The Methyl Functionality of Monolithic Silica Xerogels Synthesized via the Co-Gelation Approach Combined with Surface Silylation
Abstract
1. Introduction
2. Results and Discussion
2.1. Chemical Characterization
2.1.1. FTIR Spectroscopy
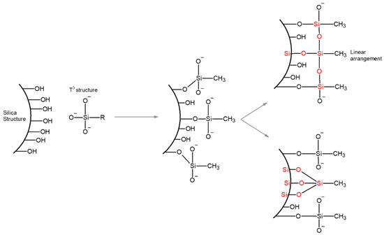
2.1.2. 29Si-MAS-NMR
2.2. Morphological Characterizations
2.2.1. N2 Sorption Studies
2.2.2. SEM Micrographs
2.3. Physical Properties
2.4. Surface Characterizations
3. Conclusions
4. Materials and Methods
4.1. Materials
4.2. Methods
4.3. Characterizations
4.3.1. Chemical Characterization
4.3.2. Morphological Characterizations
4.3.3. Surface Characterization
Supplementary Materials
Author Contributions
Funding
Institutional Review Board Statement
Informed Consent Statement
Data Availability Statement
Acknowledgments
Conflicts of Interest
References
- Hayase, G.; Kanamori, K.; Fukuchi, M.; Kaji, H.; Nakanishi, K. Facile Synthesis of Marshmallow-like Macroporous Gels Usable under Harsh Conditions for the Separation of Oil and Water. Angew. Chem.-Int. Ed. 2013, 52, 1986–1989. [Google Scholar] [CrossRef]
- Sert Çok, S.; Koç, F.; Gïzlï, N. Lightweight and Highly Hydrophobic Silica Aerogels Dried in Ambient Pressure for an Efficient Oil/Organic Solvent Adsorption. J. Hazard. Mater. 2021, 408, 124858. [Google Scholar] [CrossRef]
- Sert Çok, S.; Gizli, N. Microstructural Properties and Heat Transfer Characteristics of In-Situ Modified Silica Aerogels Prepared with Different Organosilanes. Int. J. Heat Mass Transf. 2022, 188, 122618. [Google Scholar] [CrossRef]
- Mahadik, D.B.; Lee, Y.K.; Chavan, N.K.; Mahadik, S.A.; Park, H.H. Monolithic and Shrinkage-Free Hydrophobic Silica Aerogels via New Rapid Supercritical Extraction Process. J. Supercrit. Fluids 2016, 107, 84–91. [Google Scholar] [CrossRef]
- Torres, R.B.; Vareda, J.P.; Lamy-Mendes, A.; Durães, L. Effect of Different Silylation Agents on the Properties of Ambient Pressure Dried and Supercritically Dried Vinyl-Modified Silica Aerogels. J. Supercrit. Fluids 2019, 147, 81–89. [Google Scholar] [CrossRef]
- Hasanpour, M.; Hatami, M. Application of Three Dimensional Porous Aerogels as Adsorbent for Removal of Heavy Metal Ions from Water/Wastewater: A Review Study. Adv. Colloid Interface Sci. 2020, 284, 102247. [Google Scholar] [CrossRef]
- Menaa, B.; Herrero, M.; Rives, V.; Lavrenko, M.; Eggers, D.K. Favourable Influence of Hydrophobic Surfaces on Protein Structure in Porous Organically-Modified Silica Glasses. Biomaterials 2008, 29, 2710–2718. [Google Scholar] [CrossRef]
- Kortesuo, P.; Ahola, M.; Kangas, M.; Leino, T.; Laakso, S.; Vuorilehto, L.; Yli-Urpo, A.; Kiesvaara, J.; Marvola, M. Alkyl-Substituted Silica Gel as a Carrier in the Controlled Release of Dexmedetomidine. J. Control. Release 2001, 76, 227–238. [Google Scholar] [CrossRef]
- Huang, X.; Liu, Z.; Xia, W.; Zou, R.; Han, R.P.S. Alkylated Phase Change Composites for Thermal Energy Storage Based on Surface-Modified Silica Aerogels. J. Mater. Chem. A 2015, 3, 1935–1940. [Google Scholar] [CrossRef]
- Smirnova, I.; Suttiruengwong, S.; Arlt, W. Feasibility Study of Hydrophilic and Hydrophobic Silica Aerogels as Drug Delivery Systems. J. Non Cryst. Solids 2004, 350, 54–60. [Google Scholar] [CrossRef]
