Do Red Seaweed Nanoparticles Enhance Bioremediation Capacity of Toxic Dyes from Aqueous Solution?
Abstract
1. Introduction
2. Results and Discussion
2.1. Adsorbent Characterization
2.1.1. FTIR Spectra
2.1.2. Scanning Electron Micrograph
2.1.3. UV–Vis Absorption Spectrum Properties
2.1.4. BET Examination
2.2. Factors Influencing Batch Adsorption
2.2.1. Initial IV2R Concentrations
2.2.2. Initial Adsorbent (P. Capillacea Nanoparticles) Doses
2.2.3. Initial Temperature
2.2.4. Initial Contact Time
2.2.5. Initial pH
2.3. Equilibrium Studies
2.4. Error Functions Studies
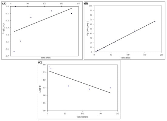
2.5. Kinetic Studies
2.6. Adsorption of Thermodynamics
2.7. Proposed Adsorption Mechanism
2.8. Comparison with Other Adsorbents
3. Conclusions
4. Materials and Methods
4.1. Adsorbent Preparation
4.2. Dye Preparation
4.3. Batch Adsorption Experiments
4.4. Characterization of Adsorbent Material
4.4.1. Fourier Transform Infrared Spectroscopy (FTIR)
4.4.2. Scanning Electron Microscopy (SEM)
4.4.3. Brunauer Emmett Teller (BET)
4.4.4. Ultraviolet Spectra (UV)
4.5. Statistical Evaluation of the Isotherm Parameters
ε = RT Ln (1 + 1/Ce)
4.6. Error Analysis
4.7. Hybrid Fractional Error (HYBRID)
4.8. The Root Mean Square Errors (RMS)
4.9. Sum of the Squares of The Errors (ERRSQ)
4.10. Adsorption Thermodynamics
Author Contributions
Funding
Institutional Review Board Statement
Informed Consent Statement
Data Availability Statement
Acknowledgments
Conflicts of Interest
References
- Abate, G.Y.; Alene, A.N.; Habte, A.T.; Getahun, D.M. Adsorptive removal of malachite green dye from aqueous solution onto activated carbon of Catha edulis stem as a low cost bio-adsorbent. Environ. Syst. Res. 2020, 9, 1–13. [Google Scholar] [CrossRef]
- El-Sikaily, A.; El Nemr, A.; Khaled, A. Copper sorption onto dried red alga Pterocladia capillacea and its activated carbon. Chem. Eng. J. 2011, 168, 707–714. [Google Scholar] [CrossRef]
- Alprol, A.E.; Ashour, M.; Mansour, A.T.; Alzahrani, O.M.; Mahmoud, S.F.; Gharib, S.M. Assessment of Water Quality and Phytoplankton Structure of Eight Alexandria Beaches, Southeastern Mediterranean Sea, Egypt. J. Mar. Sci. Eng. 2021, 9, 1328. [Google Scholar] [CrossRef]
- Alprol, A.E.; Heneash, A.M.M.; Soliman, A.M.; Ashour, M.; Alsanie, W.F.; Gaber, A.; Mansour, A.T. Assessment of Water Quality, Eutrophication, and Zooplankton Community in Lake Burullus, Egypt. Diversity 2021, 13, 268. [Google Scholar] [CrossRef]
- Alprol, A. Study of environmental concerns of dyes and recent textile effluents treatment technology: A review. Asian J. Fish. Aquat. Res. 2019, 3, 1–18. [Google Scholar] [CrossRef]
- Abo-Taleb, H.A.; El-feky, M.M.; Azab, A.M.; Mabrouk, M.M.; Elokaby, M.A.; Ashour, M.; Mansour, A.T.; Abdelzaher, O.F.; Abualnaja, K.M.; Sallam, A.E. Growth performance, feed utilization, gut integrity, and economic revenue of grey mullet, Mugil cephalus, fed an increasing level of dried zooplankton biomass meal as fishmeal substitutions. Fishes 2021, 6, 38. [Google Scholar] [CrossRef]
- Campbell, A.C.; Gorringe, R. The Hamlyn Guide to the Flora and Fauna of the Mediterranean Sea; Hamlyn: London, UK, 1982. [Google Scholar]
- Alprol, A.E.; Heneash, A.M.M.; Ashour, M.; Abualnaja, K.M.; Alhashmialameer, D.; Mansour, A.T.; Sharawy, Z.Z.; Abu-Saied, M.A.; Abomohra, A.E. Potential Applications of Arthrospira platensis Lipid-Free Biomass in Bioremediation of Organic Dye from Industrial Textile Effluents and Its Influence on Marine Rotifer (Brachionus plicatilis). Materials 2021, 14, 4446. [Google Scholar] [CrossRef]
- Ng, J.; Cheung, W.; McKay, G. Equilibrium studies of the sorption of Cu (II) ions onto chitosan. J. Colloid Interface Sci. 2002, 255, 64–74. [Google Scholar] [CrossRef]
- Ghoneim, M.M.; El-Desoky, H.S.; El-Moselhy, K.M.; Amer, A.; Abou El-Naga, E.H.; Mohamedein, L.I.; Al-Prol, A.E. Removal of cadmium from aqueous solution using marine green algae, Ulva lactuca. Egypt. J. Aquat. Res. 2014, 40, 235–242. [Google Scholar] [CrossRef]
