Physicochemical Properties and Consumer Appeal of High Pressure Structured Pea and Chickpea Isolate-Enriched Whole Concord Grape Gels
Abstract
1. Introduction
2. Results and Discussion
2.1. Physicochemical Properties
2.1.1. Color
2.1.2. Viscosity
2.2. Total Monomeric Anthocyanin Content (MA)
2.3. Rheological Properties
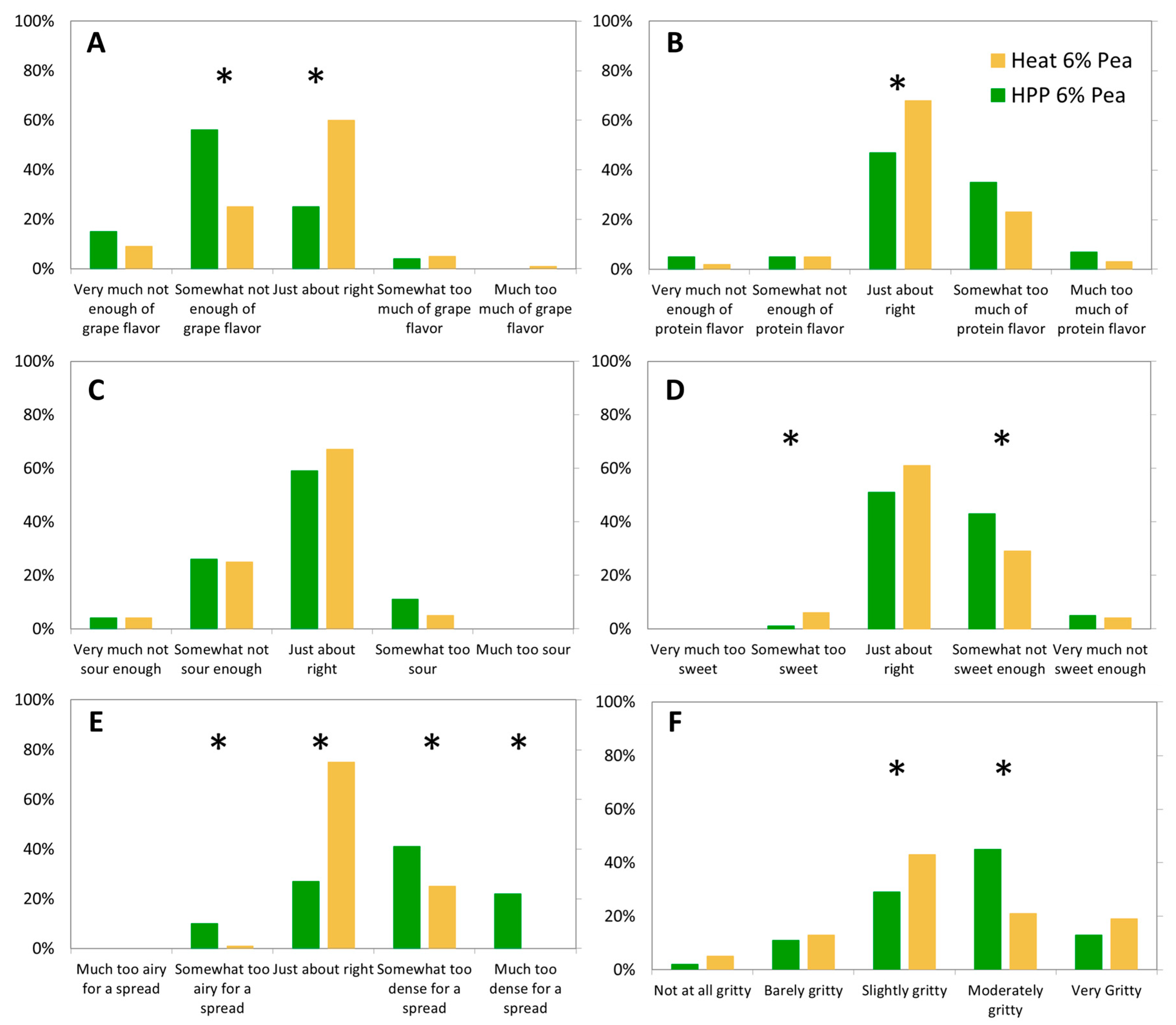
2.4. Sensory Properties
2.5. Consumer Implications
3. Conclusions
4. Materials and Methods
4.1. Materials
4.2. Gel Preparation
4.3. Physicochemical Properties
4.4. Monomeric Anthocyanin Content
4.5. Rheological Analysis
4.6. Sensory Analysis
4.7. Statistical Analysis
Author Contributions
Funding
Institutional Review Board Statement
Data Availability Statement
Acknowledgments
Conflicts of Interest
References
- Agarwal, N.; Shukla, V.; Kolba, N.; Jackson, C.; Cheng, J.; Padilla-zakour, O.I.; Tako, E. Comparing the Effects of Concord Grape (Vitis labrusca L.) Puree, Juice, and Pomace on Intestinal Morphology, Functionality, and Bacterial Populations In Vivo (Gallus gallus). Nutrients 2022, 14, 3539. [Google Scholar] [CrossRef] [PubMed]
- Li, Y.; Padilla-Zakour, O. High Pressure Processing vs. Thermal Pasteurization of Whole Concord Grape Puree: Effect on Nutritional Value, Quality Parameters and Refrigerated Shelf Life. Foods 2021, 10, 2608. [Google Scholar] [CrossRef] [PubMed]
- Shukla, V.; Carlos-Martínez, A.; Li, Y.O.; Davidov-Pardo, G. Optimization of Gluten-Free Pasta Formulation Enriched with Pulse Protein Isolates. J. Culin. Sci. Technol. 2023, 21, 99–117. [Google Scholar] [CrossRef]
- Begum, N.; Khan, Q.U.; Liu, L.G.; Li, W.; Liu, D.; Haq, I.U. Nutritional Composition, Health Benefits and Bio-Active Compounds of Chickpea (Cicer arietinum L.). Front. Nutr. 2023, 10, 1218468. [Google Scholar] [CrossRef]
- Marinangeli, C.P.F. Complementing Cereal Grains with Pulse Grains to Enhance the Nutritional and Environmental Sustainability Profiles of Manufactured Foods in Canada and the United States. Cereal Foods World 2020, 65, 20210035398. [Google Scholar] [CrossRef]
- Mintel. Consumer Approach to Healthy Eating—US 2024. Available online: https://store.mintel.com/report/us-consumer-approach-to-healthy-eating-market-report (accessed on 23 September 2025).
- Usaga, J.; Acosta, O.; Churey, J.J.; Padilla-zakour, O.I.; Worobo, R.W. Evaluation of High Pressure Processing (HPP) Inactivation of Escherichia coli O157:H7, Salmonella enterica, and Listeria monocytogenes in Acid and Acidified Juices and Beverages. Int. J. Food Microbiol. 2021, 339, 109034. [Google Scholar] [CrossRef]
