Development and Characterization of a Sol–Gel-Functionalized Glass Carbon Electrode Probe for Sensing Ultra-Trace Amounts of NH3 and NH4+ in Water
Abstract
1. Introduction
2. Results and Discussion
2.1. Characterization of the Sol–Gel/GCE
2.1.1. Structure and Surface Morphology of the Fabricated Sol–Gel/GCE
2.1.2. Electrochemical Characterization
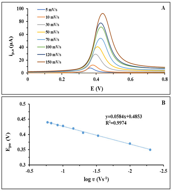
2.2. Redox Behavior

2.3. Optimization of the Analytical Parameters of the Ads SW–ASV Assay
- Influence of the supporting electrolyte: The Ads SW–ASV of indophenol at pH 10 were recorded in numerous buffer solutions including B-R buffer (pH 10), phosphate buffer (pH 10), and KCl (1.0 M) at pH 10 adjusted with a few drops of NaOH (0.05 M). Well-defined peaks and maximum anodic peak currents were obtained in the KCl (1.0 M) electrolyte solution (ESI. 6), in agreement with the CVs mentioned above at pH 10 (Figure 3B). These results suggest that KCl is most likely enhancing the electrolysis of the oxidation product of indophenol and facilitating the H+/e− transfer, probably by generating a higher polarity than the other electrolytes. Thus, KCl is adopted as the optimal electrolyte in the subsequent study.
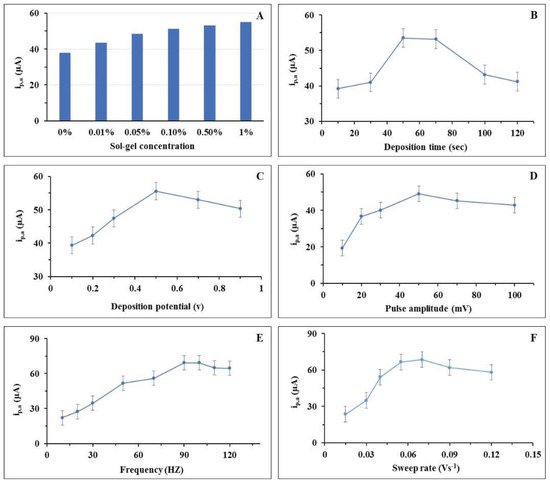
- Influence of the sol–gel concentration: The sol–gel concentration (0.01–1.0% v/v) on the Ads SW–ASV response was critically studied (Figure 6A), as this is likely affecting the thickness of the coating, and thus its surface area. One can observe that the untreated GCE exhibits an anodic peak current of 37 μA and the integration of the sol–gel coating at a concentration of 0.01% enables a direct increase to 42 μA. The further increase of the sol–gel concentration provokes a regular increase of the anodic peak current that reaches the highest value of 55 μA for the coating prepared with a sol–gel concentration of 1%. This result translates the direct impact of the sol–gel coating on the probe sensitivity, which is believed to be due to the increased interaction between the analyte and the probe, certainly enabled by the increase in the surface area and higher chemical interaction with the sol–gel. Owing to these results, it has been decided to pursue the rest of the sensing testing by employing the most sensitive sol–gel coating, namely the one prepared with a concentration of 1%.
- Influence of the dipping time of the GCE within the sol–gel: The impact of the dipping time (1–5 min) of the GCE during the deposition of the sol–gel coating is proposed in ESI. 7. It can be seen that the anodic current remains stable at up to 2 min of dipping (50 μA), followed by a 10% increase after 3 min of dipping to reach a value of 55 μA. From the 3 to 5 min dipping times, the anodic current remains quite stable within the error measurement. As the concentration of the sol–gel is constant at 1%, the impact on the coating thickness is negligible. However, it is well known that the morphology of the sol–gel coatings evolves within time, with porosities evolving from macroporous to mesoporous structures with ageing time. This result signifies that the maximum anodic peak current is favored with denser coatings, where the analyte may be entrapped in a closer area to the probe. It is also worth mentioning that after a 3.0 min dipping time, a 2.0 min drying time under an IR lamp was found necessarily to achieve a stable and homogeneous sol–gel film-modified GCE. Therefore, in the subsequent study, a 3.0 min dipping time will be maintained.
