Effective Carbon/TiO2 Gel for Enhanced Adsorption and Demonstrable Visible Light Driven Photocatalytic Performance
Abstract
:1. Introduction
2. Results and Discussion
2.1. Morphology
2.2. FTIR Analysis
2.3. Surface Area Analysis
2.4. Effect of pH
2.5. Effect of Contact Time
2.6. Effect of Sorbent Dose
2.7. Adsorption Kinetics
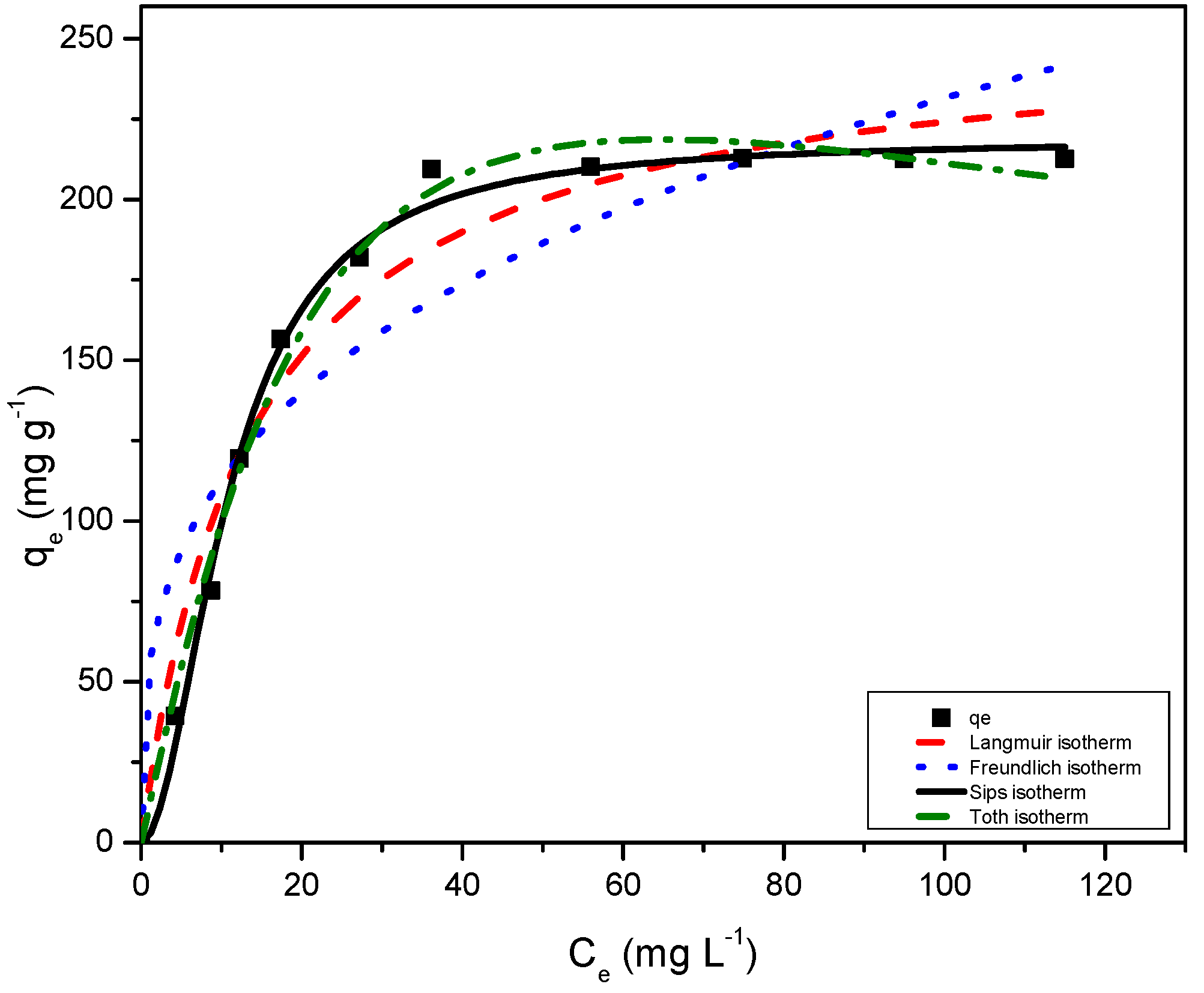
2.8. Adsorption Isotherms
2.9. Thermodynamic Study
3. Photocatalytic Tests
4. Conclusions
5. Material and Methods
5.1. Synthesis
5.2. Adsorbent Characterisation
6. Adsorption Experiments
6.1. Effect of pH
6.2. Effect of Sorbent Dose
6.3. Effect of Initial Concentration
6.4. Effect of Contact Time
6.5. Effect of Temperature
6.6. Kinetic Models
6.7. Sorption Isotherm Models
6.8. Photodegradation Procedure
Supplementary Materials
Author Contributions
Funding
Acknowledgments
Conflicts of Interest
References
- Xue, G.; Liu, H.; Chen, Q.; Hills, C.; Tyrer, M.; Innocent, F. Synergy between surface adsorption and photocatalysis during degradation of humic acid on TiO2/activated carbon composites. J. Hazard. Mater. 2011, 186, 765–772. [Google Scholar] [CrossRef] [PubMed]
- Ajiboye, T.O.; Oyewo, O.A.; Onwudiwe, D.C. Adsorption and photocatalytic removal of Rhodamine B from wastewater using carbon-based materials. FlatChem 2021, 29, 100277. [Google Scholar] [CrossRef]
- Quyen, N.D.V.; Khieu, D.Q.; Tuyen, T.N.; Tin, D.X.; Diem, B.T.H.; Dung, H.T.T. Highly effective photocatalyst of TiO2 nanoparticles dispersed on carbon nanotubes for methylene blue degradation in aqueous solution. Vietnam. J. Chem. 2021, 59, 167–178. [Google Scholar]
- Sampaio, M.J.; Silva, C.G.; Marques, R.R.; Silva, A.M.; Faria, J.L. Carbon nanotube—TiO2 thin films for photocatalytic applications. Catal. Today 2011, 161, 91–96. [Google Scholar] [CrossRef]
- Murgolo, S.; Petronella, F.; Ciannarella, R.; Comparelli, R.; Agostiano, A.; Curri, M.L.; Mascolo, G. UV and solar-based photocatalytic degradation of organic pollutants by nano-sized TiO2 grown on carbon nanotubes. Catal. Today 2015, 240, 114–124. [Google Scholar] [CrossRef]
- Morawski, A.W.; Kusiak-Nejman, E.; Wanag, A.; Narkiewicz, U.; Edelmannová, M.; Reli, M.; Kočí, K. Influence of the calcination of TiO2-reduced graphite hybrid for the photocatalytic reduction of carbon dioxide. Catal. Today 2021, 380, 32–40. [Google Scholar] [CrossRef]
- Minella, M.; Sordello, F.; Minero, C. Photocatalytic process in TiO2/graphene hybrid materials. Evidence of charge separation by electron transfer from reduced graphene oxide to TiO2. Catal. Today 2017, 281, 29–37. [Google Scholar] [CrossRef]
