Highly Sensitive and Selective Sol-Gel Spin-Coated Composite TiO2–PANI Thin Films for EGFET-pH Sensor
Abstract
1. Introduction
2. Result and Discussion
2.1. Physical Properties
2.1.1. Surface Morphology
2.1.2. XRD Analysis
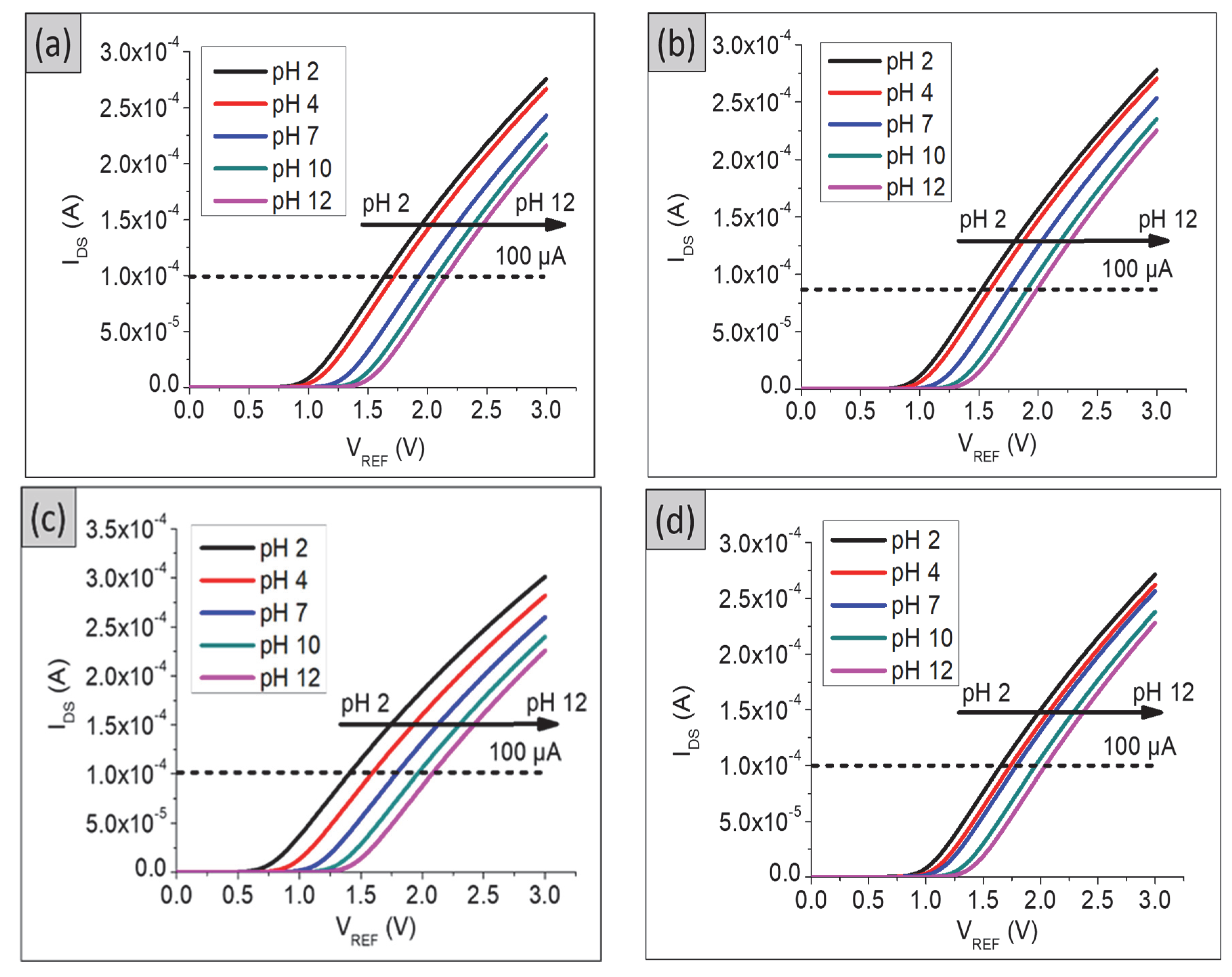
2.2. pH Sensor Performances
2.2.1. pH Sensitivity
2.2.2. Selectivity Test in pH Measurement
2.3. Stability and Reliability
2.3.1. Hysteresis Measurement
2.3.2. Drift Measurement
2.3.3. Repeatability
3. Conclusions
4. Materials and Methods
4.1. Materials
4.2. Sensing Electrodes Preparation
4.2.1. TiO2 Thin Film
4.2.2. TiO2–PANI Bilayer Composite Thin Film
4.2.3. TiO2–PANI Composite Thin Film
4.3. EGFET Measurement Setup
4.3.1. pH Detection
4.3.2. Nitrate Detection
Author Contributions
Funding
Data Availability Statement
Acknowledgments
Conflicts of Interest
References
- Bhagat, N.; Mishra, D.V.; Srivastava, D.S. Application of ion sensitive field effect transistor (ISFET) for the analysis of soil pH, nitrate and available potassium. Int. J. Chem. Stud. 2020, 8, 613–618. [Google Scholar] [CrossRef]
- Singh, K.; Pang, S.; Pan, T. Amorphous ZnSnxOy Fabricated at Room-Temperature for Flexible pH-EGFET Sensor. IEEE Trans. Electron Devices 2021, 68, 793–797. [Google Scholar] [CrossRef]
- Chen, C.; Zhang, Y.; Gao, H.; Xu, K.; Zhang, X. Fabrication of Functional Super-Hydrophilic TiO2 Thin Film for pH Detection. Chemosensors 2022, 10, 182. [Google Scholar] [CrossRef]
- Yang, C.-C.; Chen, K.-Y.; Su, Y.-K. TiO2 Nano Flowers Based EGFET Sensor for pH Sensing. Coatings 2019, 9, 251. [Google Scholar] [CrossRef]
- Li, H.H.; Dai, W.S.; Chou, J.C.; Cheng, H.C. An extended-gate field-effect transistor with low-temperature hydrothermally synthesized SnO2 nanorods as pH sensor. IEEE Electron Device Lett. 2012, 33, 1495–1497. [Google Scholar] [CrossRef]
- Batista, P.D.; Mulato, M. ZnO extended-gate field-effect transistors as pH sensors. Appl. Phys. Lett. 2005, 87, 143508. [Google Scholar] [CrossRef]
- Rosli, A.B.; Awang, Z.; Shariffudin, S.S.; Herman, S.H. Annealing Temperature Dependence of ZnO Nanostructures Grown by Facile Chemical Bath Deposition for EGFET pH Sensors. IOP Conf. Ser. Mater. Sci. Eng. 2018, 340, 012019. [Google Scholar] [CrossRef]
- Manjakkal, L.; Cvejin, K.; Kulawik, J.; Zaraska, K.; Szwagierczak, D.; Stojanovic, G. Sensing mechanism of RuO2–SnO2 thick film pH sensors studied by potentiometric method and electrochemical impedance spectroscopy. J. Electroanal. Chem. 2015, 759, 82–90. [Google Scholar] [CrossRef]
- Pan, T.M.; Lin, C.H.; Pang, S.T. Structural and Sensing Characteristics of NiOx Sensing Films for Extended-Gate Field-Effect Transistor pH Sensors. IEEE Sens. J. 2021, 21, 2597–2603. [Google Scholar] [CrossRef]
