Hemicellulosic Biogels: A Fundamentally New Sustainable Platform Approach to Address Societal Grand Challenges
Abstract
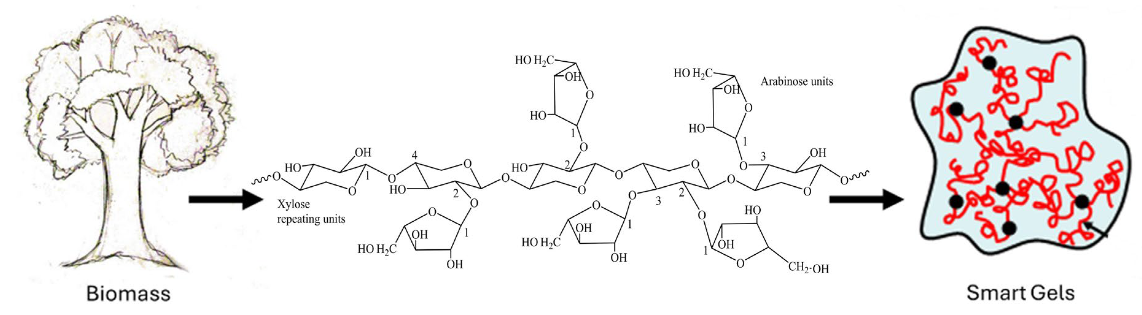
1. Introduction
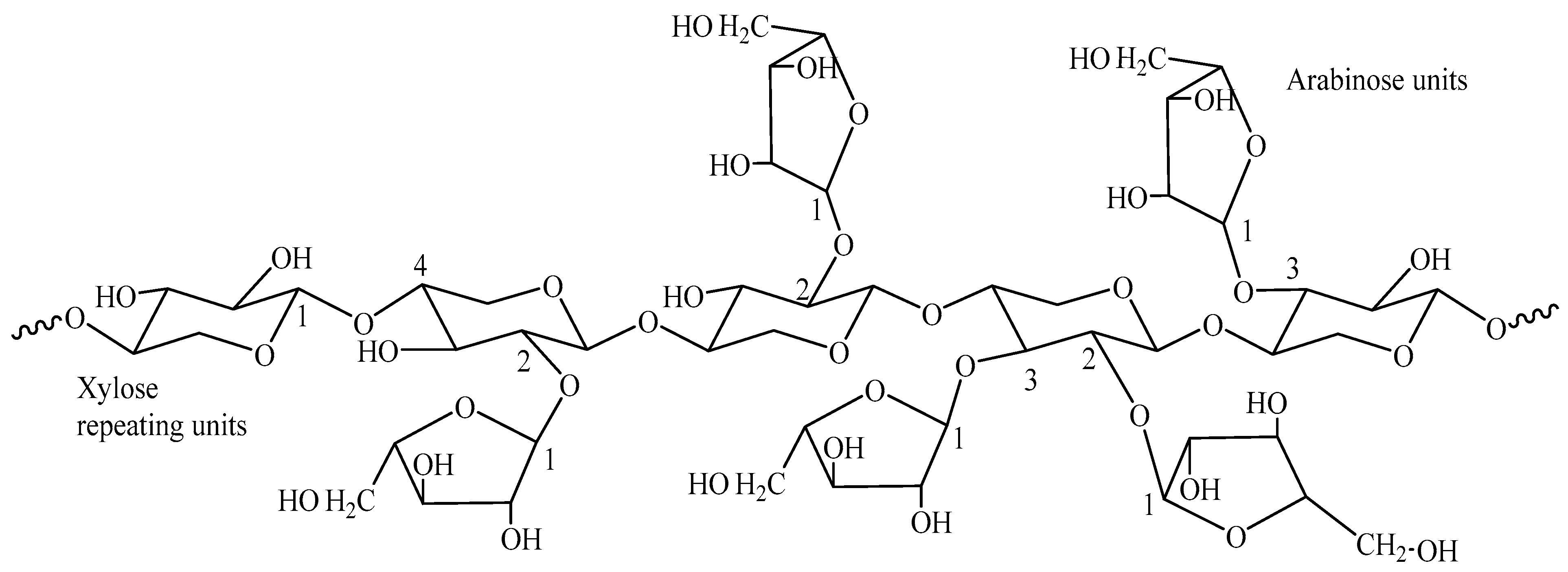
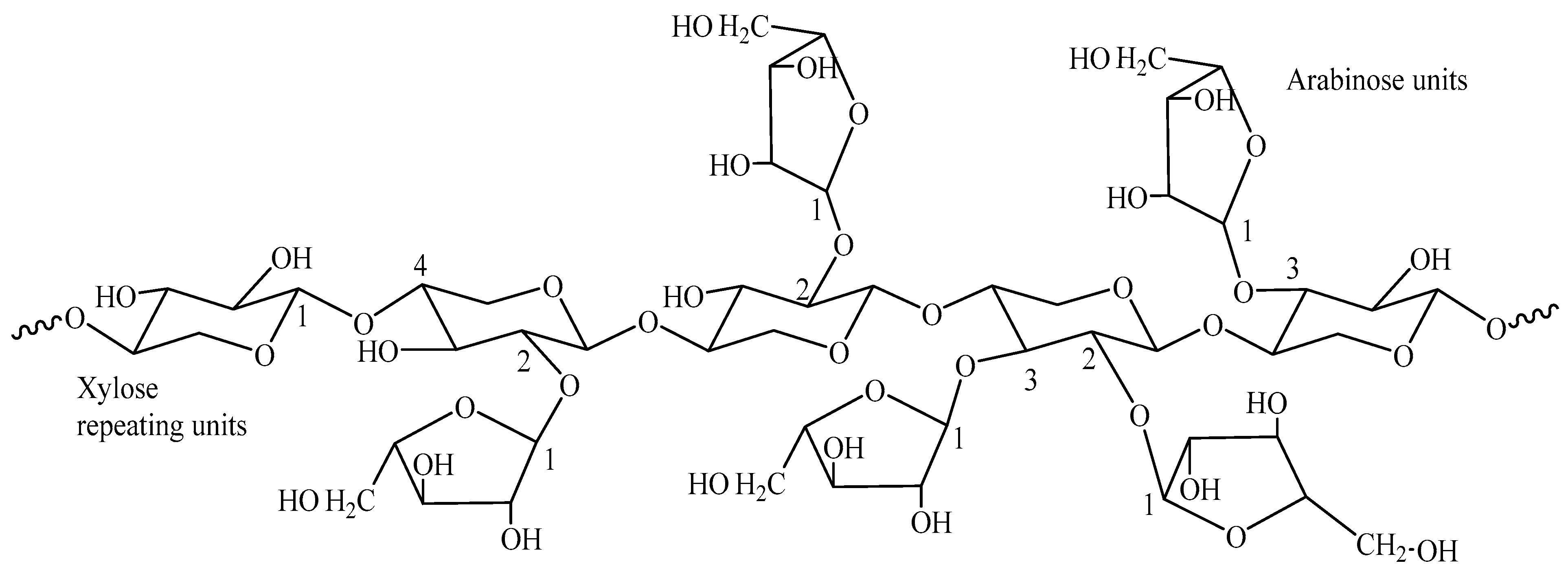
2. Biorefinery of Hemicelluloses
2.1. Extraction of Hemicelluloses Under Alkaline Conditions After Bleaching by NaClO2 [10,11,12,13]
2.2. Direct Alkaline Extraction of Hemicellulose
2.3. Molecular Weight Characterization of Extracted Hemicelluloses
3. Hemicellulose-Based Gels: Fundamental Properties and Advanced Processing
Principles of Gel Formation and Swelling Dynamics
4. Hemicellulose-Based Hydrogels in Water Treatment
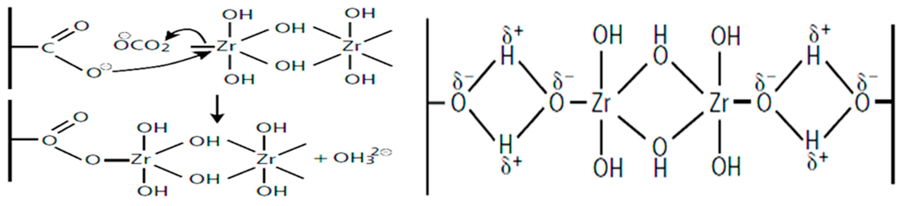
5. Hemicellulose-Based Gels in Adhesive and Coating Systems
5.1. Performance Characteristics in Paper and Packaging Applications
5.2. Hemicellulose Versus Lignin-Based Adhesives in Bio-Based Formulations
5.3. Advantages and Future Directions in Adhesive and Coating Applications
6. Applications in Biomedical, Food, and Agriculture
6.1. Biomedical Applications
6.2. Food and Beverage Industry
6.3. Agriculture
7. Quantitative Benchmarking Against Conventional Materials
8. Sustainability, Limitations, and Future Perspectives
9. Conclusions
Author Contributions
Funding
Data Availability Statement
Conflicts of Interest
References
- Saxena, V. Water quality, air pollution, and climate change: Investigating the environmental impacts of industrialization and urbanization. Water Air Soil Pollut. 2025, 236, 73. [Google Scholar] [CrossRef]
- Cheng, H.; Fang, Y.; Chen, B.; Gong, J.; Wang, P. Hemicellulose Extraction and Applications as Hydrogels: A Review. J. Appl. Polym. Sci. 2025, 142, e57190. [Google Scholar] [CrossRef]
- Wang, X.; Liu, Y.; Luo, S.; Liu, B.; Yao, S.; Qin, C.; Wang, S.; Liang, C. Structural characteristics of hemicelluloses and lignin-carbohydrate complexes in alkaline-extracted bamboo green, core, and yellow. J. Bioresour. Bioprod. 2025, 10, 386–396. [Google Scholar] [CrossRef]
- Iyiola, A.O.; Akingba, O.O.; Asiedu, B.; Osei, S.A.; Ogwu, M.C.; Morya, S. Biobased Value-Added Products and Services from Biological Resources in the Global South. In Sustainable Bioeconomy Development in the Global South: Volume I Status and Perspectives; Springer Nature: Singapore, 2025; pp. 239–259. [Google Scholar]