- Faraldos, M.; Bahamonde, A. Environmental applications of titania-graphene photocatalysts. Catal. Today 2017, 285, 13–28. [Google Scholar] [CrossRef]
- Zeng, G.; You, H.; Du, M.; Zhang, Y.; Ding, Y.; Xu, C.; Liu, B.; Chen, B.; Pan, X. Enhancement of photocatalytic activity of TiO2 by immobilization on activated carbon for degradation of aquatic naphthalene under sunlight irradiation. Chem. Eng. J. 2021, 412, 128498. [Google Scholar] [CrossRef]
- Paušová, M.; Riva, M.; Baudys, M.; Krýsa, J.; Barbieriková, Z.; Brezová, V. Composite materials based on active carbon/TiO2 for photocatalytic water purification. Catal. Today 2019, 328, 178–182. [Google Scholar] [CrossRef]
- Khalid, N.; Majid, A.; Tahir, M.B.; Niaz, N.; Khalid, S. Carbonaceous-TiO2 nanomaterials for photocatalytic degradation of pollutants: A review. Ceram. Int. 2017, 43, 14552–14571. [Google Scholar] [CrossRef]
- Biener, J.; Stadermann, M.; Suss, M.; Worsley, M.A.; Biener, M.M.; Rose, K.A.; Baumann, T.F. Advanced carbon aerogels for energy applications. Energy Environ. Sci. 2011, 4, 656–667. [Google Scholar] [CrossRef]
- Faria, J.L.; Wang, W. 13 Carbon Materials in Photocatalysis; John Wiley & Sons: Hoboken, NJ, USA, 2009; p. 481. [Google Scholar]
- Al-Muhtaseb, S.; Ritter, J. Preparation and Properties of Resorcinol-Formaldehyde Organic and Carbon Gels. Adv. Mater. 2003, 15, 101–114. [Google Scholar] [CrossRef]
- Prostredný, M.; Abduljalil, M.G.; Mulheran, P.A.; Fletcher, A.J. Process variable optimization in the manufacture of resorcinol–formaldehyde gel materials. Gels 2018, 4, 36. [Google Scholar] [CrossRef] [PubMed] [Green Version]
- Awadallah-F, A.; Al-Muhtaseb, S.A. Nanofeatures of resorcinol-formaldehyde carbon microspheres. Mater. Lett. 2012, 87, 31–34. [Google Scholar] [CrossRef]
- Awadallah-F, A.; Elkhatat, A.M.; Al-Muhtaseb, S.A. Impact of synthesis conditions on meso- and macropore structures of resorcinol-formaldehyde xerogels. J. Mater. Sci. 2011, 46, 7760–7769. [Google Scholar] [CrossRef]
- Principe, I.A.; Fletcher, A.J. Parametric study of factors affecting melamine-resorcinol-formaldehyde xerogels properties. Mater. Today Chem. 2018, 7, 5–14. [Google Scholar] [CrossRef] [Green Version]
- Shevlin, S.A.; Woodley, S.M. Electronic and Optical Properties of Doped and Undoped (TiO2)n Nanoparticles. J. Phys. Chem. C 2010, 114, 17333–17343. [Google Scholar] [CrossRef]
- Jiang, Y.; Meng, L.; Mu, X.; Li, X.; Wang, H.; Chen, X.; Wang, X.; Wang, W.; Wu, F.; Wang, X. Effective TiO2 hybrid heterostructure fabricated on nano mesoporous phenolic resol for visible-light photocatalysis. J. Mater. Chem. 2012, 22, 23642–23649. [Google Scholar] [CrossRef]
