Poly (Vinyl Alcohol) Hydrogels Boosted with Cross-Linked Chitosan and Silver Nanoparticles for Efficient Adsorption of Congo Red and Crystal Violet Dyes
Abstract
:1. Introduction
2. Results and Discussion
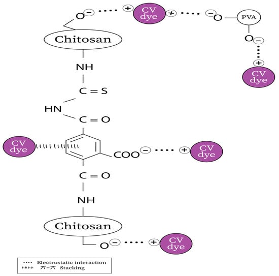
2.1. Removal of the CR and CV Dyes


2.2. Adsorption Isotherm Models
2.3. Adsorption Kinetics
2.4. Desorption Studies
2.5. Comparison of Sorption Capacity for CR and CV Dyes onto Various Adsorbents
3. Conclusions
4. Materials and Methods
4.1. Materials
4.2. Preparation of Chitosan/PVA Hydrogels
4.3. Preparation of H31/Silver Nanoparticle (H31/AgNP) Composites
4.4. Characterization of Chitosan/PVA Hydrogels and H31/AgNP Composites
4.5. pH of Zero-Point Charge—pHzpc
4.6. Batch Adsorption Tests
4.7. Adsorption Isotherms
Types of Adsorption Isotherm Equations
- ❖
- Langmuir isotherm equation
- ❖
- Freundlich isotherm equation
4.8. Adsorption Kinetics
- ❖
- Pseudo-First-Order Model (Lagergren Model)
- ❖
- Pseudo-Second-Order Model (Ho and Mckay Model)
4.9. Kinetic Validation
4.10. Desorption Study
Supplementary Materials
Author Contributions
Funding
Institutional Review Board Statement
Informed Consent Statement
Data Availability Statement
Conflicts of Interest
References
- Chung, K.-T. Azo dyes and human health: A review. J. Environ. Sci. Health C 2016, 34, 233–261. [Google Scholar] [CrossRef]
- Dos Santos, A.B.; Cervantes, F.J.; Van Lier, J.B. Review paper on current technologies for decolourisation of textile wastewaters: Perspectives for anaerobic biotechnology. Bioresour. Technol. 2007, 98, 2369–2385. [Google Scholar] [CrossRef]
- Khan, M.D.; Singh, A.; Khan, M.Z.; Tabraiz, S.; Sheikh, J. Current perspectives, recent advancements, and efficiencies of various dye-containing wastewater treatment technologies. J. Water Process Eng. 2023, 53, 103579. [Google Scholar] [CrossRef]
- Cardoso, J.C.; Bessegato, G.G.; Boldrin Zanoni, M.V. Efficiency comparison of ozonation, photolysis, photocatalysis and photoelectrocatalysis methods in real textile wastewater decolorization. Water Res. 2016, 98, 39–46. [Google Scholar] [CrossRef]
- El-Harby, N.F.; Ibrahim, S.M.A.; Mohamed, N.A. Adsorption of Congo red dye onto antimicrobial terephthaloyl thiourea cross-linked chitosan. Water Sci. Technol. 2017, 76, 2719–2732. [Google Scholar] [CrossRef]
- Nagarkar, R.; Patel, J. Polyvinyl Alcohol: A Comprehensive Study. Acta Sci. Pharm. Sci. 2019, 3, 34–44. [Google Scholar]
- Baker, M.I.; Walsh, S.P.; Schwartz, Z.; Boyan, B.D. A review of polyvinyl alcohol and its uses in cartilage and orthopedic applications. J. Biomed. Mater. Res. Part B 2012, 100B, 1451–1457. [Google Scholar] [CrossRef]
