Moisture Sorption Isotherms of Fructooligosaccharide and Inulin Powders and Their Gelling Competence in Delaying the Retrogradation of Rice Starch
Abstract
1. Introduction
2. Results and Discussion
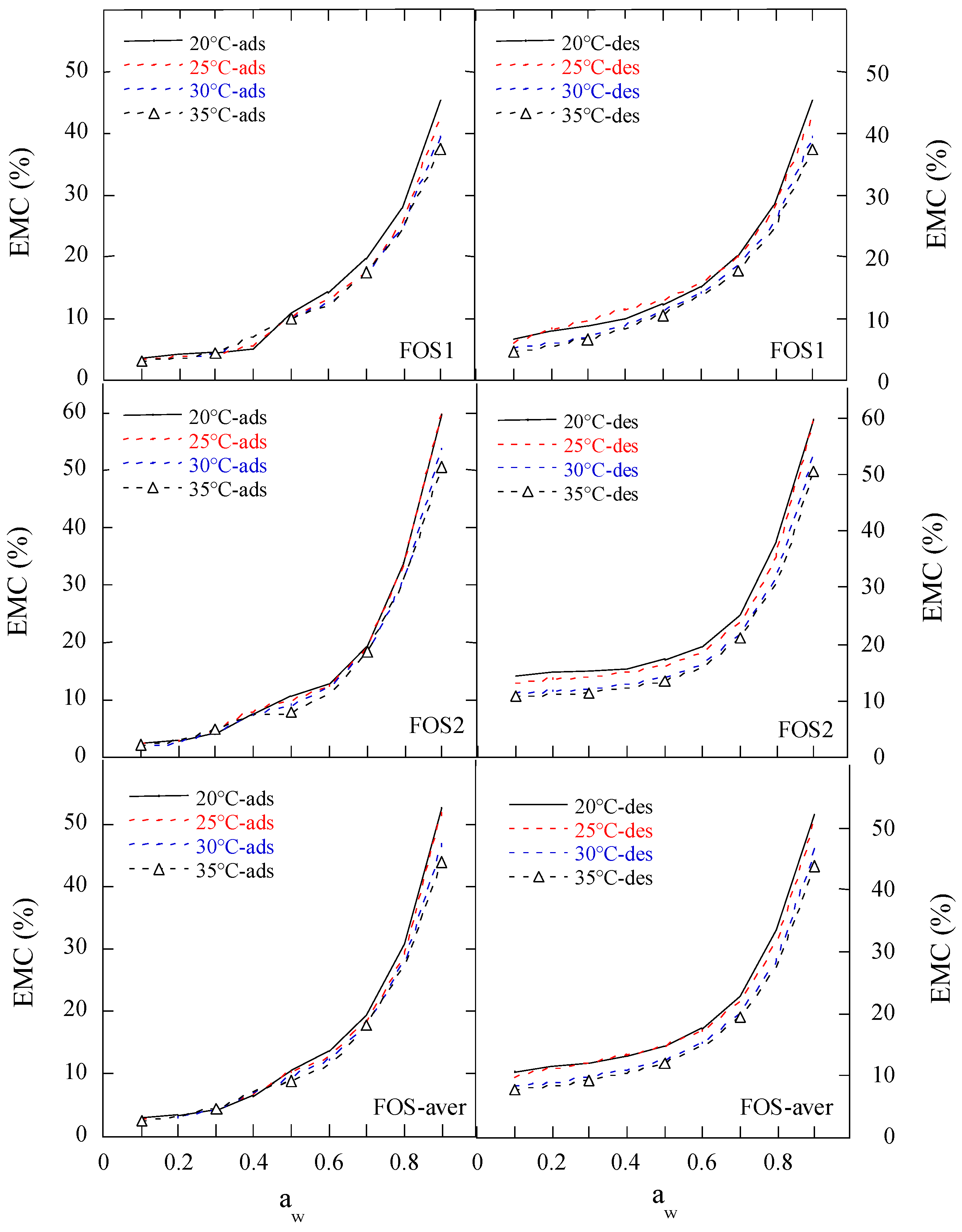
2.1. Experimental EMC/aw Data for FOS and Inulin Samples
2.2. Fitting of Moisture Sorption Equations to Experimental Sorption Data
2.3. Prediction of Moisture Desorption and Adsorption Isotherms by the Best-Fitting Equation
2.4. The Isosteric Heat of Sorption of FOS and Inulin Samples
2.5. FTIR Analysis of FOS and Inulin Samples
2.6. Microstructure of FOS and Inulin Samples
2.7. Effect of FOS and Inulin on the Pasting Parameters of Rice Starch
3. Conclusions
4. Materials and Methods
4.1. The Samples
4.2. Moisture Desorption and Adsorption Isotherms and Their Fitting
4.3. Determination of the Isosteric Heat of Sorption
4.4. Fourier Transform Infrared Spectroscopy (FTIR)
4.5. Scanning Electron Microscopy (SEM)
4.6. The Pasting Properties of Rice Starch with AddingFOS or Inulin
4.7. Thermal Properties
4.8. Data Analysis
Author Contributions
Funding
Institutional Review Board Statement
Informed Consent Statement
Data Availability Statement
Acknowledgments
Conflicts of Interest
References
- GB/T 41377–2022; The Quality Requirement of Inulin Powder. China Nation Standard: Beijing, China, 2022.
- GB1903.40–2022; National Food Safety Standard, Food Nutritional Fortifiers–Lactulose Fructooligosaccharides (FOS). China Nation Standard: Beijing, China, 2022.