- Dutta, D.P.; Venugopalan, R.; Chopade, S. Manipulating carbon nanotubes for efficient removal of both cationic and anionic dyes from wastewater. ChemistrySelect 2017, 2, 3878–3888. [Google Scholar] [CrossRef]
- Celekli, A.; Yavuzatmaca, M.; Bozkurt, H. Kinetic and equilibrium studies on the adsorption of reactive red 120 from aqueous solution on Spirogyra majuscula. Chem. Eng. J. 2009, 152, 139–145. [Google Scholar] [CrossRef]
- Al-Rub, F.A.; El-Naas, M.; Ashour, I.; Al-Marzouqi, M. Biosorption of copper on Chlorella vulgaris from single, binary and ternary metal aqueous solutions. Process Biochem. 2006, 41, 457–464. [Google Scholar] [CrossRef]
- Pereira, L.; Sousa, A.; Coelho, H.; Amado, A.M.; Ribeiro-Claro, P.J. Use of FTIR, FT-Raman and 13C-NMR spectroscopy for identification of some seaweed phycocolloids. Biomol. Eng. 2003, 20, 223–228. [Google Scholar] [CrossRef]
- Celekli, A.; Yavuzatmaca, M.; Bozkurt, H. An eco-friendly process: Predictive modelling of copper adsorption from aqueous solution on Spirulina platensis. J. Hazard. Mater. 2010, 173, 123–129. [Google Scholar] [CrossRef]
- Abomohra, A.E.-F.; Elshobary, M. Biodiesel, bioethanol, and biobutanol production from microalgae. Microalgae Biotechnol. Dev. Biofuel Wastewater Treat. 2019, 293–321. [Google Scholar] [CrossRef]
- Ashour, M.; Elshobary, M.E.; El-Shenody, R.; Kamil, A.-W.; Abomohra, A.E.-F. Evaluation of a native oleaginous marine microalga Nannochloropsis oceanica for dual use in biodiesel production and aquaculture feed. Biomass Bioenergy 2019, 120, 439–447. [Google Scholar] [CrossRef]
- Elshobary, M.E.; Abdelsalam, I.; Eladawy, M.; Nagah, M. Utilization of multi-tasking non-edible plants for phytoremediation and bioenergy source. Phyton Int. J. Exp. Bot. 2019, 88, 69–90. [Google Scholar]
- Elshobary, M.E.; El-Shenody, R.A.; Ashour, M.; Zabed, H.M.; Qi, X. Antimicrobial and antioxidant characterization of bioactive components from Chlorococcum minutum. Food Biosci. 2020, 35, 100567. [Google Scholar] [CrossRef]
- Huo, S.; Basheer, S.; Liu, F.; Elshobary, M.; Zhang, C.; Qian, J.; Xu, L.; Arslan, M.; Cui, F.; Zan, X. Bacterial intervention on the growth, nutrient removal and lipid production of filamentous oleaginous microalgae Tribonema sp. Algal Res. 2020, 52, 102088. [Google Scholar] [CrossRef]
- Elshobary, M.E.; Abo-Shady, A.M.; Khairy, H.M.; Essa, D.; Zabed, H.M.; Qi, X.; Abomohra, A.E.-F. Influence of nutrient supplementation and starvation conditions on the biomass and lipid productivities of Micractinium reisseri grown in wastewater for biodiesel production. J. Environ. Manag. 2019, 250, 109529. [Google Scholar] [CrossRef]
- El-Shouny, W.; Sharaf, M.; Abomohra, A.; Abo-Eleneen, M. Production enhancement of some valuable compounds of Arthrospira Platensis. J. Basic Environ. Sci. 2015, 2, 74–83. [Google Scholar]
- Osman, M.E.; Abo-Shady, A.M.; Elshobary, M.E.; Abd El-Ghafar, M.O.; Abomohra, A.E.-F. Screening of seaweeds for sustainable biofuel recovery through sequential biodiesel and bioethanol production. Environ. Sci. Pollut. Res. 2020, 27, 32481–32493. [Google Scholar] [CrossRef] [PubMed]
- Shao, W.; Ebaid, R.; El-Sheekh, M.; Abomohra, A.; Eladel, H. Pharmaceutical applications and consequent environmental impacts of Spirulina (Arthrospira): An overview. Grasas Y Aceites 2019, 70, e292. [Google Scholar] [CrossRef]
- Abomohra, A.E.F.; Jin, W.; Sagar, V.; Ismail, G.A. Optimization of chemical flocculation of Scenedesmus obliquus grown on municipal wastewater for improved biodiesel recovery. Renew. Energy 2018, 115, 880–886. [Google Scholar] [CrossRef]