- Influence of the accumulation time: The effect of the accumulation time on the anodic peak current has been investigated in the range 10–120 s, with a fixed Ep,a at 0.42 V (Figure 6B). One can see that the deposition time provokes an increase in the ip,a from typically 40 μA (±3 μA) at 10 and 30 s up to the maximum value of 54 μA (±3 μA) recorded at 50 s. The anodic current is stable at 70 s, then undergoes a decrease at 100 and 120 s with values similar to those recorded at 10 and 30 s. The observed behavior suggests that the implied electrochemical process is clearly time-dependent and can be explained either by an effect of the morphology of the sol–gel coating on the ability of the electrolyzed species to diffuse towards the GCE interface or on the chemistry of the sol–gel coating that may provoke time-dependent chemical reactions or a combination of both morphological and chemical effects. Indeed, as the sol–gel coating is inherently acting as a mesoporous barrier, the diffusion of the electrolyzed species would require a favorable path within the coating that will enable its efficient diffusion towards the GCE interface. On the other hand, the sol–gel coating contains a number of chemical functionalities (amine, zirconium, and silicon species) that have the ability to react with the indophenol-oxidized product. For example, the zirconium atom contains d free orbitals that are capable of hosting free pairs of electrons, such as those contained in the indophenol-oxidized products, thus forming a sol–gel surface functionalized with indophenol compounds. Therefore, this process may be time-dependent, and once completed, the diffusion of the electrolyzed compounds may take place properly. These hypotheses can explain the increase in the anodic current up to 50 s, but the decrease in the anodic current can only be explained by a decrease in the diffusion ability of the electrolyzed species, probably due to steric hindrance effects due to the filling of the mesoporous sol–gel coating and its inability to further host electrolyzed species. Nevertheless, these results have added further confirmation that the sol–gel coating has a high surface area and a likely reactivity with the electrolyzed species. Owing to these findings, the deposition time of choice is 50 s and will be adopted in the next study.
- Influence of the deposition potential: The effect of the deposition potential on the stripping anodic current response (ip,a) is investigated in the range 0.1–0.9 V, as shown in Figure 6C. One can see that the anodic current increases progressively from 39 μA, recorded at 0.1 V, to a maximum value of 55 μA, recorded at 0.5 V. The anodic current is then seen to stabilize within the error bar until 0.9 V. It is believed that the deposition potential impacts the polarizability of the electrolyzed species, and thus their ability to efficiently diffuse within the sol–gel coating. This assumption is coherent with the fact that the anodic current remains stable (within the error bar) once the optimum potential of 0.5 V is attained. Therefore, the optimum deposition potential of 0.5 V will be adopted in the subsequent work.
- Influence of the pulse amplitude: The influence of the pulse amplitude on the Ads SW–ASV peak of indophenol was examined within the range 20–100 mV (Figure 6D) under the optimal conditions defined above. It can be seen that the anodic current increases progressively from 20 μA, recorded at 20 mV, up to the maximum value (49 μA), displayed at a pulse amplitude of 50 mV. The anodic current is seen to stabilize within the error bar at up to a pulse amplitude of 100 mV. The optimum pulse amplitude of 50 mV will be used in the next work.
- Influence of the frequency: The impact of the frequency on the anodic peak current was investigated in the range 10–120 Hz and at a peak potential of 0.42 V (Figure 6E). One can see that the anodic current increases progressively from 20 μA, recorded at 10 Hz, to the maximum value of 70 μA, recorded at 90 Hz. The anodic current is then stable within the error bar until the maximum used frequency of 120 Hz. In addition, at the optimum frequency of 90 Hz, no distortion of the peak or the baseline were noticed; thus, the frequency of 90 Hz was selected as the frequency of choice.