- Gül, O.; Őzgecen, A.B.; Sert, D.; Akgün, A.; Atalar, Ì.; Törnük, F.; Yazici, F. Evaluation of moisture sorption isotherms and storage stability of agglomerated boza powder. J. Food Sci. 2025, 90, e70404. [Google Scholar] [CrossRef]
- Chiavaro, E.; Vittadini, E.; Corradini, C. Physicochemical characterization and stability of inulin gels. Eur. Food Res. Technol. 2007, 225, 85–94. [Google Scholar] [CrossRef]
- Jirayucharoensak, R.; Khuenpet, K.; Jittanit, W.; Sirisansaneeyakul, S. Physical and chemical properties of powder produced from spray drying of inulin component extracted from Jerusalem artichoke tuber powder. Dry. Technol. 2018, 37, 1215–1227. [Google Scholar] [CrossRef]
- Industry Research Network. China Inulin Development Status and Prospect Analysis Report (2025–2031), Report No. 3272029; Industry Research Network: Cambridge, MA, USA, 2025. [Google Scholar]
- Tan, S.P.; Kha, T.C.; Parks, S.E.; Stathopoulos, C.E.; Roach, P.D. Effects of the spray-drying temperatures on the physiochemical properties of an encapsulated bitter melon aqueous extract powder. Powder Technol. 2015, 281, 65–75. [Google Scholar] [CrossRef]
- Povolny, L.A.; Smith, D.E.; Labuzz, T.P. Effect of water content and molecular weight on the moisture isotherms and glass transition properties of inulin. Int. J. Food Prop. 2000, 3, 173–192. [Google Scholar] [CrossRef]
- Li, X.J.; Han, X.; Tao, L.S.; Jiang, P.; Qin, W. Sorption equilibrium moisture and isosteric heat of Chinese wheat bran products added to rice to increase its dietary fibre content. Grain Oil Sci. Technol. 2021, 4, 149–161. [Google Scholar] [CrossRef]
- Ronkart, S.; Blecker, C.; Fougnies, C.; Van Herck, J.C.; Wouters, J.; Paquot, M. Determination of physical changes of inulin related to sorption isotherms: An X-Ray diffraction, modulated differential scanning calorimetry and environmental scanning electron microscopy study. Carbohydr. Polym. 2006, 63, 210–217. [Google Scholar] [CrossRef]
- Zimeri, J.E.; Kokini, J.L. The effect of moisture content on the crystallinity and glass transition temperature of inulin. Carbohydr. Polym. 2002, 48, 299–304. [Google Scholar] [CrossRef]
- Luo, D.L.; Xu, W.; Xu, B.C.; Liu, J.X.; Chen, H. Moisture absorption and crystal transformation of inulin. Trans. Chin. Soc. Agric. Mach. 2012, 43, 160–163. [Google Scholar] [CrossRef]
- Seth, D.; Dash, K.K.; Mishra, H.N.; Deka, S.C. Thermodynamics of sorption isotherms and storage stability of spray dried sweetened yoghurt powder. J. Food Sci. Technol. 2018, 55, 4139–4147. [Google Scholar] [CrossRef] [PubMed]
- Tatar, F.; Cengiz, A.; Kahyaoglu, T. Effect of hemicellulose asa coating material on water sorption thermodynamics of the microencapsulated fish oil and artificial neural network (ANN) modeling of isotherms. Food Bioprocess Technol. 2014, 7, 2793–2802. [Google Scholar] [CrossRef]
- Liu, C.; Li, X.Y.; Song, H.D.; Li, X.J. Moisture sorption isotherms of polydextrose and its gelling efficiency in inhibiting the retrogradation of rice starch. Gels 2024, 10, 529. [Google Scholar] [CrossRef]
- Saberi, B.; Vuong, Q.V.; Chockchaisawasdee, S.; Golding, J.B.; Scarlett, C.J.; Stathopoulos, C.E. Water sorption isotherms of pea starch edible films and prediction models. Foods 2016, 5, 1. [Google Scholar] [CrossRef]
- Furmaniak, S.; Terzyk, P.; Gauden, P.A. The general mechanism of water sorption on foodstuffs-Important of the multitemperature fitting of data and the hierarchy of models. J. Food Eng. 2007, 82, 528–535. [Google Scholar] [CrossRef]
- Cao, L.F.; Li, B.W.; Zhao, N.; Li, H.; Wang, Y.F.; Yu, X.; Huang, X. Moisture migration analysis of Chinese naked oat during different storage conditions by sorption isotherm model and low-field NMR. Food Sci. Nutr. 2020, 8, 1729–1738. [Google Scholar] [CrossRef]
- Labuza, T.P. Moisture Sorption: Practical Aspects of Isotherm Measurement and Use; American Association of Cereal Chemists: Eagan, MN, USA, 1984. [Google Scholar]
- Yogendrarajah, P.; Samapundo, S.; Devlieghere, F.; De Saeger, S.; De Meulenaer, B. Moisture sorptionisotherms and thermodynamic properties of whole black peppercorns (Piper nigrum L.). LWT Food Sci. Technol. 2015, 64, 177–188. [Google Scholar] [CrossRef]