- Metwally, A.S.; El-Naggar, H.A.; El-Damhougy, K.A.; Bashar, M.A.E.; Ashour, M.; Abo-Taleb, H.A.H. GC-MS analysis of bioactive components in six different crude extracts from the Soft Coral (Sinularia maxim) collected from Ras Mohamed, Aqaba Gulf, Red Sea, Egypt. Egypt. J. Aquat. Biol. Fish. 2020, 24, 425–434. [Google Scholar] [CrossRef]
- El-Sheekh, M.M.; Gharieb, M.; Abou-El-Souod, G. Biodegradation of dyes by some green algae and cyanobacteria. Int. Biodeterior. Biodegrad. 2009, 63, 699–704. [Google Scholar] [CrossRef]
- Khalaf, M.A. Biosorption of reactive dye from textile wastewater by non-viable biomass of Aspergillus niger and Spirogyra sp. Bioresour. Technol. 2008, 99, 6631–6634. [Google Scholar] [CrossRef]
- Kumar, Y.P.; King, P.; Prasad, V. Removal of copper from aqueous solution using Ulva fasciata sp.—a marine green algae. J. Hazard. Mater. 2006, 137, 367–373. [Google Scholar] [CrossRef]
- Mehrotra, T.; Dev, S.; Banerjee, A.; Chatterjee, A.; Singh, R.; Aggarwal, S. Use of immobilized bacteria for environmental bioremediation: A review. J. Environ. Chem. Eng. 2021, 9, 105920. [Google Scholar] [CrossRef]
- Mansour, A.T.; Alprol, A.E.; Abualnaja, K.M.; El-Beltagi, H.S.; Ramadan, K.M.A.; Ashour, M. Dried Brown Seaweed’s Phytoremediation Potential for Methylene Blue Dye Removal from Aquatic Environments. Polymers 2022, 14, 1375. [Google Scholar] [CrossRef]
- Ashour, M.; El-Shafei, A.A.; Khairy, H.M.; Abd-Elkader, D.Y.; Mattar, M.A.; Alataway, A.; Hassan, S.M. Effect of Pterocladia capillacea Seaweed Extracts on Growth Parameters and Biochemical Constituents of Jew’s Mallow. Agronomy 2020, 10, 420. [Google Scholar] [CrossRef]
- Ashour, M.; Hassan, S.M.; Elshobary, M.E.; Ammar, G.A.G.; Gaber, A.; Alsanie, W.F.; Mansour, A.T.; El-Shenody, R. Impact of Commercial Seaweed Liquid Extract (TAM®) Biostimulant and Its Bioactive Molecules on Growth and Antioxidant Activities of Hot Pepper (Capsicum annuum). Plants 2021, 10, 1045. [Google Scholar] [CrossRef]
- Hassan, S.M.; Ashour, M.; Sakai, N.; Zhang, L.; Hassanien, H.A.; Gaber, A.; Ammar, G. Impact of Seaweed Liquid Extract Biostimulant on Growth, Yield, and Chemical Composition of Cucumber (Cucumis sativus). Agriculture 2021, 11, 320. [Google Scholar] [CrossRef]
- Hassan, S.M.; Ashour, M.; Soliman, A.A.F.; Hassanien, H.A.; Alsanie, W.F.; Gaber, A.; Elshobary, M.E. The Potential of a New Commercial Seaweed Extract in Stimulating Morpho-Agronomic and Bioactive Properties of Eruca vesicaria (L.) Cav. Sustainability 2021, 13, 4485. [Google Scholar] [CrossRef]
- Ashour, M.; Mabrouk, M.M.; Abo-Taleb, H.A.; Sharawy, Z.Z.; Ayoub, H.F.; Van Doan, H.; Davies, S.J.; El-Haroun, E.; Goda, A.M.S.A. A liquid seaweed extract (TAM®) improves aqueous rearing environment, diversity of zooplankton community, whilst enhancing growth and immune response of Nile tilapia, Oreochromis niloticus, challenged by Aeromonas hydrophila. Aquaculture 2021, 543, 736915. [Google Scholar] [CrossRef]
- Ashour, M.; Mabrouk, M.M.; Ayoub, H.F.; El-Feky, M.M.M.M.; Zaki, S.Z.; Hoseinifar, S.H.; Rossi, W.; Van Doan, H.; El-Haroun, E.; Goda, A.M.A.S. Effect of dietary seaweed extract supplementation on growth, feed utilization, hematological indices, and non-specific immunity of Nile Tilapia, Oreochromis niloticus challenged with Aeromonas hydrophila. J. Appl. Phycol. 2020, 32, 3467–3479. [Google Scholar] [CrossRef]
- El Nemr, A.; Khaled, A.; Abdelwahab, O.; El-Sikaily, A. Treatment of wastewater containing toxic chromium using new activated carbon developed from date palm seed. J. Hazard. Mater. 2008, 152, 263–275. [Google Scholar] [CrossRef]
- Ismail, G.A.; Allam, N.G.; El-Gemizy, W.M.; Salem, M.A. The role of silver nanoparticles biosynthesized by Anabaena variabilis and Spirulina platensis cyanobacteria for malachite green removal from wastewater. Environ. Technol. 2021, 42, 4475–4489. [Google Scholar] [CrossRef]