- Mok, C.F.; Ching, Y.C.; Muhamad, F.; Osman, N.A.A.; Hai, N.D.; Hassan, C.R.C. Adsorption of Dyes Using Poly(vinyl alcohol) (PVA) and PVA-Based Polymer Composite Adsorbents: A Review. J. Polym. Environ. 2020, 28, 775–793. [Google Scholar] [CrossRef]
- Lin, W.; Kluzek, M.; Iuster, N.; Shimoni, E.; Kampf, N.; Goldberg, R.; Klein, J. Cartilage-inspired, lipid-based boundary-lubricated hydrogels. Science 2020, 370, 335–338. [Google Scholar] [CrossRef]
- Zhu, Y.; Liu, J.; Guo, T.; Wang, J.J.; Tang, X.; Nicolosi, V. Multifunctional Ti3C2Tx MXene Composite Hydrogels with Strain Sensitivity toward Absorption-Dominated Electromagnetic-Interference Shielding. ACS Nano 2021, 15, 1465–1474. [Google Scholar] [CrossRef]
- Shariatinia, Z.; Jalali, A.M. Chitosan-based hydrogels: Preparation, properties and applications. Int. J. Biol. Macromol. 2018, 115, 194–220. [Google Scholar] [CrossRef] [PubMed]
- Elmehbad, N.Y.; Mohamed, N.A.; Abd El-Ghany, N.A.; Abdel-Aziz, M.M. Evaluation of the in vitro anti-inflammatory and anti-Helicobacter pylori activities of chitosan-based biomaterials modified with copper oxide nanoparticles. Int. J. Biol. Macromol. 2023, 253, 127277. [Google Scholar] [CrossRef] [PubMed]
- Elmehbad, N.Y.; Mohamed, N.A. Synthesis, characterization, and antimicrobial activity of novel N-acetyl, N’-chitosanacetohydrazide and its metal complexes. Int. J. Polym. Mater. Polym. Biomater. 2022, 71, 1369–1379. [Google Scholar] [CrossRef]
- Mohamed, N.A.; Abd El-Ghany, N.A. Synthesis, characterization, and antimicrobial activity of carboxymethyl chitosan-graft-poly(N-acryloyl,N’-cyanoacetohydrazide) copolymers. J. Carbohydr. Chem. 2012, 31, 220–240. [Google Scholar] [CrossRef]
- Mei, Y.; Runjun, S.; Yan, F.; Honghong, W.; Hao, D.; Chengkun, L. Preparation, characterization and kinetics study of chitosan/PVA electrospun nanofiber membranes for the adsorption of dye from water. J. Polym. Eng. 2019, 39, 459–471. [Google Scholar] [CrossRef]
- Elmehbad, N.Y.; Mohamed, N.A.; Abd El-Ghany, N.A.; Abdel-Aziz, M.M. Reinforcement of the antimicrobial activity and biofilm inhibition of novel chitosan-based hydrogels utilizing zinc oxide nanoparticles. Int. J. Biol. Macromol. 2023, 246, 125582. [Google Scholar] [CrossRef]
- Wegrzynowska-Drzymalska, K.; Grebicka, P.; Mlynarczyk, D.T.; Chelminiak-Dudkiewicz, D.; Kaczmarek, H.; Goslinski, T.; Ziegler-Borowska, M. Crosslinking of Chitosan with Dialdehyde Chitosan as a New Approach for Biomedical Applications. Materials 2020, 13, 3413. [Google Scholar] [CrossRef]
- Alharbi, R.A.; Alminderej, F.M.; Al-harby, N.F.; Elmehbad, N.Y.; Mohamed, N.A. Preparation and characterization of a new bis-uracil chitosan-based hydrogel as efficient adsorbent for removal of anionic Congo red dye. Polymers 2023, 15, 1529. [Google Scholar] [CrossRef]
