Texture-Modified Soy Protein Gels Using Transglutaminase and Agar for Elderly Dysphagia Management
Abstract
1. Introduction
- Levels 1: <5 × 105 N/m2 (easy to chew)
- Levels 2: <5 × 104 N/m2 (can be broken up using the gums)
- Levels 3: <2 × 104 N/m2 (can be broken up using the tongue)
- Levels 4: <5 × 103 N/m2 (does not require chewing) [5]
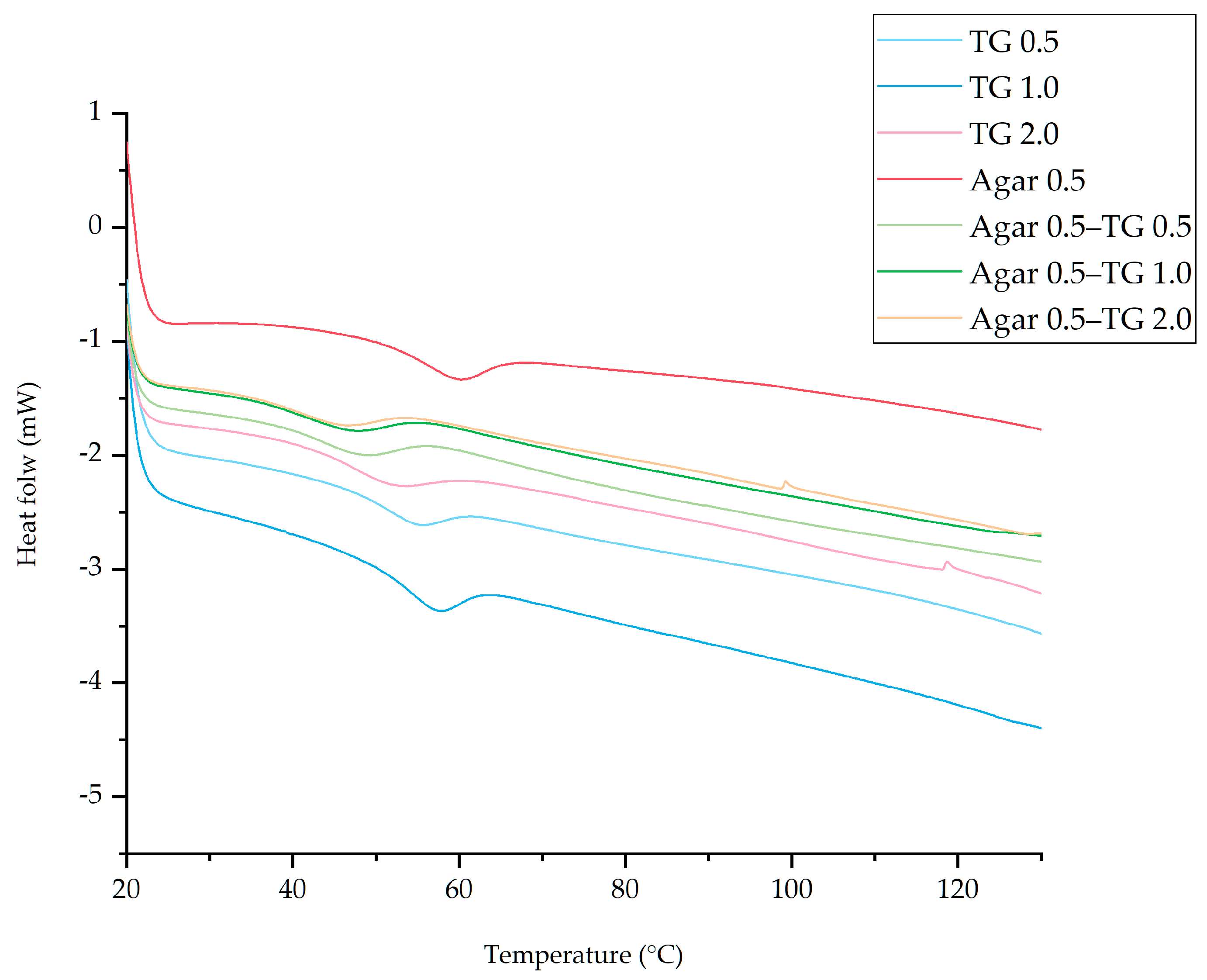
2. Results and Discussion
2.1. Texture Profile Analysis
2.2. Water Holding Capacity (WHC) and Color Properties
2.3. Fork Pressure Tests on Soy Protein Gel Samples
2.4. Fourier Transform Infrared Spectroscopic Analysis of Protein Secondary Structures
2.5. DSC Analysis
2.6. TGA Analysis
2.7. Morphology of Soy Protein Gel Surface and Cross-Section
3. Conclusions
4. Materials and Methods
4.1. Materials
4.2. Protein Gel Preparation
4.3. The Universal Design Food (UDF) Analysis by Textural Profile Analysis
4.4. Water Holding Capacity (WHC)
4.5. Color Analysis
4.6. Fork Pressure Tests
4.7. Fourier-Transform Infrared Spectroscopy (FTIR)
4.8. Amide I Peak Deconvolution
4.9. Thermogravimetric Analysis (TGA)
4.10. Differential Scanning Calorimetry (DSC)
4.11. Digital Microscopes for 2D and 3D Imaging and Analysis
4.12. Statistical Analysis
Supplementary Materials
Author Contributions
Funding
Institutional Review Board Statement
Informed Consent Statement
Data Availability Statement
Acknowledgments
Conflicts of Interest
Use of Artificial Intelligence
References
- Vandenberghe-Descamps, M.; Labouré, H.; Septier, C.; Feron, G.; Sulmont-Rossé, C. Oral comfort: A new concept to understand elderly people’s expectations in terms of food sensory characteristics. Food Qual. Prefer. 2018, 70, 57–67. [Google Scholar] [CrossRef]