- Claude, B.; Masson, P. Effects of High Pressure on Proteins. Food Rev. Int. 1993, 9, 611–628. [Google Scholar] [CrossRef]
- Mession, J.L.; Chihi, M.L.; Sok, N.; Saurel, R. Effect of Globular Pea Proteins Fractionation on Their Heat-Induced Aggregation and Acid Cold-Set Gelation. Food Hydrocoll. 2015, 46, 233–243. [Google Scholar] [CrossRef]
- Balakrishna, A.K.; Abdul Wazed, M.; Farid, M. A Review on the Effect of High Pressure Processing (HPP) on Gelatinization and Infusion of Nutrients. Molecules 2020, 25, 2369. [Google Scholar] [CrossRef]
- Sim, S.Y.J.; Karwe, M.V.; Moraru, C.I. High Pressure Structuring of Pea Protein Concentrates. J. Food Process Eng. 2019, 42, e13261. [Google Scholar] [CrossRef]
- Zhang, S.; Han, J.; Chen, L. Fabrication of Pea Protein Gels with Modulated Rheological Properties Using High Pressure Processing. Food Hydrocoll. 2023, 144, 109002. [Google Scholar] [CrossRef]
- Huang, A.; Moraru, C.I. Impact of Acidification and Calcium Addition on the High-Pressure and Thermal Gelation of Pulse Protein Concentrates. In Proceedings of the Conference of Food Engineering; Society of Food Engineering: Seattle, WA, USA, 2024. [Google Scholar]
- Shukla, V.; Villarreal, M.; Padilla-zakour, O.I. Consumer Acceptance and Physicochemical Properties of a Yogurt Beverage Formulated with Upcycled Yogurt Acid Whey. Beverages 2024, 10, 18. [Google Scholar] [CrossRef]
- Hollowood, T.A.; Linforth, R.S.T.; Taylor, A.J. The Effect of Viscosity on the Perception of Flavour. Chem. Senses 2002, 27, 583–591. [Google Scholar] [CrossRef]
- Visschers, R.W.; De Jongh, H.H.J. Disulphide Bond Formation in Food Protein Aggregation and Gelation. Biotechnol. Adv. 2005, 23, 75–80. [Google Scholar] [CrossRef]
- Yang, J.; Powers, J.R. Effects of High Pressure on Food Proteins. In High Pressure Processing of Foods; Springer: New York, NY, USA, 2016; pp. 353–389. ISBN 9781493932344. [Google Scholar]
- Pitzer, K.S. Thermodytriarnics of Electrolytes. I. Theoretical Basis and General Equations. J. Phys. Chem. 1973, 77, 268–277. [Google Scholar] [CrossRef]
- Barba, F.J.; Esteve, M.J.; Frigola, A. Physicochemical and Nutritional Characteristics of Blueberry Juice after High Pressure Processing. Food Res. Int. 2013, 50, 545–549. [Google Scholar] [CrossRef]