- Shahverdi, F.; Barati, A.; Bayat, M. Effective Methylene Blue Removal from Aqueous Solutions using PVA/Chitosan Electrospun Nanofiber Modified with CeAlO3 Nanoparticles. J. Water Environ. Nanotechnol. 2022, 7, 55–68. [Google Scholar] [CrossRef]
- Perez-Calderon, J.; Marin-Silva, D.A.; Zaritzky, N.; Pinotti, A. Eco-friendly PVA-chitosan adsorbent films for the removal of azo dye Acid Orange 7: Physical cross-linking, adsorption process, and reuse of the material. Adv. Ind. Eng. Polym. Res. 2022, 6, 239–254. [Google Scholar] [CrossRef]
- Mahmoodi, N.M.; Mokhtari-Shourijeh, Z. Preparation of PVA-chitosan blend nanofiber and its dye removal ability from colored wastewater. Fibers Polym. 2015, 16, 1861–1869. [Google Scholar] [CrossRef]
- Mohamed, N.A.; Al-Harby, N.F.; Almarshed, M.S. Synthesis and characterization of novel trimellitic anhydride isothiocyanate-cross linked chitosan hydrogels modified with multi-walled carbon nanotubes for enhancement of antimicrobial. Int. J. Biol. Macromol. 2019, 132, 416–428. [Google Scholar] [CrossRef]
- Mohamed, N.A.; Al-Harby, N.F.; Almarshed, M.S. Enhancement of adsorption of Congo red dye onto novel antimicrobial trimellitic anhydride isothiocyanate-cross-linked chitosan hydrogels. Polym. Bull. 2020, 77, 6135–6160. [Google Scholar] [CrossRef]
- Al-Harby, N.F.; Almarshed, M.S.; Mohamed, N.A. Effect of single-walled carbon nanotubes on the adsorption of Basic Red 12 Dye by trimellitic anhydride isothiocyanate-crossLinked chitosan hydrogel. Cellul. Chem. Technol. 2023, 57, 445–458. [Google Scholar] [CrossRef]
- Alfuraydi, R.T.; Alminderej, F.M.; Mohamed, N.A. Evaluation of antimicrobial and anti-biofilm formation activities of novel poly(vinyl alcohol) hydrogels reinforced with crosslinked chitosan and silver nano-particles. Polymers 2022, 14, 1619. [Google Scholar] [CrossRef] [PubMed]
- Wang, J.L.; Xu, L.J. Advanced oxidation processes for wastewater treatment: Formation of hydroxyl radical and application. Crit. Rev. Environ. Sci. Technol. 2012, 42, 251–325. [Google Scholar] [CrossRef]
- Crini, G.; Badot, P.M. Application of chitosan, a natural aminopolysaccharide, for dye removal from aqueous solutions by adsorption processes using batch studies: A review of recent literature. Prog. Polym. Sci. 2008, 33, 399–447. [Google Scholar] [CrossRef]
- Wen, K.; Li, Y.; Zhang, S.; Zhang, X.; Han, R. Adsorption of congo red from solution by iron doped PVA-chitosan composite film. Desalination Water Treat. 2020, 187, 378–389. [Google Scholar] [CrossRef]
- Kaur, R.; Goyal, D.; Agnihotri, S. Chitosan/PVA silver nanocomposite for butachlor removal: Fabrication, characterization, adsorption mechanism and isotherms. Carbohydr. Polym. 2021, 262, 117906. [Google Scholar] [CrossRef]
