Study on Pressure-Bearing Patterns of Gel Plugging Agents in Multi-Scale Fractures
Abstract
1. Introduction
2. Results and Discussion
2.1. Evaluation of Gelation Performance
2.2. Normalized Evaluation of TRG’s Elastic Modulus
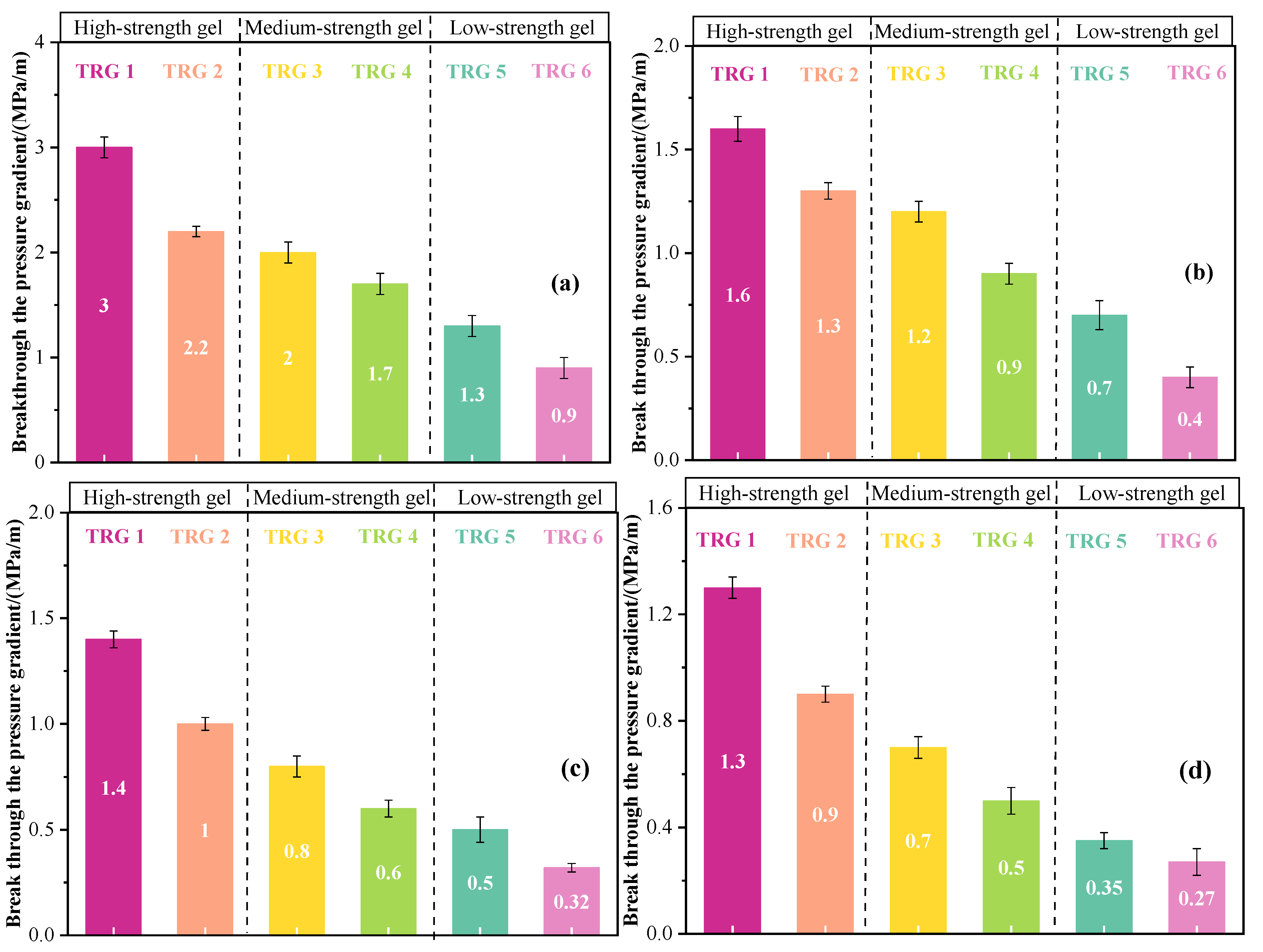
2.3. Patterns of Bottom Water Bearing Pressure
2.4. Evaluation of Scouring Resistance
2.5. Establishment and Fitting of Characteristic Chart
2.6. Application Experiment for Characteristic Charts
3. Conclusions
4. Materials and Methods
4.1. Materials
4.2. Preparation of the TRG
4.3. Determination of Gelation Performance
4.4. Rheology Measurement
4.5. Bottom Water Energy
4.6. Scouring Resistance of Gel
4.7. Establishment of Characteristic Chart
4.8. Verification of of Characteristic Chart
Author Contributions
Funding
Institutional Review Board Statement
Informed Consent Statement
Data Availability Statement
Conflicts of Interest
References
- Qi, N.; Chen, G.; Liang, C.; Guo, T.; Liu, G.; Zhang, K. Numerical simulation and analysis of the influence of fracture geometry on wormhole propagation in carbonate reservoirs. Chem. Eng. Sci. 2019, 198, 124–143. [Google Scholar] [CrossRef]
- Sun, Q.; Zhang, N.; Fadlelmula, M.; Wang, Y. Structural regeneration of fracture-vug network in naturally fractured vuggy reservoirs. J. Petrol. Sci. Eng. 2018, 165, 28–41. [Google Scholar] [CrossRef]
- Huang, Z.Q.; Liu, K.; Cui, S.Z.; Yao, J.; Wu, Y.; Sepehrnoori, K.; Jia, C. Numerical simulation of reactive flow in fractured vuggy carbonate reservoirs considering hydro-mechanical-chemical coupling effects. SPE J. 2025, 30, 853–874. [Google Scholar] [CrossRef]
- Jia, C.; Sepehrnoori, K.; Zhang, H.; Yao, J. Numerical studies and analyses on the acidizing process in vug carbonate rocks. Front. Earth Sci. 2021, 9, 712566. [Google Scholar] [CrossRef]
- Li, Y.; Pu, W.F.; Wei, B.; Chen, Y.; Bai, B. The feasibility of CO2 and N2 injection for the Tahe fracture-cavity carbonate extra-heavy oil reservoir: An experimental study. Fuel 2018, 226, 598–606. [Google Scholar] [CrossRef]
- Chi, P.; Sun, J.; Wang, Z.; Ju, R.; Wei, B.; Duan, Y. Simulation of flow characteristics and development of permeability model in fractured-vuggy carbonate reservoir. J. Petrol. Sci. Eng. 2022, 219, 111098. [Google Scholar] [CrossRef]
- Yang, B.; He, J.; Ly, D.; Tang, H.; Zhang, J.; Li, X.; Zhao, J. Production optimization for water flooding in fractured vuggy carbonate reservoir From laboratory physical model to reservoir operation. J. Petrol. Sci. Eng. 2020, 184, 106520. [Google Scholar] [CrossRef]
