Flow Characteristics and Enhanced Oil Recovery Performance of Anionic and Zwitterionic Viscoelastic Surfactant System
Abstract
1. Introduction
2. Results and Discussion
2.1. Fluid Properties of Surfactant Mixtures
2.1.1. Interfacial Tension
2.1.2. Viscosity
2.1.3. Contact Angle
2.1.4. Viscoelasticity
2.2. Screening of the Optimal Surfactant Formula
2.3. Microscale Displacement Experiments Using Two Different Pore–Throat Structures
2.4. Oil Displacement Mechanism of the Optimized Surfactant Mixture
3. Conclusions
4. Materials and Methods
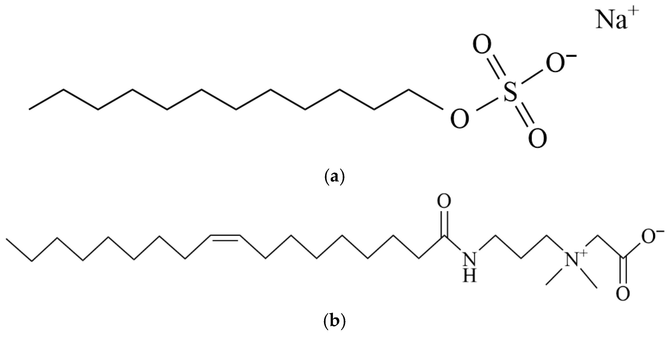
4.1. Materials
4.2. Microfluidic Experiment Setup
4.3. Experimental Procedures
4.3.1. Screening of Surfactant Formulations Using Microfluidic Device with Dead-End Structure
4.3.2. Microscopic Displacement Experiments with Microfluidic Devices with Different Pore–Throat Structures
4.3.3. Determination of the Interfacial Tension
4.3.4. Determination of the Contact Angle
4.3.5. Determination of the Viscosity of Surfactant Mixtures
4.3.6. Determination of the Viscoelasticity of Surfactant Mixtures
Author Contributions
Funding
Institutional Review Board Statement
Informed Consent Statement
Data Availability Statement
Conflicts of Interest
References
- Khurshid, I.; Al-Attar, H.; Alraeesi, A. Modeling cementation in porous media during waterflooding: Asphaltene deposition, formation dissolution and their cementation. J. Pet. Sci. Eng. 2018, 161, 359–367. [Google Scholar] [CrossRef]
- Tsuji, T.; Jiang, F.; Christensen, K.T. Characterization of immiscible fluid displacement processes with various capillary numbers and viscosity ratios in 3D natural sandstone. Adv. Water Resour. 2016, 95, 3–15. [Google Scholar] [CrossRef]
- Singh, K.; Jung, M.; Brinkmann, M.; Seemann, R. Capillary-dominated fluid displacement in porous media. Annu. Rev. Fluid Mech. 2019, 51, 429–449. [Google Scholar] [CrossRef]
- Pi, Y.; Su, Z.; Cao, R.; Li, B.; Liu, J.; Fan, X.; Zhao, M. Experimental study on enhanced oil recovery of ppg/asp heterogeneous system after polymer flooding. Gels 2023, 9, 427. [Google Scholar] [CrossRef] [PubMed]
- Wang, Z.; Hu, R.; Ren, G.; Li, G.; Liu, S.; Xu, Z.; Sun, D. Polyetheramine as an alternative alkali for alkali/surfactant/polymer flooding. Colloids Surf. A Physicochem. Eng. Aspects 2019, 581, 12. [Google Scholar] [CrossRef]
- Al-Yaari, A.; Ching, D.L.C.; Sakidin, H.; Muthuvalu, M.S.; Zafar, M.; Haruna, A.; Merican, Z.M.A.; Yunus, R.B.; Al-Dhawi, B.N.S.; Jagaba, A.H. The effects of nanofluid thermophysical properties on enhanced oil recovery in a heterogenous porous media. Case Stud. Chem. Environ. Eng. 2024, 9, 15. [Google Scholar] [CrossRef]
- Guo, Y.; Zhang, L.; Zhu, G.; Yao, J.; Sun, H.; Song, W.; Yang, Y.; Zhao, J. A pore-scale investigation of residual oil distributions and enhanced oil recovery methods. Energies 2019, 12, 3732. [Google Scholar] [CrossRef]
- Ning, T.; Xi, M.; Hu, B.; Wang, L.; Huang, C.; Su, J. Effect of viscosity action and capillarity on pore-scale oil–water flowing behaviors in a low-permeability sandstone waterflood. Energies 2021, 14, 8200. [Google Scholar] [CrossRef]
- Demirbas, A.; Alsulami, H.E.; Hassanein, W.S. Utilization of surfactant flooding processes for enhanced oil recovery (EOR). Pet. Sci. Technol. 2015, 33, 1331–1339. [Google Scholar] [CrossRef]