- Bravo-Núñez, Á.; Garzón, R.; Rosell, C.M.; Gómez, M. Evaluation of Starch-Protein Interactions as a Function of PH. Foods 2019, 8, 155. [Google Scholar] [CrossRef] [PubMed]
- Pulgarín, O.; Larrea-Wachtendorff, D.; Ferrari, G. Effects of the Amylose/Amylopectin Content and Storage Conditions on Corn Starch Hydrogels Produced by High-Pressure Processing (HPP). Gels 2023, 9, 87. [Google Scholar] [CrossRef]
- Ningtyas, D.W.; Tam, B.; Bhandari, B.; Prakash, S. Effect of Different Types and Concentrations of Fat on the Physico-Chemical Properties of Soy Protein Isolate Gel. Food Hydrocoll. 2021, 111, 106226. [Google Scholar] [CrossRef]
- Lu, Y.; Mao, L.; Cui, M.; Yuan, F.; Gao, Y. Effect of the Solid Fat Content on Properties of Emulsion Gels and Stability of β-Carotene. J. Agric. Food Chem. 2019, 67, 6466–6475. [Google Scholar] [CrossRef]
- Orak, H.H. Total Antioxidant Activities, Phenolics, Anthocyanins, Polyphenoloxidase Activities of Selected Red Grape Cultivars and Their Correlations. Sci. Hortic. 2007, 111, 235–241. [Google Scholar] [CrossRef]
- Buckow, R.; Kastell, A.; Terefe, N.S.; Versteeg, C. Pressure and Temperature Effects on Degradation Kinetics and Storage Stability of Total Anthocyanins in Blueberry Juice. J. Agric. Food Chem. 2010, 58, 10076–10084. [Google Scholar] [CrossRef]
- Szaloki-Dorko, L.; Vegvari, G.; Ladanyi, M.; Ficzek, G.; Steger-Mate, M. Degradation of Anthocyanin Content in Sour Cherry Juice During Heat Treatment. Food Technol. Biotechnol. 2015, 53, 354–360. [Google Scholar] [CrossRef] [PubMed]
- Corrales, M.; Lindauer, R.; Butz, P.; Tauscher, B. Effect of Heat/Pressure on Cyanidin-3-Glucoside Ethanol Model Solutions. J. Phys. Conf. Ser. 2008, 121, 142003. [Google Scholar] [CrossRef]
- Yu, Y.; Lin, Y.; Zhan, Y.; He, J.; Zhu, S. Effect of High Pressure Processing on the Stability of Anthocyanin, Ascorbic Acid and Color of Chinese Bayberry Juice during Storage. J. Food Eng. 2013, 119, 701–706. [Google Scholar] [CrossRef]
- Kan, L.; Nie, S.; Hu, J.; Wang, S.; Bai, Z.; Wang, J.; Zhou, Y.; Jiang, J.; Zeng, Q.; Song, K. Comparative Study on the Chemical Composition, Anthocyanins, Tocopherols and Carotenoids of Selected Legumes. Food Chem. 2018, 260, 317–326. [Google Scholar] [CrossRef]
- Ahmadi, L.; Dent, T.; Maleky, F. A Comparison of Blueberry Polyphenols Bioaccessibility in Whey and Pea Proteins Complexes and the Impact of Protein Conformational Changes on It. Int. J. Food Sci. Technol. 2023, 58, 4404–4414. [Google Scholar] [CrossRef]