- Pang, Z.; Wang, L.; Yin, F.; Lyu, X. Steam chamber expanding processes and bottom water invading characteristics during steam flooding in heavy oil reservoirs. Energy 2021, 234, 121214. [Google Scholar] [CrossRef]
- You, Q.; Wen, Q.; Fang, J.; Guo, M.; Zhang, Q.; Dai, C. Experimental study on lateral flooding for enhanced oil recovery in bottom water reservoir with high water cut. J. Petrol. Sci. Eng. 2019, 174, 747–756. [Google Scholar] [CrossRef]
- Guo, W.; Fu, S.; Li, A.; Xie, H.; Cui, S.; Nangendo, J. Experimental research on the mechanisms of improving water flooding in fractured-vuggy reservoirs. J. Petrol. Sci. Eng. 2022, 213, 110383. [Google Scholar] [CrossRef]
- Al-Obaidi, D.A.; Al-Mudhafar, W.J.; Hussein, H.H.; Rao, D.N. Experimental influence assessments of water drive and gas breakthrough through the CO2-assisted gravity drainage process in reservoirs with strong aquifers. Fuel 2024, 370, 131873. [Google Scholar] [CrossRef]
- Zhang, Y.; Wen, Q.; Zhang, D. A novel targeted plugging and fracture-adaptable gel used as a diverting agent in fracturing. Energy Sci. Eng. 2020, 8, 116–133. [Google Scholar] [CrossRef]
- Wang, K.; He, R.; Liao, Q.; Xu, K.; Wang, W.; Chen, K. A Gel-Based Solidification Technology for Large Fracture Plugging. Fluid Dyn. Mater. Process. 2024, 20, 563–578. [Google Scholar] [CrossRef]
- Su, X.; Qi, N.; Shi, X.; Zhang, Z.; Zhang, Z.; Luo, P.; Yu, Z. Feasibility of foamed acid treatment in upper stimulation of fractured-vuggy dolomite reservoirs with bottom water. Geoenergy Sci. Eng. 2023, 224, 211552. [Google Scholar] [CrossRef]
- Li, J.; Wen, M.; Yang, J.; Liu, Y.; Jiang, Z.; Chen, J. Synthesis and analysis of magnetic nanoparticles within foam matrix for foam drainage gas production. Geoenergy Sci. Eng. 2024, 238, 212887. [Google Scholar] [CrossRef]
- Chen, D.; Zhao, H.; Liu, K.; Huang, Y.; Li, B. The effect of emulsion and foam on anti-water coning during nitrogen foam injection in bottom-water reservoirs. J. Petrol. Sci. Eng. 2021, 196, 107766. [Google Scholar] [CrossRef]
- Dordzie, G.; Dejam, M. Enhanced oil recovery from fractured carbonate reservoirs using nanoparticles with low salinity water and surfactant: A review on experimental and simulation studies. Adv. Colloid Interface Sci. 2021, 293, 102449. [Google Scholar] [CrossRef] [PubMed]
- Wang, J.; Wang, T.; Xu, H.; Jiang, H. Graded regulation technology for enhanced oil recovery and water shutoff in pore-cavity-fracture carbonate reservoirs. Arab. J. Chem. 2022, 15, 103907. [Google Scholar] [CrossRef]