- Wang, J.; Na, X.; Navicha, W.B.; Wen, C.; Ma, W.; Xu, X.; Wu, C.; Du, M. Concentration-dependent improvement of gelling ability of soy proteins by preheating or ultrasound treatment. LWT 2020, 134, 110170. [Google Scholar] [CrossRef]
- Roldan-Vasco, S.; Orozco-Duque, A.; Orozco-Arroyave, J.R. Dysphagia screening with sEMG, accelerometry and speech: Multimodal machine and deep learning approaches. Biomed. Signal Process. Control 2025, 100, 107030. [Google Scholar] [CrossRef]
- Li, M.; Wang, Z.; Han, W.-J.; Lu, S.-Y.; Fang, Y.-Z. Effect of feeding management on aspiration pneumonia in elderly patients with dysphagia. Chin. Nurs. Res. 2015, 2, 40–44. [Google Scholar] [CrossRef]
- Chao, C.; Lee, J.H.; Kim, I.W.; Choi, R.Y.; Kim, H.W.; Park, H.J. Investigation of 3D-printable chickpea-mealworm protein mixtures and their bolus rheology: A soft-textured and safe-swallowing food for the elderly. Food Biosci. 2023, 54, 102924. [Google Scholar] [CrossRef]
- Cichero, J.A. Thickening agents used for dysphagia management: Effect on bioavailability of water, medication and feelings of satiety. Nutr. J. 2013, 12, 54. [Google Scholar] [CrossRef] [PubMed]
- Hansen, T.; Beck, A.M.; Kjaersgaard, A.; Poulsen, I. Second update of a systematic review and evidence-based recommendations on texture modified foods and thickened liquids for adults (above 17 years) with oropharyngeal dysphagia. Clin. Nutr. ESPEN 2022, 49, 551–555. [Google Scholar] [CrossRef]
- The International Dysphagia Diet Standardisation Initiative. IDDSI Framework Testing Methods 2.0. Available online: https://www.iddsi.org/images/Publications-Resources/DetailedDefnTestMethods/English/V2TestingMethodsEnglish31july2019.pdf (accessed on 7 January 2025).