- Mabrouk, M.M.; Ashour, M.; Labena, A.; Zaki, M.A.A.; Abdelhamid, A.F.; Gewaily, M.S.; Dawood, M.A.O.; Abualnaja, K.M.; Ayoub, H.F. Nanoparticles of Arthrospira platensis improves growth, antioxidative and immunological responses of Nile tilapia (Oreochromis niloticus) and its resistance to Aeromonas hydrophila. Aquac. Res. 2022, 53, 125–135. [Google Scholar] [CrossRef]
- Sharawy, Z.Z.; Ashour, M.; Labena, A.; Alsaqufi, A.S.; Mansour, A.T.; Abbas, E. Effects of dietary Arthrospira platensis nanoparticles on growth performance, feed utilization, and growth-related gene expression of Pacific white shrimp, Litopenaeus vannamei. Aquaculture 2022, 551, 737905. [Google Scholar] [CrossRef]
- Salem, D.M.; Ismail, M.M.; Aly-Eldeen, M.A. Biogenic synthesis and antimicrobial potency of iron oxide (Fe3O4) nanoparticles using algae harvested from the Mediterranean Sea, Egypt. Egypt. J. Aquat. Res. 2019, 45, 197–204. [Google Scholar] [CrossRef]
- El Kassas, H.Y.; Attia, A.A. Bactericidal application and cytotoxic activity of biosynthesized silver nanoparticles with an extract of the red seaweed Pterocladiella capillacea on the HepG 2 cell line. Asian Pac. J. Cancer Prev. 2014, 15, 1299–1306. [Google Scholar] [CrossRef] [PubMed]
- Aboeita, N.M.; Fahmy, S.A.; El-Sayed, M.M.; Azzazy, H.M.E.-S.; Shoeib, T. Enhanced Anticancer Activity of Nedaplatin Loaded onto Copper Nanoparticles Synthesized Using Red Algae. Pharmaceutics 2022, 14, 418. [Google Scholar] [CrossRef] [PubMed]
- Kaur, P.J.; Kaushik, G.; Siddiqui, R.; Goyal, P.K. Biomedical applications of some green synthesized metal nanomaterials. In Green Nanomaterials for Industrial Applications; Elsevier: Amsterdam, The Netherlands, 2022; pp. 71–91. [Google Scholar] [CrossRef]
- El-Naggar, N.E.-A.; Hamouda, R.A.; Mousa, I.E.; Abdel-Hamid, M.S.; Rabei, N.H. Biosorption optimization, characterization, immobilization and application of Gelidium amansii biomass for complete Pb2+ removal from aqueous solutions. Sci. Rep. 2018, 8, 13456. [Google Scholar] [CrossRef] [PubMed]
- Romera, E.; González, F.; Ballester, A.; Blázquez, M.; Munoz, J. Comparative study of biosorption of heavy metals using different types of algae. Bioresour. Technol. 2007, 98, 3344–3353. [Google Scholar] [CrossRef]
- Al-Sultani Kadhim, F.; Al-Seroury, F. Characterization the removal of phenol from aqueous solution in fluidized bed column by rice husk adsorbent. Res. J. Recent Sci. ISSN 2012, 2277, 2502. [Google Scholar]
- Padilha, F.P.; de França, F.P.; da Costa, A.C.A. The use of waste biomass of Sargassum sp. for the biosorption of copper from simulated semiconductor effluents. Bioresour. Technol. 2005, 96, 1511–1517. [Google Scholar] [CrossRef]
- Villaescusa, I.; Fiol, N.; Martínez, M.A.; Miralles, N.; Poch, J.; Serarols, J. Removal of copper and nickel ions from aqueous solutions by grape stalks wastes. Water Res. 2004, 38, 992–1002. [Google Scholar] [CrossRef]
- Abualnaja, K.M.; Alprol, A.E.; Abu-Saied, M.A.; Mansour, A.T.; Ashour, M. Studying the Adsorptive Behavior of Poly(Acrylonitrile-co-Styrene) and Carbon Nanotubes (Nanocomposites) Impregnated with Adsorbent Materials towards Methyl Orange Dye. Nanomaterials 2021, 11, 1144. [Google Scholar] [CrossRef]
- Abualnaja, K.M.; Alprol, A.E.; Ashour, M.; Mansour, A.T. Influencing Multi-Walled Carbon Nanotubes for the Removal of Ismate Violet 2R Dye from Wastewater: Isotherm, Kinetics, and Thermodynamic Studies. Appl. Sci. 2021, 11, 4786. [Google Scholar] [CrossRef]
- Anand, M.; Suresh, S. Marine seaweed Sargassum wightii extract as a low-cost sensitizer for ZnO photoanode based dye-sensitized solar cell. Adv. Nat. Sci. Nanosci. Nanotechnol. 2015, 6, 035008. [Google Scholar] [CrossRef]
- Rajeswari, R.; Jeyaprakash, K. Bioactive potential analysis of brown seaweed Sargassum wightii using UV-VIS and FT-IR. J. Drug Deliv. Ther. 2019, 9, 150–153. [Google Scholar] [CrossRef][Green Version]
- Sofowora, A. Medicinal Plants and Traditional Medicine in Africa; Karthala: Paris, France, 1996. [Google Scholar]