- Zaleska, A. Doped-TiO2: A review. Recent Pat. Eng. 2008, 2, 157–164. [Google Scholar] [CrossRef]
- Aranovich, G.L.; Donohue, M.D. Adsorption isotherms for microporous adsorbents. Carbon 1995, 33, 1369–1375. [Google Scholar] [CrossRef]
- Wang, S.; Zhu, Z.H.; Coomes, A.; Haghseresht, F.; Lu, G.Q. The physical and surface chemical characteristics of activated carbons and the adsorption of methylene blue from wastewater. J. Colloid Interface Sci. 2005, 284, 440–446. [Google Scholar] [CrossRef] [PubMed]
- Chham, A.; Khouya, E.; Oumam, M.; Abourriche, A.; Gmouh, S.; Mansouri, S.; Elhammoudi, N.; Hanafi, N.; Hannache, H. The use of insoluble mater of Moroccan oil shale for removal of dyes from aqueous solution. Chem. Int. 2018, 4, 67–77. [Google Scholar]
- Atout, H.; Bouguettoucha, A.; Chebli, D.; Gatica, J.M.; Vidal, H.; Yeste, M.P.; Amrane, A. Integration of Adsorption and Photocatalytic Degradation of Methylene Blue Using TiO2 Supported on Granular Activated Carbon. Arab. J. Sci. Eng. 2017, 42, 1475–1486. [Google Scholar] [CrossRef]
- Matos, J. Hybrid TiO2-C Composites for the Photodegradation of Methylene Blue Under Visible Light; Bol Grupo Español Carbón: Zaragoza, Spain, 2013. [Google Scholar]
- Natarajan, T.S.; Bajaj, H.C.; Tayade, R.J. Preferential adsorption behavior of methylene blue dye onto surface hydroxyl group enriched TiO2 nanotube and its photocatalytic regeneration. J. Colloid Interface Sci. 2014, 433, 104–114. [Google Scholar] [CrossRef] [PubMed]
- Baker, F.S.; Miller, C.E.; Repik, A.J.; Tolles, E.D. Activated carbon. In Kirk-Othmer Encyclopedia of Chemical Technology; Interscience Publishers: Geneva, Switzerland, 2000. [Google Scholar]
- Zhang, X.; Zhang, F.; Chan, K.-Y. Synthesis of titania-silica mixed oxide mesoporous materials, characterization and photocatalytic properties. Appl. Catal. A Gen. 2005, 284, 193–198. [Google Scholar] [CrossRef]
- Ashraf, M.A.; Peng, W.; Zare, Y.; Rhee, K.Y. Effects of Size and Aggregation/Agglomeration of Nanoparticles on the Interfacial/Interphase Properties and Tensile Strength of Polymer Nanocomposites. Nanoscale Res. Lett. 2018, 13, 1–7. [Google Scholar] [CrossRef] [PubMed]
- Azizian, S. Kinetic models of sorption: A theoretical analysis. J. Colloid Interface Sci. 2004, 276, 47–52. [Google Scholar] [CrossRef]
- Foo, K.Y.; Hameed, B.H. Insights into the modeling of adsorption isotherm systems. Chem. Eng. J. 2010, 156, 2–10. [Google Scholar] [CrossRef]
- Ayawei, N.; Ebelegi, A.N.; Wankasi, D. Modelling and Interpretation of Adsorption Isotherms. J. Chem. 2017, 2017, 3039817. [Google Scholar] [CrossRef]
