Task-Specific Phosphonium Iongels by Fast UV-Photopolymerization for Solid-State Sodium Metal Batteries
Abstract
1. Introduction
2. Results and Discussion
2.1. Dynamic Mechanical Analysis (DMA)
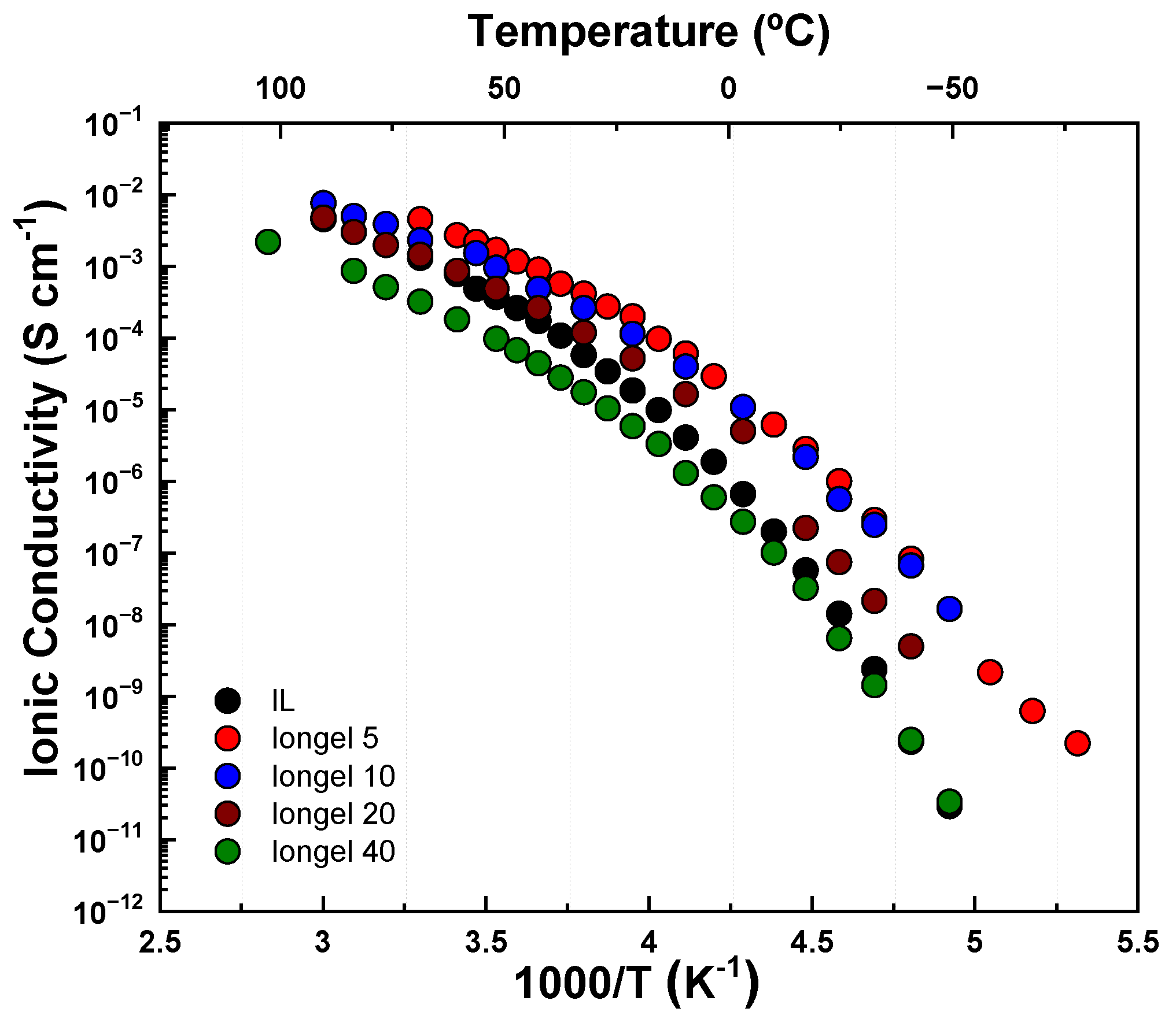
2.2. Ionic Conductivity
2.3. Battery Cell Testing
3. Conclusions
4. Materials and Methods
4.1. Materials
4.2. Sample Preparation
4.3. Physical–Chemical Characterization
4.4. Cell Assembly and Testing
Supplementary Materials
Author Contributions
Funding
Institutional Review Board Statement
Informed Consent Statement
Data Availability Statement
Acknowledgments
Conflicts of Interest
References
- Sun, C.; Liu, J.; Gong, Y.; Wilkinson, D.P.; Zhang, J. Recent advances in all-solid-state rechargeable lithium batteries. Nano Energy 2017, 33, 363–386. [Google Scholar] [CrossRef]
- Choi, J.W.; Aurbach, D. Promise and reality of post-lithium-ion batteries with high energy densities. Nat. Rev. Mater. 2016, 1, 16013. [Google Scholar] [CrossRef]
- Kulova, T.L.; Fateev, V.N.; Seregina, E.A.; Grigoriev, A.S. A brief review of post-lithium-ion batteries. Int. J. Electrochem. Sci. 2020, 15, 7242–7259. [Google Scholar] [CrossRef]
- Ponrouch, A.; Bitenc, J.; Dominko, R.; Lindahl, N.; Johansson, P.; Palacín, M.R. Multivalent rechargeable batteries. Energy Storage Mater. 2019, 20, 253–262. [Google Scholar] [CrossRef]
- Yang, J.; Zhang, H.; Zhou, Q.; Qu, H.; Dong, T.; Zhang, M.; Tang, B.; Zhang, J.; Cui, G. Safety-enhanced polymer electrolytes for sodium batteries: Recent progress and perspectives. ACS Appl. Mater. Interfaces 2019, 11, 17109–17127. [Google Scholar] [CrossRef] [PubMed]
- Gebert, F.; Knott, J.; Gorkin III, R.; Chou, S.-L.; Dou, S.-X. Polymer electrolytes for sodium-ion batteries. Energy Storage Mater. 2021, 36, 10–30. [Google Scholar] [CrossRef]
- Rakov, D.A.; Chen, F.; Ferdousi, S.A.; Li, H.; Pathirana, T.; Simonov, A.N.; Howlett, P.C.; Atkin, R.; Forsyth, M. Engineering high-energy-density sodium battery anodes for improved cycling with superconcentrated ionic-liquid electrolytes. Nat. Mater. 2020, 19, 1096–1101. [Google Scholar] [CrossRef] [PubMed]
- Sun, J.; O’Dell, L.A.; Armand, M.; Howlett, P.C.; Forsyth, M. Anion-Derived Solid-Electrolyte Interphase Enables Long Life Na-Ion Batteries Using Superconcentrated Ionic Liquid Electrolytes. ACS Energy Lett. 2021, 6, 2481–2490. [Google Scholar] [CrossRef]