- Mandal, M.; Kumar, R.P.; Ojha, K. Impact assessment of polymer, cross-linker, and nanoparticles on gelation kinetics and properties of silica nanocomposite hydrogel for water shut-off treatment in harsh reservoir conditions. J. Mol. Liq. 2024, 411, 125746. [Google Scholar] [CrossRef]
- Zareie, C.; Bahramian, A.; Sefti, M.; Sefti, M.V.; Salehi, M.B. Network-gel strength relationship and performance improvement of polyacrylamide hydrogel using nano-silica; with regards to application in oil wells conditions. J. Mol. Liq. 2019, 278, 512–520. [Google Scholar] [CrossRef]
- Liu, Y.; Dai, C.; Wang, W.; Zhao, M.; Zhao, G.; Yang, S.; Yan, Z.; You, Q. New insights into the hydroquinone (HQ)–hexamethylenetetramine (HMTA) gel system for water shut-off treatment in high temperature reservoirs. J. Ind. Eng. Chem. 2016, 35, 20–28. [Google Scholar] [CrossRef]
- Ilavya, A.; Rathwa, P.; Paine, S.; Makwana, M.; Bera, A. Gelation studies of nanographene oxide-augmented nanocomposite polymer gel systems for water shutoff technique in oil reservoirs. J. Mol. Liq. 2025, 421, 126928. [Google Scholar] [CrossRef]
- Zhang, Z.; Sun, L.; Huo, X.; Liu, X.; Pan, X. Rheological properties and gas channeling plugging ability in CO2 flooding of a hydrophobic nanoparticle-enhanced smart gel system constructed with wormlike micelles. Chem. Eng. Res. Des. 2024, 202, 506–516. [Google Scholar] [CrossRef]
- Dai, L.; Sun, J.; Lv, K.; Liu, F.; Bai, Y.; Liao, B.; Yang, D.; Liu, C.; Li, M. Cellulose nanofiber-reinforced supramolecular polymer gels for temporary plugging of fractured oil and gas reservoirs. Carbohydr. Polym. 2025, 356, 123370. [Google Scholar] [CrossRef]
- Ding, X.; Dai, C.; Sun, Y.; Zhu, M.; Liu, Y.; Chang, Y.; Zhao, G.; You, Q.; Shaikh, A. Conformance control study by micrometer sized dispersed particle gel in three-dimensional tight oil fracture network. J. Petrol. Sci. Eng. 2021, 197, 108112. [Google Scholar] [CrossRef]
- Dai, C.; Chen, W.; You, Q.; Wang, H.; Yang, Z.; He, L.; Jiao, B.; Wu, Y. A novel strengthened dispersed particle gel for enhanced oil recovery application. J. Ind. Eng. Chem. 2016, 41, 175–182. [Google Scholar] [CrossRef]
- Fujiwara, Y.; Luo, C.; Ikura, R.; Takashima, Y.; Uetsuji, Y. Multiscale characterization and design of cellulose composites based on polymers with movable cross-links. Polymer 2024, 291, 126603. [Google Scholar] [CrossRef]
- Li, J.; Wen, M.; Jiang, Z.Y.; Xian, L.; Liu, J.; Chen, J. Development and characterization of a surfactant responsive to redox conditions for gas recovery in foam drainage. Sci. Rep. 2025, 15, 511. [Google Scholar] [CrossRef]