- Carneiro, P.A.; Osugi, M.E.; Fugivara, C.l.S.; Boralle, N.; Furlan, M.; Zanoni, M.V.B. Evaluation of different electrochemical methods on the oxidation and degradation of Reactive Blue 4 in aqueous solution. Chemosphere 2005, 59, 431–439. [Google Scholar] [CrossRef]
- Dixon, J.M.; Taniguchi, M.; Lindsey, J.S. PhotochemCAD 2: A refined program with accompanying spectral databases for photochemical calculations. Photochem. Photobiol. 2005, 81, 212–213. [Google Scholar] [CrossRef]
- Du, H.; Fuh, R.C.A.; Li, J.; Corkan, L.A.; Lindsey, J.S. PhotochemCAD‡: A computer-aided design and research tool in photochemistry. Photochem. Photobiol. 1998, 68, 141–142. [Google Scholar]
- Láng, L. Absorption Spectra in the Ultraviolet and Visible Region; Academic Press: Cambridge, MA, USA, 1961. [Google Scholar]
- Sulaymon, A.H.; Abood, W.M.; Al-Musawi, T.J.; Ali, D. Single and binary adsorption of reactive blue and red dyes onto activated carbon. Int. J. Eng. Innov. Res. 2014, 3, 642. [Google Scholar]
- Raval, N.P.; Shah, P.U.; Shah, N.K. Nanoparticles loaded biopolymer as effective adsorbent for adsorptive removal of malachite green from aqueous solution. Water Conserv. Sci. Eng. 2016, 1, 69–81. [Google Scholar] [CrossRef]
- Mondal, N.K.; Kar, S. Potentiality of banana peel for removal of Congo red dye from aqueous solution: Isotherm, kinetics and thermodynamics studies. Appl. Water Sci. 2018, 8, 157. [Google Scholar] [CrossRef]
- Idris, M.N.; Ahmad, Z.A.; Ahmad, M.A. Adsorption equilibrium of malachite green dye onto rubber seed coat based activated carbon. Int. J. Basic Appl. Sci. 2011, 11, 38–43. [Google Scholar]
- Lee, S.-L.; Park, J.-H.; Kim, S.-H.; Kang, S.-W.; Cho, J.-S.; Jeon, J.-R.; Lee, Y.-B.; Seo, D.-C. Sorption behavior of malachite green onto pristine lignin to evaluate the possibility as a dye adsorbent by lignin. Appl. Biol. Chem. 2019, 62, 37. [Google Scholar] [CrossRef]
- Kareem, A.; Abd Alrazak, N.; Aljebori, K.H.; Aljebori, A.; Algboory, H.L.; Alkaim, A.F. Removal of methylene blue dye from aqueous solutions by using activated carbon/ureaformaldehyde composite resin as an adsorbent. Int. J. Chem. Sci. 2016, 14, 635–648. [Google Scholar]
- Li, Y.; Du, Q.; Liu, T.; Peng, X.; Wang, J.; Sun, J.; Wang, Y.; Wu, S.; Wang, Z.; Xia, Y. Comparative study of methylene blue dye adsorption onto activated carbon, graphene oxide, and carbon nanotubes. Chem. Eng. Res. Des. 2013, 91, 361–368. [Google Scholar] [CrossRef]
- Ho, Y.-S.; Chiang, T.-H.; Hsueh, Y.-M. Removal of basic dye from aqueous solution using tree fern as a biosorbent. Process Biochem. 2005, 40, 119–124. [Google Scholar] [CrossRef]
- Khattri, S.; Singh, M. Removal of malachite green from dye wastewater using neem sawdust by adsorption. J. Hazard. Mater. 2009, 167, 1089–1094. [Google Scholar] [CrossRef] [PubMed]
- Ai, L.; Zhang, C.; Liao, F.; Wang, Y.; Li, M.; Meng, L.; Jiang, J. Removal of methylene blue from aqueous solution with magnetite loaded multi-wall carbon nanotube: Kinetic, isotherm and mechanism analysis. J. Hazard. Mater. 2011, 198, 282–290. [Google Scholar] [CrossRef]
- Abdi, O.; Kazemi, M. A review study of biosorption of heavy metals and comparison between different biosorbents. J. Mater. Environ. Sci. 2015, 6, 1386–1399. [Google Scholar]
- Meena, A.K.; Mishra, G.; Rai, P.; Rajagopal, C.; Nagar, P. Removal of heavy metal ions from aqueous solutions using carbon aerogel as an adsorbent. J. Hazard. Mater. 2005, 122, 161–170. [Google Scholar] [CrossRef]
- Sarı, A.; Tuzen, M. Biosorption of cadmium (II) from aqueous solution by red algae (Ceramium virgatum): Equilibrium, kinetic and thermodynamic studies. J. Hazard. Mater. 2008, 157, 448–454. [Google Scholar] [CrossRef]
- Seow, T.W.; Lim, C.K. Removal of dye by adsorption: A review. Int. J. Appl. Eng. Res. 2016, 11, 2675–2679. [Google Scholar]
