Injectable Thermosensitive Composite Hydrogels for Sustained Nanoparticle Delivery and Enhanced Wound Healing
Abstract
1. Introduction
2. Results and Discussion
2.1. Synthesis of Hydrogels
2.1.1. Mechanical Analysis of Hydrogels
Formulation Optimization of the Composite Hydrogel
Rheological Characterization of Hydrogels
Thermosensitive Sol–Gel Transition Behavior
Injectability and Structural Stability of Hydrogels
2.2. Structural Characterization and Analysis
2.2.1. FTIR Spectral Analysis
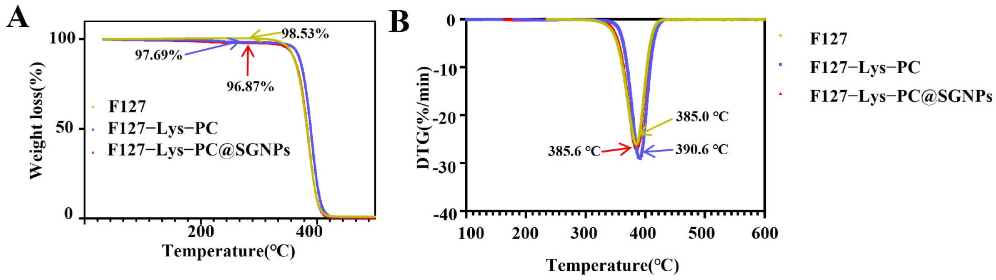
2.2.2. TGA
2.2.3. SEM Analysis
2.2.4. Determination of Particle Size, Polydispersity Index (PDI) and Zeta Potential
2.3. In Vitro Biocompatibility and Functional Evaluation
2.3.1. Hemocompatibility Evaluation of Hydrogels
2.3.2. In Vitro Release
2.3.3. ABTS+ Free Radical Scavenging Activity
2.3.4. Swelling Ratio
2.3.5. Cell Migration and Antioxidant Activity
2.4. In Vivo Wound Healing Performance
Efficacy of Hydrogels in Wound Healing
3. Conclusions
4. Materials and Methods
4.1. Materials
4.2. Preparation of Hydrogels
4.3. FTIR Spectroscopy
4.4. Rheological Analysis
4.5. Morphological Analysis
4.6. Swelling Ratio Tests
4.7. Particle Size, PDI and Zeta Potential Analysis
4.8. In Vitro Blood Compatibility Assay
4.9. In Vitro Release of SGNPs from Composite Hydrogels in PBS
4.10. ABTS+ Radical Scavenging Assay
4.11. In Vitro Cell Experiments
4.12. In Vivo Experiments
4.13. Statistical Analysis
Supplementary Materials
Author Contributions
Funding
Institutional Review Board Statement
Informed Consent Statement
Data Availability Statement
Acknowledgments
Conflicts of Interest
Abbreviations
| DLS | Dynamic light scattering |
| F127 | Pluronic F127 |
| FTIR | Fourier transform infrared spectroscopy |
| G′ | Storage modulus |
| G″ | Loss modulus |
| HPLC | High-performance liquid chromatography |
| Lys | L-lysine |
| PC | Phosphatidylcholine |
| PDI | Polydispersity index |
| RBCs | Red blood cells |
| ROS | Reactive oxygen species |
| SEM | Scanning electron microscopy |
| SGNPs | Sinomenine–gallic acid nanoparticles |
| TGA | Thermogravimetric analysis |
References
- Jia, X.; Fan, D.; Yang, Z.; Chang, J.; Wang, Q.; Cui, X.; Liu, D.; Cui, N.; Jin, Y. Research Progress of Natural Polysaccharide-Based Hydrogels in Skin Tissue Regeneration. Gels 2026, 12, 21. [Google Scholar] [CrossRef]
- Chen, G.; Yu, Y.; Wu, X.; Wang, G.; Ren, J.; Zhao, Y. Bioinspired Multifunctional Hybrid Hydrogel Promotes Wound Healing. Adv. Funct. Mater. 2018, 28, 1870233. [Google Scholar] [CrossRef]
- Marjanovic, J.; Jurczuk, V.; Tose, L.V.; Cintron Diaz, Y.; Fernandez Lima, F.; Abdo Abujamra, B.; Danker, S.; Jabori, S.; Singh, D.; Burgess, J.L. Scaffolds with Spatiotemporally Controlled Growth Factor Delivery and Cyclodextrin-Enabled Antagonism of Growth Factor Receptor Sequestration Promote Cutaneous Wound Healing. NPJ Regen. Med. 2025, 10, 42. [Google Scholar] [CrossRef] [PubMed]