- Wang, X.; Chen, Y.; Dong, M.; Chen, J. Comparisons of shear and extensional rheological properties of Tremella polysaccharide with commercial thickeners at different IDDSI levels for dysphagia management. Food Hydrocoll. 2024, 156, 110377. [Google Scholar] [CrossRef]
- García, J.; Méndez, D.; Álvarez, M.; Sanmartin, B.; Vázquez, R.; Regueiro, L.; Atanassova, M. Design of novel functional food products enriched with bioactive extracts from holothurians for meeting the nutritional needs of the elderly. LWT 2019, 109, 55–62. [Google Scholar] [CrossRef]
- Baum, J.I.; Kim, I.-Y.; Wolfe, R.R. Protein consumption and the elderly: What is the optimal level of intake? Nutrients 2016, 8, 359. [Google Scholar] [CrossRef]
- Ou, M.; Lou, J.; Lao, L.; Guo, Y.; Pan, D.; Yang, H.; Wu, Z. Plant-based meat analogue of soy proteins by the multi-strain solid-state mixing fermentation. Food Chem. 2023, 414, 135671. [Google Scholar] [CrossRef] [PubMed]
- Zhou, H.; Hu, X.; Xiang, X.; McClements, D.J. Modification of textural attributes of potato protein gels using salts, polysaccharides, and transglutaminase: Development of plant-based foods. Food Hydrocoll. 2023, 144, 108909. [Google Scholar] [CrossRef]
- Li, T.; Zhang, J.; Hu, A.; Guo, F.; Zhou, H.; Wang, Q. Effect of transglutaminase and laccase on pea protein gel properties compared to that of soybean. Food Hydrocoll. 2024, 156, 110314. [Google Scholar] [CrossRef]
- Tiong, A.Y.J.; Crawford, S.; Jones, N.C.; McKinley, G.H.; Batchelor, W.; van ’t Hag, L. Pea and soy protein isolate fractal gels: The role of protein composition, structure and solubility on their gelation behaviour. Food Struct. 2024, 40, 100374. [Google Scholar] [CrossRef]
- Qin, P.; Wang, T.; Luo, Y. A review on plant-based proteins from soybean: Health benefits and soy product development. J. Agric. Food Res. 2022, 7, 100265. [Google Scholar] [CrossRef]
- Zhang, Y.; Chang, S.K. Color and texture of surimi-like gels made of protein isolate extracted from catfish byproducts are improved by washing and adding soy whey. J. Food Sci. 2022, 87, 3057–3070. [Google Scholar] [CrossRef]
- Xia, J.; Zu, Q.; Yang, A.; Wu, Z.; Li, X.; Tong, P.; Yuan, J.; Wu, Y.; Fan, Q.; Chen, H. Allergenicity reduction and rheology property of Lactobacillus-fermented soymilk. J. Sci. Food Agric. 2019, 99, 6841–6849. [Google Scholar] [CrossRef]
- Pi, X.; Sun, Y.; Fu, G.; Wu, Z.; Cheng, J. Effect of processing on soybean allergens and their allergenicity. Trends Food Sci. Technol. 2021, 118, 316–327. [Google Scholar] [CrossRef]
- Zheng, H.; Yan, G.; Lee, Y.; Alcaraz, C.; Marquez, S.; de Mejia, E.G. Effect of the extrusion process on allergen reduction and the texture change of soybean protein isolate-corn and soybean flour-corn mixtures. Innov. Food Sci. Emerg. Technol. 2020, 64, 102421. [Google Scholar] [CrossRef]
- Sridharan, S.; Meinders, M.B.; Sagis, L.M.; Bitter, J.H.; Nikiforidis, C.V. Starch controls brittleness in emulsion-gels stabilized by pea flour. Food Hydrocoll. 2022, 131, 107708. [Google Scholar] [CrossRef]