- van Soest, J.J.; Tournois, H.; de Wit, D.; Vliegenthart, J.F. Short-rangestructure in (partially) crystalline potato starch determined with attenuated total reflectance Fourier-transform IR spectroscopy. Carbohydr. Res. 1995, 279, 201–214. [Google Scholar] [CrossRef]
- Pourfarzad, A.; Najafi, M.B.; Khodaparast, M.H.; Khayyat, M.H. Serish inulin and wheat biopolymers interactions in model systems as a basis for understanding the impact of inulin on bread properties: A FTIR investigation. J. Food Sci. Technol. 2015, 52, 7964–7973. [Google Scholar] [CrossRef]
- Boussarsar, H.; Rogé, B.; Mathlouthi, M. Physico-chemical approachof the amylolytic action pattern of a thermostable amylopullulanase. Food Biophys. 2007, 2, 100–107. [Google Scholar] [CrossRef]
- Kačuráková, M.; Mathlouthi, M. FTIR and laser-Raman spectra ofoligosaccharides in water: Characterization of the glycosidic bond. Carbohydr. Res. 1996, 284, 145–157. [Google Scholar] [CrossRef] [PubMed]
- Bello-Pérez, L.; Ottenhof, M.A.; Agama-Acevedo, E.; Farhat, I. Effectof storage time on the retrogradation of banana starch extrudate. J. Agric. Food Chem. 2005, 53, 1081–1086. [Google Scholar] [CrossRef]
- Michel, P.; Ronkart, S.N.; Deroanne, C.; Fougnies, C.; Lambrechts, J.C.; Blecker, C.S. Characterization of physical state of spray-dried inulin. Food Biophys. 2007, 2, 83–92. [Google Scholar] [CrossRef]
- Liu, Y.X.; Leng, Y.; Xiao, S.S.; Zhang, Y.D.; Ding, W.P.; Ding, B.B.; Wu, Y.; Wang, X.D.; Fu, Y. Effect of inulin with different degrees of polymerization on dough rheology, gelatinization, texture and protein composition properties of extruded flour products. LWT-Food Sci. Technol. 2022, 159, 113225. [Google Scholar] [CrossRef]
- Wang, R.; Wan, J.; Liu, C.; Xia, X.; Ding, Y. Pasting, thermal, and rheologicalproperties of rice starch partially replaced by inulin with different degrees ofpolymerization. Food Hydrocoll. 2019, 92, 228–232. [Google Scholar] [CrossRef]
- Kou, X.; Luo, D.; Li, Y.; Xu, B.; Zhang, K.; Li, P.; Li, X.; Han, S.; Liu, J. Effect of inulin with different degree of polymerisation on textural and rheological properties of wheatstarch—Effect of inulin on gel properties of starch. Int. J. Food Sci. Technol. 2018, 53, 2576–2585. [Google Scholar] [CrossRef]
- Mahmood, K.; Kamilah, H.; Shang, P.; Sulaiman, S.; Ariffin, F.; Alias, A. A review: Interaction of starch/non-starch hydrocolloid blending and the recent foodapplications. Food Biosci. 2017, 19, 110–120. [Google Scholar] [CrossRef]
- Wang, S.J.; Li, C.L.; Copeland, L.; Niu, Q.; Wang, S. Starch retrogradation: A comprehensive review. Compr. Rev. Food Sci. Food Saf. 2015, 14, 568–585. [Google Scholar] [CrossRef]
- Tudoricâ, C.M.; Kuri, V.; Brennan, C.S. Nutritional and physicochemical characteristics of dietary fiber enriched pasta. J. Agric. Food Chem. 2002, 50, 347–356. [Google Scholar] [CrossRef]
- Silva, R.F. Use of inulin as a natural texture modifier. Cereal Foods World 1996, 41, 792–794. [Google Scholar]
- Ronkart, S.N.; Paquot, M.; Blecker, C.S.; Fougnies, C.; Doran, L.; Lambrechts, J.; Norberg, B.; Deroanne, C. Impact of the crystallinity on the physical properties of inulin during water sorption. Food Biophys. 2009, 4, 49–58. [Google Scholar] [CrossRef]
- Blahovec, J.; Yanniotis, S. Modified classification of sorption isotherms. J. Food Eng. 2009, 91, 72–77. [Google Scholar] [CrossRef]
- Bronlund, J.; Paterson, T. Moisture sorption isotherms for crystalline, amorphous and predominantly crystalline lactose powders. Int. Dairy J. 2004, 14, 247–254. [Google Scholar] [CrossRef]
- Mazza, G. Sorption isotherms and drying rates of Jerusalem artichoke (Helianthustuberosus L.). J. Food Sci. 1984, 49, 384–388. [Google Scholar] [CrossRef]
- Tian, L.L.; Hua, X.; Han, D. Comparison of in vitro carbohydrate utilization by Lactobacilli and Bifidobacteria. J. Dairy Sci. Technol. 2022, 45, 7–14. [Google Scholar] [CrossRef]
- Canale, M.; Sanfilippo, R.; Strano, M.C.; Bavaro, A.R.; Amenta, M.; Bizzini, M.; Allegra, M.; Blangiforti, S.; Spina, A. Technological properties of inulin-enriched doughsand breads, influence on short-term storage and glycemicresponse. Foods 2024, 13, 2711. [Google Scholar] [CrossRef]