- Annadurai, G.; Krishnan, M. Adsorption of basic dye using chitin. Indian J. Environ. Protec 1996, 16, 444–449. [Google Scholar]
- Annadurai, G.; Krishnan, M. Adsorption of Acid Dye from Aqueous Solution by Chitin: Equilibrium Studies; NISCAIR-CSIR: Delhi, India, 1997. [Google Scholar]
- Deo, N.; Ali, M. Dye adsorption by a new low cost material: Congo red-1. Indian J. Environ. Prot. 1993, 13, 496–508. [Google Scholar]
- Yusoff, S.N.M.; Kamari, A.; Putra, W.P.; Ishak, C.F.; Mohamed, A.; Hashim, N.; Isa, I.M. Removal of Cu (II), Pb (II) and Zn (II) ions from aqueous solutions using selected agricultural wastes: Adsorption and characterisation studies. J. Environ. Prot. 2014, 5, 44123. [Google Scholar] [CrossRef]
- Fazal, A.; Rafique, U. Mechanistic understanding of cadmium sorption by sulfonated and esterified spent black tea. Int. J. 2012, 3, 230–237. [Google Scholar]
- El Nemr, A.; El Sikaily, A.; Khaled, A.; Abdelwahab, O. Removal of toxic chromium (VI) from aqueous solution by activated carbon using Casuarina equisetifolia. Chem. Ecol. 2007, 23, 119–129. [Google Scholar] [CrossRef]
- Salleh, M.A.M.; Mahmoud, D.K.; Karim, W.A.W.A.; Idris, A. Cationic and anionic dye adsorption by agricultural solid wastes: A comprehensive review. Desalination 2011, 280, 1–13. [Google Scholar] [CrossRef]
- Aksu, Z.; Tezer, S. Equilibrium and kinetic modelling of biosorption of Remazol Black B by Rhizopus arrhizus in a batch system: Effect of temperature. Process Biochem. 2000, 36, 431–439. [Google Scholar] [CrossRef]
- Garg, D. Adsorptive removal of dyes from aqueous solution using Cu-BTC and Commercial Activated Carbon. Bachelor’s Thesis, Department of Chemical Engineering, National Institute of Technology Rourkela, Rourkela, India, 2012. [Google Scholar]
- Khaled, A.; El Nemr, A.; El-Sikaily, A.; Abdelwahab, O. Treatment of artificial textile dye effluent containing Direct Yellow 12 by orange peel carbon. Desalination 2009, 238, 210–232. [Google Scholar] [CrossRef]
- Salar, R.K.; Rohilla, S.K.; Rohilla, J.K. Decolorization of reactive black HFGR by Aspergillus sulphureus. Ann. Biol. Res. 2012, 3, 3811–3817. [Google Scholar]
- Langmuir, I. The constitution and fundamental properties of solids and liquids. Part I. Solids. J. Am. Chem. Soc. 1916, 38, 2221–2295. [Google Scholar] [CrossRef]
- Freundlich, H. Lösungen. In Habilitationsschrift Durch Welche… zu Haltenden Probevorlesung” Kapillarchemie und Physiologie” Einladet Dr. Herbert Freundlich; W. Engelmann: Leipzig, Germany, 1906. [Google Scholar]
- Abdelwahab, O.; Amin, N. Adsorption of phenol from aqueous solutions by Luffa cylindrica fibers: Kinetics, isotherm and thermodynamic studies. Egypt. J. Aquat. Res. 2013, 39, 215–223. [Google Scholar] [CrossRef]
- Piccin, J.; Dotto, G.; Pinto, L. Adsorption isotherms and thermochemical data of FD&C Red n 40 binding by chitosan. Braz. J. Chem. Eng. 2011, 28, 295–304. [Google Scholar]
- Lagergren, S.K. About the theory of so-called adsorption of soluble substances. Sven. Vetenskapsakad. Handingarl 1898, 24, 1–39. [Google Scholar]
- Ho, Y.-S.; McKay, G. Pseudo-second order model for sorption processes. Process Biochem. 1999, 34, 451–465. [Google Scholar] [CrossRef]
- Boyd, G.; Schubert, J.; Adamson, A. The exchange adsorption of ions from aqueous solutions by organic zeolites. I. Ion-exchange equilibria1. J. Am. Chem. Soc. 1947, 69, 2818–2829. [Google Scholar] [CrossRef]
- Horsfall, M.J.; Spiff, A.I.; Abia, A. Studies on the influence of mercaptoacetic acid (MAA) modification of cassava (Manihot sculenta Cranz) waste biomass on the adsorption of Cu 2+ and Cd 2+ from aqueous solution. Bull. Korean Chem. Soc. 2004, 25, 969–976. [Google Scholar]
- Marungrueng, K.; Pavasant, P. High performance biosorbent (Caulerpa lentillifera) for basic dye removal. Bioresour. Technol. 2007, 98, 1567–1572. [Google Scholar] [CrossRef]
