Conductive Biocomposite Made by Two-Photon Polymerization of Hydrogels Based on BSA and Carbon Nanotubes with Eosin-Y
Abstract
1. Introduction
2. Results
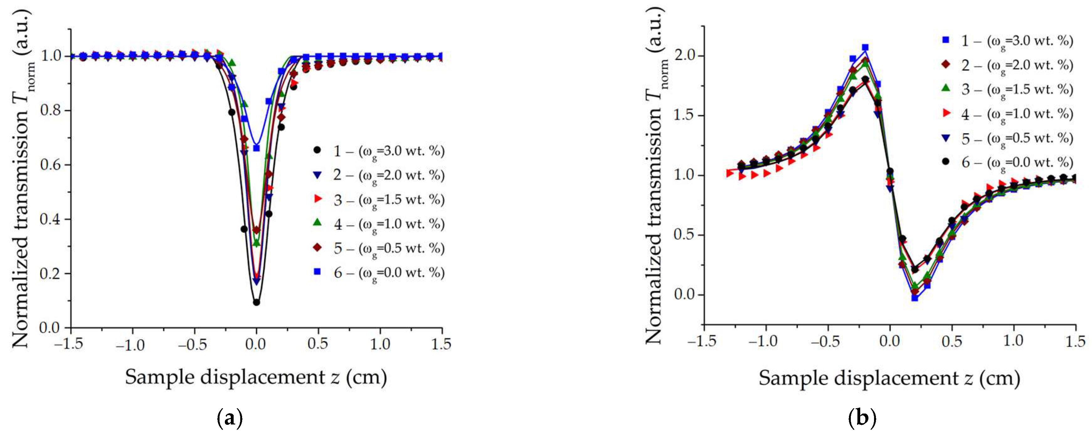
2.1. Determination of Nonlinear Optical Characteristics
2.2. Determination of Electrical Conductivity of Samples
2.3. Biocompatibility of the Biocomposites
3. Discussion
4. Conclusions
5. Materials and Methods
5.1. Preparations and Characterization
5.2. Determination of the Two-Photon Absorption Cross Section
5.3. Assessing the Biocompatibility
Author Contributions
Funding
Institutional Review Board Statement
Informed Consent Statement
Data Availability Statement
Acknowledgments
Conflicts of Interest
References
- Gu, X. Biodegradable Materials and the Tissue Engineering of Nerves. Engineering 2021, 7, 1700–1703. [Google Scholar] [CrossRef]
- Dimopoulos, A.; Markatos, D.N.; Mitropoulou, A.; Panagiotopoulos, I.; Koletsis, E.; Mavrilas, D. A Novel Polymeric Fibrous Microstructured Biodegradable Small-Caliber Tubular Scaffold for Cardiovascular Tissue Engineering. J. Mater. Sci. Mater. Med. 2021, 32, 21. [Google Scholar] [CrossRef]
- Behera, K.; Chang, Y.-H.; Yadav, M.; Chiu, F.-C. Enhanced Thermal Stability, Toughness, and Electrical Conductivity of Carbon Nanotube-Reinforced Biodegradable Poly(Lactic Acid)/Poly(Ethylene Oxide) Blend-Based Nanocomposites. Polymer 2020, 186, 122002. [Google Scholar] [CrossRef]
- Han, W.B.; Yang, S.M.; Rajaram, K.; Hwang, S. Materials and Fabrication Strategies for Biocompatible and Biodegradable Conductive Polymer Composites toward Bio-Integrated Electronic Systems. Adv. Sustain. Syst. 2022, 6, 2100075. [Google Scholar] [CrossRef]
- Farokhi, M.; Mottaghitalab, F.; Saeb, M.R.; Shojaei, S.; Zarrin, N.K.; Thomas, S.; Ramakrishna, S. Conductive Biomaterials as Substrates for Neural Stem Cells Differentiation towards Neuronal Lineage Cells. Macromol. Biosci. 2021, 21, 2000123. [Google Scholar] [CrossRef]
- Burnstine-Townley, A.; Eshel, Y.; Amdursky, N. Conductive Scaffolds for Cardiac and Neuronal Tissue Engineering: Governing Factors and Mechanisms. Adv. Funct. Mater. 2020, 30, 1901369. [Google Scholar] [CrossRef]
- Wang, C.; Rubakhin, S.S.; Enright, M.J.; Sweedler, J.V.; Nuzzo, R.G. 3D Particle-Free Printing of Biocompatible Conductive Hydrogel Platforms for Neuron Growth and Electrophysiological Recording. Adv. Funct. Mater. 2021, 31, 2010246. [Google Scholar] [CrossRef]
- Haycock, J.W. 3D Cell Culture: A Review of Current Approaches and Techniques. In Methods in Molecular Biology; Springer: Berlin/Heidelberg, Germany, 2011; pp. 1–15. [Google Scholar]
- Ipek, S.; Ustundag, A.; Can Eke, B. Three-Dimensional (3D) Cell Culture Studies: A Review of the Field of Toxicology. Drug Chem. Toxicol. 2023, 46, 523–533. [Google Scholar] [CrossRef] [PubMed]