- Tan, Y.; Kilduff, J.E. Factors affecting selectivity during dissolved organic matter removal by anion-exchange resins. Water Res. 2007, 41, 4211–4221. [Google Scholar] [CrossRef] [PubMed]
- Li, J.; Zhang, S.; Chen, C.; Zhao, G.; Yang, X.; Li, J.; Wang, X. Removal of Cu(II) and Fulvic Acid by Graphene Oxide Nanosheets Decorated with Fe3O4 Nanoparticles. ACS Appl. Mater. Interfaces 2012, 4, 4991–5000. [Google Scholar] [CrossRef] [PubMed]
- Shao, D.D.; Fan, Q.H.; Li, J.X.; Niu, Z.W.; Wu, W.S.; Chen, Y.X.; Wang, X.K. Removal of Eu(III) from aqueous solution using ZSM-5 zeolite. Microporous Mesoporous Mater. 2009, 123, 1–9. [Google Scholar] [CrossRef]
- Zhang, G.; Ni, C.; Liu, L.; Zhao, G.; Fina, F.; Irvine, J.T.S. Macro-mesoporous resorcinol–formaldehyde polymer resins as amorphous metal-free visible light photocatalysts. J. Mater. Chem. A 2015, 3, 15413–15419. [Google Scholar] [CrossRef] [Green Version]
- Chen, X.; Mao, S.S. Titanium dioxide nanomaterials: Synthesis, properties, modifications, and applications. Chem. Rev. 2007, 107, 2891–2959. [Google Scholar] [CrossRef]
- Huang, X.; Yang, W.; Zhang, G.; Yan, L.; Zhang, Y.; Jiang, A.; Xu, H.; Zhou, M.; Liu, Z.; Tang, H.; et al. Alternative synthesis of nitrogen and carbon co-doped TiO2 for removing fluoroquinolone antibiotics in water under visible light. Catal. Today 2019, 361, 11–16. [Google Scholar] [CrossRef]
- Simonetti, E.A.N.; de Simone Cividanes, L.; Campos, T.M.B.; de Menezes, B.R.C.; Brito, F.S.; Thim, G.P. Carbon and TiO2 synergistic effect on methylene blue adsorption. Mater. Chem. Phys. 2016, 177, 330–338. [Google Scholar] [CrossRef]
- Wu, C.H.; Kuo, C.Y.; Chen, S.T. Synergistic effects between TiO2 and carbon nanotubes (CNTs) in a TiO2/CNTs system under visible light irradiation. Environ. Technol. 2013, 34, 2513–2519. [Google Scholar] [CrossRef]
- Houas, A.; Lachheb, H.; Ksibi, M.; Elaloui, E.; Guillard, C.; Herrmann, J.M. Photocatalytic degradation pathway of methylene blue in water. Appl. Catal. B: Environ. 2001, 31, 145–157. [Google Scholar] [CrossRef]
- Lakshmi, S.; Renganathan, R.; Fujita, S. Study on TiO2-mediated photocatalytic degradation of methylene blue. J. Photochem. Photobiol. A Chem. 1995, 88, 163–167. [Google Scholar] [CrossRef]
- Makuła, P.; Pacia, M.; Macyk, W. How To Correctly Determine the Band Gap Energy of Modified Semiconductor Photocatalysts Based on UV–Vis Spectra. J. Phys. Chem. Lett. 2018, 9, 6814–6817. [Google Scholar] [CrossRef] [PubMed] [Green Version]
- Ho, Y.S.; McKay, G. Pseudo-second order model for sorption processes. Process Biochem. 1999, 34, 451–465. [Google Scholar] [CrossRef]