- Olaniyan, A.R.; Ogunlade, C.A.; Babalola, R.T.; Akingbade, T.O. Bio-Based Industries and Their Products in the Global South. In Sustainable Bioeconomy Development in the Global South: Volume II Bioeconomy Techniques; Springer Nature: Singapore, 2025; pp. 159–184. [Google Scholar]
- Christopher, L. Adding value prior to pulping: Bioproducts from hemicellulose. Glob. Perspect. Sustain. For. Manag. 2012, 25, 225–246. [Google Scholar]
- Mathura, S.R.; Landázuri, A.C.; Mathura, F.; Sosa, A.G.A.; Orejuela-Escobar, L.M. Hemicelluloses from bioresidues and their applications in the food industry–towards an advanced bioeconomy and a sustainable global value chain of chemicals and materials. Sustain. Food Technol. 2024, 2, 1183–1205. [Google Scholar] [CrossRef]
- Wyman, C.E.; Decker, S.R.; Himmel, M.E.; Brady, J.W.; Skopec, C.E.; Viikari, L. Hydrolysis of cellulose and hemicellulose. Polysacch. Struct. Divers. Funct. Versatility 2005, 1, 1023–1062. [Google Scholar]
- Pascoli, D.U.; Aui, A.; Frank, J.; Therasme, O.; Dixon, K.; Gustafson, R.; Kelly, B.; A Volk, T.; Wright, M.M. The US bioeconomy at the intersection of technology, policy, and education. Biofuels Bioprod. Biorefining 2022, 16, 9–26. [Google Scholar] [CrossRef]
- Ayoub, A.; Venditti, R.A.; Pawlak, J.J.; Sadeghifar, H.; Salam, A. Development of an acetylation reaction of switchgrass hemicellulose in ionic liquid without catalyst. Ind. Crop. Prod. 2013, 44, 306–314. [Google Scholar] [CrossRef]
- Salam, A.; Zambrano, M.C.; Venditti, R.A.; Pawlak, J.J. Hemicellulose and starch citrate chitosan foam adsorbents for removal of arsenic and other heavy metals from contaminated water. BioResources 2021, 16, 5628–5645. [Google Scholar] [CrossRef]
- Farhat, W.; Venditti, R.; Mignard, N.; Taha, M.; Becquart, F.; Ayoub, A. Polysaccharides and lignin based hydrogels with potential pharmaceutical use as a drug delivery system produced by a reactive extrusion process. Int. J. Biol. Macromol. 2017, 104, 564–575. [Google Scholar] [CrossRef]
- Ayoub, A.; Venditti, R.A.; Pawlak, J.J.; Salam, A.; Hubbe, M.A. Novel hemicellulose—Chitosan biosorbent for water desalination and heavy metal removal. ACS Sustain. Chem. Eng. 2013, 1, 1102–1109. [Google Scholar] [CrossRef]
- Karaaslan, A.M.; Tshabalala, M.A.; Buschle-Diller, G. Wood hemicellulose/chitosan-based semi-interpenetrating network hydrogels: Mechanical swelling and controlled drug release properties. BioResources 2010, 5, 1036–1054. [Google Scholar] [CrossRef]
