Influence of Casein Hydrolysates and Yeast on the Rheological Properties of Wheat Dough
Abstract
1. Introduction
2. Results and Discussion
2.1. Linear Viscoelastic Range (LVER)
2.2. Mechanical Spectra
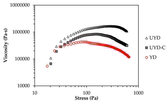
2.3. Yield Point
3. Conclusions
4. Materials and Methods
4.1. Fortification Ingredients
4.2. Samples
4.3. Dough Sample Preparation
4.4. Rheological Tests
4.4.1. Linear Viscoelastic Test
4.4.2. Mechanical Spectra
4.4.3. Yield Point
4.5. Statistical Analysis
Author Contributions
Funding
Institutional Review Board Statement
Informed Consent Statement
Data Availability Statement
Acknowledgments
Conflicts of Interest
References
- Hoseney, R.C.; Rogers, D.E. The formation and properties of wheat flour doughs. Crit. Rev. Food Sci. Nutr. 1990, 29, 73–93. [Google Scholar] [CrossRef] [PubMed]
- Campos, D.T.; Steffe, J.F.; Ng, P.K.W. Rheological behavior of undeveloped and developed wheat dough. Cereal Chem. 1997, 74, 489–494. [Google Scholar] [CrossRef]
- Qian, X.; Gu, Y.; Sun, B.; Wang, X. Changes of aggregation and structural properties of heat-denatured gluten proteins in fast-frozen steamed bread during frozen storage. Food Chem. 2021, 365, 130492. [Google Scholar] [CrossRef]
- Salvador, A.; Sanz, T.; Fiszman, S.M. Dynamic rheological characteristics of wheat flour–water doughs. Effect of adding NaCl, sucrose and yeast. Food Hydrocoll. 2006, 20, 780–786. [Google Scholar] [CrossRef]
- Asghar, A.; Anjum, F.M.; Allen, J.C.; Daubert, C.R.; Rasool, G. Effect of modified whey protein concentrates on empirical and fundamental dynamic mechanical properties of frozen dough. Food Hydrocoll. 2009, 23, 1687–1692. [Google Scholar] [CrossRef]
- Dobraszczyk, B.J.; Morgenstern, M.P. Rheology and the bread making process. J. Cereal Sci. 2003, 38, 229–245. [Google Scholar] [CrossRef]
- Hu, X.; Cheng, L.; Hong, Y.; Li, Z.; Li, C.; Gu, Z. Changes of aggregation and structural properties of heat-denatured gluten proteins in fast-frozen steamed bread during frozen storage. Crit. Rev. Food Sci. Nutr. 2021. [Google Scholar] [CrossRef]
- Kenny, S.; Wehrle, K.; Stanton, C.; Arendt, E.K. Incorporation of dairy ingredients into wheat bread: Effects on dough rheology and bread quality. Eur. Food Res. Technol. 2000, 210, 391–396. [Google Scholar] [CrossRef]
- Siddiqi, R.A.; Singh, T.P.; Rani, M.; Sogi, D.S.; Bhat, M.A. Diversity in Grain, Flour, Amino Acid Composition, Protein Profiling, and Proportion of Total Flour Proteins of Different Wheat Cultivars of North India. Front. Nutr. 2020, 7. [Google Scholar] [CrossRef]
- FitzGerald, R.J. Potential Uses of Caseinophosphopeptides. Int. Dairy J. 1998, 8, 451–457. [Google Scholar] [CrossRef]
- Skibsted, L.H. Mineral nutrient interaction: Improving bioavailability of calcium and iron. Food Sci. Biotechnol. 2016, 25, 1233–1241. [Google Scholar] [CrossRef] [PubMed]
- Zhou, J.; Liu, J.; Tang, X. Effects of whey and soy protein addition on bread rheological property of wheat flour. J. Tex. Stud. 2017, 39, 38–46. [Google Scholar] [CrossRef]
- Gani, A.; Broadway, A.A.; Masoodi, F.A.; Wani, A.A.; Maqsood, S.; Ashwar, B.A.; Shah, A.; Rather, S.A.; Gani, A. Enzymatic hydrolysis of whey and casein protein-effect on functional, rheological, textural and sensory properties of breads. J. Food Sci. Technol. 2015, 52, 7697–7709. [Google Scholar] [CrossRef] [PubMed]
- Phelan, M.; Aherne, A.; Fitzgerald, R.J.; O’Brien, N.M. Casein-derived bioactive peptides: Biological effects, industrial uses, safety aspects and regulatory status. Int. Dairy J. 2009, 19, 643–654. [Google Scholar] [CrossRef]