- Li, H.; Wang, Y.; Qiao, L.; Yang, H.; Zhou, W. Preparation and performance evaluation of a hydrophobically associating polymer as a high-strength water-swelling temporary plugging material. Chem. Technol. Fuels Oils 2020, 56, 707–717. [Google Scholar] [CrossRef]
- Deng, J.; Lian, H.; Zhuang, Y.; Zhao, H.; Wang, Z.; Tian, Y.; Lin, C.; Yuan, H.; Han, M.; Lu, G.; et al. Synthesis and performance evaluation of multi-crosslinked preformed particle gels with ultra-high strength and high-temperature and high-salinity resistance for conformance control. Fuel 2024, 357, 130027. [Google Scholar] [CrossRef]
- Kang, W.; Wang, J.; Ye, Z.; Gu, G.; Li, W.; Yang, H.; Li, Z.; Xu, H.; Lv, Z.; Sarsenbekuly, B. Study on preparation and plugging effect of sawdust gel particle in fractured reservoir. J. Petrol. Sci. Eng. 2022, 212, 110358. [Google Scholar] [CrossRef]
- Chen, X.; Li, Y.; Liu, Z.; Zhang, J.; Trivedi, J.; Li, X. Experimental and theoretical investigation of the migration and plugging of the particle in porous media based on elastic properties. Fuel 2023, 332, 126224. [Google Scholar] [CrossRef]
- Huang, X.; Meng, X.; Lv, K.; Zhang, Z.; Cao, L.; Wang, R.; Feng, J.; Wu, Y.; Sheng, W. Development of a high temperature resistant nano-plugging agent and the plugging performance of multi-scale micropores. Colloids Surf. A Physicochem. Eng. Asp. 2022, 639, 128275. [Google Scholar] [CrossRef]
- Jia, H.; Yang, X. Environmental and strength-enhanced nano silica based composite gel for well temporary plugging in high-temperature reservoirs. Asia-Pac. J. Chem. Eng. 2019, 14, e2270. [Google Scholar] [CrossRef]
- Kong, X.; Xu, H.; Shen, J.; Zhang, Y.; Sun, T. Study on the velocity of the temporary plugging agent along wellbore in a fracturing operation. Chem. Technol. Fuels Oils 2022, 58, 185–188. [Google Scholar] [CrossRef]
- Zhong, Y.; Zhang, H.; Feng, Y.; Li, J.; Yang, Y.; She, J. A composite temporary plugging technology for hydraulic fracture diverting treatment in gas shales: Using degradable particle/powder gels (DPGs) and proppants as temporary plugging agents. J. Petrol. Sci. Eng. 2022, 216, 110851. [Google Scholar] [CrossRef]
- Wang, T.; Xu, Y.; Lv, D.; Xie, Z.; Zhao, G.; Dai, C. Potential application of dispersed particle gel strengthened alkali as a novel combination flooding system for enhanced oil recovery. J. Mol. Liq. 2022, 368, 120816. [Google Scholar] [CrossRef]
- Zhou, B.; Kang, W.; Yang, H.; Zhu, T.; Zhang, H.; Li, X.; Sarsenbekuly, B.; Sarsenbek, T. Preparation and properties of an acid-resistant preformed particle gel for conformance control. J. Petrol. Sci. Eng. 2021, 197, 107964. [Google Scholar] [CrossRef]