- Kong, W.; Dai, Q.; Gao, C.; Ren, J.; Liu, C.; Sun, R. Hemicellulose-based hydrogels and their potential application. In Polymer Gels: Science and Fundamentals; Springer: Singapore, 2018; pp. 87–127. [Google Scholar]
- Ge, J.; Gu, K.; Sun, K.; Wang, X.; Yao, S.; Mo, X.; Long, S.; Lan, T.; Qin, C. Preparation and swelling behaviors of high-strength hemicellulose-g-polydopamine composite hydrogels. Materials 2021, 14, 186. [Google Scholar] [CrossRef] [PubMed]
- Wang, L.; Li, G.; Chen, X.; Yang, Y.; Liew, R.K.; Abo-Dief, H.M.; Lam, S.S.; Sellami, R.; Peng, W.; Li, H. Extraction strategies for lignin, cellulose, and hemicellulose to obtain valuable products from biomass. Adv. Compos. Hybrid Mater. 2024, 7, 219. [Google Scholar] [CrossRef]
- Farhat, W.; Venditti, R.A.; Hubbe, M.; Taha, M.; Becquart, F.; Ayoub, A. A review of water-resistant hemicellulose-based materials: Processing and applications. ChemSusChem 2017, 10, 305–323. [Google Scholar] [CrossRef] [PubMed]
- Nasution, H.; Harahap, H.; Dalimunthe, N.F.; Ginting, M.H.S.; Jaafar, M.; Tan, O.O.H.; Aruan, H.K.; Herfananda, A.L. Hydrogel and effects of crosslinking agent on cellulose-based hydrogels: A review. Gels 2022, 8, 568. [Google Scholar] [CrossRef] [PubMed]
- Guan, Y.; Bian, J.; Peng, F.; Zhang, X.-M.; Sun, R.-C. High strength of hemicelluloses based hydrogels by freeze/thaw technique. Carbohydr. Polym. 2014, 101, 272–280. [Google Scholar] [CrossRef]
- Gabrielii, I.; Gatenholm, P.; Glasser, W.; Jain, R.; Kenne, L. Separation, characterization and hydrogel-formation of hemicellulose from aspen wood. Carbohydr. Polym. 2000, 43, 367–374. [Google Scholar] [CrossRef]
- Azeredo, H.M.C.; Kontou-Vrettou, C.; Moates, G.K.; Wellner, N.; Cross, K.; Pereira, P.H.F.; Waldron, K.W. Wheat straw hemicellulose films as affected by citric acid. Food Hydrocoll. 2015, 50, 1–6. [Google Scholar] [CrossRef]
- Sobczyk, M.; Wallmersperger, T. Modeling and simulation of a chemically stimulated hydrogel bilayer bending actuator. In Analysis and Modelling of Advanced Structures and Smart Systems; Springer: Singapore, 2017; pp. 211–226. [Google Scholar]
- Sannino, A.; Esposito, A.; De Rosa, A.; Cozzolino, A.; Ambrosio, L.; Nicolais, L. Biomedical application of a superabsorbent hydrogel for body water elimination in the treatment of edemas. J. Biomed. Mater. Res. Part A Off. J. Soc. Biomater. Jpn. Soc. Biomater. Aust. Soc. Biomater. Korean Soc. Biomater. 2003, 67, 1016–1024. [Google Scholar] [CrossRef]