- Neklyudov, A.D.; Ivankin, A.N.; Berdutina, A.V. Properties and uses of protein hydrolysates (Review). Appl. Biochem. Micro. 2000, 36, 452–459. [Google Scholar] [CrossRef]
- Nijenhuis, K. Thermoreversible Networks; Springer: Berlin/Heidelberg, Germany, 1997; pp. 8–11. [Google Scholar]
- Moreno, H.M.; Domínguez-Timón, F.; Díaz, M.T.; Pedrosa, M.M.; Borderías, A.J.; Tovar, C.A. Evaluation of gels made with different commercial pea protein isolate: Rheological, structural and functional properties. Food Hydrocoll. 2020, 99, 105375. [Google Scholar] [CrossRef]
- Borderías, A.J.; Tovar, C.A.; Dominguez-Timón, F.; Díaz, M.T.; Pedrosa, M.M.; Moreno, H.M. Characterization of healthier mixed surimi gels obtained through partial substitution of myofibrillar proteins by pea protein isolates. Food Hydrocoll. 2020, 107, 105976. [Google Scholar] [CrossRef]
- Wachirasiri, K.; Wanlapa, S.; Uttapap, D.; Puttanlek, C.; Rungsardthong, V. Changing in processing yield and physical properties of frozenwhite shrimp (Penaeus vannamei) treated with lysine and sodium bicarbonate. Int. J. Food Sci. Technol. 2017, 52, 763–771. [Google Scholar] [CrossRef]
- Sivam, A.S.; Sun-Waterhouse, D.; Perera, C.O.; Waterhouse, G.I.N. Application of FT-IR and Raman spectroscopy for the study of biopolymers in breads fortified with fibre and polyphenols. Food Res. Int. 2013, 50, 574–585. [Google Scholar] [CrossRef]
- Nawrocka, A.; Szymańska-Chargot, M.; Miś, A.; Wilczewska, A.Z.; Markiewicz, K.H. Effect of dietary fibre polysaccharides on structure and thermal properties of gluten proteins—A study on gluten dough with application of FT-Raman spectroscopy, TGA and DSC. Food Hydrocoll. 2017, 69, 410–421. [Google Scholar] [CrossRef]
- Han, W.; Ma, S.; Li, L.; Zheng, X.; Wang, X. Gluten aggregation behavior in gluten and gluten-starch doughs after wheat bran dietary fiber addition. LWT-Food Sci. Technol. 2019, 106, 1–6. [Google Scholar] [CrossRef]
- Zadow, J.G. Measurement of the effect of whey protein concentrates on fermenting doughs by the Instron Tester. Aust. J. Dairy Technol. 1981, 36, 56–59. [Google Scholar]
- Verheyen, C.; Jekle, M.; Becker, T. Effects of Saccharomyces cerevisiae on the structural kinetics of wheat dough during fermentation. LWT Food Sci. Technol. 2014, 58, 194–202. [Google Scholar] [CrossRef]
- Wehrle, K.; Arendt, E.K. Rheological Changes in Wheat Sourdough During Controlled and Spontaneous Fermentation. Cereal Chem. 1998, 75, 882–886. [Google Scholar] [CrossRef]
- Iuga, M.; Boestean, O.; Ghendov-Mosanu, A.; Mironeasa, S. Impact of dairy ingredients on wheat flour dough rheology and bread properties. Foods 2020, 9, 828. [Google Scholar] [CrossRef]
- Larson, R.G. The Structure and Rheology of Complex Fluids; Oxford University Press: New York, NY, USA, 1999; pp. 35–37. [Google Scholar] [CrossRef]
- Figura, L.O.; Teixeira, A.A. Food Physics; Springer: Berlin/Heidelberg, Germany, 2007; pp. 207–232. [Google Scholar] [CrossRef]
- FrieslandCampina Ingredients. Available online: https://www.frieslandcampinaingredients.com/ (accessed on 10 December 2017).
- Troncoso, R. Development of Biscuits Enriched with Phytosterols and Fortified with Iron and Calcium Using Casein Hydrolysates as Carriers. University of Vigo. 2018. Available online: http://www.investigo.biblioteca.uvigo.es/xmlui/handle/11093/1110 (accessed on 30 May 2020).