- AOAC. Official Methods of Analysis of AOAC; Association of Analytical Communities: Gaithersburg, MD, USA, 2000. [Google Scholar]
- Kaleidagraph for Windows, Version 4.54 Software. Synergy Software. Synergy: Pennsylvania, PA, USA, 2021.
- SPSS Inc. SPSS for Windows, Release 18.0.1; SPSS Inc.: Chicago, IL, USA, 2017.
- GB/T 24852–2010; Determination of Pasting Properties of Rice–Rapid Visco Analyzer Method. China National Standard: Beijing, China, 2010.
- Wang, M.Y.; Liu, C.; Luo, X.H.; Wu, J.Z.; Li, X.J. Effect of polydextrose on the cooking and gelatinization properties and microstructure of Chinese early indica rice. Gels 2025, 11, 171. [Google Scholar] [CrossRef]








| Sample No. | Species | Abbr. | Moisture Content (% Wet Basis) |
|---|---|---|---|
| a1 | Fructooligosaccharide | FOS1 | 4.07 |
| a2 | Fructooligosaccharide | FOS2 | 2.49 |
| a3 | Inulin | INU1 | 4.25 |
| a4 | Inulin | INU2 | 3.89 |
| a5 | Inulin | INU3 | 3.87 |
| Equations | Formula | Reference |
|---|---|---|
| Ferro–Fontan | Saberi et al. [16] | |
| GAB | Li et al. [9] | |
| GDW | Furmaniak, et al. [17] | |
| Boquet | Liu, et al. [15] | |
| MCPE | Li, et al. [9] | |
| MGAB | Cao, et al. [18] | |
| Peleg | Liu, et al. [15] |
| Equation | Samples | Equation | Parameters | Statistical | Parameters | |||
|---|---|---|---|---|---|---|---|---|
| a | b | c | RSS | SE | R2 | MRE (%) | ||
| Boquet | FOS1 | 5.824 × 10−2 | 2.022 × 10−2 | −6.754 × 10−2 | 75.65 | 2.3873 | 0.9849 | 13.7316 |
| FOS2 | 9.647 × 10−2 | −7.920 × 10−2 | −1.135 × 10−2 | 111.3702 | 3.3749 | 0.9891 | 12.4943 | |
| INU1 | 4.020 × 10−2 | 6.256 × 10−2 | −8.209 × 10−2 | 68.4299 | 2.0735 | 0.9739 | 12.4264 | |
| INU2 | 4.131 × 10−2 | 5.890 × 10−2 | −7.953 × 10−2 | 62.5661 | 1.8959 | 0.9764 | 12.2518 | |
| INU3 | 7.397 × 10−2 | −1.966 × 10−2 | −4.674 × 10−2 | 78.6517 | 2.3834 | 0.9894 | 10.8291 | |
| FOS-aver | 4.603 × 10−2 | 7.125 × 10−2 | −9.184 × 10−2 | 58.9874 | 1.7875 | 0.9767 | 13.3542 | |
| INU-aver | 4.072 × 10−2 | 6.405 × 10−2 | −8.433 × 10−2 | 61.4895 | 1.8633 | 0.9763 | 12.4709 | |
| Ferro–Fontan | FOS1 | 1.176 | 4.984 | 0.785 | 71.3189 | 2.1622 | 0.9864 | 10.3899 |
| FOS2 | 1.152 | 3.608 | 0.666 | 101.2958 | 3.0696 | 0.9901 | 9.7479 | |
| INU1 | 1.312 | 6.237 | 0.826 | 69.5126 | 2.1064 | 0.9735 | 10.4663 | |
| INU2 | 1.326 | 6.089 | 0.811 | 63.6629 | 1.9292 | 0.9759 | 7.9618 | |
| INU3 | 1.151 | 4.254 | 0.737 | 70.8449 | 2.1468 | 0.9905 | 7.7725 | |
| FOS-aver | 1.262 | 6.225 | 0.861 | 56.4328 | 1.7101 | 0.9777 | 11.1907 | |
| INU-aver | 1.298 | 6.192 | 0.833 | 61.3395 | 1.8587 | 0.9764 | 10.4688 | |
| GAB | FOS1 | 5.045 | 0.978 | −4.04 × 108 | 201.3446 | 5.1014 | 0.9615 | 30.695 |
| FOS2 | 5.153 | 1.011 | −2.90 × 108 | 368.3782 | 11.1629 | 0.9637 | 50.5032 | |
| INU1 | 7.644 | 0.849 | 3.83 × 100 | 68.4299 | 2.0736 | 0.9739 | 12.4264 | |
| INU2 | 7.759 | 0.847 | 3.68 × 100 | 62.5661 | 1.8959 | 0.9764 | 12.2518 | |
| INU3 | 5.071 | 0.998 | −3.37 × 108 | 256.0895 | 7.7604 | 0.9656 | 37.5305 | |
| FOS-aver | 7.071 | 0.864 | 4.03 × 100 | 58.9874 | 1.7875 | 0.9767 | 13.3542 | |
| INU-aver | 7.485 | 0.853 | 3.84 × 100 | 61.4895 | 1.8633 | 0.9764 | 12.4709 | |
| MGAB | FOS1 | 9.397 | 0.892 | 42.419 | 54.9115 | 1.6639 | 0.9895 | 15.4482 |
| FOS2 | 11.008 | 0.933 | 23.839 | 65.9337 | 1.9979 | 0.9935 | 15.0965 | |
| INU1 | 9.088 | 0.814 | 69.466 | 50.1801 | 1.5206 | 0.9809 | 12.7239 | |
| INU2 | 8.795 | 0.822 | 74.075 | 47.1707 | 1.4294 | 0.9822 | 12.4161 | |
| INU3 | 9.999 | 0.918 | 31.607 | 45.0625 | 1.3655 | 0.9939 | 13.9382 | |
| FOS-aver | 7.507 | 0.852 | 91.862 | 51.1411 | 1.5497 | 0.9798 | 13.7313 | |
| INU-aver | 8.392 | 0.831 | 78.094 | 48.0215 | 1.4552 | 0.9815 | 12.7838 |
| Equation | Samples | Equation | Parameters | Statistical | Parameters | |||
|---|---|---|---|---|---|---|---|---|
| a | b | c | RSS | SE | R2 | MRE (%) | ||
| Boquet | FOS1 | 6.041 × 10−3 | 1.380 × 10−1 | −1.345 × 10−1 | 85.3299 | 2.5858 | 0.9805 | 9.7775 |
| FOS2 | −4.772 × 10−3 | 1.368 × 10−1 | −1.264 × 10−1 | 194.9933 | 5.9089 | 0.9717 | 9.382 | |
| INU1 | 1.129 × 10−3 | 1.558 × 10−1 | −1.377 × 10−1 | 41.2975 | 1.2513 | 0.9784 | 5.4797 | |