- Wu, J.; Deng, X.; Lin, X. Swelling characteristics of konjac glucomannan superabsobent synthesized by radiation-induced graft copolymerization. Radiat. Phys. Chem. 2013, 83, 90–97. [Google Scholar] [CrossRef]
- Zheng, B.; Avni, Y.; Andelman, D.; Podgornik, R. Charge regulation of polyelectrolyte gels: Swelling transition. Macromolecules 2023, 56, 5217–5224. [Google Scholar] [CrossRef]
- Wang, W.; Hu, J.; Zhang, R.; Yan, C.; Cui, L.; Zhu, J. A pH-responsive carboxymethyl cellulose/chitosan hydrogel for adsorption and desorption of anionic and cationic dyes. Cellulose 2021, 28, 897–909. [Google Scholar] [CrossRef]
- Horkay, F.; Tasaki, I.; Basser, P.J. Effect of monovalent−divalent cation exchange on the swelling of polyacrylate hydrogels in physiological salt solutions. Biomacromolecules 2001, 2, 195–199. [Google Scholar] [CrossRef]
- Chatterjee, S.; Hui, P.C.L.-I. Review of applications and future prospects of stimuli-responsive hydrogel based on thermo-responsive biopolymers in drug delivery systems. Polymers 2021, 13, 2086. [Google Scholar] [CrossRef] [PubMed]
- Ganesamoorthy, R.; Vadivel, V.K.; Kumar, R.; Kushwaha, O.S.; Mamane, H. Aerogels for water treatment: A review. J. Clean. Prod. 2021, 329, 129713. [Google Scholar] [CrossRef]
- Armelin, E.; Lanzalaco, S. Insights on the use of biobased hydrogels in electrochemical water treatment. Curr. Opin. Electrochem. 2025, 50, 101635. [Google Scholar] [CrossRef]
- Ullah, S.; Shah, S.S.A.; Altaf, M.; Hossain, I.; El Sayed, M.E.; Kallel, M.; El-Bahy, Z.M.; Rehman, A.U.; Najam, T.; Nazir, M.A. Activated carbon derived from biomass for wastewater treatment: Synthesis, application and future challenges. J. Anal. Appl. Pyrolysis 2024, 179, 106480. [Google Scholar] [CrossRef]
- Gautam, D.; Rana, V.; Sharma, S.; Walia, Y.K.; Kumar, K.; Umar, A.; Ibrahim, A.A.; Baskoutas, S. Hemicelluloses: A Review on Extraction and Modification for Various Applications. ChemistrySelect 2025, 10, e06050. [Google Scholar] [CrossRef]
- Calvez, I.; Garcia, R.; Koubaa, A.; Landry, V.; Cloutier, A. Recent advances in bio-based adhesives and formaldehyde-free technologies for wood-based panel manufacturing. Curr. For. Rep. 2024, 10, 386–400. [Google Scholar] [CrossRef]
- Chen, H.; Wu, Q.; Ren, X.; Zhu, X.; Fan, D. A fully bio-based adhesive with high bonding strength, low environmental impact, and competitive economic performance. Chem. Eng. J. 2024, 494, 153198. [Google Scholar] [CrossRef]