- Fan, Z.; Cheng, P.; Zhang, P.; Zhang, G.; Han, J. Rheological insight of polysaccharide/protein based hydrogels in recent food and biomedical fields: A review. Int. J. Biol. Macromol. 2022, 222, 1642–1664. [Google Scholar] [CrossRef] [PubMed]
- Thivya, P.; Gururaj, P.; Reddy, N.B.P.; Rajam, R. Recent advances in protein-polysaccharide based biocomposites and their potential applications in food packaging: A review. Int. J. Biol. Macromol. 2024, 131757. [Google Scholar] [CrossRef] [PubMed]
- Choi, M.; Choi, H.W.; Kim, H.E.; Hahn, J.; Choi, Y.J. Mimicking animal adipose tissue using a hybrid network-based solid-emulsion gel with soy protein isolate, agar, and alginate. Food Hydrocoll. 2023, 145, 109043. [Google Scholar] [CrossRef]
- Lee, S.; Jo, K.; Kim, S.; Woo, M.; Choi, Y.-S.; Jung, S. Exploring the potential of the agar-based emulsion gel as a pork fat substitute in sausage with a focus on the digestive behaviors of lipids and proteins in vitro. Food Hydrocoll. 2025, 166, 111335. [Google Scholar] [CrossRef]
- Ścieszka, S.; Klewicka, E. Algae in food: A general review. Crit. Rev. Food Sci. Nutr. 2019, 59, 3538–3547. [Google Scholar] [CrossRef] [PubMed]
- Rhein-Knudsen, N.; Ale, M.T.; Meyer, A.S. Seaweed hydrocolloid production: An update on enzyme assisted extraction and modification technologies. Mar. Drugs 2015, 13, 3340–3359. [Google Scholar] [CrossRef]
- Suresh, A.; Shobna; Salaria, M.; Morya, S.; Khalid, W.; Afzal, F.A.; Khan, A.A.; Safdar, S.; Khalid, M.Z.; Mukonzo Kasongo, E.L. Dietary fiber: An unmatched food component for sustainable health. Food Agric. Immunol. 2024, 35, 2384420. [Google Scholar] [CrossRef]
- Zhang, G.; Wang, Y.; Cui, P.; Qiu, Y.; Ye, S.; Zhang, A. pH-induced complex coacervation of Gel and Agar: Phase behavior and structural properties. Process Biochem. 2024, 143, 292–301. [Google Scholar] [CrossRef]
- Lee, W.-K.; Lim, Y.-Y.; Leow, A.T.-C.; Namasivayam, P.; Abdullah, J.O.; Ho, C.-L. Factors affecting yield and gelling properties of agar. J. Appl. Phycol. 2017, 29, 1527–1540. [Google Scholar] [CrossRef]
- Krasulya, O.N.; Dunchenko, N.I.; Yankovskaya, V.S.; Voloshina, E.S.; Mettu, S. The effects of ultrasonic treated whey on the structure formation in food systems based on whey in combination with pectin and agar-agar. Ultrason. Sonochem. 2022, 88, 106073. [Google Scholar] [CrossRef]
- Banerjee, S.; Bhattacharya, S. Compressive textural attributes, opacity and syneresis of gels prepared from gellan, agar and their mixtures. J. Food Eng. 2011, 102, 287–292. [Google Scholar] [CrossRef]
- Banerjee, S.; Ravi, R.; Bhattacharya, S. Textural characterisation of gellan and agar based fabricated gels with carrot juice. LWT-Food Sci. Technol. 2013, 53, 255–261. [Google Scholar] [CrossRef]
- Liu, H.; Nardin, C.; Zhang, Y. Novel soft food gels using beta-lactoglobulin via enzymatic crosslinking as agar gel alternatives. Food Hydrocoll. 2024, 155, 110213. [Google Scholar] [CrossRef]