- Elmehbad, N.Y.; Mohamed, N.A. Designing, preparation and evaluation of the antimicrobial activity of biomaterials based on chitosan modified with silver nanoparticles. Int. J. Biol. Macromol. 2020, 151, 92–103. [Google Scholar] [CrossRef]
- Mohamed, N.A.; Al-harby, N.F.; Almarshed, M.S. Effective removal of Basic Red 12 dye by novel antimicrobial trimellitic anhydride isothiocyanate-cross-linked chitosan hydrogels. Polym. Polym. Compos. 2021, 29, S274–S287. [Google Scholar] [CrossRef]
- Yagub, M.T.; Sen, T.K.; Afroze, S.; Ang, H.M. Dye and its removal from aqueous solution by adsorption: A review. Adv. Colloid Interface Sci. 2014, 209, 172–184. [Google Scholar] [CrossRef]
- Wang, C.; Le, Y.; Cheng, B. Fabrication of porous ZrO2 hollow sphere and its adsorption performance to Congo red in water. Ceram. Int. Part B 2014, 40, 10847–10856. [Google Scholar] [CrossRef]
- Alharby, N.F.; Almutairi, R.S.; Mohamed, N.A. Adsorption behavior of methylene blue dye by novel crosslinked O-CM-Chitosan hydrogel in aqueous solution: Kinetics, isotherm and thermodynamics. Polymers 2021, 13, 3659. [Google Scholar] [CrossRef] [PubMed]
- Al-Harby, N.F.; Almutairi, R.S.; Elmehbad, N.Y.; Mohamed, N.A. A novel O-carboxymethyl chitosan-based hydrogel of an outstanding adsorption performance for removal of cationic Basic Red 12 dye from its aqueous solution. Polym. Eng. Sci. 2023, 63, 2336–2353. [Google Scholar] [CrossRef]
- Chang, M.Y.; Juang, R.S. Adsorption of tannic acid, humic acid, and dyes from water using the composite of chitosan and activated clay. J. Colloid Interface Sci. 2004, 278, 18–25. [Google Scholar] [CrossRef]
- Baldez, E.E.; Robaina, N.F.; Cassella, R.J. Study of rhodamine b retention by polyurethane foam from aqueous medium in presence of sodium dodecylsulfate. Sep. Sci. Technol. 2009, 44, 3128–3149. [Google Scholar] [CrossRef]
- Hu, H.; Liu, J.; Xu, Z.; Zhang, L.; Cheng, B.; Ho, W. Hierarchical porous Ni/Co-LDH hollow dodecahedron with excellent adsorption property for Congo red and Cr(VI) ions. Appl. Surf. Sci. 2019, 478, 981–990. [Google Scholar] [CrossRef]
- Zenasni, M.A.; Meroufel, B.; Merlin, A.; George, B. Adsorption of Congo Red from Aqueous Solution Using CTAB-Kaolin from Bechar Algeria. J. Surf. Eng. Mater. Adv. Technol. 2014, 4, 332–341. [Google Scholar] [CrossRef]
- Vimonses, V.; Lei, S.; Jin, B.; Chow, C.W.K.; Saint, C. Adsorption of congo red by three Australian kaolins. Appl. Clay Sci. 2009, 43, 465–472. [Google Scholar] [CrossRef]
- Falaki, F.; Fakhri, A. Adsorption properties of nickel oxide nanoparticles for removal of Congo Red from aqueous solution. J. Phys. Theor. Chem. Islam. Azad Univ. Iran 2014, 10, 255–262. [Google Scholar]