- Bonartsev, A.; Yakovlev, S.; Boskhomdzhiev, A.; Zharkova, I.; Bagrov, D.; Myshkina, V.; Mahina, T.; Kharitonova, E.; Samsonova, O.; Zernov, A.; et al. The Terpolymer Produced by Azotobacter Chroococcum 7B: Effect of Surface Properties on Cell Attachment. PLoS ONE 2013, 8, e57200. [Google Scholar] [CrossRef]
- Temple, J.; Velliou, E.; Shehata, M.; Lévy, R.; Gupta, P. Current Strategies with Implementation of Three-Dimensional Cell Culture: The Challenge of Quantification. Interface Focus 2022, 12, 20220019. [Google Scholar] [CrossRef]
- Zhu, Y.; Joralmon, D.; Shan, W.; Chen, Y.; Rong, J.; Zhao, H.; Xiao, S.; Li, X. 3D Printing Biomimetic Materials and Structures for Biomedical Applications. Bio-Des. Manuf. 2021, 4, 405–428. [Google Scholar] [CrossRef]
- Liu, F.; Wang, X. Synthetic Polymers for Organ 3D Printing. Polymers 2020, 12, 1765. [Google Scholar] [CrossRef]
- Farsari, M.; Filippidis, G.; Sambani, K.; Drakakis, T.S.; Fotakis, C. Two-Photon Polymerization of an Eosin Y-Sensitized Acrylate Composite. J. Photochem. Photobiol. A Chem. 2006, 181, 132–135. [Google Scholar] [CrossRef]
- Gerasimenko, A.Y.; Kitsyuk, E.; Kurilova, U.E.; Suetina, I.A.; Russu, L.; Mezentseva, M.V.; Markov, A.; Narovlyansky, A.N.; Kravchenko, S.; Selishchev, S.V.; et al. Interfaces Based on Laser-Structured Arrays of Carbon Nanotubes with Albumin for Electrical Stimulation of Heart Cell Growth. Polymers 2022, 14, 1866. [Google Scholar] [CrossRef]
- Gao, D.; Parida, K.; Lee, P.S. Emerging soft conductors for bioelectronic interfaces. Adv. Funct. Mater. 2020, 30, 1907184. [Google Scholar] [CrossRef]
- Lopes, V.; Moreira, G.; Bramini, M.; Capasso, A. The potential of graphene coatings as neural interfaces. Nanoscale Horiz. 2024, 9, 384. [Google Scholar] [CrossRef] [PubMed]
- Hasanzadeh, E.; Seifalian, A.; Mellati, A.; Saremi, J.; Asadpour, S.; Enderami, S.E.; Nekounam, H.; Mahmoodi, N. Injectable Hydrogels in Central Nervous System: Unique and Novel Platforms for Promoting Extracellular Matrix Remodeling and Tissue Engineering. Mater. Today Bio. 2023, 20, 100614. [Google Scholar] [CrossRef]
- Xuan, H.; Wu, S.; Jin, Y.; Wei, S.; Xiong, F.; Xue, Y.; Li, B.; Yang, Y.; Yuan, H. A Bioinspired Self-Healing Conductive Hydrogel Promoting Peripheral Nerve Regeneration. Adv. Sci. 2023, 10, 2302519. [Google Scholar] [CrossRef]
- Lopez-Silva, T.L.; Cristobal, C.D.; Edwin Lai, C.S.; Leyva-Aranda, V.; Lee, H.K.; Hartgerink, J.D. Self-Assembling Multidomain Peptide Hydrogels Accelerate Peripheral Nerve Regeneration after Crush Injury. Biomaterials 2021, 265, 120401. [Google Scholar] [CrossRef]
- Kuffler, D.P.; Foy, C. Restoration of Neurological Function Following Peripheral Nerve Trauma. Int. J. Mol. Sci. 2020, 21, 1808. [Google Scholar] [CrossRef]
- Guarino, V.; Alvarez-Perez, M.A.; Borriello, A.; Napolitano, T.; Ambrosio, L. Conductive PANi/PEGDA Macroporous Hydrogels For Nerve Regeneration. Adv. Healthc. Mater. 2013, 2, 218–227. [Google Scholar] [CrossRef] [PubMed]