- Amirdivani, S.; Khorshidian, N.; Fidelis, M.; Granato, D.; Koushki, M.R.; Mohammadi, M.; Khoshtinat, K.; Mortazavian, A.M. Effects of transglutaminase on health properties of food products. Current Opin. Food Sci. 2018, 22, 74–80. [Google Scholar] [CrossRef]
- Gaspar, A.L.C.; de Góes-Favoni, S.P. Action of microbial transglutaminase (MTGase) in the modification of food proteins: A review. Food Chem. 2015, 171, 315–322. [Google Scholar] [CrossRef] [PubMed]
- Feng, Y.; Liang, X.; Zhang, J.; Kong, B.; Shi, P.; Cao, C.; Zhang, H.; Liu, Q.; Zhang, Y. Effects of transglutaminase coupled with κ-carrageenan on the rheological behaviours, gel properties and microstructures of meat batters. Food Hydrocoll. 2024, 146, 109265. [Google Scholar] [CrossRef]
- Vijayan, P.; Song, Z.; Toy, J.Y.H.; Yu, L.L.; Huang, D. Effect of transglutaminase on gelation and functional proteins of mung bean protein isolate. Food Chem. 2024, 454, 139590. [Google Scholar] [CrossRef]
- Luo, K.; Liu, S.; Miao, S.; Adhikari, B.; Wang, X.; Chen, J. Effects of transglutaminase pre-crosslinking on salt-induced gelation of soy protein isolate emulsion. J. Food Eng. 2019, 263, 280–287. [Google Scholar] [CrossRef]
- Yang, J.; Zhu, B.; Dou, J.; Li, X.; Tian, T.; Tong, X.; Wang, H.; Huang, Y.; Li, Y.; Qi, B.; et al. Structural characterization of soy protein hydrolysates and their transglutaminase-induced gelation properties. LWT 2023, 179, 114668. [Google Scholar] [CrossRef]
- Yang, X.; Zhang, Y. Expression of recombinant transglutaminase gene in Pichia pastoris and its uses in restructured meat products. Food Chem. 2019, 291, 245–252. [Google Scholar] [CrossRef]
- Wang, K.; Wang, J.; Chen, L.; Hou, J.; Lu, F.; Liu, Y. Effect of sanxan as novel natural gel modifier on the physicochemical and structural properties of microbial transglutaminase-induced mung bean protein isolate gels. Food Chem. 2024, 449, 139147. [Google Scholar] [CrossRef] [PubMed]
- Tay, J.U.; Oh, J.L.-E.; Lu, Y.; Antipina, M.N.; Zhou, W.; Huang, D. 3D printing of prawn mimics with faba proteins: The effects of transglutaminase and curdlan gum on texture. Int. J. Biol. Macromol. 2024, 274, 133235. [Google Scholar] [CrossRef] [PubMed]
- Santhi, D.; Kalaikannan, A.; Malairaj, P.; Arun Prabhu, S. Application of microbial transglutaminase in meat foods: A review. Crit. Rev. Food Sci. Nutr. 2017, 57, 2071–2076. [Google Scholar] [CrossRef]
- Herz, E.; Schäfer, S.; Terjung, N.; Gibis, M.; Weiss, J. Influence of transglutaminase on glucono-δ-lactone-induced soy protein gels. ACS Food Sci. Technol. 2021, 1, 1412–1417. [Google Scholar] [CrossRef]
- Tanger, C.; Müller, M.; Andlinger, D.; Kulozik, U. Influence of pH and ionic strength on the thermal gelation behaviour of pea protein. Food Hydrocoll. 2022, 123, 106903. [Google Scholar] [CrossRef]
- Ryu, J.; McClements, D.J. Impact of heat-set and cold-set gelling polysaccharides on potato protein gelation: Gellan gum, agar, and methylcellulose. Food Hydrocoll. 2024, 149, 109535. [Google Scholar] [CrossRef]