- Hilder, M.; Howlett, P.C.; Saurel, D.; Gonzalo, E.; Armand, M.; Rojo, T.; Macfarlane, D.R.; Forsyth, M. Small quaternary alkyl phosphonium bis (fluorosulfonyl) imide ionic liquid electrolytes for sodium-ion batteries with P2-and O3-Na2/3 [Fe2/3Mn1/3] O2 cathode material. J. Power Sources 2017, 349, 45–51. [Google Scholar] [CrossRef]
- Ferdousi, S.A.; O’Dell, L.A.; Sun, J.; Hora, Y.; Forsyth, M.; Howlett, P.C. High-Performance Cycling of Na Metal Anodes in Phosphonium and Pyrrolidinium Fluoro (sulfonyl) imide Based Ionic Liquid Electrolytes. ACS Appl. Mater. Interfaces 2022, 14, 15784–15798. [Google Scholar] [CrossRef] [PubMed]
- Kalhoff, J.; Eshetu, G.G.; Bresser, D.; Passerini, S. Safer Electrolytes for Lithium-Ion Batteries: State of the Art and Perspectives. ChemSusChem 2015, 8, 2154–2175. [Google Scholar] [CrossRef] [PubMed]
- Fdz De Anastro, A.; Porcarelli, L.; Hilder, M.; Berlanga, C.; Galceran, M.; Howlett, P.; Forsyth, M.; Mecerreyes, D. UV-cross-linked ionogels for all-solid-state rechargeable sodium batteries. ACS Appl. Energy Mater. 2019, 2, 6960–6966. [Google Scholar] [CrossRef]
- Chereddy, S.; Aguirre, J.; Dikin, D.; Wunder, S.L.; Chinnam, P.R. Gel electrolyte comprising solvate ionic liquid and methyl cellulose. ACS Appl. Energy Mater. 2019, 3, 279–289. [Google Scholar] [CrossRef]
- Kido, R.; Ueno, K.; Iwata, K.; Kitazawa, Y.; Imaizumi, S.; Mandai, T.; Dokko, K.; Watanabe, M. Li+ ion transport in polymer electrolytes based on a glyme-Li salt solvate ionic liquid. Electrochim. Acta 2015, 175, 5–12. [Google Scholar] [CrossRef]
- Hubble, D.; Qin, J.; Lin, F.; Murphy, I.A.; Jang, S.-H.; Yang, J.; Jen, A.K.-Y. Designing solvate ionogel electrolytes with very high room-temperature conductivity and lithium transference number. J. Mater. Chem. A 2018, 6, 24100–24106. [Google Scholar] [CrossRef]
- Casas-Cabanas, M.; Roddatis, V.V.; Saurel, D.; Kubiak, P.; Carretero-González, J.; Palomares, V.; Serras, P.; Rojo, T. Crystal chemistry of Na insertion/deinsertion in FePO4–NaFePO4. J. Mater. Chem. 2012, 22, 17421–17423. [Google Scholar] [CrossRef]
- Wongittharom, N.; Lee, T.-C.; Wang, C.-H.; Wang, Y.-C.; Chang, J.-K. Electrochemical performance of Na/NaFePO4 sodium-ion batteries with ionic liquid electrolytes. J. Mater. Chem. A 2014, 2, 5655–5661. [Google Scholar] [CrossRef]