- Karimzadeh, F.; Fard, E.S.; Nadi, A.; Malekzadeh, R.; Elahian, F.; Mirzaei, S.A. Advances in Skin Gene Therapy: Utilizing Innovative Dressing Scaffolds for Wound Healing, a Comprehensive Review. J. Mater. Chem. B Mater. Biol. Med. 2024, 12, 30. [Google Scholar] [CrossRef] [PubMed]
- Liu, Y.; Lv, A.; Wu, J.; Wang, X.; Liu, Y.; Mak, P.I.; Martins, R.P.; Xu, R.H.; Jia, Y. Wound Healing Accelerated by Stem Cell Bandage. Chem. Eng. J. 2025, 517, 164346. [Google Scholar] [CrossRef]
- Tsuchiya, M.; Kushibiki, T.; Yamashiro, T.; Mayumi, Y.; Ishihara, M.; Azuma, R. Continuous Negative-pressure Wound Therapy Improves the Survival Rate of Skin Grafts and Shortens the Time Required for Skin Graft Survival. Ski. Res. Technol. 2024, 30, e13865. [Google Scholar] [CrossRef]
- Shi, S.; Hu, L.; Hu, D.; Ou, X.; Huang, Y. Emerging Nanotherapeutic Approaches for Diabetic Wound Healing. Int. J. Nanomed. 2024, 19, 8815–8830. [Google Scholar] [CrossRef]
- Kim, Y.; Kim, S.E.; Park, K.D.; Park, K.M. Bioadhesives and Bioactive Hydrogels for Wound Management. J. Control. Release 2025, 379, 285–302. [Google Scholar] [CrossRef]
- Bian, S.; Hu, X.; Zhu, H.; Du, W.; Wang, C.; Wang, L.; Hao, L.; Xiang, Y.; Meng, F.; Hu, C. 3D Bioprinting of Artificial Skin Substitute with Improved Mechanical Property and Regulated Cell Behavior through Integrating Patterned Nanofibrous Films. ACS Nano 2024, 18, 19. [Google Scholar] [CrossRef]
- Lu, C.; Sun, Q.; Li, Z.; Wei, Y.; Yu, J.; Li, S.; Wang, Y.; Li, K.; Tang, C.; Cao, H. Injectable Glycyrrhizinate-Pectin Hydrogel Wound Dressing Based on Natural Ingredients. Carbohydr. Polym. 2025, 359, 123562. [Google Scholar] [CrossRef]
- Agrawal, R.; Spicer, P.T.; García-Tuón, E. Connecting Bulk Rheology, Structural Transitions and Heterogeneous Flow in Pluronic F127 Micellar Cubic Liquid Crystals Using Rheo-Microscopy. J. Colloid Interface Sci. 2025, 699, 138226. [Google Scholar] [CrossRef] [PubMed]
- Li, S.; Yang, C.; Li, J.; Zhang, C.; Zhu, L.; Song, Y.; Guo, Y.; Wang, R.; Gan, D.; Shi, J. Progress in Pluronic F127 Derivatives for Application in Wound Healing and Repair. Int. J. Nanomed. 2023, 18, 21. [Google Scholar] [CrossRef] [PubMed]
- Tundisi, L.L.; Yang, R.; Borelli, L.P.P.; Alves, T.; Kohane, D.S. Enhancement of the Mechanical and Drug-Releasing Properties of Poloxamer 407 Hydrogels with Casein. Pharm. Res. 2021, 38, 515–522. [Google Scholar] [CrossRef] [PubMed]
- Liu, J.; Du, C.; Lei, H.Y. Injectable Smart Stimuli-Responsive Hydrogels: Pioneering Advancements in Biomedical Applications. Biomater. Sci. 2024, 12, 8–56. [Google Scholar] [CrossRef]
- Hu, W.; Wang, Z.; Xiao, Y.; Zhang, S.; Wang, J. Advances in Crosslinking Strategies of Biomedical Hydrogels. Biomater. Sci. 2019, 7, 843–855. [Google Scholar] [CrossRef]
- Cardoso-Daodu, I.; Ilomuanya, M.; Azubuike, C. Development of Curcumin-Loaded Liposomes in Lysine–Collagen Hydrogel for Surgical Wound Healing. Beni-Suef Univ. J. Basic Appl. Sci. 2022, 11, 100. [Google Scholar] [CrossRef]