- Wang, L.; Wang, A. Adsorption characteristics of Congo Red onto the chitosan/montmorillonite nanocomposite’. J. Hazard. Mater. 2007, 147, 979–985, 2007. [Google Scholar] [CrossRef] [PubMed]
- Karthikaikumar, S.; Karthikeyan, M.; Kumar, K.K.S. Removal of Congo Red Dye from Aqueous Solution by Polyaniline-Montmorrillonite Composite. Chem. Sci. Rev. Lett. 2014, 2, 606–614. [Google Scholar]
- Liu, Y.; Wang, W.; Wang, A. Removal of congo red from aqueous solution by sorption on organified rectorite. CLEAN–Soil Air Water 2010, 38, 670–677. [Google Scholar] [CrossRef]
- Mumin, M.A.; Khan, M.M.R.; Akhter, K.F.; Uddin, M.J. Potentiality of open burnt clay as an adsorbent for the removal of Congo red from aqueous solution. Int. J. Environ. Sci. Technol. 2007, 4, 525–532. [Google Scholar] [CrossRef]
- Ghribi, A.; Bagane, M.; Chlendi, M. Sorptive removal of congo red from aqueous solutions using raw clay: Batch and dynamic studies. Int. J. Innov. Environ. Stud. Res. 2014, 2, 45–56. [Google Scholar]
- Patil, S.R.; Sutar, S.S.; Jadhav, J.P. Sorption of crystal violet from aqueous solution using live roots of Eichhornia crassipes: Kinetic, isotherm, phyto and cyto-genotoxicity studies. Environ. Technol. Innov. 2020, 18, 100648. [Google Scholar] [CrossRef]
- Saha, P.D.; Chakraborty, S.; Chowdhury, S. Batch and continuous (fixed-bed column) biosorption of crystal violet by Artocarpus heterophyllus (jackfruit) leaf powder. Colloids Surf. B Biointerfaces 2012, 92, 262–270. [Google Scholar] [CrossRef]
- Chakraborty, S.; Chowdhury, S.; Saha, P.D. Adsorption of Crystal Violet from aqueous solution onto NaOH-modified rice husk. Carbohydr. Polym. 2011, 86, 1533–1541. [Google Scholar] [CrossRef]
- Khanam, N.; Uddin, M.T.; Islam, M.A. Adsorptive removal of Crystal Violet by Banyan leaf powder: Batch and Column Study. In Proceedings of the International Conference on Engineering Research, Innovation and Education, Sylhet, Bangladesh, 13–15 January 2017. [Google Scholar]
- Saeed, A.; Sharif, M.; Iqbal, M. Application potential of grapefruit peel as dye sorbent: Kinetics, equilibrium and mechanism of crystal violet adsorption. J. Hazard. Mater. 2010, 179, 564–572. [Google Scholar] [CrossRef]
- Kumar, R.; Ahmad, R. Biosorption of hazardous crystal violet dye from aqueous solution onto treated ginger waste (TGW). Desalination 2011, 265, 112–118. [Google Scholar] [CrossRef]
- AL-Shehri, H.S.; Almudaifer, E.; Alorabi, A.Q.; Alanazi, H.S.; Alkorbi, A.S.; Alharthi, F.A. Effective adsorption of crystal violet from aqueous solutions with effective adsorbent: Equilibrium, mechanism studies and modeling analysis. Environ. Pollut. Bioavailab. 2021, 33, 214–226. [Google Scholar] [CrossRef]
- Dada, A.O. Langmuir, Freundlich, Temkin and Dubinin–Radushkevich Isotherms Studies of Equilibrium Sorption of Zn 2+ Unto Phosphoric Acid Modified Rice Husk. IOSR J. Appl. Chem. 2012, 3, 38–45. [Google Scholar] [CrossRef]