- Suebsaen, K.; Suksatit, B.; Kanha, N.; Laokuldilok, T. Instrumental characterization of banana dessert gels for the elderly with dysphagia. Food Biosci. 2019, 32, 100477. [Google Scholar] [CrossRef]
- Zhang, Y.; Wang, X.; Zhu, H.; Chen, B.; Wang, C.; Pang, X.; Wang, Y.; Xie, N.; Su, S.; Zhang, S.; et al. The effect of agar on rheological properties and thermal stability of rennet-induced casein micelle gel. Colloids Surf. A Physicochem. Eng. Asp. 2024, 686, 133273. [Google Scholar] [CrossRef]
- Peyron, M.-A.; Mishellany, A.; Woda, A. Particle size distribution of food boluses after mastication of six natural foods. J. Dent. Res. 2004, 83, 578–582. [Google Scholar] [CrossRef]
- Woda, A.; Nicolas, E.; Mishellany-Dutour, A.; Hennequin, M.; Mazille, M.-N.; Veyrune, J.-L.; Peyron, M.-A. The masticatory normative indicator. J. Dent. Res. 2010, 89, 281–285. [Google Scholar] [CrossRef]
- Murdan, S. Transverse fingernail curvature in adults: A quantitative evaluation and the influence of gender, age, and hand size and dominance. Int. J. Cosmet. Sci. 2011, 33, 509–513. [Google Scholar] [CrossRef] [PubMed]
- Farhat, I.A.; Orset, S.; Moreau, P.; Blanshard, J.M. FTIR study of hydration phenomena in protein–sugar systems. J. Colloid Interface Sci. 1998, 207, 200–208. [Google Scholar] [CrossRef] [PubMed]
- Wang, J.; Xu, Z.; Jiang, L.; Zhang, Y.; Sui, X. Further evaluation on structural and antioxidant capacities of soy protein isolate under multiple freeze–thaw cycles. Food Chem. X 2023, 17, 100574. [Google Scholar] [CrossRef]
- Zhang, J.; Chen, Q.; Liu, L.; Zhang, Y.; He, N.; Wang, Q. High-moisture extrusion process of transglutaminase-modified peanut protein: Effect of transglutaminase on the mechanics of the process forming a fibrous structure. Food Hydrocoll. 2021, 112, 106346. [Google Scholar] [CrossRef]
- Wang, Y.; Lei, A.; Zhan, Z.; Sun, X.; Zhang, F. Effect of transglutaminase treatment on the physicochemical properties and structural characteristics of soy protein isolate/konjac glucomannan complex. Food Chem. 2025, 470, 142642. [Google Scholar] [CrossRef]
- Renzetti, S.; Dal Bello, F.; Arendt, E.K. Microstructure, fundamental rheology and baking characteristics of batters and breads from different gluten-free flours treated with a microbial transglutaminase. J. Cereal Sci. 2008, 48, 33–45. [Google Scholar] [CrossRef]
- Zhou, P.; Labuza, T.P. Effect of water content on glass transition and protein aggregation of whey protein powders during short-term storage. Food Biophys. 2007, 2, 108–116. [Google Scholar] [CrossRef]
- Wu, C.; Wang, J.; Yan, X.; Ma, W.; Wu, D.; Du, M. Effect of partial replacement of water-soluble cod proteins by soy proteins on the heat-induced aggregation and gelation properties of mixed protein systems. Food Hydrocoll. 2020, 100, 105417. [Google Scholar] [CrossRef]