- Mishra, A.K.; Jarwal, D.K.; Mukherjee, B.; Kumar, A.; Ratan, S.; Jit, S. CuO Nanowire-Based Extended-Gate Field-Effect-Transistor (FET) for pH Sensing. IEEE Sens. J. 2020, 20, 5039–5047. [Google Scholar] [CrossRef]
- Beale, C.; Altana, A.; Hamacher, S.; Yakushenko, A.; Mayer, D.; Wolfrum, B.; Offenhäusser, A. Inkjet printed Ta2O5 on a flexible substrate for capacitive pH sensing at high ionic strength. Sens. Actuators B Chem. 2022, 369, 132250. [Google Scholar] [CrossRef]
- Khizir, H.A.; Abbas, T.A.H. Hydrothermal synthesis of TiO2 nanorods as sensing membrane for extended-gate field-effect transistor (EGFET) pH sensing applications. Sens. Actuators A Phys. 2022, 333, 113231. [Google Scholar] [CrossRef]
- Yao, P.C.; Lee, M.C.; Chiang, J.L. Annealing effect of sol-gel TiO2 thin film on pH-EGFET sensor. In Proceedings of the 2014 International Symposium on Computer, Consumer and Control, Taichung, Taiwan, 10–12 June 2014; pp. 577–580. [Google Scholar] [CrossRef]
- Manjakkal, L.; Szwagierczak, D.; Dahiya, R. Metal oxides based electrochemical pH sensors: Current progress and future perspectives. Prog. Mater. Sci. 2020, 109, 100635. [Google Scholar] [CrossRef]
- Mazzara, F.; Patella, B.; D’Agostino, C.; Bruno, M.G.; Carbone, S.; Lopresti, F.; Aiello, G.; Torino, C.; Vilasi, A.; O’Riordan, A.; et al. PANI-Based Wearable Electrochemical Sensor for pH Sweat Monitoring. Chemosensors 2021, 9, 169. [Google Scholar] [CrossRef]
- Wang, X.; Sun, L.; Wang, T.; Shi, Y. Temperature-Compensated pH Microelectrode Array Sensors Based on Copper-Oxide/Polyaniline Modification. IEEE Sens. J. 2020, 20, 14598–14606. [Google Scholar] [CrossRef]
- Su, W.; Xu, J.; Ding, X. An Electrochemical pH Sensor Based on the Amino-Functionalized Graphene and Polyaniline Composite Film. IEEE Trans. Nanobiosci. 2016, 15, 812–819. [Google Scholar] [CrossRef] [PubMed]
- Sinha, S.; Pal, T.; Kumar, D.; Sharma, R.; Kharbanda, D.; Khanna, P.K.; Mukhiya, R. Design, fabrication and characterization of TiN sensing film-based ISFET pH sensor. Mater. Lett. 2021, 304, 130556. [Google Scholar] [CrossRef]
- Uppuluri, K.; Lazouskaya, M.; Szwagierczak, D.; Zaraska, K.; Tamm, M. Fabrication, Potentiometric Characterization, and Application of Screen-Printed RuO2 pH Electrodes for Water Quality Testing. Sensors 2021, 21, 5399. [Google Scholar] [CrossRef]
- Alvarez-Serna, B.E.; Ramírez-Chavarriá, R.G. EGFET-based pH Sensor Coupled with Low-cost Electrochemical Screen-printed Electrodes. J. Phys. Conf. Ser. 2021, 1723, 012024. [Google Scholar] [CrossRef]
- Sabah, F.A.; Ahmed, N.M.; Hassan, Z.; Almessiere, M.A. Influence of CuS membrane annealing time on the sensitivity of EGFET pH sensor. Mater. Sci. Semicond. Process. 2017, 71, 217–225. [Google Scholar] [CrossRef]