- Desta, M.B. Batch Sorption Experiments: Langmuir and Freundlich Isotherm Studies for the Adsorption of Textile Metal Ions onto Teff Straw (Eragrostis tef) Agricultural Waste. J. Thermodyn. 2013, 2013, 375830. [Google Scholar] [CrossRef]
- Foo, K.Y.; Hameed, B.H. Insights into the modeling of adsorption isotherm systems. Chem. Eng. J. 2010, 156, 2–10. [Google Scholar] [CrossRef]
- Naim, M.M.; Al-Harby, N.F.; El Batouti, M.; Elewa, M.M. Macro-reticular ion exchange resins for recovery of direct dyes from spent dyeing and soaping liquors. Molecules 2022, 27, 1593. [Google Scholar] [CrossRef] [PubMed]
- Nandiyanto, A.B.D.; Hofifah, S.N.; Inayah, H.T.; Putri, S.R.; Apriliani, S.S.; Anggraeni, S.; Usdiyana, D.; Rahmat, A. Adsorption isotherm of carbon microparticles prepared from pumpkin (cucurbita maxima) seeds for dye removal. Iraqi J. Sci. 2021, 62, 1404–1414. [Google Scholar] [CrossRef]













| Temperature | PVA | Chitosan | H10 | H11 | H13 | H31 | H31/AgNPs1% | H31/AgNPs3% | H31/AgNPs5% |
|---|---|---|---|---|---|---|---|---|---|
| 25 °C | 34.69 | 62.22 | 69.40 | 66.70 | 60.00 | 73.33 | 87.78 | 93.89 | 98.54 |
| 50 °C | 37.50 | 84.03 | 96.80 | 90.30 | 76.57 | 99.61 | 99.61 | 99.62 | 99.91 |
| Temperature | PVA | Chitosan | H10 | H11 | H13 | H31 | H31/AgNPs1% | H31/AgNPs3% | H31/AgNPs5% |
|---|---|---|---|---|---|---|---|---|---|
| 25 °C | 13.75 | 5.42 | 11.17 | 15.17 | 17.50 | 9.28 | 42.05 | 46.62 | 58.04 |
| 50 °C | 40.46 | 15.88 | 28.90 | 47.50 | 49.08 | 22.50 | 73.17 | 91.18 | 94.71 |
| Temperature | Parameter | PVA | Chitosan | H10 | H11 | H13 | H31 | H31/AgNPs1% | H31/AgNPs3% | H31/AgNPs5% |
|---|---|---|---|---|---|---|---|---|---|---|
| 25 °C | qmax (mg g−1) | 19.92 | 8.547 | 8.17 | 15.87 | 50.505 | 7.994 | −9.804 | −11.111 | −21.277 |
| KL (L mg−1) | 0.009 | 0.007 | 0.02 | 0.013 | 0.0046 | 0.015 | −26.422 | −18.044 | −21.979 | |
| R2 | 0.216 | 0.324 | 0.474 | 0.578 | 0.132 | 0.22 | 0.088 | 0.462 | 0.524 | |
| RL | 0.981–0.898 | 0.985–0.919 | 0.962–0.808 | 0.974–0.861 | 0.991–0.948 | 0.971–0.849 | −0.019–−0.003 | −0.02– −0.005 | −0.023–−0.004 | |
| 50 °C | qmax (mg g−1) | 43.48 | 52.63 | 8.547 | 322.6 | 11.364 | 9.009 | −1.828 | −0.859 | 12.987 |
| KL (L mg−1) | 0.018 | 0.004 | 0.079 | 0.003 | 0.1833 | 0.046 | −3.435 | −1.408 | 0.247 | |
| R2 | 0.178 | 0.010 | 0.872 | 0.215 | 0.891 | 0.853 | 0.558 | 0.067 | 0.757 | |
| RL | 0.966–0.826 | 0.993–0.957 | 0.863–0.513 | 0.994–0.967 | 0.732–0.313 | 0.915–0.643 | −0.170–0.025 | −0.551– −0.063 | 0.670–0.252 |
| Temperature | Parameter | PVA | Chitosan | H10 | H11 | H13 | H31 | H31/AgNPs1% | H31/AgNPs3% | H31/AgNPs5% |
|---|---|---|---|---|---|---|---|---|---|---|