- Sahoo, T.R.; Prelot, B. Adsorption processes for the removal of contaminants from wastewater: The perspective role of nanomaterials and nanotechnology. In Nanomaterials for the Detection and Removal of Wastewater Pollutants; Elsevier: Amsterdam, The Netherlands, 2020; pp. 161–222. [Google Scholar]












| Model | 50 mg L−1 | 100 mg L−1 | 150 mg L−1 | 200 mg L−1 |
|---|---|---|---|---|
| qe experimental (mg g−1) | 112.75 | 175.98 | 201.46 | 212.56 |
| Pseudo first order | ||||
| qe, mg g−1 | 107.65 | 167.45 | 183.10 | 206.99 |
| K1 (min−1) | 0.08087 | 0.11886 | 0.1261 | 0.17078 |
| R2 | 0.9758 | 0.9632 | 0.948 | 0.985 |
| Pseudo second order | ||||
| qe, mg g−1 | 116.97 | 178.54 | 203.58 | 217.59 |
| K2 (×10−3 g mg−1 min−1) | 1.01 | 1.10 | 1.06 | 1.48 |
| R2 | 0.998 | 0.989 | 0.987 | 0.996 |
| Langmuir | qm (mg g−1) | 254.65 |
| KL (L mg−1) | 0.0732 | |
| R2 | 0.960 | |
| Freundlich | KF mg g−1 (L mg-1)1/n | 54.85 |
| nF | 3.1993 | |
| R2 | 0.865 | |
| Sips | qs (mg g−1) | 218.71 |
| KS | 0.010 | |
| ns | 1.913 | |
| R2 | 0.994 | |
| Toth | qm (mg g−1) | 558.47 |
| KT | 0.0295 | |
| nT | 1.403 | |
| R2 | 0.991 |
| T (K) | lnk | ∆G⁰ (KJ/mol) | ∆S⁰ (J/mol) | 112 |
|---|---|---|---|---|
| 281 | 1.29 | −3.01 | ∆H⁰ (KJ/mol) | 28.2 |
| 296 | 2.20 | −5.41 | ||
| 305 | 2.40 | −6.09 | ||
| 313 | 2.50 | −6.51 | ||
Publisher’s Note: MDPI stays neutral with regard to jurisdictional claims in published maps and institutional affiliations. |
© 2022 by the authors. Licensee MDPI, Basel, Switzerland. This article is an open access article distributed under the terms and conditions of the Creative Commons Attribution (CC BY) license (https://creativecommons.org/licenses/by/4.0/).
Share and Cite
Safri, A.; Fletcher, A.J. Effective Carbon/TiO2 Gel for Enhanced Adsorption and Demonstrable Visible Light Driven Photocatalytic Performance. Gels 2022, 8, 215. https://doi.org/10.3390/gels8040215
Safri A, Fletcher AJ. Effective Carbon/TiO2 Gel for Enhanced Adsorption and Demonstrable Visible Light Driven Photocatalytic Performance. Gels. 2022; 8(4):215. https://doi.org/10.3390/gels8040215
Chicago/Turabian StyleSafri, Anam, and Ashleigh Jane Fletcher. 2022. "Effective Carbon/TiO2 Gel for Enhanced Adsorption and Demonstrable Visible Light Driven Photocatalytic Performance" Gels 8, no. 4: 215. https://doi.org/10.3390/gels8040215
APA StyleSafri, A., & Fletcher, A. J. (2022). Effective Carbon/TiO2 Gel for Enhanced Adsorption and Demonstrable Visible Light Driven Photocatalytic Performance. Gels, 8(4), 215. https://doi.org/10.3390/gels8040215