- Rao, T.; Li, J.; Cai, W.; Wu, M.; Jiang, J.; Yang, P.; Zhou, Y.; Liao, W. Fabrication of a Mesoporous Multimetallic Oxide-based Ion- Sensitive Field Effect Transistor for pH Sensing. ACS Omega 2021, 6, 32297–32303. [Google Scholar] [CrossRef] [PubMed]
- Das, A.; Hsu, D.; Chen, C.; Chang, L.; Lai, C. Highly sensitive palladium oxide thin film extended gate FETs as pH sensor Sensors and Actuators B: Chemical Highly sensitive palladium oxide thin film extended gate FETs as pH sensor. Sensors Actuators B Chem. 2014, 205, 199–205. [Google Scholar] [CrossRef]
- Bokov, D.; Turki Jalil, A.; Chupradit, S.; Suksatan, W.; Javed Ansari, M.; Shewael, I.H.; Valiev, G.H.; Kianfar, E. Nanomaterial by Sol-Gel Method: Synthesis and Application. Adv. Mater. Sci. Eng. 2021, 2021, 5102014. [Google Scholar] [CrossRef]
- Rosli, A.B.; Shariffudin, S.S.; Awang, Z.; Herman, S.H. Deposition temperature dependence of ZnO nanostructures growth using TCVD for EGFET pH sensor. In Proceedings of the 2017 IEEE Regional Symposium on Micro and Nanoelectronics (RSM), Batu Ferringhi, Malaysia, 23–25 August 2017; pp. 175–178. [Google Scholar] [CrossRef]
- Ganesan, R.; Gedanken, A. Organic-inorganic hybrid materials based on polyaniline/TiO2 nanocomposites for ascorbic acid fuel cell systems. Nanotechnology 2008, 19, 435709. [Google Scholar] [CrossRef]
- Venkatachalaiah, C.; Venkataraman, U.; Sellappan, R. PANI/TiO2 nanocomposite-based chemiresistive gas sensor for the detection of E. Coli bacteria. IET Nanobiotechnol. 2020, 14, 761–765. [Google Scholar] [CrossRef]
- Alkhabet, M.M.; Girei, S.H.; Ismail, A.H.; Paiman, S.; Arsad, N.; Mahdi, M.A.; Yaacob, M.H. Room Temperature Hydrogen Sensing Based on Tapered Optical Fiber Coated with Polyaniline (PANI). Chem. Proc. 2021, 5, 85. [Google Scholar] [CrossRef]
- Brožová, L.; Žitka, J.; Tomšík, E. Transport properties of durable PANI/PPO composite membrane with interpenetrating layer. Polym. Test. 2021, 94, 107037. [Google Scholar] [CrossRef]
- Pawar, S.G.; Patil, S.L.; Chougule, M.A.; Mane, A.T.; Jundale, D.M.; Patil, V.B. Synthesis and Characterization of Polyaniline: TiO2 Nanocomposites. Int. J. Polym. Mater. Polym. Biomater. 2010, 59, 777–785. [Google Scholar] [CrossRef]
- Kim, K.S.; Baek, W.H.; Kim, J.M.; Yoon, T.S.; Lee, H.H.; Kang, C.J.; Kim, Y.S. A nanopore structured high performance toluene gas sensor made by nanoimprinting method. Sensors 2010, 10, 765–774. [Google Scholar] [CrossRef]
- Zulkefle, M.A.; Herman, S.H.; Rahman, R.A.; Yusof, K.A.; Rosli, A.B.; Hanim Abdullah, W.F.; Zulkifli, Z. Evaluation on the EGFET pH sensing performance of sol-gel spin coated titanium dioxide thin film. J. Teknol. 2021, 83, 119–125. [Google Scholar] [CrossRef]