| 25 °C | 1/n | 0.974 | 0.962 | 0.925 | 0.951 | 0.992 | 0.90 | 1.084 | 1.192 | 1.105 |
| Kf (mg g−1)(L mg−1) | 0.186 | 0.064 | 0.164 | 0.213 | 0.228 | 0.129 | 0.418 | 0.629 | 1.022 | |
| R2 | 0.992 | 0.997 | 0.989 | 0.997 | 0.997 | 0.983 | 0.815 | 0.963 | 0.981 | |
| 50 °C | 1/n | 0.95 | 0.992 | 0.78 | 0.993 | 0.69 | 0.86 | 2.505 | 2.787 | 0.529 |
| Kf (mg g−1)(L mg−1) | 0.752 | 0.195 | 0.68 | 0.924 | 0.5532 | 0.409 | 0.587 | 3.469 | 12.528 | |
| R2 | 0.893 | 0.98 | 0.998 | 0.999 | 0.985 | 0.99 | 0.830 | 0.857 | 0.863 |
| Kinetic Models | Parameters | CR | CV |
|---|---|---|---|
| H31 | H13 | ||
| qe.exp (mg g−1) | 13.45 | 1.67 | |
| pseudo- first-order | R2 | 0.970 | 0.959 |
| qe.cal (mg g−1) | 11.05 | 1.34 | |
| K1 (10−4) (min−1) | 1.74 | 1.74 | |
| Δqe (%) | 5.15 | 5.70 | |
| pseudo- second-order | R2 | 0.980 | 0.990 |
| qe,cal (mg g−1) | 12.00 | 1.67 | |
| K2 (10−4) (g·mg−1·min−1) | 4.28 | 45.77 | |
| Δqe (%) | 3.11 | 0 |
| Adsorbents | Adsorption Capacity, qmax (mg/g) | pH | Initial Dye Concentration (mg/L) | Dosage of Adsorbent | References |
|---|---|---|---|---|---|
| Zeolite (clay materials) | 3.77 | 7.5 ± 0.3 | 150.0 | 100 g/L | [38] |
| ZrO2 reagent | 4.8 ± 0.2 | 7.0 | 35.0 | 400 mg/L | [33] |
| Natural kaolin (K) | 5.94 | 6.9 | 100.0 | 0.1 g/10 mL | [39] |
| Australian kaolin clay K15GR | 6.81 | 7.5 ± 0.3 | 200.0 | 50.0 g/L | [40] |
| Australian kaolin clay Ceram | 7.27 | 7.5 ± 0.3 | 250.0 | 20.0 g/L | [40] |
| Nickel oxide nanoparticles | 10.10 | 5.0 | 2.0 | 0.5 g/L | [41] |
| Montmorillonite | 12.70 | 7.0 | 100 | 0.1 g/25 mL | [42] |
| H13 | 13.78 | 7 | 18 | 0.01 g/10 mL | This work |
| H11 | 16.247 | 7 | 18 | 0.01 g/10 mL | This work |
| H31 | 17.93 | 7 | 18 | 0.01 g/10 mL | This work |
| H31/AgNPs 5% | 17.98 | 7 | 18 | 0.01 g/10 mL | This work |
| Polypyrrole | 18.00 | 3.0 | 40.0 | 100 mg/50 mL | [43] |
| Raw rectorite (R-REC) | 19.50 | 7.0 | 500.0 | 0.025 g/25 mL | [44] |
| ZrO2 solid spheres | 21.4 ± 1.1 | 7.0 | 35.0 | 400 mg/L | [33] |
| Open burnt clay | 22.86 | 3.0 | 50.0 | 0.5 g/200 mL | [45] |
| Cetyltrimethylammonium bromide-modified kaolin (CTAB-kaolin or KC) | 24.46 | 6.9 | 100.0 | 0.1 g/10 mL | [39] |
| Raw clay | 27.03 | 7.5 ± 0.2 | 50.0 | 1.0 g/100 mL | [46] |
| Adsorbent | qmax (mg/g) | Co (mg/L) | pH | References |
|---|---|---|---|---|
| H31 | 2.7 | 12 | 7 | This work |
| H11 | 5.7 | 12 | 7 | This work |
| H13 | 5.89 | 12 | 7 | This work |
| H31/AgNPs 5% | 11.365 | 12 | 7 | This work |
| Eichhornia crassipes live roots | 20.84 | 1000 | 7 | [47] |
| Jackfruit leaf powder (JLP) | 43.39 | 100 | 7 | [48] |
| NaOH-modified rice husk (NMRH) | 44.87 | 50 | 8 | [49] |
| Banyan leaf powder | 81 | 150 | 8 | [50] |
| Grapefruit peel | 249.68 | 100 | 6 | [51] |