- Influence of the sweep rate: The influence of sweep rate (0.015–0.120 Vs−1) on the ip,a of ammonium ions (2.8 × 10−6 M) was studied under the optimal operational conditions defined above. The anodic current increases steadily upon increasing the sweep rate from 0.015–0.07 Vs−1 and decreases at a sweep rate higher than 0.07 Vs−1, as illustrated in Figure 6F. Thus, in the subsequent study, a sweep rate of 0.07 Vs−1 was selected, since at this sweep rate a well-defined, symmetric, and sharp anodic peak was obtained.
2.4. Analytical Performance
2.5. Selectivity
2.6. Analytical Application
3. Conclusions and Future Perspectives
4. Materials and Methods
4.1. Chemicals and Reagents
4.2. Instrumentation
4.3. Fabrication of the Sol–Gel/GCE
- (i)
- (ii)
- Prior to modification, bare GCE (2 mm diameter) was refined with alumina (0.05 mm) slurry to a mirror finish and washed with HNO3– H2O (1/1 v/v), ethanol, and finally with deionized water and dried with dry air. The GCE was dipped in a small beaker containing 10 mL of treatment sol–gel (1.0% APTES) for 3.0 min. The sol–gel coating was then allowed to dry by evaporation of isopropanol under an IR lamp for 2.0 min.
4.4. General Recommended Ads SW–ASV Procedures
4.5. Analytical Applications
4.6. Validation and Statistical Treatment of the Developed Methodology
Supplementary Materials
Author Contributions
Funding
Institutional Review Board Statement
Informed Consent Statement
Data Availability Statement
Acknowledgments
Conflicts of Interest
References
- Šraj, L.O.C.; Almeida, M.I.G.S.; Swearer, S.E.; Kolev, S.D.; McKelvie, I.D. Analytical challenges and advantages of using flow-based methodologies for ammonia determination in estuarine and marine waters. TrAC Trends Anal. Chem. 2014, 59, 83–92. [Google Scholar] [CrossRef]
- Ma, Y.; Lan, G.; Fu, W.; Lai, Y.; Han, W.; Tang, H.; Liu, H.; Li, Y. Role of surface defects of carbon nanotubes on catalytic performance of barium promoted ruthenium catalyst for ammonia synthesis. J. Energy Chem. 2020, 41, 79–86. [Google Scholar] [CrossRef]
- Akizuki, S.; Cuevas-Rodríguez, G.; Toda, T. Microalgal-nitrifying bacterial consortium for energy-saving ammonia removal from anaerobic digestate of slaughterhouse wastewater. J. Water Proc. Eng. 2019, 31, 100753. [Google Scholar] [CrossRef]
- Mori, M.; Tanaka, K.; Helaleh, M.I.H.; Xu, Q.; Ikedo, M.; Ogura, Y.; Sato, S.; Hu, W.; Hasebe, K. Selective determination of ammonium ions by high-speed ion-exclusion chromatography on a weakly basic anion-exchange resin column. J. Chromatogr. A 2003, 997, 191–197. [Google Scholar] [CrossRef] [PubMed]
- Badiee, H.; Zanjanchi, M.A.; Zamni, A.; Fashi, A. A four-hollow fibers geometry of revolving solvent bar microextraction setup for enrichment of trace ammonia. Talanta 2019, 199, 170–177. [Google Scholar] [CrossRef]
- Ohta, K.; Morikawa, H.; Tanaka, K.; Uwamino, Y.; Furukawa, M.; Sando, M. Ion-chromatographic behavior of alkali metal cations and ammonium ion on zirconium-adsorbing silica gel. J. Chromatogr. A 2000, 884, 123–130. [Google Scholar] [CrossRef] [PubMed]