- Len, A.; Paladini, G.; Románszki, L.; Putz, A.M.; Almásy, L.; László, K.; Bálint, S.; Krajnc, A.; Kriechbaum, M.; Kuncser, A.; et al. Physicochemical Characterization and Drug Release Properties of Methyl-Substituted Silica Xerogels Made Using Sol–Gel Process. Int. J. Mol. Sci. 2021, 22, 9197. [Google Scholar] [CrossRef]
- Smith, D.M.; Stein, D.; Anderson, J.M.; Ackerman, W. Preparation of Low-Density Xerogels at Ambient Pressure. J. Non Cryst. Solids 1995, 186, 104–112. [Google Scholar] [CrossRef]
- Bhagat, S.D.; Rao, A.V. Surface Chemical Modification of TEOS Based Silica Aerogels Synthesized by Two Step (Acid-Base) Sol-Gel Process. Appl. Surf. Sci. 2006, 252, 4289–4297. [Google Scholar] [CrossRef]
- Rao, A.P.; Rao, A.V.; Pajonk, G.M. Hydrophobic and Physical Properties of the Ambient Pressure Dried Silica Aerogels with Sodium Silicate Precursor Using Various Surface Modification Agents. Appl. Surf. Sci. 2007, 253, 6032–6040. [Google Scholar] [CrossRef]
- Kanamori, K.; Aizawa, M.; Nakanishi, K.; Hanada, T. Elastic Organic-Inorganic Hybrid Aerogels and Xerogels. J. Sol-Gel Sci. Technol. 2008, 48, 172–181. [Google Scholar] [CrossRef]
- Bhagat, S.D.; Oh, C.S.; Kim, Y.H.; Ahn, Y.S.; Yeo, J.G. Methyltrimethoxysilane Based Monolithic Silica Aerogels via Ambient Pressure Drying. Microporous Mesoporous Mater. 2007, 100, 350–355. [Google Scholar] [CrossRef]
- Çok, S.S.; Gizli, N. Hydrophobic Silica Aerogels Synthesized in Ambient Conditions by Preserving the Pore Structure via Two-Step Silylation. Ceram. Int. 2020, 46, 27789–27799. [Google Scholar] [CrossRef]
- Dudás, Z.; Len, A.; Ianăși, C.; Paladini, G. Structural Modifications Caused by the Increasing MTES Amount in Hybrid MTES/TEOS-Based Silica Xerogels. Mater. Charact. 2020, 167, 33–36. [Google Scholar] [CrossRef]
- Lee, K.J.; Lee, J.M.; Nam, K.S.; Hwang, H. Thermal Gelation for Synthesis of Surface-Modified Silica Aerogel Powders. Gels 2021, 7, 242. [Google Scholar] [CrossRef] [PubMed]
- Yun, S.; Luo, H.; Gao, Y. Superhydrophobic Silica Aerogel Microspheres from Methyltrimethoxysilane: Rapid Synthesis via Ambient Pressure Drying and Excellent Absorption Properties. RSC Adv. 2014, 4, 4535–4542. [Google Scholar] [CrossRef]
- Rao, A.V.; Pajonk, G.M.; Bhagat, S.D.; Barboux, P. Comparative Studies on the Surface Chemical Modification of Silica Aerogels Based on Various Organosilane Compounds of the Type R NSiX4-N. J. Non Cryst. Solids 2004, 350, 216–223. [Google Scholar] [CrossRef]
- Mahadik, S.A.; Pedraza, F.; Parale, V.G.; Park, H.H. Organically Modified Silica Aerogel with Different Functional Silylating Agents and Effect on Their Physico-Chemical Properties. J. Non Cryst. Solids 2016, 453, 164–171. [Google Scholar] [CrossRef]
- Shewale, P.M.; Rao, A.V.; Rao, A.P. Effect of Different Trimethyl Silylating Agents on the Hydrophobic and Physical Properties of Silica Aerogels. Appl. Surf. Sci. 2008, 254, 6902–6907. [Google Scholar] [CrossRef]
- Rao, A.V.; Kulkarni, M.M.; Amalnerkar, D.P.; Seth, T. Superhydrophobic Silica Aerogels Based on Methyltrimethoxysilane Precursor. J. Non Cryst. Solids 2003, 330, 187–195. [Google Scholar] [CrossRef]