- Pinho, S.C.; Brito-Oliveira, T.C.; Geremias-Andrade, I.M.; Moraes, I.C.F.; Gómez-Mascaraque, L.G.; Brodkorb, A. Microstructure and in vitro digestion of mixed protein gels of soy and whey protein isolates. Food Hydrocoll. 2024, 155, 110189. [Google Scholar] [CrossRef]
- Huang, G.; Wang, Q.; Zhong, Q.; Chen, Y.; Yang, X.; Jin, W.; Xiao, G. Improving color and digestion resistibility of 3D-printed ready-to-eat starch gels using anthocyanins. LWT 2024, 213, 116990. [Google Scholar] [CrossRef]
- Qiu, L.; Zhang, M.; Adhikari, B.; Lin, J.; Luo, Z. Preparation and characterization of 3D printed texture-modified food for the elderly using mung bean protein, rose powder, and flaxseed gum. J. Food Eng. 2024, 361, 111750. [Google Scholar] [CrossRef]
- Chen, Y.; Cai, X.-L.; Liu, L.; Zhang, T.; Qin, L.-K.; Jia, Y.-L. Preparation and performance characterization of insoluble dietary fiber-alginate-pea protein ternary composite gels. Food Hydrocoll. 2025, 160, 110852. [Google Scholar] [CrossRef]





| Formulations | UDF Level | Hardness (N/m2) | Cohesiveness | Springiness (mm) | Gumminess (g) | Chewiness (mJ) |
|---|---|---|---|---|---|---|
| TG 0.5 | 4 | 2.2 × 103 ± 2.7 × 102 e | 0.35 ± 0.04 b | 2.21 ± 0.17 c | 26.0 ± 4.0 e | 0.45 ± 0.05 f |
| TG 1.0 | 4 | 4.3 × 103 ± 1.8 × 102 e | 0.51 ± 0.08 a | 3.98 ± 0.30 a | 73.7 ± 7.5 d | 3.0 ± 0.4 e |
| TG 2.0 | 4 | 7.2 × 103 ± 8.3 × 102 d | 0.51 ± 0.05 a | 3.87 ± 0.29 a | 116 ± 10 c | 5.1 ± 0.4 d |
| Agar 0.5 | 3 | 1.26 × 104 ± 0.86 × 103 c | 0.59 ± 0.04 a | 2.92 ± 0.49 b | 238 ± 29 b | 5.3 ± 0.4 d |
| Agar 0.5–TG 0.5 | 3 | 1.47 × 104 ± 0.45 × 103 c | 0.52 ± 0.04 a | 3.53 ± 0.20 a | 253 ± 12 b | 7.6 ± 0.9 c |
| Agar 0.5–TG 1.0 | 3 | 1.93 × 104 ± 2.1 × 103 a | 0.52 ± 0.07 a | 3.81 ± 0.36 a | 259 ± 19 b | 10.5 ± 1.3 b |
| Agar 0.5–TG 2.0 | 2 | 3.29 × 104 ± 3.4 × 103 a | 0.51 ± 0.06 a | 3.79 ± 0.44 a | 536 ± 378 a | 20.0 ± 1.4 a |
| Formulations | Water Holding Capacity (%) | Color Parameters | |||
|---|---|---|---|---|---|
| L* | a* | b* | ∆E* | ||
| TG 0.5 | 39.1 ± 0.9 e | 78.32 ± 0.27 a | 0.85 ± 0.17 d | 12.9 ± 0.3 d | 34.8 ± 0.7 d |
| TG 1.0 | 40.0 ± 2.6 de | 77.67 ± 0.14 a | 0.77 ± 0.01 d | 12.86 ± 0.05 d | 35.33 ± 0.13 d |
| TG 2.0 | 42.0 ± 1.2 cd | 77.6 ± 0.7 a | 1.32 ± 0.06 c | 14.6 ± 0.2 c | 37.7 ± 0.5 c |
| Agar 0.5 | 44.8 ± 1.5 b | 75.08 ± 0.09 b | 1.90 ± 0.05 b | 16.8 ± 0.3 b | 43.0 ± 0.2 b |
| Agar 0.5–TG 0.5 | 42.3 ± 1.1bcd | 72.5 ± 0.7 e | 2.49 ± 0.16 a | 17.2 ± 0.6 ab | 46.6 ± 0.4 a |
| Agar 0.5–TG 1.0 | 44.3 ± 1.2 bc | 73.44 ± 0.30 c | 2.58 ± 0.05 a | 17.50 ± 0.39 a | 46.01 ± 0.38a |
| Agar 0.5–TG 2.0 | 48.7 ± 0.8 a | 73.0 ± 0.6 cd | 2.61 ± 0.16 a | 17.10 ± 0.39 ab | 46.1 ± 0.7 a |
| Formulations | β-Sheet | Random Coil | α-Helix | β-Turn | ||
|---|---|---|---|---|---|---|
| 1611 | 1626 ns | 1642 | 1657 | 1673 ns | 1688 | |
| TG 0.5 | 23.7 ± 0.9 ab | 25.1 ± 1.0 | 6.76 ± 0.01 e | 5.77 ± 0.01 c | 20.6 ± 1.6 | 18.1 ± 1.7 bcd |
| TG 1.0 | 24.3 ± 0.4 a | 24.7 ± 0.7 | 7.41 ± 0.01 b | 6.10 ± 0.01 b | 20.0 ± 1.3 | 17.5 ± 1.6 cd |