| Treated ginger waste (TGW) | 277.7 | 20 | 8 | [52] |
| NaOH-activated Aerva javanica leaf (NAJL) | 315.2 | 250 | 9 | [53] |
| Hydrogel Code | Chitosan: PVA (Weight Ratio) | Chitosan g (mmol) | PVA (g) | Trimellitic Anhydride Chloride g (mmol) | Ammonium Thiocyanate g (mmol) | Elemental Analysis (%) | ||||
|---|---|---|---|---|---|---|---|---|---|---|
| C | H | N | O | S | ||||||
| Chitosan | - | - | - | - | - | 45.10 | 6.77 | 8.43 | 39.70 | - |
| PVA | - | - | - | - | - | 54.54 | 9.10 | - | 36.36 | - |
| H10 | 1:0 | 3 (18.63) | 0 | 1.96 (9.32) | 0.71 (9.32) | 47.54 | 4.68 | 7.51 | 35.03 | 5.24 |
| H13 | 1:3 | 1 (6.21) | 3 | 0.65 (3.11) | 0.24 (3.11) | 52.79 | 8.00 | 1.88 | 36.02 | 1.31 |
| H11 | 1:1 | 2 (12.42) | 2 | 1.31 (6.21) | 0.47 (6.21) | 51.04 | 6.89 | 3.75 | 35.70 | 2.62 |
| H31 | 3:1 | 3 (18.63) | 1 | 1.96 (9.32) | 0.71 (9.32) | 49.29 | 5.79 | 5.63 | 35.36 | 3.93 |
Disclaimer/Publisher’s Note: The statements, opinions and data contained in all publications are solely those of the individual author(s) and contributor(s) and not of MDPI and/or the editor(s). MDPI and/or the editor(s) disclaim responsibility for any injury to people or property resulting from any ideas, methods, instructions or products referred to in the content. |
© 2023 by the authors. Licensee MDPI, Basel, Switzerland. This article is an open access article distributed under the terms and conditions of the Creative Commons Attribution (CC BY) license (https://creativecommons.org/licenses/by/4.0/).
Share and Cite
Alfuraydi, R.T.; Al-Harby, N.F.; Alminderej, F.M.; Elmehbad, N.Y.; Mohamed, N.A. Poly (Vinyl Alcohol) Hydrogels Boosted with Cross-Linked Chitosan and Silver Nanoparticles for Efficient Adsorption of Congo Red and Crystal Violet Dyes. Gels 2023, 9, 882. https://doi.org/10.3390/gels9110882
Alfuraydi RT, Al-Harby NF, Alminderej FM, Elmehbad NY, Mohamed NA. Poly (Vinyl Alcohol) Hydrogels Boosted with Cross-Linked Chitosan and Silver Nanoparticles for Efficient Adsorption of Congo Red and Crystal Violet Dyes. Gels. 2023; 9(11):882. https://doi.org/10.3390/gels9110882
Chicago/Turabian StyleAlfuraydi, Reem T., Nouf F. Al-Harby, Fahad M. Alminderej, Noura Y. Elmehbad, and Nadia A. Mohamed. 2023. "Poly (Vinyl Alcohol) Hydrogels Boosted with Cross-Linked Chitosan and Silver Nanoparticles for Efficient Adsorption of Congo Red and Crystal Violet Dyes" Gels 9, no. 11: 882. https://doi.org/10.3390/gels9110882
APA StyleAlfuraydi, R. T., Al-Harby, N. F., Alminderej, F. M., Elmehbad, N. Y., & Mohamed, N. A. (2023). Poly (Vinyl Alcohol) Hydrogels Boosted with Cross-Linked Chitosan and Silver Nanoparticles for Efficient Adsorption of Congo Red and Crystal Violet Dyes. Gels, 9(11), 882. https://doi.org/10.3390/gels9110882