- Bruzzoniti, M.C.; De Carlo, R.M.; Fiorilli, S.; Onida, B.; Sarzanini, C. Functionalized SBA-15 mesoporous silica in ion chromatography of alkali, alkaline earths, ammonium and transition metal ions. J. Chromatogr. A 2009, 1216, 5540–5547. [Google Scholar] [CrossRef] [PubMed]
- Huang, G.; Hou, J.; Zhou, X. A Measurement Method for Atmospheric Ammonia and Primary Amines Based on Aqueous Sampling, OPA Derivatization and HPLC Analysis. Environ. Sci. Technol. 2009, 43, 5851–5856. [Google Scholar] [CrossRef] [PubMed]
- Muniraj, S.; Yan, C.T.; Shih, H.K.; Ponnusamy, V.K.; Jen, J.F. Determination of ammonium in aqueous samples using new headspace dynamic in-syringe liquid-phase microextraction with in situ derivitazation coupled with liquid chromatography–fluorescence detection. Anal. Chim. Acta 2012, 754, 54–60. [Google Scholar] [CrossRef]
- Katilie, C.J.; Simon, A.G.; DeGreeff, L.E. Quantitative analysis of vaporous ammonia by online derivatization with gas chromatography-mass spectrometry with applications to ammonium nitrate-based explosives. Talanta 2019, 193, 87–92. [Google Scholar] [CrossRef]
- Lubrano, A.L.; Andrews, B.; Hammond, M.; Collins, G.E.; Rose-Pehrsson, S. Analysis of ammonium nitrate headspace by on-fiber solid phase microextraction derivatization with gas chromatography mass spectrometry. J. Chromatogr. A 2016, 1429, 8–12. [Google Scholar] [CrossRef] [PubMed]
- Brown, H.; Kirkbride, K.P.; Pigou, P.E.; Walker, G.S. New developments in SPME Part 2: Analysis of ammonium nitrate-based explosives. J. Forensic Sci. 2004, 49, 1–7. [Google Scholar] [CrossRef]
- Zhang, M.; Dong, X.; Li, X.; Jiang, Y.; Li, Y.; Liang, Y. Review of separation methods for the determination of ammonium/ammonia in natural water. Trends Environ. Anal. Chem. 2020, 27, e00098. [Google Scholar] [CrossRef]
- Chen, G.; Zhang, M.; Zhang, Z.; Huang, Y.; Yuan, D. On-line solid phase extraction and spectrophotometric detection with flow technique for the determination of nanomolar level ammonium in seawater samples. Anal. Lett. 2011, 44, 310–326. [Google Scholar] [CrossRef]
- Jain, A.; Soni, S.; Verma, K.K. Combined liquid phase microextraction and fiber-optics-based cuvetteless micro-spectrophotometry for sensitive determination of ammonia in water and food samples by the indophenol reaction. Food Chem. 2021, 340, 128–156. [Google Scholar] [CrossRef]
- Afkhami, A.; Norooz-Asl, R. Micelle-mediated extraction and spectrophotometric determination of ammonia in water samples utilizing indophenol dye formation. J. Braz. Chem. Soc. 2008, 19, 1546–1552. [Google Scholar] [CrossRef]
- Liang, Y.; Pan, Y.; Guo, Q.; Hu, H.; Wu, C.; Zhang, Q. A novel analytical method for trace ammonium in freshwater and seawater using 4-methoxyphthalaldehyde as fluorescent feagent. J. Anal. Methods Chem. 2015, 2015, 387207. [Google Scholar] [CrossRef] [PubMed]
- Zhang, M.; Zhang, T.; Liang, Y.; Pan, Y. Toward sensitive determination of ammonium in field: A novel fluorescent probe, 4,5-dimethoxyphthalaldehyde along with a hand-held portable laser diode fluorometer. Sens. Actuators B Chem. 2018, 276, 356–361. [Google Scholar] [CrossRef]