| INU2 | 1.075 × 10−3 | 1.569 × 10−1 | −1.389 × 10−1 | 39.8948 | 1.2089 | 0.9793 | 5.6076 | |
| INU3 | −2.422 × 10−3 | 1.451 × 10−1 | −1.355 × 10−1 | 120.7191 | 3.6582 | 0.9782 | 9.3627 | |
| FOS-aver | 1.869 × 10−3 | 1.584 × 10−1 | −1.411 × 10−1 | 29.2268 | 0.8857 | 0.9846 | 4.2232 | |
| INU-aver | 1.342 × 10−3 | 1.571 × 10−1 | −1.392 × 10−1 | 36.2956 | 1.0998 | 0.9811 | 5.0535 | |
| Ferro–Fontan | FOS1 | 1.026 | 22.381 | 1.378 | 86.2854 | 2.6147 | 0.9803 | 9.6767 |
| FOS2 | 0.899 | 131.519 | 1.979 | 253.9399 | 7.6951 | 0.9235 | 12.9858 | |
| INU1 | 0.998 | 82.488 | 1.957 | 39.8588 | 1.2078 | 0.9792 | 5.4127 | |
| INU2 | 0.996 | 82.828 | 1.962 | 38.1094 | 1.1548 | 0.9803 | 5.5501 | |
| INU3 | 0.966 | 92.038 | 1.843 | 152.1041 | 4.6092 | 0.9725 | 10.0406 | |
| FOS-aver | 1.006 | 62.711 | 1.863 | 28.7871 | 0.8723 | 0.9848 | 4.2237 | |
| INU-aver | 1.000 | 75.336 | 1.927 | 35.1198 | 1.0642 | 0.9816 | 4.9664 | |
| GAB | FOS1 | 6.679 | 0.934 | 26.536 | 85.3299 | 2.5858 | 0.9805 | 9.7775 |
| FOS2 | 8.493 | 0.941 | 5.42 × 108 | 268.8505 | 8.1469 | 0.9609 | 11.9103 | |
| INU1 | 6.336 | 0.878 | 159.284 | 41.2935 | 1.2513 | 0.9784 | 5.4797 | |
| INU2 | 6.298 | 0.879 | 167.825 | 39.8948 | 1.2089 | 0.9793 | 5.6076 | |
| INU3 | 7.365 | 0.943 | 3.15 × 108 | 128.2907 | 3.8876 | 0.9768 | 9.2657 | |
| FOS-aver | 6.182 | 0.881 | 98.267 | 29.2269 | 0.8857 | 0.9846 | 4.2232 | |
| INU-aver | 6.271 | 0.879 | 135.115 | 36.2956 | 1.0998 | 0.9811 | 5.0538 | |
| MGAB | FOS1 | 6.913 | 0.928 | 465.662 | 74.6088 | 2.2609 | 0.9829 | 8.8713 |
| FOS2 | 8.493 | 0.941 | 4.22 × 109 | 268.8509 | 8.1469 | 0.9609 | 11.9103 | |
| INU1 | 6.458 | 0.873 | 2035.817 | 39.4308 | 1.1949 | 0.9794 | 4.8227 | |
| INU2 | 6.421 | 0.875 | 2073.621 | 38.0729 | 1.1537 | 0.9803 | 4.9639 | |
| INU3 | 7.365 | 0.943 | 1.64 × 109 | 128.2907 | 3.8876 | 0.9768 | 9.2657 | |
| FOS-aver | 6.273 | 0.877 | 1720.989 | 27.4963 | 0.8332 | 0.9855 | 3.6035 | |
| INU-aver | 6.383 | 0.875 | 1935.73 | 34.4638 | 1.0444 | 0.9819 | 4.3433 |
| Equation | Sorption | Samples | Equation | Parameters | Statistical Parameters | |||||
|---|---|---|---|---|---|---|---|---|---|---|
| a | b | c | d | RSS | SE | R2 | MRE (%) | |||
| GDW | Ads | FOS1 | 1.624 | −1.011 × 1010 | 0.893 | 5.985 | 70.0397 | 2.1887 | 0.9866 | 12.9 |
| FOS2 | 0.638 | 8.091 × 1013 | 0.947 | 15.145 | 107.4391 | 3.3575 | 0.9894 | 10.302 | ||
| INU1 | 1.939 | 3.201 × 1015 | 0.777 | 6.173 | 69.0347 | 2.1573 | 0.9737 | 9.577 | ||
| INU2 | 1.884 | −3.402 × 1015 | 0.775 | 6.445 | 63.0002 | 1.9688 | 0.9762 | 9.4799 | ||
| INU3 | 1.176 | −5.219 × 1014 | 0.927 | 8.073 | 71.8381 | 2.2449 | 0.9904 | 7.7725 | ||
| FOS-aver | 2.026 | −1.432 × 1015 | 0.802 | 5.227 | 55.5323 | 1.7354 | 0.9781 | 10.3702 | ||
| INU-aver | 1.954 | 5.358 × 1015 | 0.785 | 5.904 | 60.7027 | 1.8969 | 0.9766 | 9.5277 | ||
| GDW | Des | FOS1 | 5.079 | 3.479 × 1013 | 0.911 | 1.573 | 82.4221 | 2.5757 | 0.9812 | 9.7117 |
| FOS2 | 10.716 | 1.895 × 1014 | 0.986 | 0.538 | 199.9668 | 6.2489 | 0.9709 | 9.3569 | ||
| INU1 | 6.284 | −3.539 × 1014 | 0.885 | 0.973 | 41.8334 | 1.3073 | 0.9782 | 5.8434 | ||
| INU2 | 6.276 | −9.768 × 1013 | 0.888 | 0.962 | 40.3433 | 1.2607 | 0.9791 | 5.9754 | ||
| INU3 | 8 | −6.846 × 1014 | 0.958 | 0.815 | 123.1143 | 3.8473 | 0.9777 | 9.3528 | ||
| FOS-aver | 5.901 | −7.167 × 1013 | 0.881 | 1.061 | 30.3986 | 0.9499 | 0.9839 | 4.6303 | ||
| INU-aver | 6.154 | −2.450 × 1013 | 0.885 | 0.997 | 37.0555 | 1.1579 | 0.9806 | 5.4111 | ||
| Peleg | Ads | FOS1 | 14.673 | 49.755 | 0.837 | 5.572 | 80.9986 | 2.5312 | 0.9845 | 12.5587 |
| FOS2 | 16.396 | 84.128 | 1.011 | 6.731 | 92.4257 | 2.8883 | 0.9909 | 11.4296 | ||
| INU1 | 24.366 | 40.734 | 1.219 | 14.457 | 64.0573 | 2.0018 | 0.9756 | 14.2233 | ||
| INU2 | 24.698 | 41.827 | 1.237 | 14.854 | 58.0427 | 1.8138 | 0.9781 | 14.1289 | ||
| INU3 | 16.466 | 66.614 | 0.971 | 6.441 | 73.3775 | 2.2931 | 0.9902 | 10.4121 | ||
| FOS-aver | 22.691 | 33.375 | 1.194 | 11.601 | 61.0083 | 1.9065 | 0.9759 | 15.7294 | ||
| INU-aver | 24.021 | 38.471 | 1.222 | 13.708 | 59.2958 | 1.8529 | 0.9772 | 14.606 | ||
| Peleg | Des | FOS1 | 14.172 | 50.057 | 0.424 | 5.635 | 87.4058 | 2.7304 | 0.9801 | 9.7695 |