- Xu, B.; Cai, J.Y.; Xie, Z.; Wang, L.; Burgar, I.; Finn, N.; Cai, Z.; Wong, L. An Improved Method for Preparing Monolithic Aerogels Based on Methyltrimethoxysilane at Ambient Pressure Part II: Microstructure and Performance of the Aerogels. Microporous Mesoporous Mater. 2012, 148, 152–158. [Google Scholar] [CrossRef]
- Lei, C.; Hu, Z.; Zhang, Y.; Yang, H.; Li, J.; Hu, S. Tailoring Structural and Physical Properties of Polymethylsilsesquioxane Aerogels by Adjusting NH3·H2O Concentration. Microporous Mesoporous Mater. 2018, 258, 236–243. [Google Scholar] [CrossRef]
- Venkateswara Rao, A.; Bhagat, S.D.; Hirashima, H.; Pajonk, G.M. Synthesis of Flexible Silica Aerogels Using Methyltrimethoxysilane (MTMS) Precursor. J. Colloid Interface Sci. 2006, 300, 279–285. [Google Scholar] [CrossRef] [PubMed]
- Yang, Z.; Yu, H.; Li, X.; Ding, H.; Ji, H. Hyperelastic and Hydrophobic Silica Aerogels with Enhanced Compressive Strength by Using VTES/MTMS as Precursors. J. Non Cryst. Solids 2019, 525, 119677. [Google Scholar] [CrossRef]
- Yue, X.; Chen, J.; Li, H.; Xiao, Z.; Yu, X.; Xiang, J. One Pot Rapid Synthesis of Ultra High Strength Hydrophobic Bulk Silica Aerogels. Mater. Chem. Front. 2020, 4, 2418–2427. [Google Scholar] [CrossRef]
- Luo, Y.; Li, Z.; Zhang, W.; Yan, H.; Wang, Y.; Li, M.; Liu, Q. Rapid Synthesis and Characterization of Ambient Pressure Dried Monolithic Silica Aerogels in Ethanol/Water Co-Solvent System. J. Non Cryst. Solids 2019, 503–504, 214–223. [Google Scholar] [CrossRef]
- Xu, B.; Cai, J.Y.; Finn, N.; Cai, Z. An Improved Method for Preparing Monolithic Aerogels Based on Methyltrimethoxysilane at Ambient Pressure Part I: Process Development and Macrostructures of the Aerogels. Microporous Mesoporous Mater. 2012, 148, 145–151. [Google Scholar] [CrossRef]
- Li, T.; Du, A.; Zhang, T.; Ding, W.; Liu, M.; Shen, J.; Zhang, Z.; Zhou, B. Efficient Preparation of Crack-Free, Low-Density and Transparent Polymethylsilsesquioxane Aerogels: Via Ambient Pressure Drying and Surface Modification. RSC Adv. 2018, 8, 17967–17975. [Google Scholar] [CrossRef] [PubMed]
- Yan, X.; Hu, X.; Komarneni, S. Facile Synthesis of Mesoporous MOF/Silica Composites. RSC Adv. 2014, 4, 57501–57504. [Google Scholar] [CrossRef]
- Zu, G.; Kanamori, K.; Wang, X.; Nakanishi, K.; Shen, J. Superelastic Triple-Network Polyorganosiloxane-Based Aerogels as Transparent Thermal Superinsulators and Efficient Separators. Chem. Mater. 2020, 32, 1595–1604. [Google Scholar] [CrossRef]
- Ding, J.; Zhong, K.; Liu, S.; Wu, X.; Shen, X.; Cui, S.; Chen, X. Flexible and Super Hydrophobic Polymethylsilsesquioxane Based Silica Aerogel for Organic Solvent Adsorption via Ambient Pressure Drying Technique. Powder Technol. 2020, 373, 716–726. [Google Scholar] [CrossRef]
- Wu, X.; Zhong, K.; Ding, J.; Shen, X.; Cui, S.; Zhong, Y.; Ma, J.; Chen, X. Facile Synthesis of Flexible and Hydrophobic Polymethylsilsesquioxane Based Silica Aerogel via the Co-Precursor Method and Ambient Pressure Drying Technique. J. Non Cryst. Solids 2020, 530, 119826. [Google Scholar] [CrossRef]