- Strauch, R.C.; Lila, M.A. Pea Protein Isolate Characteristics Modulate Functional Properties of Pea Protein–Cranberry Polyphenol Particles. Food Sci. Nutr. 2021, 9, 3740–3751. [Google Scholar] [CrossRef]
- Perovic, M.; Vukobratovic, J.; Antov, M. Highly Efficient Encapsulation of Anthocyanins by Complex Coacervates Prepared from Pectin and Chickpea Proteins. Acta Period. Technol. 2025, 7188, 267–275. [Google Scholar] [CrossRef]
- Hall, A.E.; Moraru, C.I. Structure and Function of Pea, Lentil and Faba Bean Proteins Treated by High Pressure Processing and Heat Treatment. Lwt 2021, 152, 112349. [Google Scholar] [CrossRef]
- Lian, W.; Hu, Q.; Qu, M.; Sun, B.; Liu, L.; Zhu, Y.; Xia, X.; Huang, Y.; Zhu, X. Impact of Insoluble Dietary Fiber and CaCl2 on Structural Properties of Soybean Protein Isolate–Wheat Gluten Composite Gel. Foods 2023, 12, 1890. [Google Scholar] [CrossRef] [PubMed]
- Saffarionpour, S. Off-Flavors in Pulses and Grain Legumes and Processing Approaches for Controlling Flavor-Plant Protein Interaction: Application Prospects in Plant-Based Alternative Foods. Food Bioprocess Technol. 2024, 17, 1141–1182. [Google Scholar] [CrossRef]
- Cook, D.J.; Hollowood, T.A.; Pettelot, E.; Taylor, A.J. Effects of Viscosity on Flavor Perception: A Multimodal Approach. In Challenges in Taste Chemistry and Biology; American Chemical Society: Washington, DC, USA, 2003; pp. 240–253. [Google Scholar]
- Evans, G.; de Challemaison, B.; Cox, D.N. Consumers’ Ratings of the Natural and Unnatural Qualities of Foods. Appetite 2010, 54, 557–563. [Google Scholar] [CrossRef] [PubMed]
- Rozin, P. The Meaning of “Natural” Process More Important than Content. Psychol. Sci. 2005, 16, 652–658. [Google Scholar] [CrossRef]
- Hall, A.E.; Moraru, C.I. Effect of High Pressure Processing and Heat Treatment on In Vitro Digestibility and Trypsin Inhibitor Activity in Lentil and Faba Bean Protein Concentrates. Lwt 2021, 152, 112342. [Google Scholar] [CrossRef]
- Hall, A.E.; Moraru, C.I. Comparative Effects of High Pressure Processing and Heat Treatment on In Vitro Digestibility of Pea Protein and Starch. npj Sci. Food 2022, 6, 2. [Google Scholar] [CrossRef]
- US Food and Drug Administration. Reference Amounts Customarily Consumed (RACC) 2018, 1–39. Available online: https://www.fda.gov/media/102587/download (accessed on 23 September 2025).