| FOS2 | 15.045 | 80.266 | 0.08883 | 6.352 | 166.8639 | 5.2145 | 0.9758 | 9.2847 | ||
| INU1 | 13.804 | 31.688 | 0.358 | 5.943 | 40.3411 | 1.2607 | 0.9789 | 5.4666 | ||
| INU2 | 13.848 | 32.135 | 0.362 | 6.035 | 38.9284 | 1.2165 | 0.9798 | 5.5801 | ||
| INU3 | 14.222 | 65.268 | 0.209 | 5.998 | 118.1249 | 3.6914 | 0.9786 | 9.4316 | ||
| FOS-aver | 13.401 | 31.104 | 0.369 | 5.796 | 29.1831 | 0.9124 | 0.9846 | 4.3630 | ||
| INU-aver | 13.685 | 31.636 | 0.363 | 5.924 | 35.693 | 1.1154 | 0.9813 | 5.0454 | ||
| Sorption | Samples | Equation | Parameters | Statistical | Parameters | |||||
|---|---|---|---|---|---|---|---|---|---|---|
| a | b | c | d | e | f | g | R2 | MRE (%) | ||
| Ads | FOS1 | 22.263 | −2.0714 | 6.41 × 10−2 | −6.80 × 10−4 | 36.532 | −98.016 | 116.264 | 0.9851 | 12.9000 |
| FOS2 | −63.883 | 6.691 | −2.48 × 10−1 | 2.93 × 10−3 | 99.468 | −276.555 | 268.853 | 0.9882 | 24.3912 | |
| INU1 | −20.728 | 2.767 | −1.09 × 10−1 | 1.33 × 10−3 | 20.955 | −31.751 | 48.274 | 0.9758 | 11.9344 | |
| INU2 | −19.854 | 2.619 | −1.02 × 10−1 | 1.23 × 10−3 | 20.257 | −29.928 | 47.211 | 0.9773 | 11.5841 | |
| INU3 | −20.811 | 2.309 | −9.18 × 10−2 | 7.12 × 10−3 | 67.999 | −187.285 | 194.058 | 0.9881 | 16.4874 | |
| FOS-aver | 15.452 | −1.33 | 4.41 × 10−2 | −5.09 × 10−4 | 14.83 | −23.366 | 44.852 | 0.9768 | 11.2958 | |
| INU-aver | −8.379 | 1.352 | −5.54 × 10−2 | 6.87 × 10−4 | 18.681 | −28.347 | 46.779 | 0.9771 | 11.4668 | |
| Des | FOS1 | −89.641 | 10.631 | −3.96 × 10−1 | 4.72 × 10−3 | 56.274 | −145.635 | 146.771 | 0.9911 | 6.0063 |
| FOS2 | −76.452 | 10.133 | −3.91 × 10−1 | 4.75 × 10−3 | 84.953 | −263.627 | 255.919 | 0.9897 | 5.7773 | |
| INU1 | −12.433 | 2.081 | −8.55 × 10−2 | 1.07 × 10−3 | 45.291 | −106.639 | 100.212 | 0.9888 | 3.8617 | |
| INU2 | −14.5 | 2.309 | −9.40 × 10−2 | 1.17 × 10−3 | 45.966 | −108.619 | 101.813 | 0.9894 | 3.8712 | |
| INU3 | −83.046 | 10.382 | −3.93 × 10−1 | 4.73 × 10−3 | 70.614 | −204.631 | 201.345 | 0.9911 | 5.6422 | |
| FOS-aver | 18.026 | −1.439 | 4.47 × 10−2 | −4.90 × 10−4 | 43.723 | −102.515 | 97.256 | 0.9905 | 3.6893 | |
| INU-aver | −2.969 | 0.9837 | −4.49 × 10−2 | 5.82 × 10−4 | 44.993 | −105.925 | 99.761 | 0.9896 | 3.8198 |
| Equation | Sorption | Samples | Equation | Parameters | Statistical | Parameters | |||
|---|---|---|---|---|---|---|---|---|---|
| a | b | c | RSS | SE | R2 | MRE (%) | |||
| Ads | FOS1 | 192.973 | 74.547 | 8.07 × 10−2 | 441.1844 | 13.3692 | 0.9155 | 42.2929 | |
| FOS2 | 188.219 | 90.979 | 5.93 × 10−2 | 1271.344 | 38.5256 | 0.8745 | 79.0006 | ||
| INU1 | 242.255 | 75.762 | 1.14 × 10−1 | 127.2049 | 3.8547 | 0.9498 | 23.3271 | ||
| INU2 | 171.271 | 44.641 | 1.16 × 10−1 | 109.6001 | 3.3212 | 0.9581 | 20.7637 | ||
| INU3 | 188.458 | 52.262 | 1.11 × 10−1 | 107.1159 | 3.2459 | 0.9595 | 20.9011 | ||
| FOS-aver | 189.842 | 83.496 | 6.84 × 10−2 | 782.67 | 23.7173 | 0.8949 | 56.9353 | ||
| INU-aver | 195.948 | 55.488 | 1.12 × 10−1 | 112.9711 | 3.4234 | 0.9565 | 21.3975 | ||
| des | FOS1 | 133.035 | 25.277 | 8.88 × 10−2 | 383.6574 | 11.6259 | 0.9123 | 24.3588 | |
| FOS2 | 127.447 | 12.401 | 7.52 × 10−2 | 1278.414 | 38.7398 | 0.8145 | 26.5989 | ||
| INU1 | 234.023 | 36.341 | 1.33 × 10−1 | 119.804 | 3.6304 | 0.9368 | 13.5253 | ||
| INU2 | 197.597 | 24.249 | 1.33 × 10−1 | 126.4941 | 3.8332 | 0.9339 | 13.0525 | ||
| INU3 | 195.988 | 24.285 | 1.32 × 10−1 | 128.4974 | 3.8939 | 0.9334 | 13.2478 | ||
| FOS-aver | 128.783 | 17.439 | 8.14 × 10−2 | 758.0744 | 22.9719 | 0.8628 | 25.2102 | ||
| INU-aver | 207.376 | 27.713 | 1.33 × 10−1 | 124.6282 | 3.7766 | 0.9349 | 13.2529 | ||
| Ads | FOS1 | 692.292 | 303.719 | 9.99 × 10−2 | 0.1419 | 4.30 × 10−3 | 0.9409 | 22.4137 | |
| FOS2 | 376.423 | 168.041 | 9.33 × 10−2 | 0.1659 | 5.03 × 10−3 | 0.9309 | 19.893 | ||
| INU1 | 708.351 | 268.984 | 1.21 × 10−1 | 0.1025 | 3.11 × 10−3 | 0.9573 | 18.2084 | ||
| INU2 | 342.882 | 113.251 | 1.19 × 10−1 | 0.07214 | 2.19 × 10−3 | 0.9699 | 15.8039 | ||
| INU3 | 374.672 | 127.417 | 1.18 × 10−1 | 0.07104 | 2.15 × 10−3 | 0.9704 | 15.7335 | ||
| FOS-aver | 501.712 | 222.593 | 9.65 × 10−2 | 0.1457 | 4.41 × 10−3 | 0.9393 | 20.7755 | ||
| INU-aver | 431.559 | 150.914 | 1.19 × 10−1 | 0.07894 | 2.39 × 10−3 | 0.9671 | 16.3496 | ||