- Baumbauer, C.L.; Goodrich, P.J.; Payne, M.E.; Anthony, T.; Beckstoffer, C.; Toor, A.; Silver, W.; Arias, A.C. Printed Potentiometric Nitrate Sensors for Use in Soil. Sensors 2022, 22, 4095. [Google Scholar] [CrossRef] [PubMed]
- Chaisriratanakul, W.; Bunjongpru, W.; Pankiew, A.; Srisuwan, A. Modification of polyvinyl chloride ion-selective membrane for nitrate ISFET sensors. Appl. Surf. Sci. 2020, 512, 145664. [Google Scholar] [CrossRef]
- Manjakkal, L.; Sakthivel, B.; Gopalakrishnan, N.; Dahiya, R. Printed flexible electrochemical pH sensors based on CuO nanorods. Sens. Actuators B Chem. 2018, 263, 50–58. [Google Scholar] [CrossRef]
- Essousi, H.; Barhoumi, H.; Bibani, M.; Ktari, N.; Wendler, F.; Al-hamry, A.; Kanoun, O. Ion-Imprinted Electrochemical Sensor Based on Copper Nanoparticles-Polyaniline Matrix for Nitrate Detection. J. Sens. 2019, 2019, 4257125. [Google Scholar] [CrossRef]















| Element | TiO2 Thin Film (at%) | TiO2–PANI Bilayer Composite (at%) | TiO2–PANI Composite (at%) |
|---|---|---|---|
| C | 1.8 | 0.1 | 0.7 |
| O | 37.4 | 39.6 | 39.0 |
| In | 18.5 | 17.9 | 18.9 |
| Sn | 2.2 | 1.5 | 1.6 |
| Si | 30.5 | 30.4 | 29.2 |
| Ti | 0.4 | 0.4 | 0.3 |
| Na | 3.6 | 3.4 | 3.4 |
| Ca | 4.1 | 5.1 | 4.9 |
| Mg | 0.8 | 1.0 | 1.2 |
| Al | 0.7 | 0.7 | 0.9 |
Publisher’s Note: MDPI stays neutral with regard to jurisdictional claims in published maps and institutional affiliations. |
© 2022 by the authors. Licensee MDPI, Basel, Switzerland. This article is an open access article distributed under the terms and conditions of the Creative Commons Attribution (CC BY) license (https://creativecommons.org/licenses/by/4.0/).
Share and Cite
Kamarozaman, N.S.; Zainal, N.; Rosli, A.B.; Zulkefle, M.A.; Nik Him, N.R.; Abdullah, W.F.H.; Herman, S.H.; Zulkifli, Z. Highly Sensitive and Selective Sol-Gel Spin-Coated Composite TiO2–PANI Thin Films for EGFET-pH Sensor. Gels 2022, 8, 690. https://doi.org/10.3390/gels8110690
Kamarozaman NS, Zainal N, Rosli AB, Zulkefle MA, Nik Him NR, Abdullah WFH, Herman SH, Zulkifli Z. Highly Sensitive and Selective Sol-Gel Spin-Coated Composite TiO2–PANI Thin Films for EGFET-pH Sensor. Gels. 2022; 8(11):690. https://doi.org/10.3390/gels8110690
Chicago/Turabian StyleKamarozaman, Nur Syahirah, Nurbaya Zainal, Aimi Bazilah Rosli, Muhammad Alhadi Zulkefle, Nik Raikhan Nik Him, Wan Fazlida Hanim Abdullah, Sukreen Hana Herman, and Zurita Zulkifli. 2022. "Highly Sensitive and Selective Sol-Gel Spin-Coated Composite TiO2–PANI Thin Films for EGFET-pH Sensor" Gels 8, no. 11: 690. https://doi.org/10.3390/gels8110690
APA StyleKamarozaman, N. S., Zainal, N., Rosli, A. B., Zulkefle, M. A., Nik Him, N. R., Abdullah, W. F. H., Herman, S. H., & Zulkifli, Z. (2022). Highly Sensitive and Selective Sol-Gel Spin-Coated Composite TiO2–PANI Thin Films for EGFET-pH Sensor. Gels, 8(11), 690. https://doi.org/10.3390/gels8110690