- Habibizadeh, M.; Nadri, S.; Fattahi, A.; Rostamizadeh, K.; Mohammadi, P.; Andalib, S.; Hamidi, M.; Forouzideh, N. Surface Modification of Neurotrophin-3 Loaded PCL/Chitosan Nanofiber/Net by Alginate Hydrogel Microlayer for Enhanced Biocompatibility in Neural Tissue Engineering. J. Biomed. Mater. Res. Part A 2021, 109, 2237–2254. [Google Scholar] [CrossRef] [PubMed]
- Jafarkhani, M.; Salehi, Z.; Nematian, T. Preparation and Characterization of Chitosan/Graphene Oxide Composite Hydrogels for Nerve Tissue Engineering. Mater. Today Proc. 2018, 5, 15620–15628. [Google Scholar] [CrossRef]
- Qi, F.; Wang, Y.; Ma, T.; Zhu, S.; Zeng, W.; Hu, X.; Liu, Z.; Huang, J.; Luo, Z. Electrical Regulation of Olfactory Ensheathing Cells Using Conductive Polypyrrole/Chitosan Polymers. Biomaterials 2013, 34, 1799–1809. [Google Scholar] [CrossRef] [PubMed]
- Wu, C.; Liu, A.; Chen, S.; Zhang, X.; Chen, L.; Zhu, Y.; Xiao, Z.; Sun, J.; Luo, H.; Fan, H. Cell-Laden Electroconductive Hydrogel Simulating Nerve Matrix To Deliver Electrical Cues and Promote Neurogenesis. ACS Appl. Mater. Interfaces 2019, 11, 22152–22163. [Google Scholar] [CrossRef]
- Xu, C.; Guan, S.; Wang, S.; Gong, W.; Liu, T.; Ma, X.; Sun, C. Biodegradable and Electroconductive Poly(3,4-Ethylenedioxythiophene)/Carboxymethyl Chitosan Hydrogels for Neural Tissue Engineering. Mater. Sci. Eng. C 2018, 84, 32–43. [Google Scholar] [CrossRef]
- Kabiri, M.; Oraee-Yazdani, S.; Dodel, M.; Hanaee-Ahvaz, H.; Soudi, S.; Seyedjafari, E.; Salehi, M.; Soleimani, M. Cytocompatibility of a Conductive Nanofibrous Carbon Nanotube/Poly (L-Lactic Acid) Composite Scaffold Intended for Nerve Tissue Engineering. EXCLI J. 2015, 14, 851–860. [Google Scholar] [CrossRef]
- Baniasadi, H.; Ramazani, S.A.A.; Mashayekhan, S. Fabrication and Characterization of Conductive Chitosan/Gelatin-Based Scaffolds for Nerve Tissue Engineering. Int. J. Biol. Macromol. 2015, 74, 360–366. [Google Scholar] [CrossRef]
- Karimi-Soflou, R.; Nejati, S.; Karkhaneh, A. Electroactive and Antioxidant Injectable In-Situ Forming Hydrogels with Tunable Properties by Polyethylenimine and Polyaniline for Nerve Tissue Engineering. Colloids Surf. B Biointerfaces 2021, 199, 111565. [Google Scholar] [CrossRef]
- Saberi, A.; Jabbari, F.; Zarrintaj, P.; Saeb, M.R.; Mozafari, M. Electrically Conductive Materials: Opportunities and Challenges in Tissue Engineering. Biomolecules 2019, 9, 448. [Google Scholar] [CrossRef]
- Zhang, W.-C.; Zheng, M.-L.; Liu, J.; Jin, F.; Dong, X.-Z.; Guo, M.; Li, T. Modulation of Cell Behavior by 3D Biocompatible Hydrogel Microscaffolds with Precise Configuration. Nanomaterials 2021, 11, 2325. [Google Scholar] [CrossRef] [PubMed]