- Alprol, A.E.; El-Metwally, M.; Amer, A. Sargassum latifolium as eco-friendly materials for treatment of toxic nickel (II) and lead (II) ions from aqueous solution. Egypt. J. Aquat. Biol. Fish. 2019, 23, 285–299. [Google Scholar] [CrossRef]
- Daneshvar, E.; Vazirzadeh, A.; Niazi, A.; Sillanpää, M.; Bhatnagar, A. A comparative study of methylene blue biosorption using different modified brown, red and green macroalgae–Effect of pretreatment. Chem. Eng. J. 2017, 307, 435–446. [Google Scholar] [CrossRef]
- Murphy, V.; Hughes, H.; McLoughlin, P. Comparative study of chromium biosorption by red, green and brown seaweed biomass. Chemosphere 2008, 70, 1128–1134. [Google Scholar] [CrossRef]
- Çelekli, A.; İlgün, G.; Bozkurt, H. Sorption equilibrium, kinetic, thermodynamic, and desorption studies of Reactive Red 120 on Chara contraria. Chem. Eng. J. 2012, 191, 228–235. [Google Scholar] [CrossRef]
- Ahmadi, S.; Mohammadi, L.; Rahdar, A.; Rahdar, S.; Dehghani, R.; Adaobi Igwegbe, C.; Kyzas, G.Z. Acid dye removal from aqueous solution by using neodymium (III) oxide nanoadsorbents. Nanomaterials 2020, 10, 556. [Google Scholar] [CrossRef]
- Ashour, M.; Alprol, A.E.; Heneash, A.M.M.; Saleh, H.; Abualnaja, K.M.; Alhashmialameer, D.; Mansour, A.T. Ammonia Bioremediation from Aquaculture Wastewater Effluents Using Arthrospira platensis NIOF17/003: Impact of Biodiesel Residue and Potential of Ammonia-Loaded Biomass as Rotifer Feed. Materials 2021, 14, 5460. [Google Scholar] [CrossRef]
- Menkiti, M.; Aniagor, C.; Agu, C.; Ugonabo, V. Effective adsorption of crystal violet dye from an aqueous solution using lignin-rich isolate from elephant grass. Water Conserv. Sci. Eng. 2018, 3, 33–46. [Google Scholar] [CrossRef]
- Foo, K.Y.; Hameed, B.H. Insights into the modeling of adsorption isotherm systems. Chem. Eng. J. 2010, 156, 2–10. [Google Scholar] [CrossRef]
- Babarinde, N.A.; Oyesiku, O.; Dairo, O.F. Isotherm and thermodynamic studies of the biosorption of copper (II) ions by Eythrodontium barteri. Int. J. Phys. Sci. 2007, 2, 300–304. [Google Scholar]
- Potgieter, J.; Pearson, S.; Pardesi, C. Kinetic and thermodynamic parameters for the adsorption of methylene blue using fly ash under batch, column, and heap leaching configurations. Coal Combust. Gasif. Prod. 2018, 10, 23–33. [Google Scholar]
- Alardhi, S.M.; Alrubaye, J.M.; Albayati, T.M. Adsorption of Methyl Green dye onto MCM-41: Equilibrium, kinetics and thermodynamic studies. Desalin. Water Treat. 2020, 179, 323–331. [Google Scholar] [CrossRef]













| Before Adsorption | After Adsorption | |||
|---|---|---|---|---|
| Wave number (cm−1) | Annotations | Wave number (cm−1) | Difference (cm−1) | Annotations |
| 3275.778 | O–H group | 3729.0164 | 453.2384 | O–H group and –NH groups |
| --- | 3449.8535 | new peaks | ||
| 2927.232 | CH2 group | 2922.8509 | 4.3811 | Aliphatic C–H group |
| 2861.518 | --- | 2853.2895 | 8.2285 | Asymmetric CH3 & symmetric CH2 stretching |
| 2121.417 | C≡C stretching | Disappearance | ||
| 1737.5394 | new peaks | C=O of the carboxylic groups or ester groups | ||
| 1650.681 | 1647.638 | 3.043 | C=O or C=C groups | |
| -- | 1577.2542 | new peaks | –C=O stretches aldehydes, ketones, and carboxylate | |
| -- | 1543.0415 | new peaks | C=C stretching | |
| -- | 1459.093 | new peaks | C–C; C–O; C=O | |
| 1424.594 | –C=O stretches | 1422.7408 | 34.499 | C–C and C–O |
| 1328.247 | C–O | 1323.1354 | 5.1116 | Acyl C–O or phenol C–O |
| 1259.681 | –O–C links of the organic phosphate groups | 1245.0011 | 14.6799 | -O-C links of the organic phosphate groups |
| ---- | 1157.0926 | new peaks | –C–O, –C–C, and –C–OH stretching | |
| 1101.43 | C–O stretching of ether groups | 1113.9232 | 12.4932 | C-O of carboxylic acids and alcohols |
| 1044.796 | 1057.873 | 13.077 | Si–O–Si and Si–H groups | |
| 1035.3161 | new peaks | Alkoxy C–O | ||