- US Code of Federal Regulations 21 § 101.9. Nutrition Labeling of Food 1993. Available online: https://www.ecfr.gov/current/title-21/chapter-I/subchapter-B/part-101/subpart-A/section-101.9 (accessed on 23 September 2025).
- Palou, E.; López-Malo, A.; Barbosa-Cánovas, G.V.; Welti-Chanes, J.; Swanson, B.G. Polyphenoloxidase Activity and Color of Blanched and High Hydrostatic Pressure Treated Banana Puree. J. Food Sci. 1999, 64, 42–45. [Google Scholar] [CrossRef]
- Iland, P.G.; Bruer, N.; Edwards, G.; Caloghiris, S.; Promotions, P.I.W.; Wilkes, E. Chemical Analysis of Grapes and Wine: Techniques and Concepts; Patrick Iland Wine Promotions Pty Limited: Athelstone, Australia, 2013; ISBN 9780958160575. [Google Scholar]
- Jensen, J.S.; Blachez, B.; Egebo, M.; Meyer, A.S. Rapid Extraction of Polyphenols from Red Grapes. Am. J. Enol. Vitic. 2007, 58, 451–461. [Google Scholar] [CrossRef]








| Protein | Addition | Treatment | L* | a* | b* | ΔE Control 1 | ΔE Process 2 | BI |
|---|---|---|---|---|---|---|---|---|
| Pea | 4% | Raw | 35.3 ± 1.8 E | 4.9 ± 0.4 A | −1.6 ± 0.5 E | - | - | - |
| Heat | 35.5 ± 0.8 DE | 5.0 ± 0.2 A | −1.1 ± 0.1 E | 0.5 | - | 6.8 | ||
| HPP | 38.1 ± 2.2 ABCDE | 4.2 ± 0.8 A | −1.9 ± 0.2 E | 3.0 | 3.4 | 2.9 | ||
| 6% | Raw | 37.2 ± 0.8 ABCDE | 4.7 ± 0.2 A | −1.8 ± 0.2 E | - | - | - | |
| Heat | 36.9 ± 0.6 BCDE | 4.5 ± 0.2 A | −1.4 ± 0.2 E | 0.5 | - | 4.8 | ||
| HPP | 35.8 ± 1.3 CDE | 4.3 ± 0.7 A | −2.1 ± 0.2 E | 1.5 | 1.6 | 2.8 | ||
| 8% | Raw | 38.9 ± 1.7 ABCE | 4.4 ± 0.2 A | −1.7 ± 0.2 E | - | - | - | |
| Heat | 39.8 ± 1.2 AB | 3.6 ± 0.2 A | −1.2 ± 0.2 E | 1.5 | - | 3.4 | ||
| HPP | 37.1 ± 2.2 BCDE | 3.7 ± 0.7 A | −2.2 ± 0.2 E | 2.2 | 3.7 | 1.3 | ||
| Chickpea | 4% | Raw | 40.4 ± 0.9 AB | 4.5 ± 0.3 A | 0.8 ± 0.1 CD | - | - | - |
| Heat | 38.4 ± 1.9 ABCDE | 4.6 ± 0.6 A | 1.8 ± 0.4 BC | 3.0 | - | 13.1 | ||
| HPP | 36.8 ± 0.6 BCDE | 5.0 ± 0.2 A | 0.2 ± 0.2 D | 4.0 | 4.2 | 10.0 | ||
| 6% | Raw | 39.7 ± 0.9 ABC | 4.7 ± 0.4 A | 0.8 ± 0.3 CD | - | - | - | |
| Heat | 39.4 ± 0.8 ABCD | 4.1 ± 0.9 A | 2.7 ± 0.2 AB | 4.3 | - | 14.2 | ||
| HPP | 38.1 ± 0.2 ABCDE | 4.7 ± 0.7 A | 0.3 ± 0.1 D | 1.9 | 7.2 | 9.4 | ||
| 8% | Raw | 41.1 ± 2.1 A | 3.9 ± 1.6 A | 2.1 ± 0.3 AB | - | - | - | |
| Heat | 39.5 ± 3.1 ABC | 3.6 ± 0.9 A | 3.1 ± 0.4 A | 2.6 | - | 14.4 | ||
| HPP | 39.7 ± 1.6 ABC | 4.2 ± 0.8 A | 1.6 ± 0.2 BC | 1.7 | 2.9 | 11.4 |