- Heshmati, S.; Azadfallah, M.; Roohani, M.; Ebrahimi, S.S. Enhancement of the properties of cellulose nanofiber coatings using ammonium zirconium carbonate and sorbitol. For. Wood Prod. 2024, 77, 187–200. [Google Scholar]
- Farhat, W.; Venditti, R.; Quick, A.; Taha, M.; Mignard, N.; Becquart, F.; Ayoub, A. Hemicellulose extraction and characterization for applications in paper coatings and adhesives. Ind. Crop. Prod. 2017, 107, 370–377. [Google Scholar] [CrossRef]
- Santos, K.d.L.; Moraes, G.H.; Nolêtto, A.P.R.; Sobral, P.J.D.A. Biopolymer-based coatings containing active ingredients for cellulosic packaging: A review. Cellulose 2024, 31, 7841–7863. [Google Scholar] [CrossRef]
- Huo, L.; Lu, Y.; Ding, W.-L.; Wang, Y.; Li, X.; He, H. Recent advances in the preparation, properties, and applications of lignin-based hydrogels and adhesives. Green Chem. 2025, 27, 1895–1908. [Google Scholar] [CrossRef]
- Lin, H.; Chen, X.; Lei, H.; Zhou, X.; Du, G.; Essawy, H.; Xi, X.; Hou, D.; Song, J.; Cao, M. Synthesis and characterization of a bio-aldehyde-based lignin adhesive with desirable water resistance. Int. J. Biol. Macromol. 2024, 264, 130020. [Google Scholar] [CrossRef]
- Zhao, L.; Luo, B.; Gao, S.; Liu, Y.; Lai, C.; Zhang, D.; Guan, W.; Wang, C.; Chu, F. Stretchable, self-adhesive, and conductive hemicellulose-based hydrogels as wearable strain sensors. Int. J. Biol. Macromol. 2024, 282, 137313. [Google Scholar] [CrossRef]
- Wibowo, E.S.; Park, B.-D. A comprehensive review on adhesion interactions between formaldehyde–based adhesives and wood biopolymers on surface. J. Adhes. 2025, 1–25. [Google Scholar] [CrossRef]
- Josey, D.C.; Yadavalli, N.S.; Moore, J.C.; Peña, M.J.; Minko, S.; Urbanowicz, B.R. Valorization of hemicellulose waste streams for moisture barrier coatings and hydrophobic films. Biotechnol. Sustain. Mater. 2024, 1, 9. [Google Scholar] [CrossRef]
- Zhao, L.; Li, W.; Cheng, Y.; Zhao, J.; Tian, D.; Huang, M.; Shen, F. Preparation and evaluation of lignin-phenol-formaldehyde resin as wood adhesive using unmodified lignin. Ind. Crop. Prod. 2024, 211, 118168. [Google Scholar] [CrossRef]
- Siahkamari, M.; Emmanuel, S.; Hodge, D.B.; Nejad, M. Lignin-glyoxal: A fully biobased formaldehyde-free wood adhesive for interior engineered wood products. ACS Sustain. Chem. Eng. 2022, 10, 3430–3441. [Google Scholar] [CrossRef]
