Natrium Alginate and Graphene Nanoplatelets-Based Efficient Material for Resveratrol Delivery
Abstract
1. Introduction
- Immediate release: APIs are released immediately after administration.
- Modified release: Release occurs at an unspecified or extended time.
- Targeted release: APIs are directed toward specific body sites.
2. Results and Discussion
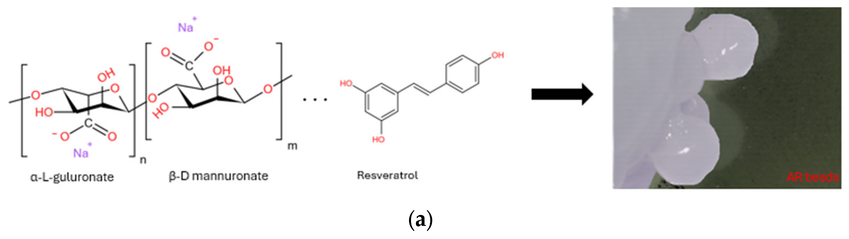
2.1. Beads Formation and Characterization
2.2. In Vitro Drug Release
2.3. Cytotoxicity
3. Conclusions
4. Materials and Methods
4.1. Materials
4.1.1. Synthesis of GNP
4.1.2. Beads Preparation
4.2. Methods
4.2.1. Characterization
UV-Vis Analysis
SEM
Fourier Transform Infrared (FT-IR) Spectroscopy Analysis
In Vitro Release Studies
Cytotoxicity Assay
Statistical Analysis
Author Contributions
Funding
Institutional Review Board Statement
Informed Consent Statement
Data Availability Statement
Acknowledgments
Conflicts of Interest
References
- Park, H.; Otte, A.; Park, K. Evolution of Drug Delivery Systems: From 1950 to 2020 and Beyond. J. Control. Release 2022, 342, 53–65. [Google Scholar] [CrossRef] [PubMed]
- Hicks, H.R.; Carreras, B.A.; Holmes, J.A.; Langer, R. New Methods of Drug Delivery; Office of Technology Assessment: Hanover, NH, USA, 1985; Volume 28. [CrossRef]
- Jeevanandam, J.; Pan, S.; Rodrigues, J.; Elkodous, M.A.; Danquah, M.K. Medical Applications of Biopolymer Nanofibers. Biomater. Sci. 2022, 10, 4107–4118. [Google Scholar] [CrossRef] [PubMed]
- Adepu, S.; Ramakrishna, S. Controlled Drug Delivery Systems: Current Status and Future Directions. Molecules 2021, 26, 5905. [Google Scholar] [CrossRef] [PubMed]
- Jana, S.; Jana, S. Marine Biomaterials: Drug Delivery and Therapeutic Applications; Springer Nature: Berlin/Heidelberg, Germany, 2022; ISBN 9789811647871. [Google Scholar]
- Askarizadeh, M.; Esfandiari, N.; Honarvar, B.; Sajadian, S.A.; Azdarpour, A. Kinetic Modeling to Explain the Release of Medicine from Drug Delivery Systems. ChemBioEng Rev. 2023, 10, 1006–1049. [Google Scholar] [CrossRef]
- Awad, N.S.; Paul, V.; Alsawaftah, N.M.; Ter Haar, G.; Allen, T.M.; Pitt, W.G.; Husseini, G.A. Ultrasound-Responsive Nanocarriers in Cancer Treatment: A Review. ACS Pharmacol. Trans. Sci. 2021, 4, 589–612. [Google Scholar] [CrossRef]
- Vargason, A.M.; Anselmo, A.C.; Mitragotri, S. The Evolution of Commercial Drug Delivery Technologies. Nat. Biomed. Eng. 2021, 5, 951–967. [Google Scholar] [CrossRef]
- Tønnesen, H.H.; Karlsen, J. Alginate in Drug Delivery Systems. Drug Dev. Ind. Pharm. 2002, 28, 621–630. [Google Scholar] [CrossRef]
- Pedroso-Santana, S.; Fleitas-Salazar, N. Ionotropic Gelation Method in the Synthesis of Nanoparticles/Microparticles for Biomedical Purposes. Polym. Int. 2020, 69, 443–447. [Google Scholar] [CrossRef]
- Barnett, S.E.; Assistant, A.R.; Varley, S.; Mibiol, B. The Effects of Calcium Alginate on Wound Healing. Ann. R. Coll. Surg. Engl. 1987, 69, 153. [Google Scholar] [PubMed] [PubMed Central]