- Zhang, Q.; Liu, Y.; Yang, G.; Kong, H.; Guo, L.; Wei, G. Recent Advances in Protein Hydrogels: From Design, Structural and Functional Regulations to Healthcare Applications. Chem. Eng. J. 2023, 451, 138494. [Google Scholar] [CrossRef]
- Guo, X.; Liu, G.; He, Q.; Xu, H.; Yu, Y.; Ke, C.; Ming, X.; Zhao, M.; Wang, X.; Huang, Z.; et al. The Study of Nerve Conduit with Biocompatibility and Electrical Stimulation Effect. J. Wuhan Univ. Technol. Sci. Ed. 2018, 33, 1530–1539. [Google Scholar] [CrossRef]
- Kim, S.D.; Kim, K.; Shin, M. Recent Advances in 3D Printable Conductive Hydrogel Inks for Neural Engineering. Nano Converg. 2023, 10, 41. [Google Scholar] [CrossRef]
- Lee, J.H.; Park, J.-H.; Eltohamy, M.; Perez, R.; Lee, E.-J.; Kim, H.-W. Collagen Gel Combined with Mesoporous Nanoparticles Loading Nerve Growth Factor as a Feasible Therapeutic Three-Dimensional Depot for Neural Tissue Engineering. RSC Adv. 2013, 3, 24202. [Google Scholar] [CrossRef]
- Sang, S.; Cheng, R.; Cao, Y.; Yan, Y.; Shen, Z.; Zhao, Y.; Han, Y. Biocompatible Chitosan/Polyethylene Glycol/Multi-Walled Carbon Nanotube Composite Scaffolds for Neural Tissue Engineering. J. Zhejiang Univ. B 2022, 23, 58–73. [Google Scholar] [CrossRef]
- Li, Q.; Yue, C.; Chen, T.; Ding, C.; Zhang, H. Construction and Characterization of Conductive Collagen/Multiwalled Carbon Nanotube Composite Films for Nerve Tissue Engineering. AIP Adv. 2022, 12, 055124. [Google Scholar] [CrossRef]
- Yan, F.; Liu, Y.; Chen, H.; Zhang, F.; Zheng, L.; Hu, Q. A Multi-Scale Controlled Tissue Engineering Scaffold Prepared by 3D Printing and NFES Technology. AIP Adv. 2014, 4, 031321. [Google Scholar] [CrossRef]
- Shariati, K.; Ling, A.S.; Fuchs, S.; Dillenburger, B.; Liu, W.; Ma, M. Hylozoic by Design: Converging Material and Biological Complexities for Cell-Driven Living Materials with 4D Behaviors. Adv. Funct. Mater. 2022, 32, 2108057. [Google Scholar] [CrossRef]
- Engelhardt, S.; Hoch, E.; Borchers, K.; Meyer, W.; Krüger, H.; Tovar, G.E.M.; Gillner, A. Fabrication of 2D Protein Microstructures and 3D Polymer–Protein Hybrid Microstructures by Two-Photon Polymerization. Biofabrication 2011, 3, 025003. [Google Scholar] [CrossRef]
- Huang, X.; Wang, X.; Zhao, Y. Study on a Series of Water-Soluble Photoinitiators for Fabrication of 3D Hydrogels by Two-Photon Polymerization. Dye. Pigment. 2017, 141, 413–419. [Google Scholar] [CrossRef]
- Li, T.; Liu, J.; Guo, M.; Bin, F.-C.; Wang, J.-Y.; Nakayama, A.; Zhang, W.-C.; Jin, F.; Dong, X.-Z.; Fujita, K.; et al. Synthesis of Biocompatible BSA-GMA and Two-Photon Polymerization of 3D Hydrogels with Free Radical Type I Photoinitiator. Int. J. Bioprint. 2023, 9, 752. [Google Scholar] [CrossRef] [PubMed]
- Perevoznik, D.; Nazir, R.; Kiyan, R.; Kurselis, K.; Koszarna, B.; Gryko, D.T.; Chichkov, B.N. High-Speed Two-Photon Polymerization 3D Printing with a Microchip Laser at Its Fundamental Wavelength. Opt. Express 2019, 27, 25119. [Google Scholar] [CrossRef]