- Zhu, W.; Liu, C.; Liao, J.; Shi, S.; Ye, Z.; Yu, H.; Sun, Q.; Shamshina, J.L.; Shen, X. Lignin-carbohydrate complex simulated biodegradable film with excellent strength and negligible environmental impact. Sustain. Mater. Technol. 2025, 45, e01591. [Google Scholar] [CrossRef]
- Wang, W.; Li, Y.; Zhang, H.; Chen, T.; Sun, G.; Han, Y.; Li, J. Double-interpenetrating-network lignin-based epoxy resin adhesives for resistance to extreme environment. Biomacromolecules 2022, 23, 779–788. [Google Scholar] [CrossRef] [PubMed]
- Lv, Z.; Yan, X.; Jia, S.; Pan, J.; Hao, X.; Chen, G.; Lü, B.; Rao, J.; Peng, F. Bio-based hot-melt adhesive from xylan. Nat. Sustain. 2025, 8, 827–836. [Google Scholar] [CrossRef]
- Benhamou, A.A.; Abid, L.; Calvez, I.; Cloutier, A.; Nejad, M.; Stevanovic, T.; Landry, V. Advances in Lignin Chemistry, Bonding Performance, and Formaldehyde Emission Reduction in Lignin-Based Urea-Formaldehyde Adhesives: A Review. ChemSusChem 2025, 18, e202500491. [Google Scholar] [CrossRef]
- Rahman, S.; Konwar, A.; Gurumayam, S.; Borah, J.C.; Chowdhury, D. Sodium Alginate-chitosan-starch based glue formulation for sealing biopolymer films. Next Mater. 2025, 7, 100507. [Google Scholar] [CrossRef]
- Dewantoro, A.I.; Lubis, M.A.R.; Nurliasari, D.; Mardawati, E. Emerging technologies on developing high-performance and environmentally friendly carbohydrate-based adhesives for wood bonding. Int. J. Adhes. Adhes. 2024, 134, 103801. [Google Scholar] [CrossRef]
- He, Y.; Liu, Y.; Zhang, M. Hemicellulose and unlocking potential for sustainable applications in biomedical, packaging, and material sciences: A narrative review. Int. J. Biol. Macromol. 2024, 280, 135657. [Google Scholar] [CrossRef]
- Hou, Y.; Deng, B.; Wang, S.; Ma, Y.; Long, X.; Wang, F.; Qin, C.; Liang, C.; Yao, S. High-strength, high-water-retention hemicellulose-based hydrogel and its application in urea slow release. Int. J. Mol. Sci. 2023, 24, 9208. [Google Scholar] [CrossRef]
- Azam, K.; Shezad, N.; Shafiq, I.; Akhter, P.; Akhtar, F.; Jamil, F.; Shafique, S.; Park, Y.-K.; Hussain, M. A review on activated carbon modifications for the treatment of wastewater containing anionic dyes. Chemosphere 2022, 306, 135566. [Google Scholar] [CrossRef]
- Tian, W.; Feng, H.; Wang, X.; Wu, W.; Zeng, S.; Zhu, Y.; Wang, J.; Ye, Y.; Mei, C.; Liu, Y.; et al. Development of High Strength, High Water Resistant, Low-Formaldehyde Emission Urea-Formaldehyde Adhesive and Its Effect on the Properties of Wood Composites. J. Appl. Polym. Sci. 2025, 142, e56548. [Google Scholar] [CrossRef]