- Ahmad Raus, R.; Wan Nawawi, W.M.F.; Nasaruddin, R.R. Alginate and Alginate Composites for Biomedical Applications. Asian J. Pharm. Sci. 2021, 16, 280–306. [Google Scholar] [CrossRef]
- Jadach, B.; Świetlik, W.; Froelich, A. Sodium Alginate as a Pharmaceutical Excipient: Novel Applications of a Well-Known Polymer. J. Pharm. Sci. 2022, 111, 1250–1261. [Google Scholar] [CrossRef] [PubMed]
- Opriș, O.; Mormile, C.; Lung, I.; Stegarescu, A.; Soran, M.L.; Soran, A. An Overview of Biopolymers for Drug Delivery Applications. Appl. Sci. 2024, 14, 1383. [Google Scholar] [CrossRef]
- Javanbakht, S.; Namazi, H. Doxorubicin Loaded Carboxymethyl Cellulose/Graphene Quantum Dot Nanocomposite Hydrogel Films as a Potential Anticancer Drug Delivery System. Mater. Sci. Eng. C 2018, 87, 50–59. [Google Scholar] [CrossRef] [PubMed]
- Mormile, C.; Opriș, O.; Bellucci, S.; Lung, I.; Kacso, I.; Turza, A.; La Pietra, M.; Vacacela Gomez, C.; Stegarescu, A.; Soran, M.L. Enhanced Stability of Dopamine Delivery via Hydrogel with Integrated Graphene. J. Funct. Biomater. 2023, 14, 558. [Google Scholar] [CrossRef]
- Zhou, R.; Gao, H. Cytotoxicity of Graphene: Recent Advances and Future Perspective. Wiley Interdiscip. Rev. Nanomed. Nanobiotechnol. 2014, 6, 452–474. [Google Scholar] [CrossRef]
- Liao, C.; Li, Y.; Tjong, S.C. Graphene Nanomaterials: Synthesis, Biocompatibility, and Cytotoxicity. Int. J. Mol. Sci. 2018, 19, 3564. [Google Scholar] [CrossRef]
- Tadyszak, K.; Wychowaniec, J.K.; Litowczenko, J. Biomedical Applications of Graphene-Based Structures. Nanomaterials 2018, 8, 944. [Google Scholar] [CrossRef]
- Keller, L.A.; Merkel, O.; Popp, A. Intranasal Drug Delivery: Opportunities and Toxicologic Challenges during Drug Development. Drug Deliv. Transl. Res. 2022, 12, 735–757. [Google Scholar] [CrossRef]
- Vivero-Lopez, M.; Muras, A.; Silva, D.; Serro, A.P.; Otero, A.; Concheiro, A.; Alvarez-Lorenzo, C. Resveratrol-Loaded Hydrogel Contact Lenses with Antioxidant and Antibiofilm Performance. Pharmaceutics 2021, 13, 532. [Google Scholar] [CrossRef]
- Fonseca-Santos, B.; Chorilli, M. The Uses of Resveratrol for Neurological Diseases Treatment and Insights for Nanotechnology Based-Drug Delivery Systems. Int. J. Pharm. 2020, 589, 119832. [Google Scholar] [CrossRef]
- Sarma, S.; Agarwal, S.; Bhuyan, P.; Hazarika, J.; Ganguly, M. Resveratrol-Loaded Chitosan-Pectin Core-Shell Nanoparticles as Novel Drug Delivery Vehicle for Sustained Release and Improved Antioxidant Activities. R Soc. Open Sci. 2022, 9, 210784. [Google Scholar] [CrossRef] [PubMed]
- Li, C.; Wang, Z.; Lei, H.; Zhang, D. Recent Progress in Nanotechnology-Based Drug Carriers for Resveratrol Delivery. Drug Deliv. 2023, 30, 2174206. [Google Scholar] [CrossRef] [PubMed]
- Sahoo, D.R.; Biswal, T. Alginate and Its Application to Tissue Engineering. SN Appl. Sci. 2021, 3, 30. [Google Scholar] [CrossRef]