- Hirasaki, G.J.; Miller, C.A.; Puerto, M. Recent advances in surfactant EOR. SPE J. 2011, 16, 889–907. [Google Scholar] [CrossRef]
- Howe, A.M.; Clarke, A.; Mitchell, J.; Staniland, J.; Hawkes, L.; Whalan, C. Visualising surfactant enhanced oil recovery. Colloids Surf. A Physicochem. Eng. Asp. 2015, 480, 449–461. [Google Scholar] [CrossRef]
- Yang, H.; Britton, C.; Liyanage, P.J.; Solairaj, S.; Kim, D.H.; Nguyen, Q.; Upali, W.; Pope, G.A. Low-Cost, High-Performance Chemicals for Enhanced Oil Recovery; SPE Improved Oil Recovery Symposium: Tulsa, OK, USA, 2010; p. 129978. [Google Scholar]
- Solairaj, S.; Britton, C.; Kim, D.H.; Weerasooriya, U.; Pope, G.A. Measurement and Analysis of Surfactant Retention; SPE Improved Oil Recovery Symposium: Tulsa, OK, USA, 2012; p. 154247. [Google Scholar]
- Zhao, G.; Khin, C.C.; Chen, S.B.; Chen, B.H. Nonionic surfactant and temperature effects on the viscosity of hydrophobically modified hydroxyethyl cellulose solutions. J. Phys. Chem. B 2005, 109, 14198–14204. [Google Scholar] [CrossRef]
- Ma, K.; Cui, L.; Dong, Y.; Wang, T.; Da, C.; Hirasaki, G.J.; Biswal, S.L. Adsorption of cationic and anionic surfactants on natural and synthetic carbonate materials. J. Colloid Interface Sci. 2013, 408, 164–172. [Google Scholar] [CrossRef]
- Massarweh, O.; Abushaikha, A.S. The use of surfactants in enhanced oil recovery: A review of recent advances. Energy Rep. 2020, 6, 3150–3178. [Google Scholar] [CrossRef]
- Kamal, M.S.; Hussein, I.A.; Sultan, A.S. Review on surfactant flooding: Phase behavior, retention, IFT, and field applications. Energy Fuels 2017, 31, 7701–7720. [Google Scholar] [CrossRef]
- Xue, J.; Liu, T.; Liu, Y. Interaction of Novel Anionic Gemini Surfactants with Dodecyl Sodium Sulfate in Aqueous NaCl Medium and the Performance of Their Mixtures. J. Dispers. Sci. Technol. 2012, 33, 599–604. [Google Scholar] [CrossRef]
- Li, Y.; Puerto, M.; Bao, X.; Zhang, W.; Jin, J.; Su, Z.; Shen, S.; Hirasaki, G.; Miller, C. Synergism and performance for systems containing binary mixtures of anionic/cationic surfactants for enhanced oil recovery. J. Surfactants Deterg. 2017, 20, 21–34. [Google Scholar] [CrossRef]
- Torquato, L.M.; Tyagi, G.; Sharratt, W.N.; Ahmad, Z.; Mahmoudi, N.; Gummel, J.; Robles, E.S.J.; Cabral, J.T. Concentration Dependent Asymmetric Synergy in SDS–DDAO Mixed Surfactant Micelles. Langmuir 2024, 40, 7433–7443. [Google Scholar] [CrossRef] [PubMed]
- Li, L.; Liu, Y.; Jin, X.; Dong, Y.; Dai, C. Compound Anionic–Nonionic Surfactant System with Excellent Temperature and Salt Resistance for Enhanced Oil Recovery. Energy Fuels 2023, 38, 1047–1055. [Google Scholar] [CrossRef]
- Haque, M.E.; Das, A.R.; Rakshit, A.K.; Moulik, S.P. Properties of mixed micelles of binary surfactant combinations. Langmuir 1996, 12, 4084–4089. [Google Scholar] [CrossRef]
- Misselyn-Bauduin, A.M.; Thibaut, A.; Grandjean, J.; Broze, G.; Jérôme, R. Mixed micelles of anionic–nonionic and anionic–zwitterionic surfactants analyzed by pulsed field gradient NMR. Langmuir 2000, 16, 4430–4435. [Google Scholar] [CrossRef]
- Li, K.X.; Jing, X.Q.; He, S.; Ren, H.; Wei, B. Laboratory study displacement efficiency of viscoelastic surfactant solution in enhanced oil recovery. Energy Fuels 2016, 30, 4467–4474. [Google Scholar] [CrossRef]