- Watcharakitti, J.; Win, E.E.; Nimnuan, J.; Smith, S.M. Modified starch-based adhesives: A review. Polymers 2022, 14, 2023. [Google Scholar] [CrossRef] [PubMed]










| % NaOH | % HC from PW | % HC from CBG | % HC from SG |
|---|---|---|---|
| 5 | 12 ± 0.71 | 16 ± 0.35 | 9 ± 0.31 |
| 10 | 28 ± 1.38 | 35 ± 0.94 | 32 ± 1.63 |
| 18 | 23 ± 2.10 | 27 ± 1.97 | 25 ± 1.15 |
| Hemicelluloses Extraction Conditions | Mw | Mn | PD = Mw/Mn |
|---|---|---|---|
| Switchgrass Hemicellulose Acetylated, DS = 0.21 | |||
| 5% NaOH, 50 °C, 3 h | 23,500 | 5200 | 4.51 |
| 10% NaOH, 50 °C, 3 h | 85,700 | 20,610 | 4.10 |
| 18% NaOH, 50 °C, 3 h | 3500 | 460 | 7.59 |
| Switchgrass Hemicellulose Acetylated, DS = 0.78 | |||
| 10% NaOH, 50 °C, 3 h | 85,200 | 20,900 | 4.05 |
| Sugar Beet Pulp Hemicellulose | |||
| 10% KOH, 15 °C, 16 h | 91,330 | 6920 | 13.05 |
| 24% KOH, 15 °C, 2 h | 21,990 | 6320 | 3.48 |
| 8% NaOH, 15 °C, 16 h | 88,850 | 10,650 | 8.34 |
| 18% NaOH, 15 °C, 2 h | 21,620 | 6490 | 3.33 |
| Biomass | Mw (g.mol−1) | Mn (g.mol−1) | PD = Mw/Mn |
|---|---|---|---|
| Pine Wood | 79,800 | 20,050 | 3.9 |
| Switchgrass | 85,710 | 20,670 | 4.2 |
| Coastal Bermuda Grass | 83,200 | 20,830 | 4 |
| HC-DTPA-CS Reacting Time (h) T = 110 °C | Apparent Density | Void Fraction | Weight Loss (%), 1 h | Absorption (g/g) | ||
|---|---|---|---|---|---|---|
| Water | NaCl (0.3%) | Water | NaCl (0.3%) | |||
| 0.1 | 1.093 | 0.993 | 32 ± 4 | 27 ± 2 | 9 ± 1 | 10 ± 3 |
| 1 | 1.093 | 0.994 | 30 ± 3 | 27 ± 1 | 14 ± 2 | 10 ± 1 |
| 1.5 | 1.095 | 0.996 | 24 ± 1 | 15 ± 3 | 17 ± 2 | 19 ± 1 |
| 2 | 1.097 | 0.997 | 13 ± 1 | −10 ± 2 | 22 ± 1 | 25 ± 3 |
| 2.5 | 1.098 | 0.999 | 8 ± 2 | −24 ± 4 | 29 ± 3 | 34 ± 5 |
| Uncoated Sheet | 0% AZC | 5% AZC | 10% AZC | 20% AZC | |
|---|---|---|---|---|---|
| Viscosity (MPa·s) | n/d | n/d | 1000 | 1270 | 620 * |
| Gloss (%) | 9.0 | 21.1 | 30.6 | 15.2 | n/d |
| PPS roughness (mm) | 18.0 | 8.6 | 7.5 | 11.0 | n/d |
| HST (seconds) | 1950 | 2260 | 2680 | 2810 | n/d |
| Aspect | Hemicellulose-Based Adhesives | Lignin-Based Adhesives | Hybrid Systems |
|---|---|---|---|
| Chemical Structure | Branched polysaccharide (e.g., xylans, mannans) | Aromatic phenolic polymer | Combined polysaccharide-aromatic matrix |
| Key Advantages | Biodegradable, low-cost tunable viscosity | Hydrophobic, strong wet strength, natural binder | Enhanced strength, water resistance |