- He, S.; Chen, X. Flexible Silica Aerogel Based on Methyltrimethoxysilane with Improved Mechanical Property. J. Non Cryst. Solids 2017, 463, 6–11. [Google Scholar] [CrossRef]
- Gopal, N.O.; Narasimhulu, K.V.; Rao, J.L. EPR, Optical, Infrared and Raman Spectral Studies of Actinolite Mineral. Spectrochim. Acta-Part A Mol. Biomol. Spectrosc. 2004, 60, 2441–2448. [Google Scholar] [CrossRef]
- Cruz-Quesada, G.; Espinal-Viguri, M.; Garrido, J. Novel Silica Hybrid Xerogels Prepared by Co-Condensation of TEOS and ClPhTEOS: A Chemical and Morphological Study. Gels 2022, 8, 677. [Google Scholar] [CrossRef]
- Cruz-Quesada, G.; Espinal-Viguri, M.; López-Ramón, M.V.; Garrido, J.J. Hybrid Xerogels: Study of the Sol-Gel Process and Local Structure by Vibrational Spectroscopy. Polymers 2021, 13, 2082. [Google Scholar] [CrossRef]
- Das, G.; Mariotto, G.; Quaranta, A. Microstructural Evolution of Thermally Treated Low-Dielectric Constant SiOC:H Films Prepared by PECVD. J. Electrochem. Soc. 2006, 153, F46. [Google Scholar] [CrossRef]
- Stojanovic, A.; Paz Comesaña, S.; Rentsch, D.; Koebel, M.M.; Malfait, W.J. Ambient Pressure Drying of Silica Aerogels after Hydrophobization with Mono-, Di- and Tri-Functional Silanes and Mixtures Thereof. Microporous Mesoporous Mater. 2019, 284, 289–295. [Google Scholar] [CrossRef]
- Li, J.; Cao, J.; Huo, L.; He, X. One-Step Synthesis of Hydrophobic Silica Aerogel via in Situ Surface Modification. Mater. Lett. 2012, 87, 146–149. [Google Scholar] [CrossRef]
- Bauer, F.; Freyer, A.; Ernst, H.; Gläsel, H.J.; Mehnert, R. Application of Temperature-Programmed Oxidation, Multinuclear MAS NMR and DRIFT Spectroscopy to the Surface Characterization of Modified Silica Nanoparticles. Appl. Surf. Sci. 2001, 179, 118–121. [Google Scholar] [CrossRef]
- Li, Z.; Zhao, S.; Koebel, M.M.; Malfait, W.J. Silica Aerogels with Tailored Chemical Functionality. Mater. Des. 2020, 193, 108833. [Google Scholar] [CrossRef]
- Bauer, F.; Gläsel, H.J.; Decker, U.; Ernst, H.; Freyer, A.; Hartmann, E.; Sauerland, V.; Mehnert, R. Trialkoxysilane Grafting onto Nanoparticles for the Preparation of Clear Coat Polyacrylate Systems with Excellent Scratch Performance. Prog. Org. Coat. 2003, 47, 147–153. [Google Scholar] [CrossRef]
- Ehgartner, C.R.; Grandl, S.; Feinle, A.; Hüsing, N. Flexible Organofunctional Aerogels. Dalt. Trans. 2017, 46, 8809–8817. [Google Scholar] [CrossRef] [PubMed]
- Scherer, G.W.; Smith, D.M.; Stein, D. Deformation of Aerogels during Characterization. J. Non Cryst. Solids 1995, 186, 309–315. [Google Scholar] [CrossRef]
- Kanamori, K.; Kodera, Y.; Hayase, G.; Nakanishi, K.; Hanada, T. Transition from Transparent Aerogels to Hierarchically Porous Monoliths in Polymethylsilsesquioxane Sol-Gel System. J. Colloid Interface Sci. 2011, 357, 336–344. [Google Scholar] [CrossRef]
- Venkateswara Rao, A.; Haranath, D. Effect of Methyltrimethoxysilane as a Synthesis Component on the Hydrophobicity and Some Physical Properties of Silica Aerogels. Microporous Mesoporous Mater. 1999, 30, 267–273. [Google Scholar] [CrossRef]
- Shimizu, T.; Kanamori, K.; Nakanishi, K. Silicone-Based Organic–Inorganic Hybrid Aerogels and Xerogels. Chem.-A Eur. J. 2017, 23, 5176–5187. [Google Scholar] [CrossRef]