- Campo-Deaño, L.; Tovar, C.A. The effect of egg albumen on the viscoelasticity of crab sticks made from Alaska Pollock and Pacific Whiting surimi. Food Hydrocoll. 2009, 23, 1641–1646. [Google Scholar] [CrossRef]
- Sahin, S.; Sumnu, G. Physical Properties of Foods; Springer: New York, NY, USA, 2006; pp. 72–75. [Google Scholar] [CrossRef]


| Sample | σmax (Pa) | γmax (%) | G* (kPa) | tanδ | a (kPa) | b (Pa) | r2 | E (J·m−3) |
|---|---|---|---|---|---|---|---|---|
| UYD | 148 ± 15 a | 0.153 ± 0.021 a | 98 ± 13 ab | 0.416 ± 0.015 a | 95.00 ± 0.41 b | 5.34 ± 0.31 a | 0.998 | 0.116 ± 0.016 a |
| UYD-C | 189 ± 19 b | 0.315 ± 0.057 b | 72 ± 20 a | 0.573 ± 0.012 b | 59.67 ± 0.30 a | 8.44 ± 0.44 b | 0.997 | 0.316 ± 0.057 b |
| YD | 148 ± 15 a | 0.122 ± 0.029 a | 143 ± 36 b | 0.536 ± 0.028 b | 120.31 ± 0.91 c | 9.20 ± 0.52 b | 0.994 | 0.098 ± 0.023 a |
| Sample | G0′ (kPa) | n′ | δ0 High Range | np High Range | δ0 Low Range | np Low Range |
|---|---|---|---|---|---|---|
| UYD | 50.5 ± 6.0 b | 0.153 ± 0.003 a | 18.03 ± 0.67 a | 0.043 ± 0.005 a | 17.74 ± 0.79 a | −0.130 ± 0.004 b |
| UYD-C | 31.7 ± 2.8 a | 0.145 ± 0.005 a | 19.32 ± 0.83 a | 0.053 ± 0.004 b | 18.6 ± 1.4 a | −0.105 ± 0.008 a |
| Sample | μc (kPas) | σc (Pa) | γc (%) |
|---|---|---|---|
| YD | 437 ± 206 a | 83 ± 12 a | 1.34 ± 0.24 a |
| UYD | 1717 ± 652 c | 280 ± 58 c | 3.31 ± 0.51 c |
| UYD-C | 848 ± 90 b | 166 ± 17 b | 2.47 ± 0.20 b |
| Ingredient (g/100 g) | YD | UYD | UYD-C |
|---|---|---|---|
| Wheat Flour | 70 (100%) | 65 (100%) | 62 (100%) |
| Water | 27 (39%) | 34 (52%) | 32 (52%) |
| Salt | 1.3 (1.9%) | 1.2 (1.9%) | 1.2 (1.9%) |
| Yeast | 1.4 (2.0%) | - | - |
| CHs | - | - | 4.3 (6.9%) |
Publisher’s Note: MDPI stays neutral with regard to jurisdictional claims in published maps and institutional affiliations. |
© 2022 by the authors. Licensee MDPI, Basel, Switzerland. This article is an open access article distributed under the terms and conditions of the Creative Commons Attribution (CC BY) license (https://creativecommons.org/licenses/by/4.0/).
Share and Cite
Troncoso Recio, R.; Pérez Guerra, N.; Torrado Agrasar, A.; Tovar Rodríguez, C.A. Influence of Casein Hydrolysates and Yeast on the Rheological Properties of Wheat Dough. Gels 2022, 8, 689. https://doi.org/10.3390/gels8110689
Troncoso Recio R, Pérez Guerra N, Torrado Agrasar A, Tovar Rodríguez CA. Influence of Casein Hydrolysates and Yeast on the Rheological Properties of Wheat Dough. Gels. 2022; 8(11):689. https://doi.org/10.3390/gels8110689
Chicago/Turabian StyleTroncoso Recio, Ricardo, Nelson Pérez Guerra, Ana Torrado Agrasar, and Clara Asunción Tovar Rodríguez. 2022. "Influence of Casein Hydrolysates and Yeast on the Rheological Properties of Wheat Dough" Gels 8, no. 11: 689. https://doi.org/10.3390/gels8110689
APA StyleTroncoso Recio, R., Pérez Guerra, N., Torrado Agrasar, A., & Tovar Rodríguez, C. A. (2022). Influence of Casein Hydrolysates and Yeast on the Rheological Properties of Wheat Dough. Gels, 8(11), 689. https://doi.org/10.3390/gels8110689