| 871.9458 | –P–O, –S–O, and aromatic –CH stretching or Silicate | 876.6764 | 4.730 | Silicate& bending modes of aromatic compounds & C=O stretching vibration |
| 666.8687 | C–H bend | 618.765 | 48.10 | alkene sp2 C–H bend |
| 576.087 | new peaks | |||
| Parameters | Value |
|---|---|
| Polarizability | 1.46 (mL mol−1) × 1 × 10−24 |
| Average Pore Size | 2.86258 nm |
| Average Particle radius | 1.0628 nm |
| Total Pore Volume | 0.183635 cc g−1 |
| Multipoint BET | 128.3 m2 g−1 |
| Langmuir method | 210.311 m2 g−1 |
| BJH adsorption | 95.7161 m2 g−1 |
| BJH desorption | 93.635 m2 g−1 |
| DH adsorption | 98.1558 m2 g−1 |
| DH desorption | 95.5924 m2 g−1 |
| V-t method micropore surface area | 18.3904 m2 g−1 |
| V-t method external surface area | 109.91 m2 g−1 |
| Molecular Density | 6.7 (mol cm2) |
| Model | Parameters | Value |
|---|---|---|
| Langmuir | Qm (mg g−1) | 100 |
| b | 0.226 | |
| R2 | 0.983 | |
| Freundlich | n | 1.145 |
| 1/n | 0.873 | |
| Kf (mg1−1/n L1/n g−1) | 15.84 | |
| R2 | 0.879 | |
| Dubinin-Radushkevich | Qm (mol kg−1) | 12.77 |
| K (mol kJ−1)2 | 2.55 | |
| E (kJ mol−1) | 0.113 | |
| R2 | 0.962 |
| Error Analyses | Langmuir | Freundlich | Dubinin-Radushkevich |
|---|---|---|---|
| Hybrid | 565.270 | 1418.35 | 2159.503 |
| ERRSQ | 1556.645 | 7675.95 | 10,116.713 |
| RMS | 13.181 | 15.29 | 19.752 |
| Model | Parameters | |||
|---|---|---|---|---|
| 1st-order-kinetic model | R2 | K1 × 103 (1 min−1) | qe (calc.) (mg g−1) | qe (Exp.) (mg g−1) |
| 0.306 | 23.95 | 2.290 | 3.21 | |
| 2nd-order-kinetic model | R2 | K2 × 103 (g mg−1 min−1) | qe (calc.) (mg g−1) | qe (Exp.) (mg g−1) |
| 0.999 | 102.10 | 3.81 | 3.21 | |
| Film-diffusion-kinetic model | R2 | KDF | ||
| 0.228 | 0.0019 | |||
| ∆HO (kJ mol−1) | ∆SO (J mol−1 K−1) | ∆GO (kJ mol−1) | ||||
|---|---|---|---|---|---|---|
| 25 °C | 30 °C | 40 °C | 50 °C | 60 °C | ||
| −27.82 | 0.117 | −5.5586 | −5.80675 | −12.9078 | −14.3678 | −6.9785 |
| Seaweed Species | Seaweed Family | pH | Sorption Capacity (mg g−1) | Refs. |
|---|---|---|---|---|
| Ulva lactuca | Green | 5.5 | 29.069 | [11] |
| Caulerpa lentillifera | Green | 7 | 417 | [93] |
| Sargassum latifolium | Brown | 6&7 | 0.276 | [94] |
| Nizamuddinia zanardinii | Brown | 6.5 | 565.96 | [95] |
| Polysiphonia lanosa | Red | 2 | 45.8 | [96] |
| Palmaria palmate | Red | 2 | 33.8 | [96] |
| Gracilaria parvispora | Red | 8.0 | 77.18 | [95] |
| Pterocladia capillacea | Red | 6 | 49.50 | [2] |
| Pterocladia capillacea nanoparticles | Red | 2 | 100 | current study |
Publisher’s Note: MDPI stays neutral with regard to jurisdictional claims in published maps and institutional affiliations. |
© 2022 by the authors. Licensee MDPI, Basel, Switzerland. This article is an open access article distributed under the terms and conditions of the Creative Commons Attribution (CC BY) license (https://creativecommons.org/licenses/by/4.0/).
Share and Cite
Mansour, A.T.; Alprol, A.E.; Ashour, M.; Ramadan, K.M.A.; Alhajji, A.H.M.; Abualnaja, K.M. Do Red Seaweed Nanoparticles Enhance Bioremediation Capacity of Toxic Dyes from Aqueous Solution? Gels 2022, 8, 310. https://doi.org/10.3390/gels8050310
Mansour AT, Alprol AE, Ashour M, Ramadan KMA, Alhajji AHM, Abualnaja KM. Do Red Seaweed Nanoparticles Enhance Bioremediation Capacity of Toxic Dyes from Aqueous Solution? Gels. 2022; 8(5):310. https://doi.org/10.3390/gels8050310
Chicago/Turabian StyleMansour, Abdallah Tageldein, Ahmed E. Alprol, Mohamed Ashour, Khaled M. A. Ramadan, Adnan H. M. Alhajji, and Khamael M. Abualnaja. 2022. "Do Red Seaweed Nanoparticles Enhance Bioremediation Capacity of Toxic Dyes from Aqueous Solution?" Gels 8, no. 5: 310. https://doi.org/10.3390/gels8050310
APA StyleMansour, A. T., Alprol, A. E., Ashour, M., Ramadan, K. M. A., Alhajji, A. H. M., & Abualnaja, K. M. (2022). Do Red Seaweed Nanoparticles Enhance Bioremediation Capacity of Toxic Dyes from Aqueous Solution? Gels, 8(5), 310. https://doi.org/10.3390/gels8050310

