | k2, g mg−1 min−1 | Qe, mg g−1 | R2 | ki, mg g−1 min−1/2 | c, mg g−1 | R2 | ||
| PPy-G/52 mg | 42.9 | 0.0005 | 35.3 | 0.975 | 0.00016 | 45.5 | 0.991 | 1.338 | 3.6 | 0.937 |
| PPy-G-BaFe (10 wt%)/52 mg | 47.9 | 0.0009 | 39.4 | 0.984 | 0.00022 | 51.6 | 0.999 | non-linear | ||
| PPy-G-BaFe (10 wt%)/26 mg | 89.5 | 0.0002 | 69.3 | 0.959 | 3 × 10−5 | 92.5 | 0.991 | 1.478 | 10.8 | 0.909 |
| PPy-G-BaFe (10 wt%)/104 mg | 23.9 | 0.0031 | 23.9 | 0.988 | 0.0014 | 24.9 | 0.998 | non-linear | ||
Disclaimer/Publisher’s Note: The statements, opinions and data contained in all publications are solely those of the individual author(s) and contributor(s) and not of MDPI and/or the editor(s). MDPI and/or the editor(s) disclaim responsibility for any injury to people or property resulting from any ideas, methods, instructions or products referred to in the content. |
© 2023 by the authors. Licensee MDPI, Basel, Switzerland. This article is an open access article distributed under the terms and conditions of the Creative Commons Attribution (CC BY) license (https://creativecommons.org/licenses/by/4.0/).
Share and Cite
Milakin, K.A.; Taboubi, O.; Acharya, U.; Lhotka, M.; Pokorný, V.; Konefał, M.; Kočková, O.; Hromádková, J.; Hodan, J.; Bober, P. Polypyrrole-Barium Ferrite Magnetic Cryogels for Water Purification. Gels 2023, 9, 92. https://doi.org/10.3390/gels9020092
Milakin KA, Taboubi O, Acharya U, Lhotka M, Pokorný V, Konefał M, Kočková O, Hromádková J, Hodan J, Bober P. Polypyrrole-Barium Ferrite Magnetic Cryogels for Water Purification. Gels. 2023; 9(2):92. https://doi.org/10.3390/gels9020092
Chicago/Turabian StyleMilakin, Konstantin A., Oumayma Taboubi, Udit Acharya, Miloslav Lhotka, Václav Pokorný, Magdalena Konefał, Olga Kočková, Jiřina Hromádková, Jiří Hodan, and Patrycja Bober. 2023. "Polypyrrole-Barium Ferrite Magnetic Cryogels for Water Purification" Gels 9, no. 2: 92. https://doi.org/10.3390/gels9020092
APA StyleMilakin, K. A., Taboubi, O., Acharya, U., Lhotka, M., Pokorný, V., Konefał, M., Kočková, O., Hromádková, J., Hodan, J., & Bober, P. (2023). Polypyrrole-Barium Ferrite Magnetic Cryogels for Water Purification. Gels, 9(2), 92. https://doi.org/10.3390/gels9020092