- Hu, R.; Tang, S.; Mpelwa, M.; Jiang, Z.; Feng, S. Research progress of viscoelastic surfactants for enhanced oil recovery. Energy Explor. Exploit. 2021, 39, 1324–1348. [Google Scholar] [CrossRef]
- Deng, R.; Dong, J.; Dang, L. Numerical simulation and evaluation of residual oil saturation in waterflooded reservoirs. Fuel 2025, 384, 134018. [Google Scholar] [CrossRef]
- Yin, B.; Ding, T.; Wang, S.; Wang, Z.; Sun, B.; Zhang, W.; Zhang, X. Deformation and migration characteristics of bubbles moving in gas-liquid countercurrent flow in annulus. Pet. Explor. Dev. Online 2025, 52, 471–484. [Google Scholar] [CrossRef]
- Yu, H.; Zhao, Z.; Taleghani, A.D.; Lian, Z.; Zhang, Q. Modeling thermal-induced wellhead growth through the lifecycle of a well. Geoenergy Sci. Eng. 2024, 241, 15. [Google Scholar] [CrossRef]
- Xu, F.; Jin, Y.; Fan, Y. A study on enhancing oil recovery efficiency through bubble displacement based on microfluidic technology. Can. J. Chem. Eng. 2025, 103, 1450–1460. [Google Scholar] [CrossRef]
- Fani, M.; Pourafshary, P.; Mostaghimi, P.; Mosavat, N. Application of microfluidics in chemical enhanced oil recovery: A review. Fuel 2022, 315, 123225. [Google Scholar] [CrossRef]
- Kumar, G.; Mani, E.; Sangwai, J.S. Microfluidic investigation of surfactant-assisted functional silica nanofluids in low-salinity seawater for enhanced oil recovery using reservoir-on-a-chip. Energy Fuels 2023, 37, 10329–10343. [Google Scholar] [CrossRef]
- Liu, Y.; Block, E.; Squier, J.; Oakey, J. Investigating low salinity waterflooding via glass micromodels with triangular pore-throat architectures. Fuel 2021, 283, 119264. [Google Scholar] [CrossRef]
- Pattanayak, P.; Singh, S.K.; Gulati, M.; Vishwas, S.; Kapoor, B.; Chellappan, D.K.; Anand, K.; Gupta, G.; Jha, N.K.; Gupta, P.K.; et al. Microfluidic chips: Recent advances, critical strategies in design, applications and future perspectives. Microfluid. Nanofluid 2021, 25, 99. [Google Scholar] [CrossRef]
- Liu, Y.; Liu, Z.; Wang, Y.; Hu, Z.; Zhu, Z.; Jie, Y.; Zhang, Y. Effect of Different Surfactants and Nanoparticles on Pore-Scale Oil Recovery Process Using Heterogeneous Micromodel. Int. J. Energy Res. 2024, 2024, 5319748. [Google Scholar] [CrossRef]
- Dong, Z.; Zheng, Y.; Zhao, J. Synthesis, physico-chemical properties and enhanced oil recovery flooding evaluation of novel zwitterionic gemini surfactants. J. Surfactants Deterg. 2014, 17, 1213–1222. [Google Scholar] [CrossRef]
- Liu, Y.; He, F.; Hu, Z.; Zhu, Z.; Ling, C. Microfluidic Study on the Effect of Single Pore–Throat Geometry on Spontaneous Imbibition. Langmuir 2024, 40, 19209–19219. [Google Scholar] [CrossRef]
- Abdel-Rahem, R. Synergism in mixed anionic–amphoteric surfactant solutions: Influence of anionic surfactant chain length. Tenside Surfactants Deterg. 2009, 46, 298–305. [Google Scholar] [CrossRef]
- Wu, H.R.; Tan, R.; Hong, S.P.; Zhou, Q.; Liu, B.Y.; Chang, J.W.; Luan, T.-F.; Kang, N.; Hou, J.R. Synergistic anionic/zwitterionic mixed surfactant system with high emulsification efficiency for enhanced oil recovery in low permeability reservoirs. Pet. Sci. 2024, 21, 936–950. [Google Scholar] [CrossRef]
- Ma, H.; Ranimol, S.; Cameron, A. Synergetic system of zwitterionic/anionic surfactants with ultralow interfacial tension and high salt resistance for enhancing heavy oil recovery. Energy Fuels 2022, 36, 8216–8223. [Google Scholar] [CrossRef]