- Galceran, M.; Saurel, D.; Acebedo, B.; Roddatis, V.V.; Martin, E.; Rojo, T.; Casas-Cabanas, M. The mechanism of NaFePO4 (de) sodiation determined by in situ X-ray diffraction. Phys. Chem. Chem. Phys. 2014, 16, 8837–8842. [Google Scholar] [CrossRef] [PubMed]
- Berlanga, C.; Monterrubio, I.; Armand, M.; Rojo, T.; Galceran, M.; Casas-Cabanas, M. Cost-effective synthesis of triphylite-NaFePO4 cathode: A zero-waste process. ACS Sustain. Chem. Eng. 2019, 8, 725–730. [Google Scholar] [CrossRef]
- Saurel, D.; Giner, M.; Galceran, M.; Rodríguez-Carvajal, J.; Reynaud, M.; Casas-Cabanas, M. The triphylite NaFe1-yMnyPO4 solid solution (0≤ y≤ 1): Kinetic strain accommodation in NaxFe0.8 Mn0.2PO4. Electrochim. Acta 2022, 425, 140650. [Google Scholar] [CrossRef]




Publisher’s Note: MDPI stays neutral with regard to jurisdictional claims in published maps and institutional affiliations. |
© 2022 by the authors. Licensee MDPI, Basel, Switzerland. This article is an open access article distributed under the terms and conditions of the Creative Commons Attribution (CC BY) license (https://creativecommons.org/licenses/by/4.0/).
Share and Cite
Porcarelli, L.; Olmedo-Martínez, J.L.; Sutton, P.; Bocharova, V.; Fdz De Anastro, A.; Galceran, M.; Sokolov, A.P.; Howlett, P.C.; Forsyth, M.; Mecerreyes, D. Task-Specific Phosphonium Iongels by Fast UV-Photopolymerization for Solid-State Sodium Metal Batteries. Gels 2022, 8, 725. https://doi.org/10.3390/gels8110725
Porcarelli L, Olmedo-Martínez JL, Sutton P, Bocharova V, Fdz De Anastro A, Galceran M, Sokolov AP, Howlett PC, Forsyth M, Mecerreyes D. Task-Specific Phosphonium Iongels by Fast UV-Photopolymerization for Solid-State Sodium Metal Batteries. Gels. 2022; 8(11):725. https://doi.org/10.3390/gels8110725
Chicago/Turabian StylePorcarelli, Luca, Jorge L. Olmedo-Martínez, Preston Sutton, Vera Bocharova, Asier Fdz De Anastro, Montserrat Galceran, Alexei P. Sokolov, Patrick C. Howlett, Maria Forsyth, and David Mecerreyes. 2022. "Task-Specific Phosphonium Iongels by Fast UV-Photopolymerization for Solid-State Sodium Metal Batteries" Gels 8, no. 11: 725. https://doi.org/10.3390/gels8110725
APA StylePorcarelli, L., Olmedo-Martínez, J. L., Sutton, P., Bocharova, V., Fdz De Anastro, A., Galceran, M., Sokolov, A. P., Howlett, P. C., Forsyth, M., & Mecerreyes, D. (2022). Task-Specific Phosphonium Iongels by Fast UV-Photopolymerization for Solid-State Sodium Metal Batteries. Gels, 8(11), 725. https://doi.org/10.3390/gels8110725