- Segundo, R.A.; Mesquita, R.B.R.; Ferreira, M.T.S.O.B.; Teixeira, C.F.C.P.; Bordalo, A.A.; Rangel, A.O.S.S. Development of a sequential injection gas diffusion system for the determination of ammonium in transitional and coastal waters. Anal. Methods 2011, 3, 2049–2055. [Google Scholar] [CrossRef]
- Tan, R.K.L.; Reeves, S.P.; Hashemi, N.; Thomas, D.G.; Kavak, E.; Montazami, R.; Hashemi, N.N. Graphene as a flexible electrode: Review of fabrication approaches. J. Mater. Chem. A 2017, 5, 17777–17803. [Google Scholar] [CrossRef]
- Shishkanova, T.V.; Tobrman, T.; Otta, J.; Broncová, G.; Fitl, P.; Vrňata, M. Substituted polythiophene-based sensor for detection of ammonia in gaseous and aqueous environment. J. Mater. Sci. 2022, 57, 17870–17882. [Google Scholar] [CrossRef]
- Alwael, H.; Alharthi, A.S.; Dabi, M.M.; Oubaha, M.; El-Shahawi, M.S. A highly sensitive electrochemical sensing probe incorporating classical Berthelot’s reaction and glassy carbon electrode for measuring ultra-trace levels of ammonia/NH4+ in water. Electrochem. Commun. 2024, 162, 107686. [Google Scholar] [CrossRef]
- Beitollahi, H.; Mohammadi, S.Z.; Safaei, M.; Tajik, S. Applications of electrochemical sensors and biosensors based on modified screen-printed electrodes: A review. Anal. Methods 2020, 12, 1547–1560. [Google Scholar] [CrossRef]
- Anantha-Iyengar, G.; Shanmugasundaram, K.; Nallal, M.; Lee, K.P.; Whitcombe, M.J.; Lakshmi, D.; Sai-Anand, G. Functionalized conjugated polymers for sensing and molecular imprinting applications. Prog. Polym. Sci. 2019, 88, 1–129. [Google Scholar] [CrossRef]
- Jadon, N.; Jain, R.; Sharma, S.; Singh, K. Recent trends in electrochemical sensors for multianalyte detection—A review. Talanta 2016, 161, 894–916. [Google Scholar] [CrossRef]
- Li, D.; Xu, X.; Li, Z.; Wang, T.; Wang, C. Detection methods of ammonia nitrogen in water: A review. TrAC Trends Anal. Chem. 2020, 127, 115890. [Google Scholar] [CrossRef]
- Rahman, M.M.; Jamal, A.; Khan, S.B.; Faisal, M. CuO codoped ZnO based nanostructured materials for sensitive chemical sensor applications. ACS Appl. Mater. Interfaces 2011, 3, 1346–1351. [Google Scholar] [CrossRef] [PubMed]
- Abaker, M.; Umar, A.; Baskoutas, S.; Dar, G.; Zaidi, S.; Al-Sayari, S.; Al-Hajry, A.; Kim, S.; Hwang, S. A highly sensitive ammonia chemical sensor based on α-Fe2O3 nanoellipsoids. J. Phys. D Appl. Phys. 2011, 44, 425401. [Google Scholar] [CrossRef]
- Zhang, L.; Liu, J.; Peng, X.; Cui, Q.; He, D.; Zhao, C.; Suo, H. Fabrication of a Ni foam-supported platinum nanoparticles-silver/polypyrrole electrode for aqueous ammonia sensing. Synth. Met. 2020, 259, 116257. [Google Scholar] [CrossRef]
- Baskaran, K.; Ali, M.; Gingrich, K.; Porter, D.L.; Chong, S.; Riley, B.J.; Peak, C.W.; Naleway, S.E.; Zharov, I.; Carlson, K. Sol-gel derived silica: A review of polymer-tailored properties for energy and environmental applications. Microporous Mesoporous Mater. 2022, 336, 111874. [Google Scholar] [CrossRef]
- Pierre, A.C. Introduction to Sol-Gel Processing, 2nd ed.; Springer: Cham, Switzerland, 2020; ISBN 978-3-030-38143-1. [Google Scholar]