- Xiao, L. Enhance oil recovery in fracture-cave carbonate reservoirs using zwitterion-anionic composite surfactant system. Energies 2025, 18, 383. [Google Scholar]
- Pei, H.; Liu, Y.; Shan, J.; Zhao, J.; Zhang, J.; Wu, Y.; Zhang, G. Enhancement of in-situ emulsification performance through the synergistic effects of zwitterionic and nonionic-anionic surfactants to improve heavy oil recovery. J. Mol. Liq. 2024, 410, 11. [Google Scholar] [CrossRef]
- Boucher, E.A.; Grinchuk, T.M.; Zettlemoyer, A.C. Surface activity of sodium salts of alpha-sulfo fatty esters: The air-water interface. J. Am. Oil Chem. Soc. 1968, 45, 49–52. [Google Scholar] [CrossRef]






















| Solution Composition | Interfacial Tension (mN/m) | |
|---|---|---|
| Mean Value | Standard Deviation | |
| 0.2%SDS+0.2%OAB-30 | 0.376 | 0.020 |
| 0.2%SDS+0.4%OAB-30 | 0.444 | 0.011 |
| 0.2%SDS+0.6%OAB-30 | 0.395 | 0.023 |
| 0.4%SDS+0.2%OAB-30 | 1.539 | 0.076 |
| 0.4%SDS+0.4%OAB-30 | 0.521 | 0.016 |
| 0.4%SDS+0.6%OAB-30 | 0.430 | 0.021 |
| No. | Solution Composition | Increase in Oil Recovery Efficiency, % |
|---|---|---|
| 1 | Sodium alkyl glucosyl hydroxypropyl sulfonate + octadecyl betaine [38] | 20 |
| 2 | Sodium dodecyl benzene sulfonate + cocoamidopropyl sulfonate betaine [39] | 18.5 |
| 3 | Sodium alkylphenol polyoxyethylene ether carboxylate + dodecyl dimethyl hydroxypropyl sulfobetaine [40] | 14 |
| 4 | Nonylphenol polyoxyethylene ether carboxylate + oleic amide propyl betaine [41] | 14.8 |
| No. | Solution Composition | SDS (mmol/L) | OAB-30 (mmol/L) |
|---|---|---|---|
| 1 | 0.2%SDS+0.2%OAB-30 | 6.94 | 4.52 |
| 2 | 0.2%SDS+0.4%OAB-30 | 6.94 | 9.04 |
| 3 | 0.2%SDS+0.6%OAB-30 | 6.94 | 13.55 |
| 4 | 0.4%SDS+0.2%OAB-30 | 13.87 | 4.52 |
| 5 | 0.4%SDS+0.4%OAB-30 | 13.87 | 9.04 |
| 6 | 0.4%SDS+0.6%OAB-30 | 13.87 | 13.55 |
Disclaimer/Publisher’s Note: The statements, opinions and data contained in all publications are solely those of the individual author(s) and contributor(s) and not of MDPI and/or the editor(s). MDPI and/or the editor(s) disclaim responsibility for any injury to people or property resulting from any ideas, methods, instructions or products referred to in the content. |
© 2025 by the authors. Licensee MDPI, Basel, Switzerland. This article is an open access article distributed under the terms and conditions of the Creative Commons Attribution (CC BY) license (https://creativecommons.org/licenses/by/4.0/).
Share and Cite
Ling, C.; Liu, Y.; Yang, X.; Ye, Q.; Zhou, D. Flow Characteristics and Enhanced Oil Recovery Performance of Anionic and Zwitterionic Viscoelastic Surfactant System. Gels 2025, 11, 627. https://doi.org/10.3390/gels11080627
Ling C, Liu Y, Yang X, Ye Q, Zhou D. Flow Characteristics and Enhanced Oil Recovery Performance of Anionic and Zwitterionic Viscoelastic Surfactant System. Gels. 2025; 11(8):627. https://doi.org/10.3390/gels11080627
Chicago/Turabian StyleLing, Chenyue, Yafei Liu, Xuchun Yang, Qi Ye, and Desheng Zhou. 2025. "Flow Characteristics and Enhanced Oil Recovery Performance of Anionic and Zwitterionic Viscoelastic Surfactant System" Gels 11, no. 8: 627. https://doi.org/10.3390/gels11080627
APA StyleLing, C., Liu, Y., Yang, X., Ye, Q., & Zhou, D. (2025). Flow Characteristics and Enhanced Oil Recovery Performance of Anionic and Zwitterionic Viscoelastic Surfactant System. Gels, 11(8), 627. https://doi.org/10.3390/gels11080627