- Hsu, N.S.; Huang, W.; Chang, H.M.; Tsai, C.H.; Ku, W.H.; Chang, Y.C.; Lin, S.Y.; Chang, L.; Lin, P.P.; Tsai, H.C. Development of a Sprayable Thermosensitive Lysine-Modified Pluronic Hyaluronic Acid Hydrogel for Enhanced Wound Healing and Adhesion Prevention in Laparoscopic Applications. Int. J. Biol. Macromol. 2025, 321, 146297. [Google Scholar] [CrossRef]
- Chuacharoen, T.; Sabliov, C. Stability and Controlled Release of Lutein Loaded in Zein Nanoparticles with and without Lecithin and Pluronic F127 Surfactants. Colloids Surf. A Physicochem. Eng. Asp. 2016, 503, 11–18. [Google Scholar] [CrossRef]
- He, H.; Cao, L.; Wang, Z.; Wang, Z.; Miao, J.; Li, X.M.; Miao, M. Sinomenine Relieves Airway Remodeling by Inhibiting Epithelial-Mesenchymal Transition Through Downregulating TGF-Β1 and Smad3 Expression. Front. Immunol. 2021, 12, 736479. [Google Scholar] [CrossRef]
- Selvaraj, S.; Inbasekar, C.; Pandurangan, S.; Nishter, N.F. Collagen-Coated Silk Fibroin Nanofibers with Antioxidants for Enhanced Wound Healing. J. Biomater. Sci. 2023, 34, 35–52. [Google Scholar] [CrossRef]
- Liu, L.; Ding, Z.; Huang, Y.; Zou, J. Magnesium Ion/Gallic Acid MOF-Laden Multifunctional Acellular Matrix Hydrogels for Diabetic Wound Healing. ACS Appl. BIO Mater. 2025, 8, 3811–3823. [Google Scholar] [CrossRef]
- Xu, C.; Guan, S.; Zhang, H.; Fan, W.; Zhuang, X.; Dong, X. Hierarchical Hybrid Crosslinking Multifunctional Gelatin-Based Hydrogel: Ideal Platforms for Flexible Wearable Devices, Brain–Computer Interfaces and Biomedical Applications. J. Mater. Chem. A Mater. Energy Sustain. 2025, 13, 450–459. [Google Scholar] [CrossRef]
- Rammensee, S.; Huemmerich, D.; Hermanson, K.D.; Scheibel, T.; Bausch, A.R. Rheological Characterization of Hydrogels Formed by Recombinantly Produced Spider Silk. Appl. Phys. A 2006, 82, 261. [Google Scholar] [CrossRef]
- Chen, R.; He, Y.; Tian, L.; Meng, Y.; Chen, Z.; Ma, N.; Wang, C.; He, H. Tailoring of a Specific pH-Induced Self-Enhanced Photothermal Cellulose Hydrogel for Antibiotic-Resistant Bacteria-Infected Wound Treatment. Chem. Eng. J. 2025, 513, 163025. [Google Scholar] [CrossRef]
- Liu, G.; Bao, Z.; Wu, J. Injectable Baicalin/F127 Hydrogel with Antioxidant Activity for Enhanced Wound Healing. Chin. Chem. Lett. 2020, 31, 1817–1821. [Google Scholar] [CrossRef]
- Xiang, G.; Wang, B.; Zhang, W.; Dong, Y.; Tao, J.; Zhang, A.; Chen, R.; Jiang, T.; Zhao, X. A Zn-MOF-GOx-Based Cascade Nanoreactor Promotes Diabetic Infected Wound Healing by NO Release and Microenvironment Regulation. Acta Biomater. 2024, 182, 245–259. [Google Scholar] [CrossRef]
- Zhang, L.; Sheng, C.; Chen, C.; Luo, J.; Wu, Z.; Cao, H. Ecofriendly Polysaccharide-Based Alginate/Pluronic F127 Semi-IPN Hydrogel with Magnetic Collectability for Precise Release of Pesticides and Sustained Pest Control. Int. J. Biol. Macromol. 2023, 251, 13. [Google Scholar] [CrossRef]