- Ana, I.D. Collagen Hydrogel in Drug Delivery and Tissue Engineering. In Biomaterial-Based Hydrogels, 1st ed.; Jana, S., Ed.; Springer: Singapore, 2024; ISBN 978-981-99-8825-9. [Google Scholar]
- Kabir, A.; Furton, K.G.; Malik, A. Innovations in sol-gel microextraction phases for solvent-free sample preparation in analytical chemistry. TrAC Trends Anal. Chem. 2013, 45, 197–218. [Google Scholar] [CrossRef]
- Kabir, A.; Furton, K.; Valcárcel, M.; Cárdenas, S.; Lucena, R. Novel Sol-Gel Sorbents in Sorptive Microextraction Analytical Microextraction Techniques. In Analytical Microextraction Techniques, 1st ed.; Valcarcel, M., Cardenas, S., Lucena, R., Eds.; Bentham Science Publishers: Sharjah, United Arab Emirates, 2016; pp. 28–69. ISBN 978-1-68108-380-3. [Google Scholar]
- Oubaha, M. World Scientific Reference of Hybrid Materials: Volume 3: Sol-Gel Strategies for Hybrid Materials; World Scientific Publishing Company: Singapore, 2019; ISBN 978-981-327-048-0. [Google Scholar]
- Berktas, I.; Ghafar, A.N.; Fontana, P.; Caputcu, A.; Menceloglu, Y.; Okan, B.S. Facile Synthesis of Graphene from Waste Tire/Silica Hybrid Additives and Optimization Study for the Fabrication of Thermally Enhanced Cement Grouts. Molecules 2020, 25, 886. [Google Scholar] [CrossRef]
- Heineman, R.B.; Sawyer, D.; Beebe, J.M. Chemistry Experiments for Instrumental Methods, 1st ed.; John Wiley & Sons: New York, NY, USA, 1984; ISBN 978-0-471-89303-5. [Google Scholar]
- Bard, A.J.; Faulkner, L.R.; White, H.S. Electrochemical Methods: Fundamentals and Applications, 3rd ed.; John Wiley & Sons: New York, NY, USA, 2022; ISBN 978-1-119-33405-7. [Google Scholar]
- Laviron, E. General expression of the linear potential sweep voltammogram in the case of diffusionless electrochemical systems. J. Electroanal. Chem. Interf. Electrochem. 1979, 101, 19–28. [Google Scholar] [CrossRef]
- Gosser, D.K. Cyclic Voltammetry: Simulation and Analysis of Reaction Mechanisms; VCH: New York, NY, USA, 1993; ISBN 3-527-28226-2. [Google Scholar]
- Harris, D.C. Quantitative Chemical Analysis, 8th ed.; Freeman WH and Company: New York, NY, USA, 2010; ISBN-13 978-1-4292-1815-3. [Google Scholar]
- Arar, E.J. Method 349.0 Determination of Ammonia in Estuarine and Coastal Waters by Gas Segmented Continuous Flow Colorimetric Analysis; EPA/600/R-15/013; U.S. Environmental Protection Agency: Washington, DC, USA, 1997. [Google Scholar]
- Panchompoo, J.; Compton, R.G. Electrochemical detection of ammonia in aqueous solution using fluorescamine: A comparison of fluorometric versus voltammetric analysis. J. Electrochem. 2012, 18, 437. [Google Scholar]
- Kan, Y.; Han, C.; Ye, Y.; Zhang, X.; Huang, Y.; Xing, L.; Zhou, Y.; Qin, H. An all-solid-state ammonium ion-selective electrode based on polyaniline as transducer and poly (o-phenylenediamine) as sensitive membrane. Int. J. Electrochem. Sci. 2016, 11, 9928–9940. [Google Scholar] [CrossRef]
- Saiapina, O.; Dzyadevych, S.; Walcarius, A.; Jaffrezic-Renault, N. A novel highly sensitive zeolite-based conductometric microsensor for ammonium determination. Anal. Lett. 2012, 45, 1467–1484. [Google Scholar] [CrossRef]