| Treatment | Appearance | Color | Aroma | Flavor | Texture | Overall |
|---|---|---|---|---|---|---|
| Heat | 5.48 ± 1.76 A | 6.24 ± 1.55 A | 6.42 ± 5.11 A | 6.15 ± 1.61 A | 4.80 ± 2.01 A | 5.69 ± 1.68 A |
| HPP | 4.90 ± 1.67 B | 6.16 ± 1.44 A | 5.11 ± 1.55 B | 4.98 ± 1.82 B | 4.04 ± 1.84 B | 4.59 ± 1.80 B |
| Plant Protein | High in Protein | Minimally Processed | High in Antioxidants | High in Fiber | Clean/Short Ingredient Label | No Added Sugar |
|---|---|---|---|---|---|---|
| 20% | 55% | 49% | 42% | 53% | 55% | 55% |
| Protein Type | Crude Protein (g) | Crude Fiber (g) | Fat (g) | WSC (g) | Ash (g) |
|---|---|---|---|---|---|
| Pea | 9.6 | 5.2 | 0.9 | 19.4 | 1.6 |
| %DV | 14% 1 | 19% | 1% | 7% | - |
| Faba | 9.6 | 5.0 | 2.7 | 18.7 | 1.7 |
| %DV | 13% 1 | 18% | 3% | 7% | - |
Disclaimer/Publisher’s Note: The statements, opinions and data contained in all publications are solely those of the individual author(s) and contributor(s) and not of MDPI and/or the editor(s). MDPI and/or the editor(s) disclaim responsibility for any injury to people or property resulting from any ideas, methods, instructions or products referred to in the content. |
© 2025 by the authors. Licensee MDPI, Basel, Switzerland. This article is an open access article distributed under the terms and conditions of the Creative Commons Attribution (CC BY) license (https://creativecommons.org/licenses/by/4.0/).
Share and Cite
Shukla, V.; Yang, Y.; Padilla-Zakour, O.I. Physicochemical Properties and Consumer Appeal of High Pressure Structured Pea and Chickpea Isolate-Enriched Whole Concord Grape Gels. Gels 2025, 11, 972. https://doi.org/10.3390/gels11120972
Shukla V, Yang Y, Padilla-Zakour OI. Physicochemical Properties and Consumer Appeal of High Pressure Structured Pea and Chickpea Isolate-Enriched Whole Concord Grape Gels. Gels. 2025; 11(12):972. https://doi.org/10.3390/gels11120972
Chicago/Turabian StyleShukla, Viral, Yichen Yang, and Olga I. Padilla-Zakour. 2025. "Physicochemical Properties and Consumer Appeal of High Pressure Structured Pea and Chickpea Isolate-Enriched Whole Concord Grape Gels" Gels 11, no. 12: 972. https://doi.org/10.3390/gels11120972
APA StyleShukla, V., Yang, Y., & Padilla-Zakour, O. I. (2025). Physicochemical Properties and Consumer Appeal of High Pressure Structured Pea and Chickpea Isolate-Enriched Whole Concord Grape Gels. Gels, 11(12), 972. https://doi.org/10.3390/gels11120972