- Guo, H.; Ge, J.; Li, L.; Liu, M.; Wang, W. Development, evaluation and stability mechanism of high-strength gels in high-temperature and high-salinity reservoirs. J. Mol. Liq. 2024, 399, 124452. [Google Scholar] [CrossRef]
- Bai, Y.; Yang, J.; Sun, J.; Shang, X.; Han, J. Self-filling and plugging performance of a thixotropic polymer gel for lost circulation control in fractured formation. Geoenergy Sci. Eng. 2023, 225, 211717. [Google Scholar] [CrossRef]
- Sun, F.; Lin, M.; Dong, Z.; Zhu, D.; Wang, S.; Yang, J. Effect of composition of HPAM/chromium (III) acetate gels on delayed gelation time. J. Dispers. Sci. Technol. 2016, 37, 753–759. [Google Scholar] [CrossRef]
- Bai, Y.; Zhang, Q.; Sun, J.; Shang, X.; Lv, K.; Wang, F. Disproportionate filtration behaviors of polymer/chromium gel used for fracture plugging. J. Mol. Liq. 2021, 343, 117567. [Google Scholar] [CrossRef]
- Wang, Z.; Bai, B.; Sun, X.; Wang, J. Effect of multiple factors on preformed particle gel placement, dehydration, and plugging performance in partially open fractures. Fuel 2019, 251, 73–81. [Google Scholar] [CrossRef]
- Wang, Y.; Hou, J.; Tang, Y.; Song, Z. Effect of vug filling on oil-displacement efficiency in carbonate fractured-vuggy reservoir by natural bottom-water drive: A conceptual model experiment. J. Petrol. Sci. Eng. 2019, 174, 1113–1126. [Google Scholar] [CrossRef]
- Cui, S.; Liu, S.; Li, H.; Zhou, F.; Sun, D. Critical parameters investigation of rock breaking by high-pressure foam fracturing method. Energy 2022, 258, 124871. [Google Scholar] [CrossRef]
- Yue, P.; Jia, B.; Sheng, J.; Lei, T.; Tang, C. A coupling model of water breakthrough time for a multilateral horizontal well in a bottom water-drive reservoir. J. Pet. Sci. Eng. 2019, 177, 317–330. [Google Scholar] [CrossRef]
- Salunkhe, B.; Schuman, T.; Brahim, A.A.; Bai, B. Ultra-high temperature resistant preformed particle gels for enhanced oil recovery. Chem. Eng. J. 2021, 426, 130712. [Google Scholar] [CrossRef]
- Zou, C.; Dai, C.; Liu, Y.; You, Q.; Ding, F.; Huang, Y.; Sun, N. A novel self-degradable gel (SDG) as liquid temporary plugging agent for high-temperature reservoirs. J. Mol. Liq. 2023, 386, 122463. [Google Scholar] [CrossRef]








| Normalized Gel | TRG | Gelation Time/h | Gelation Strength | Elastic Modulus (G′) |
|---|---|---|---|---|
| High-strength gel | TRG 1 | 1 | G | 31.24 |
| TRG 2 | 3 | G | 27.12 | |
| Medium-strength gel | TRG 3 | 3 | F | 24.03 |
| TRG 4 | 4 | F | 19.42 | |
| Low-strength gel | TRG 5 | 7 | F | 9.90 |