- Kane, S.N.; Mishra, A.; Dutta, A.K. Current Status of Alginate in Drug Delivery. J. Phys. Conf. Ser. 2016, 755, 1–16. [Google Scholar] [CrossRef]
- Shaikh, M.A.J.; Alharbi, K.S.; Almalki, W.H.; Imam, S.S.; Albratty, M.; Meraya, A.M.; Alzarea, S.I.; Kazmi, I.; Al-Abbasi, F.A.; Afzal, O.; et al. Sodium Alginate Based Drug Delivery in Management of Breast Cancer. Carbohydr. Polym. 2022, 292, 119689. [Google Scholar] [CrossRef]
- Ferreira Almeida, P.; Almeida, A.J. Cross-Linked Alginate-Gelatine Beads: A New Matrix for Controlled Release of Pindolol. J. Con. Rel. 2004, 97, 431–439. [Google Scholar] [CrossRef]
- Sattari, S.; Adeli, M.; Beyranvand, S.; Nemati, M. Functionalized Graphene Platforms for Anticancer Drug Delivery. Int. J. Nanomed. 2021, 16, 5955–5980. [Google Scholar] [CrossRef]
- Wu, J.; Wang, Y.S.; Yang, X.Y.; Liu, Y.Y.; Yang, J.R.; Yang, R.; Zhang, N. Graphene Oxide Used as a Carrier for Adriamycin Can Reverse Drug Resistance in Breast Cancer Cells. Nanotechnology 2012, 23, 355101. [Google Scholar] [CrossRef]
- Liang, Q.; Ren, X.; Zhang, X.; Hou, T.; Chalamaiah, M.; Ma, H.; Xu, B. Effect of Ultrasound on the Preparation of Resveratrol-Loaded Zein Particles. J. Food Eng. 2018, 221, 88–94. [Google Scholar] [CrossRef]
- Sarker, B.; Papageorgiou, D.G.; Silva, R.; Zehnder, T.; Gul-E-Noor, F.; Bertmer, M.; Kaschta, J.; Chrissafis, K.; Detsch, R.; Boccaccini, A.R. Fabrication of Alginate-Gelatin Crosslinked Hydrogel Microcapsules and Evaluation of the Microstructure and Physico-Chemical Properties. J. Mater. Chem. B 2014, 2, 1470–1482. [Google Scholar] [CrossRef]
- Derkach, S.R.; Voron’ko, N.G.; Sokolan, N.I.; Kolotova, D.S.; Kuchina, Y.A. Interactions between Gelatin and Sodium Alginate: UV and FTIR Studies. J. Dispers. Sci. Technol. 2020, 41, 690–698. [Google Scholar] [CrossRef]
- Mauri, E.; Salvati, A.; Cataldo, A.; Mozetic, P.; Basoli, F.; Abbruzzese, F.; Trombetta, M.; Bellucci, S.; Rainer, A. Graphene-Laden Hydrogels: A Strategy for Thermally Triggered Drug Delivery. Mater. Sci. Eng. C 2021, 118, 111353. [Google Scholar] [CrossRef] [PubMed]
- Bharath, G.; Latha, B.S.; Alsharaeh, E.H.; Prakash, P.; Ponpandian, N. Enhanced Hydroxyapatite Nanorods Formation on Graphene Oxide Nanocomposite as a Potential Candidate for Protein Adsorption, PH Controlled Release and an Effective Drug Delivery Platform for Cancer Therapy. Anal. Methods 2017, 9, 240–252. [Google Scholar] [CrossRef]
- Nethravathi, C.; Rajamathi, M. Chemically Modified Graphene Sheets Produced by the Solvothermal Reduction of Colloidal Dispersions of Graphite Oxide. Carbon 2008, 46, 1994–1998. [Google Scholar] [CrossRef]
- Li, D.; Wei, Z.; Li, X. Development, Characterization and Resveratrol Delivery of Hollow Gliadin Nanoparticles: Advantages over Solid Gliadin Nanoparticles. Foods 2023, 12, 2436. [Google Scholar] [CrossRef]