- Gaffney, M.J.; Han, Q.; Fox, K.; Tran, N. Tuning Pluronic Hydrogel Networks: Effects of Vancomycin Loading on Gelation, Rheological Properties, and Micellar Structures. Gels 2025, 11, 688. [Google Scholar] [CrossRef]
- He, S.; Liang, W.; Tang, Y.; Zhang, J.; Wang, R.; Quan, L.; Ouyang, Y.; Huang, R.; Dou, R.; Wu, D. Robust Super-Structured Porous Hydrogel Enables Bioadaptive Repair of Dynamic Soft Tissue. Nat. Commun. 2025, 16, 3198. [Google Scholar] [CrossRef]
- Manimaran, M.; Norizan, M.N.; Kassim, M.H.M.; Adam, M.R.; Abdullah, N.; Norrrahim, M.N.F. Critical Review on the Stability and Thermal Conductivity of Water-Based Hybrid Nanofluids for Heat Transfer Applications. RSC Adv. 2025, 15, 14088–14125. [Google Scholar] [CrossRef]
- Roamcharern, N.; Punnabhum, P.; Seib, F.P.; Rattray, Z. Evaluating the Impact of Bioinspired Counterion Inclusion on Silk Nanoparticle Physicochemical Attributes and Physical Stability. Nanoscale Adv. 2025, 7, 5519–5535. [Google Scholar] [CrossRef]
- Solanki, D.; Vinchhi, P.; Patel, M.M. Design Considerations, Formulation Approaches, and Strategic Advances of Hydrogel Dressings for Chronic Wound Management. ACS Omega 2023, 8, 8172–8189. [Google Scholar] [CrossRef]
- ISO 10993-4; Biological Evaluation of Medical Devices—Part 4: Selection of Tests For interactions with Blood. ISO: Geneva, Switzerland, 2017.
- Guo, H.; Luo, H.; Ou, J. Preparation of a Chitosan/Polyvinyl Alcohol-Based Dual-Network Hydrogel for Use as a Potential Wound-Healing Material for the Sustainable Release of Drugs. Carbohydr. Polym. 2025, 348, 122822. [Google Scholar] [CrossRef] [PubMed]
- Liu, Z.; Li, H.; Huang, Y.; Li, J.; Dong, R.; Yun, X.; Ren, Y.; Liu, X.; Hui, H.; Wu, L. Thermal-Responsive Microgels Incorporated PVA Composite Hydrogels: Integration of Two-Stage Drug Release and Enhanced Self-Healing Ability for Chronic Wound Treatment. Chem. Eng. J. 2025, 506, 159813. [Google Scholar] [CrossRef]
- Mukubwa, G.K.; Safari, J.B.; Tetana, Z.N.; Jones, C.N.; Walker, R.B.; Krause, R.W.M. Lipid Nanocapsule-Chitosan and Iota-Carrageenan Hydrogel Composite for Sustained Hydrophobic Drug Delivery. Sci. Rep. 2025, 15, 42349. [Google Scholar] [CrossRef] [PubMed]
- Hunt, M.; Torres, M.; Bachar-Wikstrom, E.; Wikstrom, J.D. Cellular and Molecular Roles of Reactive Oxygen Species in Wound Healing. Commun. Biol. 2024, 7, 1534. [Google Scholar] [CrossRef]
- Ukaegbu, K.; Allen, E.; Svoboda, K.K.H. Reactive Oxygen Species and Antioxidants in Wound Healing: Mechanisms and Therapeutic Potential. Int. Wound J. 2025, 22, e70330. [Google Scholar] [CrossRef]
- Li, H.; Wei, S.; Ling, Q.; Wang, R.; Liu, T.; Yu, H.; Zhao, P.; Zhang, K.; Bian, L.; Liao, W. Nanozyme-Reinforced Hydrogel Spray as a Reactive Oxygen Species-Driven Oxygenator to Accelerate Diabetic Wound Healing. Adv. Mater. 2025, 37, 2504829. [Google Scholar] [CrossRef]