- Jing, X.; Fu, H.; Yu, B.; Sun, M.; Wang, L. Two-Photon Polymerization for 3D Biomedical Scaffolds: Overview and Updates. Front. Bioeng. Biotechnol. 2022, 10, 994355. [Google Scholar] [CrossRef]
- Wang, W.; Chen, Z.-Q.; Lin, B.; Liu, M.-C.; Zhang, Y.; Liu, S.-J.; Li, Y.; Zhao, Q. Two-Photon Polymerization-Based 3D Micro-Scaffolds toward Biomedical Devices. Chem. Eng. J. 2024, 493, 152469. [Google Scholar] [CrossRef]
- Nekrasov, N.; Yakunina, N.; Nevolin, V.; Bobrinetskiy, I.; Vasilevsky, P.; Gerasimenko, A.Y. Two-Photon Polymerization of Albumin Hydrogel Nanowires Strengthened with Graphene Oxide. Biomimetics 2021, 6, 66. [Google Scholar] [CrossRef]
- Nagaev, E.I.; Baimler, I.V.; Baryshev, A.S.; Astashev, M.E.; Gudkov, S.V. Effect of Laser-Induced Optical Breakdown on the Structure of Bsa Molecules in Aqueous Solutions: An Optical Study. Molecules 2022, 27, 6752. [Google Scholar] [CrossRef] [PubMed]
- Shi, Y.; Jiao, H.; Sun, J.; Lu, X.; Yu, S.; Cheng, L.; Wang, Q.; Liu, H.; Biranje, S.; Wang, J.; et al. Functionalization of Nanocellulose Applied with Biological Molecules for Biomedical Application: A Review. Carbohydr. Polym. 2022, 285, 119208. [Google Scholar] [CrossRef]
- Ghataty, D.S.; Amer, R.I.; Amer, M.A.; Abdel Rahman, M.F.; Shamma, R.N. Green Synthesis of Highly Fluorescent Carbon Dots from Bovine Serum Albumin for Linezolid Drug Delivery as Potential Wound Healing Biomaterial: Bio-Synergistic Approach, Antibacterial Activity, and In Vitro and Ex Vivo Evaluation. Pharmaceutics 2023, 15, 234. [Google Scholar] [CrossRef]
- Billiet, T.; Gevaert, E.; De Schryver, T.; Cornelissen, M.; Dubruel, P. The 3D Printing of Gelatin Methacrylamide Cell-Laden Tissue-Engineered Constructs with High Cell Viability. Biomaterials 2014, 35, 49–62. [Google Scholar] [CrossRef]
- Wang, X.; Wei, Z.; Baysah, C.Z.; Zheng, M.; Xing, J. Biomaterial-Based Microstructures Fabricated by Two-Photon Polymerization Microfabrication Technology. RSC Adv. 2019, 9, 34472–34480. [Google Scholar] [CrossRef] [PubMed]
- Tomal, W.; Ortyl, J. Water-Soluble Photoinitiators in Biomedical Applications. Polymers 2020, 12, 1073. [Google Scholar] [CrossRef] [PubMed]
- Van Hoorick, J.; Tytgat, L.; Dobos, A.; Ottevaere, H.; Van Erps, J.; Thienpont, H.; Ovsianikov, A.; Dubruel, P.; Van Vlierberghe, S. (Photo-)Crosslinkable Gelatin Derivatives for Biofabrication Applications. Acta Biomater. 2019, 97, 46–73. [Google Scholar] [CrossRef] [PubMed]
- Heo, Y.; Lee, H.; Kim, E.; Kim, M.; Ito, Y.; Son, T. Regeneration Effect of Visible Light-curing Furfuryl Alginate Compound by Release of Epidermal Growth Factor for Wound Healing Application. J. Appl. Polym. Sci. 2014, 131. [Google Scholar] [CrossRef]
- Van der Sanden, B.; Gredy, L.; Wion, D.; Stephan, O. 3D Two-Photon Polymerization of Smart Cell Gelatin–Collagen Matrixes with Incorporated Ruthenium Complexes for the Monitoring of Local Oxygen Tensions. Acta Biomater. 2021, 130, 172–182. [Google Scholar] [CrossRef]