- Ribeiro, J.A.; Silva, F.; Pereira, C.M. Electrochemical sensing of ammonium ion at the water/1,6-dichlorohexane interface. Talanta 2012, 88, 54–60. [Google Scholar] [CrossRef]
- Zazoua, A.; Kazane, I.; Khedimallah, N.; Dernane, C.; Errachid, A.; Jaffrezic-Renault, N. Evidence of ammonium ion-exchange properties of natural bentonite and application to ammonium detection. Mater. Sci. Eng. C 2013, 33, 5084–5089. [Google Scholar] [CrossRef] [PubMed]
- Giovanelli, D.; Buzzeo, M.C.; Lawrence, N.S.; Hardacre, C.; Seddon, K.R.; Compton, R.G. Determination of ammonia based on the electro-oxidation of hydroquinone in dimethylformamide or in the room temperature ionic liquid, 1-ethyl-3-methylimidazolium bis (trifluoromethylsulfonyl) imide. Talanta 2004, 62, 904–911. [Google Scholar] [CrossRef] [PubMed]
- Kosa, S.A.; Khan, A.N.; Al-Johani, B.; Taib, L.; Aslam, M.; Bawazir, W.A.; Hameed, A.; Soomro, M.T. Simple and Intelligent Electrochemical Detection of Ammonia over Cuprous Oxide Thin Film Electrode. Surfaces 2023, 6, 430–449. [Google Scholar] [CrossRef]
- Liang, Y.; Yan, C.; Guo, Q.; Xu, J.; Hu, H. Spectrophotometric determination of ammonia nitrogen in water by flow injection analysis based on NH3-o-phthalaldehyde-Na2SO3 reaction. Anal. Chem. Res. 2016, 10, 1–8. [Google Scholar] [CrossRef]
- Giakisikli, G.; Anthemidis, A.N. Automatic pressure-assisted dual-headspace gas-liquid microextraction. Lab-in-syringe platform for membraneless gas separation of ammonia coupled with fluorimetric sequential injection analysis. Anal. Chim. Acta 2018, 1033, 73–80. [Google Scholar] [CrossRef] [PubMed]
- Altahan, M.F.; Ali, A.G.; Hahoot, A.A.; AbdelAzzem, M. Modified electrode decorated with silver as a novel non-enzymatic sensor for the determination of ammonia in water. Sci. Rep. 2023, 13, 16861. [Google Scholar] [CrossRef] [PubMed]
- Miller, J.C.; Miller, J.N. Statistics for Analytical Chemistry, 6th ed.; Prentice Hall: Saddle River, NJ, USA, 2010; ISBN 13 9780273730422. [Google Scholar]
- Ahmad, W.; Al-Sibaai, A.; Bashammakh, A.; Alwael, H.; El-Shahawi, M.S. Recent advances in dispersive liquid-liquid microextraction for pesticide analysis. TrAC Trends Anal. Chem. 2015, 72, 181–192. [Google Scholar] [CrossRef]
- Oribayo, O.; Feng, X.; Rempel, G.L.; Pan, Q. Synthesis of lignin-based polyurethane/graphene oxide foam and its application as an absorbent for oil spill clean-ups and recovery. Chem. Eng. J. 2017, 323, 191–202. [Google Scholar] [CrossRef]
- Cullen, M.; Kaworek, A.; Mohan, J.; Duffy, B.; Oubaha, M. An investigation into the Role of the Acid Catalyst on the Structure and Anticorrosion Properties of Hybrid Sol-Gel Coatings. Thin Solid Film. 2021, 729, 138703. [Google Scholar] [CrossRef]







| Detection Technique | LDR | LOD | Sample Type | Ref. |
|---|---|---|---|---|
| Potentiometry | 20 µM–100 mM | 12 µM | Real sample | [44] |
| Conductometry | (0–8) mM | 10 nM | Artificial water sample | [45] |