- Tain, Y.-L.; Chang, S.K.C.; Liao, J.-X.; Chen, Y.-W.; Huang, H.-T.; Li, Y.-L.; Hou, C.-Y. Synthesis of Short-Chain-Fatty-Acid Resveratrol Esters and Their Antioxidant Properties. Antioxidants 2021, 10, 420. [Google Scholar] [CrossRef]
- Pandey, H.; Parashar, V.; Parashar, R.; Prakash, R.; Ramteke, P.W.; Pandey, A.C. Controlled Drug Release Characteristics and Enhanced Antibacterial Effect of Graphene Nanosheets Containing Gentamicin Sulfate. Nanoscale 2011, 3, 4104–4108. [Google Scholar] [CrossRef]
- Higuchi, T.; York, N. Mechanism of Sustained-Action Medication Theoretical Analysis of Rate of Release of Solid Drugs Dispersed in Solid Matrices. J. Pharm. Sci. 1963, 52, 1145–1149. [Google Scholar] [CrossRef]
- Lin, Y.S.; Tsay, R.Y. Drug Release from a Spherical Matrix: Theoretical Analysis for a Finite Dissolution Rate Affected by Geometric Shape of Dispersed Drugs. Pharmaceutics 2020, 12, 582. [Google Scholar] [CrossRef]
- Jafari, S.; Soleimani, M.; Badinezhad, M. Application of Different Mathematical Models for Further Investigation of in Vitro Drug Release Mechanisms Based on Magnetic Nano-Composite. Polym. Bull. 2022, 79, 1021–1038. [Google Scholar] [CrossRef]
- Paul, D.R. Elaborations on the Higuchi Model for Drug Delivery. Int. J. Pharm. 2011, 418, 13–17. [Google Scholar] [CrossRef] [PubMed]
- Costa, P.; Lobo, J.M.S. Modeling and Comparison of Dissolution Profiles. Eur. J. Pharm. Sci. 2001, 13, 123–133. [Google Scholar] [CrossRef] [PubMed]
- Perea-Vélez, Y.S.; González-Chávez, M.d.C.A.; Carrillo-González, R.; López-Luna, J. Dissolution Kinetics of Citrate Coated CoFe2O4 Nanoparticles in Soil Solution. Environ. Sci. Nano 2022, 9, 2954–2965. [Google Scholar] [CrossRef]
- Maffucci, A.; Micciulla, F.; Cataldo, A.; Miano, G.; Bellucci, S. Bottom-up Realization and Electrical Characterization of a Graphene-Based Device. Nanotechnology 2016, 27, 095204. [Google Scholar] [CrossRef]
- ISO 10993-12:2012; Biological Evaluation of Medical Devices—Part 12: Sample Preparation and Reference Materials. Advancement of Medical Instrumentation (AAMI): Arlington, VA, USA, 2012.
- Tan, M.E.; He, C.H.; Jiang, W.; Zeng, C.; Yu, N.; Huang, W.; Gao, Z.G.; Xing, J.G. Development of Solid Lipid Nanoparticles Containing Total Flavonoid Extract from Dracocephalum moldavica L. and Their Therapeutic Effect against Myocardial Ischemia-Reperfusion Injury in Rats. Int. J. Nanomed. 2017, 12, 3253–3265. [Google Scholar] [CrossRef]
- Repetto, G.; del Peso, A.; Zurita, J.L. Neutral Red Uptake Assay for the Estimation of Cell Viability/Cytotoxicity. Nat. Protoc. 2008, 3, 1125–1131. [Google Scholar] [CrossRef]









| Regression Coefficients (R2) | |||||
|---|---|---|---|---|---|
| Sample | Zero Order | First Order | Higuchi | Hixson-Crowell | Korsmeyer-Peppas |
| AR 6.8 | 0.7334 | 0.805 | 0.9424 | 0.783 | 0.9221 |
| AGR 6.8 | 0.6658 | 0.8273 | 0.9091 | 0.784 | 0.8988 |
| AR 7.4 | 0.7529 | 0.8191 | 0.9491 | 0.799 | 0.9282 |
| AGR 7.4 | 0.6235 | 0.7484 | 0.892 | 0.709 | 0.8636 |