| Challenges | Poor water resistance without modifications | High viscosity, needs demethylation | Complex processing |
| Applications | Wood composites, hydrogels, and food packaging | Wood panels, high humidity bonds | Plywood, particleboards, and advanced composites |
| Recent Advances (2024–2025) | Molecular weight optimization for bonding; hydrogel composites | UF adhesive improvements; uncondensed lignins | Valorization of bioresidues for sustainable formulations |
| Application | Property | Hemicellulose Biogels | Conventional/Competing Materials |
|---|---|---|---|
| Water Treatment | Pb2+ Adsorption Capacity | 2.9 mg/g (at pH 5) | Activated Carbon: 1–200 mg/g (varies significantly), with commercial versions often in the 40–50 mg/g range [54]. |
| Adhesive/Coatings | Adhesive Strength | Up to 3.46 MPa | Urea-Formaldehyde (UF) resins: Often >1.0 MPa (Dry Strength) [55] |
| Liquid Resistance (HST) | 2810 s | Starch-based adhesives: Often require significant chemical modification to achieve water resistance [56]. |
Disclaimer/Publisher’s Note: The statements, opinions and data contained in all publications are solely those of the individual author(s) and contributor(s) and not of MDPI and/or the editor(s). MDPI and/or the editor(s) disclaim responsibility for any injury to people or property resulting from any ideas, methods, instructions or products referred to in the content. |
© 2025 by the authors. Licensee MDPI, Basel, Switzerland. This article is an open access article distributed under the terms and conditions of the Creative Commons Attribution (CC BY) license (https://creativecommons.org/licenses/by/4.0/).
Share and Cite
Ayoub, A.; Lucia, L. Hemicellulosic Biogels: A Fundamentally New Sustainable Platform Approach to Address Societal Grand Challenges. Gels 2025, 11, 722. https://doi.org/10.3390/gels11090722
Ayoub A, Lucia L. Hemicellulosic Biogels: A Fundamentally New Sustainable Platform Approach to Address Societal Grand Challenges. Gels. 2025; 11(9):722. https://doi.org/10.3390/gels11090722
Chicago/Turabian StyleAyoub, Ali, and Lucian Lucia. 2025. "Hemicellulosic Biogels: A Fundamentally New Sustainable Platform Approach to Address Societal Grand Challenges" Gels 11, no. 9: 722. https://doi.org/10.3390/gels11090722
APA StyleAyoub, A., & Lucia, L. (2025). Hemicellulosic Biogels: A Fundamentally New Sustainable Platform Approach to Address Societal Grand Challenges. Gels, 11(9), 722. https://doi.org/10.3390/gels11090722