| Des | FOS1 | 181.483 | 28.762 | 1.18 × 10−1 | 0.1279 | 3.88 × 10−3 | 0.9467 | 19.294 | |
| FOS2 | 225.796 | −0.09954 | 1.45 × 10−1 | 0.3211 | 3.73 × 10−3 | 0.8662 | 30.5305 | ||
| INU1 | 431.376 | 57.777 | 1.70 × 10−1 | 0.06699 | 2.02 × 10−3 | 0.9721 | 12.6296 | ||
| INU2 | 332.974 | 33.861 | 1.71 × 10−1 | 0.06377 | 1.93 × 10−3 | 0.9734 | 11.9331 | ||
| INU3 | 324.541 | 32.561 | 1.71 × 10−1 | 0.06436 | 1.95 × 10−3 | 0.9732 | 11.9689 | ||
| FOS-aver | 188.187 | 10.805 | 1.29 × 10−1 | 0.2074 | 6.28 × 10−3 | 0.9136 | 24.2068 | ||
| INU-aver | 355.421 | 39.596 | 1.71 × 10−1 | 0.06454 | 1.96 × 10−3 | 0.9731 | 12.1971 |
| Sorption | Equation | Statistical | Parameters | Order | ||
|---|---|---|---|---|---|---|
| RSS | SE | R2 | MRE (%) | |||
| Ads | Boquet | 73.8778 ± 18.0944 | 2.2523 ± 10.5511 | 0.9809 ± 0.0066 | 12.5083 ± 0.9225 | 3 |
| Ferro–Fontan | 70.6296 ± 14.5978 | 2.1404 ± 0.4423 | 0.9815 ± 0.0072 | 9.7139 ± 1.3301 | 1 | |
| GAB | 153.8979 ± 123.7536 | 4.5207 ± 3.7049 | 0.9706 ± 0.0067 | 24.1760 ± 15.5366 | 7 | |
| GDW | 71.0838 ± 17.0448 | 2.2214 ± 0.5326 | 0.9816 ± 0.0069 | 9.9899 ± 1.5423 | 2 | |
| MCPE | 421.7273 ± 452.9505 | 12.7796 ± 13.7258 | 0.9298 ± 0.0348 | 37.8026 ± 22.8697 | 8 | |
| MGAB | 51.7744 ± 6.9952 | 1.5689 ± 0.2119 | 0.9859 ± 0.0062 | 13.7340 ± 1.1900 | 5 | |
| Polynomial | 75.4104 ± 22.3768 | 2.6003 ± 0.7716 | 0.9812 ± 0.0057 | 14.2942 ± 4.8063 | 6 | |
| Peleg | 69.8866 ± 12.9674 | 2.1839 ± 0.4053 | 0.9818 ± 0.0067 | 13.2983 ± 1.8945 | 4 | |
| Des | Boquet | 78.2510 ± 61.2138 | 2.3712 ± 1.8549 | 0.9791 ± 0.0039 | 6.9837 ± 2.4055 | 4 |
| Ferro–Fontan | 90.6006 ± 84.3703 | 2.7454 ± 2.5567 | 0.9717 ± 0.0216 | 7.5509 ± 3.3312 | 6 | |
| GAB | 89.8831 ± 86.5407 | 2.7237 ± 2.6224 | 0.9774 ± 0.0077 | 7.3311 ± 2.9422 | 7 | |
| GDW | 79.3049 ± 62.6993 | 2.4782 ± 1.9594 | 0.9788 ± 0.0041 | 7.1831 ± 2.1885 | 5 | |
| MCPE | 417.0814 ± 447.3834 | 12.6388 ± 13.5571 | 0.9041 ± 0.0475 | 18.4638 ± 6.5125 | 8 | |
| MGAB | 87.3163 ± 87.4499 | 2.6459 ± 2.6499 | 0.9782 ± 0.0081 | 6.8258 ± 3.1629 | 2 | |
| Polynomial | 34.1896 ± 20.1132 | 1.1789 ± 0.6935 | 0.9900 ± 0.0009 | 4.6668 ± 1.0749 | 1 | |
| Peleg | 73.7915 ± 52.5818 | 2.3059 ± 1.6431 | 0.9799 ± 0.0027 | 6.9916 ± 2.3785 | 3 |
| Sample | Absorbance | Values | ||
|---|---|---|---|---|
| 514 cm−1 | 556 cm−1 | 749 cm−1 | 814 cm−1 | |
| FOS2 | 0.2675 ± 0.0075 | 0.1926 ± 0.0038 | - | |
| INU3 | - | 0.3082 ± 0.0035 | - | 0.2338 ± 0.0034 |
| Sample | 918 cm−1 | 925 cm−1 | 1020 cm−1 | 1084 cm−1 |
| FOS2 | 0.2820 ± 0.0050 | - | 0.4101 ± 0.0072 | 0.3556 ± 0.0058 |
| INU3 | - | 0.3525 ± 0.0045 | 0.6609 ± 0.0057 | 0.5216 ± 0.0061 |
| Sample | 1232 cm−1 | 1329 cm−1 | 1405 cm−1 | 1628 cm−1 |
| FOS2 | 0.2216 ± 0.0025 | - | 0.2317 ± 0.0025 | 0.1342 ± 0.0022 |
| INU3 | - | 0.2968 ± 0.0060 | - | 0.2046 ± 0.0062 |
| Sample | 2072 cm−1 | 2892 cm−1 | 2915 cm−1 | 3337 cm−1 |
| FOS2 | 0.0460 ± 0.0069 | 0.1987 ± 0.0044 | - | 0.3559 ± 0.0033 |
| INU3 | 0.1057 ± 0.0100 | - | 0.2913 ± 0.0104 | 0.6138 ± 0.0117 |
| Addition | Peak Viscosity (cp) | Trough Viscosity(cp) | Breakdown Viscosity (cp) | Final Viscosity (cp) | Setback Viscosity (cp) | Peak Time (min) | Pasting Temp. (°C) |
|---|---|---|---|---|---|---|---|
| 0% | 2724 ± 24 a | 2117 ± 10 a | 609 ± 21 a | 3001 ± 22 a | 885 ± 19 a | 6.44 ± 0.07 e | 75.43 ± 0.01 c |
| 3% FOS2 | 2539 ± 34 b | 1967 ± 68 c | 573 ± 50 a | 2839 ± 32 b | 872 ± 43 ab | 6.47 ± 0.14 de | 74.77 ± 0.49 d |
| 5% FOS2 | 2378 ± 35 c | 1954 ± 103 c | 424 ± 81 bc | 2702 ± 20 c | 748 ± 93 bcde | 6.67 ± 0.14 bcd | 75.57 ± 0.45 bcd |
| 7% FOS2 | 2228 ± 10 d | 1801 ± 48 d | 427 ± 38 bc | 2568 ± 5 d | 767 ± 44 cd | 6.58 ± 0.10 de | 75.30 ± 0.48 bcd |
| 10% FOS2 | 2019 ± 6 f | 1689 ± 3 e | 330 ± 3 d | 2371 ± 3 f | 682 ± 2 e | 6.67 ± 0.07 cd | 76.13 ± 0.45 b |
| 3% INU3 | 2527 ± 14 b | 2107 ± 7 b | 422 ± 21 b | 2855 ± 3 b | 749 ± 10 c | 6.75 ± 0.04 bc | 75.60 ± 0.48 bcd |
| 5% INU3 | 2357 ± 14 c | 1996 ± 22 c | 361 ± 36 cd | 2699 ± 5 c | 703 ± 23 de | 6.75 ± 0.04 bc | 75.88 ± 0.03 b |
| 7% INU3 | 2157 ± 1 e | 1778 ± 30 d | 378 ± 29 bc | 2502 ± 6 e | 723 ± 34 cd | 6.84 ± 0.08 b | 76.07 ± 0.46 b |