| Kinetic Parameters | |||||
| Sample | Zero Order (k0) | First Order (k1) | Higuchi (KH) | Hixson-Crowell (tf) | Korsmeyer-Peppas (tn) |
| AR 6.8 | 4.655 | −0.0249 | 0.0775 | 0.0826 | 0.0266 |
| AGR 6.8 | 8.4852 | −0.0581 | 0.0422 | 0.1768 | 0.0144 |
| AR 7.4 | 4.4784 | −0.0237 | 0.0817 | 0.0789 | 0.0282 |
| AGR 7.4 | 6.4536 | −0.039 | 0.0532 | 0.124 | 0.0176 |
| Regression Coefficients (R2) | |||||
|---|---|---|---|---|---|
| Sample | Zero Order | First Order | Higuchi | Hixson-Crowell | Korsmeyer-Peppas |
| AR 6.8 | 0.8663 | 0.906 | 0.9906 | 0.894 | 0.8118 |
| AGR 6.8 | 0.8566 | 0.9389 | 0.9879 | 0.9154 | 0.797 |
| AR 7.4 | 0.8941 | 0.9263 | 0.9895 | 0.9163 | 0.8211 |
| AGR 7.4 | 0.8044 | 0.8751 | 0.9697 | 0.8527 | 0.7419 |
| Kinetic Parameters | |||||
| Sample | Zero Order (k0) | First Order (k1) | Higuchi (KH) | Hixson-Crowell (tf) | Kors-Peppas (tn) |
| AR 6.8 | 4.655 | −0.0249 | 0.0775 | 0.0826 | 0.0266 |
| AGR 6.8 | 84852 | −0.0581 | 0.0422 | 0.1768 | 0.0144 |
| AR 7.4 | 4.4784 | −0.0237 | 0.0817 | 0.0789 | 0.0282 |
| AGR 7.4 | 6.4536 | −0.039 | 0.0532 | 0.124 | 0.0176 |
Disclaimer/Publisher’s Note: The statements, opinions and data contained in all publications are solely those of the individual author(s) and contributor(s) and not of MDPI and/or the editor(s). MDPI and/or the editor(s) disclaim responsibility for any injury to people or property resulting from any ideas, methods, instructions or products referred to in the content. |
© 2024 by the authors. Licensee MDPI, Basel, Switzerland. This article is an open access article distributed under the terms and conditions of the Creative Commons Attribution (CC BY) license (https://creativecommons.org/licenses/by/4.0/).
Share and Cite
Mormile, C.; Opriș, O.; Bellucci, S.; Lung, I.; Kacso, I.; Turza, A.; Stegarescu, A.; Tripon, S.; Soran, M.-L.; Bâldea, I. Natrium Alginate and Graphene Nanoplatelets-Based Efficient Material for Resveratrol Delivery. Gels 2025, 11, 15. https://doi.org/10.3390/gels11010015
Mormile C, Opriș O, Bellucci S, Lung I, Kacso I, Turza A, Stegarescu A, Tripon S, Soran M-L, Bâldea I. Natrium Alginate and Graphene Nanoplatelets-Based Efficient Material for Resveratrol Delivery. Gels. 2025; 11(1):15. https://doi.org/10.3390/gels11010015
Chicago/Turabian StyleMormile, Cristina, Ocsana Opriș, Stefano Bellucci, Ildiko Lung, Irina Kacso, Alexandru Turza, Adina Stegarescu, Septimiu Tripon, Maria-Loredana Soran, and Ioana Bâldea. 2025. "Natrium Alginate and Graphene Nanoplatelets-Based Efficient Material for Resveratrol Delivery" Gels 11, no. 1: 15. https://doi.org/10.3390/gels11010015
APA StyleMormile, C., Opriș, O., Bellucci, S., Lung, I., Kacso, I., Turza, A., Stegarescu, A., Tripon, S., Soran, M.-L., & Bâldea, I. (2025). Natrium Alginate and Graphene Nanoplatelets-Based Efficient Material for Resveratrol Delivery. Gels, 11(1), 15. https://doi.org/10.3390/gels11010015