| Square wave voltammetry | (4.2–66) µM | 0.12 mM | Experimental environment | [46] |
| Impedance spectroscopy | (0.1–1000) mM | 1 µM | River | [47] |
| Square wave voltammetry | (0.0–60) µM | 3.17 µM | Aqueous solution | [43] |
| Square wave voltammetry | (0.56–5.3) mM | 0.233 mM | - | [48] |
| Square wave voltammetry | (10–1000) µM | 6.23 µM | Drinking water | [49] |
| Manual operation with a hand-held fluorescence detector | Up to 5 µM | 3.5 nM | Fresh water and sea water | [18] |
| Spectrophotometry | (0.1–0.7) mM | 0.7 µM | Lake, river, and ground water | [50] |
| Fluorometry | 8 nM–0.556 µM | 3 nM | Natural water sample | [51] |
| Ads SW–ASV | 5.0–100 µM | 0.03 µM | Environmental water samples | [52] |
| Ads SW–ASV | 5.56 nM–5.56 µM | 1.7 nM | Tap and sea water | This work |
| Sample | Spiked (µg/mL) | Found (µg/mL) a | Recovery (%) b |
|---|---|---|---|
| Tap water | 0.0 | ND | -- |
| 0.05 | 0.048 ± 0.0013 | 96.0 ± 2.7 | |
| 0.07 | 0.068 ± 0.002 | 97.14 ± 2.9 | |
| Sea water | 0.0 | 0.0062 ± 0.0012 | -- |
| 0.05 | 0.057 ± 0.0016 | 101.6 ± 3.1 | |
| 0.07 | 0.074 ± 0.0024 | 96.9 ± 4.7 |
| Sample | Added (µg/mL) | Found (µg/mL) a | Recovery (%) b | Student t Test (2.31) * | F (6.39) * | ||
|---|---|---|---|---|---|---|---|
| A | B | A | B | ||||
| Tap water | 0.03 | 0.0315 ± 0.002 | 0.031 ± 0.0015 | 105.0 ± 6.3 | 103.3 ± 4.8 | 0.45 | 1.78 |
| Sea water | 0.03 | 0.037 ± 0.0017 | 0.032 ± 0.0013 | 102.7 ± 5.5 | 106.7 ± 4.1 | 1.25 | 1.69 |
Disclaimer/Publisher’s Note: The statements, opinions and data contained in all publications are solely those of the individual author(s) and contributor(s) and not of MDPI and/or the editor(s). MDPI and/or the editor(s) disclaim responsibility for any injury to people or property resulting from any ideas, methods, instructions or products referred to in the content. |
© 2024 by the authors. Licensee MDPI, Basel, Switzerland. This article is an open access article distributed under the terms and conditions of the Creative Commons Attribution (CC BY) license (https://creativecommons.org/licenses/by/4.0/).
Share and Cite
Alwael, H.; Oubaha, M.; El-Shahawi, M.S. Development and Characterization of a Sol–Gel-Functionalized Glass Carbon Electrode Probe for Sensing Ultra-Trace Amounts of NH3 and NH4+ in Water. Gels 2024, 10, 382. https://doi.org/10.3390/gels10060382
Alwael H, Oubaha M, El-Shahawi MS. Development and Characterization of a Sol–Gel-Functionalized Glass Carbon Electrode Probe for Sensing Ultra-Trace Amounts of NH3 and NH4+ in Water. Gels. 2024; 10(6):382. https://doi.org/10.3390/gels10060382
Chicago/Turabian StyleAlwael, H., M. Oubaha, and M. S. El-Shahawi. 2024. "Development and Characterization of a Sol–Gel-Functionalized Glass Carbon Electrode Probe for Sensing Ultra-Trace Amounts of NH3 and NH4+ in Water" Gels 10, no. 6: 382. https://doi.org/10.3390/gels10060382
APA StyleAlwael, H., Oubaha, M., & El-Shahawi, M. S. (2024). Development and Characterization of a Sol–Gel-Functionalized Glass Carbon Electrode Probe for Sensing Ultra-Trace Amounts of NH3 and NH4+ in Water. Gels, 10(6), 382. https://doi.org/10.3390/gels10060382