| TG 2.0 | 23.9 ± 1.0 ab | 22.8 ± 1.3 | 7.17 ± 0.01 d | 6.11 ± 0.02 b | 20.1 ± 1.9 | 20.5 ± 1.2 abc |
| Agar 0.5 | 24.1 ± 0.8 a | 25.5 ± 0.3 | 7.54 ± 0.01 a | 6.31 ± 0.01 a | 19.7 ± 1.7 | 16.9 ± 1.7 d |
| Agar 0.5–TG 0.5 | 21.0 ± 1.5 b | 21.8 ± 3.3 | 7.19 ± 0.02 d | 4.09 ± 0.01 f | 22.32 ± 0.08 | 23.60 ± 0.35 a |
| Agar 0.5–TG 1.0 | 22.6 ± 2.0 ab | 21.8 ± 3.3 | 7.27 ± 0.01 c | 4.87 ± 0.01 e | 20.8 ± 1.3 | 21.0 ± 0.8 ab |
| Agar 0.5–TG 2.0 | 23.2 ± 1.0 ab | 24.1 ± 0.8 | 7.20 ± 0.00 d | 5.57 ± 0.01 d | 20.7 ± 1.0 | 19.2 ± 2.4 bcd |
| Formulations | T0 (°C) | ∆H (J/g) | Tp (°C) | Tg (°C) |
|---|---|---|---|---|
| TG 0.5 | 47.61 ± 0.56 b | 1.92 ± 0.11 d | 55.19 ± 0.16 b | 51.25 ± 0.35 c |
| TG 1.0 | 49.10 ± 0.93 ab | 2.96 ± 0.05 a | 56.92 ± 0.20 b | 52.75 ± 0.35 b |
| TG 2.0 | 42.37 ± 0.77 c | 2.78 ± 0.04 ab | 51.48 ± 0.64 c | 46.75 ± 0.35 d |
| Agar 0.5 | 50.63 ± 0.93 a | 2.65 ± 0.016 b | 59.48 ± 0.69 a | 54.75 ± 0.35 a |
| Agar 0.5–TG 0.5 | 38.93 ± 0.14 d | 2.32 ± 0.13 c | 48.09 ± 0.21 d | 43.25 ± 0.35 e |
| Agar 0.5–TG 1.0 | 37.01 ± 0.81 e | 2.04 ± 0.08 d | 46.40 ± 0.54 d | 42.25 ± 0.35 e |
| Agar 0.5–TG 2.0 | 36.26 ± 0.53 e | 2.06 ± 0.11 d | 46.98 ± 1.73 d | 41.25 ± 0.35 f |
Disclaimer/Publisher’s Note: The statements, opinions and data contained in all publications are solely those of the individual author(s) and contributor(s) and not of MDPI and/or the editor(s). MDPI and/or the editor(s) disclaim responsibility for any injury to people or property resulting from any ideas, methods, instructions or products referred to in the content. |
© 2025 by the authors. Licensee MDPI, Basel, Switzerland. This article is an open access article distributed under the terms and conditions of the Creative Commons Attribution (CC BY) license (https://creativecommons.org/licenses/by/4.0/).
Share and Cite
Paleekui, P.; Rattanamato, B.; Kanha, N.; Rakariyatham, K.; Klangpetch, W.; Osiriphun, S.; Laokuldilok, T. Texture-Modified Soy Protein Gels Using Transglutaminase and Agar for Elderly Dysphagia Management. Gels 2025, 11, 303. https://doi.org/10.3390/gels11040303
Paleekui P, Rattanamato B, Kanha N, Rakariyatham K, Klangpetch W, Osiriphun S, Laokuldilok T. Texture-Modified Soy Protein Gels Using Transglutaminase and Agar for Elderly Dysphagia Management. Gels. 2025; 11(4):303. https://doi.org/10.3390/gels11040303
Chicago/Turabian StylePaleekui, Puchcharin, Benjamard Rattanamato, Nattapong Kanha, Kanyasiri Rakariyatham, Wannaporn Klangpetch, Sukhuntha Osiriphun, and Thunnop Laokuldilok. 2025. "Texture-Modified Soy Protein Gels Using Transglutaminase and Agar for Elderly Dysphagia Management" Gels 11, no. 4: 303. https://doi.org/10.3390/gels11040303
APA StylePaleekui, P., Rattanamato, B., Kanha, N., Rakariyatham, K., Klangpetch, W., Osiriphun, S., & Laokuldilok, T. (2025). Texture-Modified Soy Protein Gels Using Transglutaminase and Agar for Elderly Dysphagia Management. Gels, 11(4), 303. https://doi.org/10.3390/gels11040303