| 10% INU3 | 1918 ± 8 g | 1502 ± 9 f | 416 ± 8 b | 2243 ± 9 g | 740 ± 8 c | 6.98 ± 0.04 a | 76.63 ± 0.03 a |
| Addition | ΔH (J/g) | To (°C) | Tp (°C) | Tc (°C) | Peak Width (°C) | Peak Height (0.01 mW/mg) | Aging (%) |
|---|---|---|---|---|---|---|---|
| 0% | 9.54 ± 0.10 e | 62.95 ± 1.16 abcde | 69.85 ± 0.94 a | 77.87 ± 1.08 abc | 7.70 ± 0.23 abc | 16.16 ± 0.45 bcd | 38.20 ± 2.60 b |
| 3% FOS2 | 9.71 ± 0.06 d | 61.97 ± 0.31 e | 69.17 ± 0.15 c | 77.37 ± 0.67 c | 7.43 ± 0.15 c | 17.14 ± 0.34 a | 29.39 ± 0.70 c |
| 5% FOS2 | 9.85 ± 0.01 c | 62.15 ± 0.15 de | 69.45 ± 0.25 bc | 77.90 ± 0.70 bc | 7.60 ± 0.30 bc | 17.01 ± 0.63 abc | 26.12 ± 0.76 d |
| 7% FOS2 | 9.95 ± 0.02 b | 62.53 ± 0.25 d | 69.70 ± 0.17 b | 78.07 ± 0.47 bc | 7.53 ± 0.35 bc | 17.16 ± 0.81 abc | 20.44 ± 0.97 e |
| 10% FOS2 | 10.11 ± 0.03 a | 63.03 ± 0.23 c | 70.50 ± 0.26 a | 79.23 ± 0.32 a | 7.70 ± 0.17 bc | 16.82 ± 0.32 ab | 15.55 ± 0.54 f |
| 3% INU3 | 9.21 ± 0.09 f | 64.10 ± 0.14 a | 70.70 ± 0.42 a | 78.25 ± 0.49 bc | 7.75 ± 0.07 b | 15.70 ± 0.17 d | 43.62 ± 0.15 a |
| 5% INU3 | 9.70 ± 0.17 cde | 63.80 ± 0.44 ab | 70.77 ± 0.25 a | 77.70 ± 0.36 c | 7.83 ± 0.12 ab | 16.10 ± 0.32 cd | 35.17 ± 1.95 b |
| 7% INU3 | 9.76 ± 0.34 abcde | 63.63 ± 0.06 b | 70.80 ± 0.10 a | 78.37 ± 0.51 bc | 7.97 ± 0.06 a | 16.20 ± 0.54 bcd | 33.68 ± 2.80 b |
| 10% INU3 | 8.57 ± 0.17 g | 64.17 ± 0.21 a | 71.03 ± 0.47 a | 78.70 ± 0.44 ab | 7.63 ± 0.15 c | 15.00 ± 0.26 e | 33.07 ± 7.13 bcd |
| Factors | Levels | ΔH (J/g) | To (°C) | Tp (°C) | Tc (°C) | Peak Width (°C) | Peak Height (0.01 mW/mg) | Aging (%) |
|---|---|---|---|---|---|---|---|---|
| Species | FOS2 | 9.81 ± 0.091 a | 62.32 ± 0.09 d | 69.58 ± 0.09 d | 77.96 ± 0.17 bc | 7.59 ± 0.06 c | 16.82 ± 0.16 a | 25.79 ± 1.04 c |
| INU3 | 9.37 ± 0.09 c | 63.940 ± 0.09 a | 70.78 ± 0.09 a | 78.30 ± 0.17 b | 7.78 ± 0.06 a | 15.87 ± 0.16 d | 36.90 ± 1.04 a | |
| Addition | 0 | 9.54 ± 0.15 bc | 62.95 ± 0.14 c | 69.85 ± 0.14 c | 77.87 ± 0.27 b | 7.70 ± 0.09 abc | 16.16 ± 0.25 cd | 38.21 ± 1.64 a |
| (%) | 3 | 9.46 ± 0.15 c | 63.03 ± 0.14 c | 69.94 ± 0.14 c | 77.81 ± 0.27 c | 7.59 ± 0.09 bc | 16.41 ± 0.25 bc | 36.51 ± 1.64 a |
| 5 | 9.77 ± 0.15 ab | 62.98 ± 0.14 c | 70.11 ± 0.14 bc | 77.80 ± 0.27 c | 7.72 ± 0.09 abc | 16.54 ± 0.25 abc | 30.64 ± 1.64 b | |
| 7 | 9.85 ± 0.15 a | 63.09 ± 0.14 c | 70.25 ± 0.14 b | 78.22 ± 0.27 bc | 7.75 ± 0.09 ab | 16.70 ± 0.25 ab | 27.06 ± 1.64 c | |
| 10 | 9.34 ± 0.15 c | 63.60 ± 0.14 b | 70.77 ± 0.14 a | 78.97 ± 0.27 a | 7.67 ± 0.09 abc | 15.90 ± 0.25 d | 24.31 ± 1.64 c |
Disclaimer/Publisher’s Note: The statements, opinions and data contained in all publications are solely those of the individual author(s) and contributor(s) and not of MDPI and/or the editor(s). MDPI and/or the editor(s) disclaim responsibility for any injury to people or property resulting from any ideas, methods, instructions or products referred to in the content. |
© 2025 by the authors. Licensee MDPI, Basel, Switzerland. This article is an open access article distributed under the terms and conditions of the Creative Commons Attribution (CC BY) license (https://creativecommons.org/licenses/by/4.0/).
Share and Cite
Dai, B.; Chen, R.; Wei, Z.; Wu, J.; Li, X. Moisture Sorption Isotherms of Fructooligosaccharide and Inulin Powders and Their Gelling Competence in Delaying the Retrogradation of Rice Starch. Gels 2025, 11, 817. https://doi.org/10.3390/gels11100817
Dai B, Chen R, Wei Z, Wu J, Li X. Moisture Sorption Isotherms of Fructooligosaccharide and Inulin Powders and Their Gelling Competence in Delaying the Retrogradation of Rice Starch. Gels. 2025; 11(10):817. https://doi.org/10.3390/gels11100817
Chicago/Turabian StyleDai, Bing, Ruijun Chen, Zheng Wei, Jianzhang Wu, and Xingjun Li. 2025. "Moisture Sorption Isotherms of Fructooligosaccharide and Inulin Powders and Their Gelling Competence in Delaying the Retrogradation of Rice Starch" Gels 11, no. 10: 817. https://doi.org/10.3390/gels11100817
APA StyleDai, B., Chen, R., Wei, Z., Wu, J., & Li, X. (2025). Moisture Sorption Isotherms of Fructooligosaccharide and Inulin Powders and Their Gelling Competence in Delaying the Retrogradation of Rice Starch. Gels, 11(10), 817. https://doi.org/10.3390/gels11100817