| TRG 6 | 8 | E | 1.45 |
| Fitting Parameters | p00 | p10 | p01 | p20 | p11 | p02 | R2 |
|---|---|---|---|---|---|---|---|
| c | 0.7587 | 0.06169 | −0.1632 | 0.0002879 | −0.004365 | 0.01078 | 0.9670 |
| d | 85.45 | 1.430 | −2.243 | −0.03770 | 0.06810 | −0.01139 | 0.9386 |
| Na+ | Ca2+ | Mg2+ | Cl− | Total Salinity/(mg/L) |
|---|---|---|---|---|
| 71,243 | 10,011 | 10,003 | 111,271 | 202,528 |
| Plugging Agent | NO. | Polymer LH301/% | HMTA/% | CL/% | Resorcinol/% |
|---|---|---|---|---|---|
| TRG | 1 | 0.8 | 0.40 | 0.25 | 0.25 |
| 2 | 0.7 | 0.35 | 0.20 | 0.20 | |
| 3 | 0.6 | 0.30 | 0.15 | 0.15 | |
| 4 | 0.5 | 0.25 | 0.10 | 0.10 | |
| 5 | 0.4 | 0.20 | 0.05 | 0.05 | |
| 6 | 0.3 | 0.15 | 0.075 | 0.075 |
| NO. | Fracture Scales/mm | Length/mm | Diameter/mm | Weight/g | Porosity/% | kf/mD | km/mD | Initial Oil Saturation/% |
|---|---|---|---|---|---|---|---|---|
| FM1 | 1 | 50.21 | 25.01 | 48.40 | 20.80 | 6716 | 324 | 89.67 |
| FM2 | 1 | 49.32 | 24.98 | 47.50 | 21.11 | 6716 | 303 | 90.23 |
Disclaimer/Publisher’s Note: The statements, opinions and data contained in all publications are solely those of the individual author(s) and contributor(s) and not of MDPI and/or the editor(s). MDPI and/or the editor(s) disclaim responsibility for any injury to people or property resulting from any ideas, methods, instructions or products referred to in the content. |
© 2025 by the authors. Licensee MDPI, Basel, Switzerland. This article is an open access article distributed under the terms and conditions of the Creative Commons Attribution (CC BY) license (https://creativecommons.org/licenses/by/4.0/).
Share and Cite
Si, S.; Liu, Y.; Jiang, Y.; Zou, C.; Yang, N.; Lv, D.; Miao, X.; Dai, C. Study on Pressure-Bearing Patterns of Gel Plugging Agents in Multi-Scale Fractures. Gels 2025, 11, 305. https://doi.org/10.3390/gels11040305
Si S, Liu Y, Jiang Y, Zou C, Yang N, Lv D, Miao X, Dai C. Study on Pressure-Bearing Patterns of Gel Plugging Agents in Multi-Scale Fractures. Gels. 2025; 11(4):305. https://doi.org/10.3390/gels11040305
Chicago/Turabian StyleSi, Shuanghu, Yifei Liu, Yinghui Jiang, Chenwei Zou, Ning Yang, Dongfang Lv, Xizhuo Miao, and Caili Dai. 2025. "Study on Pressure-Bearing Patterns of Gel Plugging Agents in Multi-Scale Fractures" Gels 11, no. 4: 305. https://doi.org/10.3390/gels11040305
APA StyleSi, S., Liu, Y., Jiang, Y., Zou, C., Yang, N., Lv, D., Miao, X., & Dai, C. (2025). Study on Pressure-Bearing Patterns of Gel Plugging Agents in Multi-Scale Fractures. Gels, 11(4), 305. https://doi.org/10.3390/gels11040305