- Sarrigiannidis, S.O.; Rey, J.M.; Dobre, O.; González-García, C.; Dalby, M.J.; Salmeron-Sanchez, M. A Tough Act to Follow: Collagen Hydrogel Modifications to Improve Mechanical and Growth Factor Loading Capabilities. Mater. Today Bio. 2021, 10, 100098. [Google Scholar] [CrossRef]
- Gerasimenko, A.Y.; Kurilova, U.E.; Suetina, I.A.; Mezentseva, M.V.; Zubko, A.V.; Sekacheva, M.I.; Glukhova, O.E. Laser Technology for the Formation of Bioelectronic Nanocomposites Based on Single-Walled Carbon Nanotubes and Proteins with Different Structures, Electrical Conductivity and Biocompatibility. Appl. Sci. 2021, 11, 8036. [Google Scholar] [CrossRef]
- Vakhrusheva, T.V.; Gusev, A.A.; Gusev, S.A.; Vlasova, I.I. Albumin Reduces Thrombogenic Potential of Single-Walled Carbon Nanotubes. Toxicol. Lett. 2013, 221, 137–145. [Google Scholar] [CrossRef]
- Rimshan, I.B.; Zhurbina, N.N.; Kurilova, U.E.; Ryabkin, D.I.; Gerasimenko, A.Y. Biocompatible Nanomaterial for Restoration of Continuity of Dissected Biological Tissues. Biomed. Eng. 2018, 52, 23–26. [Google Scholar] [CrossRef]
- Kim, J.; Kim, G.G.; Kim, S.; Jung, W. Plasmonic Welded Single Walled Carbon Nanotubes on Monolayer Graphene for Sensing Target Protein. Appl. Phys. Lett. 2016, 108, 203110. [Google Scholar] [CrossRef]
- Krukiewicz, K.; Britton, J.; Wieclawska, D.; Skorupa, M.; Fernandez, J.; Sarasua, J.R.; Biggs, M.J. Electrical percolation in extrinsically conducting, poly (ε-decalactone) composite neural interface materials. Sci. Rep. 2021, 11, 1295. [Google Scholar] [CrossRef] [PubMed]
- Kurilova, U.E.; Zhurbina, N.N.; Mezentseva, M.V.; Russu, L.I.; Suetina, I.A.; Pyanov, I.V.; Telyshev, D.V.; Gerasimenko, A.Y. Spectral Studies of Biodegradation and Hemolysis Caused by Contact of Bulk and Film Nanocomposites with Biological Fluids. Biomed. Eng. 2017, 51, 16–19. [Google Scholar] [CrossRef]
- Zarrintaj, P.; Zangene, E.; Manouchehri, S.; Amirabad, L.M.; Baheiraei, N.; Hadjighasem, M.R.; Farokhi, M.; Ganjali, M.R.; Walker, B.W.; Saeb, M.R.; et al. Conductive Biomaterials as Nerve Conduits: Recent Advances and Future Challenges. Appl. Mater. Today 2020, 20, 100784. [Google Scholar] [CrossRef]
- Baba, T.; Kameda, M.; Yasuhara, T.; Morimoto, T.; Kondo, A.; Shingo, T.; Tajiri, N.; Wang, F.; Miyoshi, Y.; Borlongan, C.V.; et al. Electrical Stimulation of the Cerebral Cortex Exerts Antiapoptotic, Angiogenic, and Anti-Inflammatory Effects in Ischemic Stroke Rats Through Phosphoinositide 3-Kinase/Akt Signaling Pathway. Stroke 2009, 40, e598–e605. [Google Scholar] [CrossRef]
- Cheng, H.; Huang, Y.; Yue, H.; Fan, Y. Electrical Stimulation Promotes Stem Cell Neural Differentiation in Tissue Engineering. Stem Cells Int. 2021, 2021, 6697574. [Google Scholar] [CrossRef] [PubMed]