- Forooshani, P.K.; Razaviamri, F.; Smies, A.; Morath, L.; Pinnaratip, R.; Bhuiyan, M.S.A.; Rajachar, R.M.; Goldman, J.; Lee, B.P. Accelerated Dermal Wound Healing in Diabetic Mice by H2O2-Generating Catechol-Functionalized Gelatin Microgel. J. Mater. Chem. B 2025, 13, 3967–3979. [Google Scholar] [CrossRef]
- Wu, X.; Zang, R.; Qiu, Y.; Yang, N.; Liu, M.; Wei, S.; Xu, X.; Diao, Y. Self-Assembly of Rhein and Matrine Nanoparticles for Enhanced Wound Healing. Molecules 2024, 29, 3326. [Google Scholar] [CrossRef]
- Zhang, W.; Liu, W.; Long, L.; He, S.; Wang, Z.; Liu, Y.; Yang, L.; Chen, N.; Hu, C.; Wang, Y. Responsive Multifunctional Hydrogels Emulating the Chronic Wounds Healing Cascade for Skin Repair. J. Control. Release 2023, 354, 821–834. [Google Scholar] [CrossRef] [PubMed]
- Sathiyaseelan, A.; Jang, Y.S.; Zhang, X.; Hong, I.K.; Wang, M.H. Development and Efficacy of Arbutin-Loaded Agarose Hydrogel for Antioxidant and Depigmentation Applications. Int. J. Biol. Macromol. 2025, 309, 142642. [Google Scholar] [CrossRef] [PubMed]












| F127 (w/v %) | Lys (w/v %) | PC (w/v %) | SGNPs (Equiv. Sinomenine Concentration/mM) | |
|---|---|---|---|---|
| F127−Lys−PCF127−Lys−PC | 25 | 0.3/0.6 | 0.1/0.2/0.3 | 0 |
| F127−Lys−PCF127−Lys−PC@SGNPs | 25 | 0.3 | 0.1 | 1 |
Disclaimer/Publisher’s Note: The statements, opinions and data contained in all publications are solely those of the individual author(s) and contributor(s) and not of MDPI and/or the editor(s). MDPI and/or the editor(s) disclaim responsibility for any injury to people or property resulting from any ideas, methods, instructions or products referred to in the content. |
© 2026 by the authors. Licensee MDPI, Basel, Switzerland. This article is an open access article distributed under the terms and conditions of the Creative Commons Attribution (CC BY) license.
Share and Cite
Qiu, Y.; Cheng, Z.; Liu, M.; Zhang, D.; Gao, X.; Feng, L.; Xu, X.; You, H.; Wu, X.; Diao, Y. Injectable Thermosensitive Composite Hydrogels for Sustained Nanoparticle Delivery and Enhanced Wound Healing. Gels 2026, 12, 191. https://doi.org/10.3390/gels12030191
Qiu Y, Cheng Z, Liu M, Zhang D, Gao X, Feng L, Xu X, You H, Wu X, Diao Y. Injectable Thermosensitive Composite Hydrogels for Sustained Nanoparticle Delivery and Enhanced Wound Healing. Gels. 2026; 12(3):191. https://doi.org/10.3390/gels12030191
Chicago/Turabian StyleQiu, Yiting, Zhiyun Cheng, Meiyan Liu, Dagui Zhang, Xia Gao, Longxiang Feng, Xianxiang Xu, Haoyang You, Xunxun Wu, and Yong Diao. 2026. "Injectable Thermosensitive Composite Hydrogels for Sustained Nanoparticle Delivery and Enhanced Wound Healing" Gels 12, no. 3: 191. https://doi.org/10.3390/gels12030191
APA StyleQiu, Y., Cheng, Z., Liu, M., Zhang, D., Gao, X., Feng, L., Xu, X., You, H., Wu, X., & Diao, Y. (2026). Injectable Thermosensitive Composite Hydrogels for Sustained Nanoparticle Delivery and Enhanced Wound Healing. Gels, 12(3), 191. https://doi.org/10.3390/gels12030191