- Kanamori, K.; Nakanishi, K. Controlled Pore Formation in Organotrialkoxysilane-Derived Hybrids: From Aerogels to Hierarchically Porous Monoliths. Chem. Soc. Rev. 2011, 40, 754–770. [Google Scholar] [CrossRef]
- Kanamori, K.; Nakanishi, K.; Hanada, T. Spinodal Decomposition in Siloxane Sol-Gel Systems in Macroporous Media. Soft Matter 2009, 5, 3106–3113. [Google Scholar] [CrossRef]
- Khanmohammadi Chenab, K.; Sohrabi, B.; Rahmanzadeh, A. Superhydrophobicity: Advanced Biological and Biomedical Applications. Biomater. Sci. 2019, 7, 3110–3137. [Google Scholar] [CrossRef] [PubMed]
- Lamy-Mendes, A.; Girão, A.V.; Silva, R.F.; Durães, L. Polysilsesquioxane-Based Silica Aerogel Monoliths with Embedded CNTs. Microporous Mesoporous Mater. 2019, 288, 109575. [Google Scholar] [CrossRef]









| Sample ID | Surface Area, m2/g | Ave. Pore Diameter, nm | Total Pore Volume, cm3/g | Experimental Bulk Density, g/cm3 | Porosity, % | % of Linear Shrinkage | ||
|---|---|---|---|---|---|---|---|---|
| SBET | dp,BET | dp * | Vp,BET | Vp * | ρb | |||
| MT-100-S | 39 | 1.4 | 1014 | 0.12 | 9.89 | 0.096 | 95 | 2.86 |
| MT-75-S | 302 | 11 | 100 | 0.99 | 7.57 | 0.121 | 92 | 3.57 |
| MT-50-S | 613 | 1.7 | 34 | 4.25 | 5.32 | 0.166 | 88 | - |
| MT-25-S | 844 | 1.4 | 24 | 4.05 | 5.06 | 0.173 | 87 | - |
| MT-100 | 11 | 2.5 | 5318 | 0.03 | 14.63 | 0.066 | 97 | 6.07 |
| MT-75 | 382 | 5.8 | 82 | 0.57 | 7.85 | 0.117 | 92 | 7.14 |
| MT-50 | 729 | 2.8 | 20 | 2.11 | 3.74 | 0.225 | 84 | - |
| MT-25 | 948 | 1.4 | 10 | 0.67 | 2.42 | 0.320 | 78 | - |
Disclaimer/Publisher’s Note: The statements, opinions and data contained in all publications are solely those of the individual author(s) and contributor(s) and not of MDPI and/or the editor(s). MDPI and/or the editor(s) disclaim responsibility for any injury to people or property resulting from any ideas, methods, instructions or products referred to in the content. |
© 2022 by the authors. Licensee MDPI, Basel, Switzerland. This article is an open access article distributed under the terms and conditions of the Creative Commons Attribution (CC BY) license (https://creativecommons.org/licenses/by/4.0/).
Share and Cite
Sert Çok, S.; Koç, F.; Dudás, Z.; Gizli, N. The Methyl Functionality of Monolithic Silica Xerogels Synthesized via the Co-Gelation Approach Combined with Surface Silylation. Gels 2023, 9, 33. https://doi.org/10.3390/gels9010033
Sert Çok S, Koç F, Dudás Z, Gizli N. The Methyl Functionality of Monolithic Silica Xerogels Synthesized via the Co-Gelation Approach Combined with Surface Silylation. Gels. 2023; 9(1):33. https://doi.org/10.3390/gels9010033
Chicago/Turabian StyleSert Çok, Selay, Fatoş Koç, Zoltán Dudás, and Nilay Gizli. 2023. "The Methyl Functionality of Monolithic Silica Xerogels Synthesized via the Co-Gelation Approach Combined with Surface Silylation" Gels 9, no. 1: 33. https://doi.org/10.3390/gels9010033
APA StyleSert Çok, S., Koç, F., Dudás, Z., & Gizli, N. (2023). The Methyl Functionality of Monolithic Silica Xerogels Synthesized via the Co-Gelation Approach Combined with Surface Silylation. Gels, 9(1), 33. https://doi.org/10.3390/gels9010033