- Ghasemi-Mobarakeh, L.; Prabhakaran, M.P.; Morshed, M.; Nasr-Esfahani, M.H.; Baharvand, H.; Kiani, S.; Al-Deyab, S.S.; Ramakrishna, S. Application of Conductive Polymers, Scaffolds and Electrical Stimulation for Nerve Tissue Engineering. J. Tissue Eng. Regen. Med. 2011, 5, e17–e35. [Google Scholar] [CrossRef]
- Katoh, K. Effects of Electrical Stimulation of the Cell: Wound Healing, Cell Proliferation, Apoptosis, and Signal Transduction. Med. Sci. 2023, 11, 11. [Google Scholar] [CrossRef]
- Savelyev, M.S.; Agafonova, N.O.; Vasilevsky, P.N.; Ryabkin, D.I.; Telyshev, D.V.; Timashev, P.S.; Gerasimenko, A.Y. Effects of Pulsed and Continuous-Wave Laser Radiation on the Fabrication of Tissue-Engineered Composite Structures. Opt. Eng. 2020, 59, 1. [Google Scholar] [CrossRef]
- Levine, E.M.; Becker, Y.; Boone, C.W.; Eagle, H. Contact inhibition, macromolecular synthesis, and polyribosomes in cultured human diploid fibroblasts. Proc. Natl. Acad. Sci. USA 1965, 53, 350–356. [Google Scholar] [CrossRef]
- Potter, S.M.; DeMarse, T.B. A New Approach to Neural Cell Culture for Long-Term Studies. J. Neurosci. Methods 2001, 110, 17–24. [Google Scholar] [CrossRef]
- Granato, A.E.C.; Ribeiro, A.C.; Marciano, F.R.; Rodrigues, B.V.M.; Lobo, A.O.; Porcionatto, M. Polypyrrole Increases Branching and Neurite Extension by Neuro2A Cells on PBAT Ultrathin Fibers. Nanomed. Nanotechnol. Biol. Med. 2018, 14, 1753–1763. [Google Scholar] [CrossRef] [PubMed]
- Mad Jin, R.; Sultana, N.; Baba, S.; Hamdan, S.; Ismail, A.F. Porous PCL/Chitosan and NHA/PCL/Chitosan Scaffolds for Tissue Engineering Applications: Fabrication and Evaluation. J. Nanomater. 2015, 2015, 357372. [Google Scholar] [CrossRef]
- Ghosal, K.; Manakhov, A.; Zajíčková, L.; Thomas, S. Structural and Surface Compatibility Study of Modified Electrospun Poly(ε-Caprolactone) (PCL) Composites for Skin Tissue Engineering. AAPS PharmSciTech 2017, 18, 72–81. [Google Scholar] [CrossRef] [PubMed]
- Turunen, S.; Käpylä, E.; Terzaki, K.; Viitanen, J.; Fotakis, C.; Kellomäki, M.; Farsari, M. Pico-and Femtosecond Laser-Induced Crosslinking of Protein Microstructures: Evaluation of Processability and Bioactivity. Biofabrication 2011, 3, 045002. [Google Scholar] [CrossRef]
- Engelhardt, S. 3D-Microfabrication of Polymer-Protein Hybrid Structures with a Q-Switched Microlaser. J. Laser Micro/Nanoeng. 2011, 6, 54–58. [Google Scholar] [CrossRef]
- Nishiguchi, A.; Kapiti, G.; Höhner, J.R.; Singh, S.; Moeller, M. In Situ 3D-Printing Using a Bio-Ink of Protein–Photosensitizer Conjugates for Single-Cell Manipulation. ACS Appl. Bio. Mater. 2020, 3, 2378–2384. [Google Scholar] [CrossRef]
- Gerasimenko, A.Y.; Ten, G.N.; Ryabkin, D.I.; Shcherbakova, N.E.; Morozova, E.A.; Ichkitidze, L.P. The Study of the Interaction Mechanism between Bovine Serum Albumin and Single-Walled Carbon Nanotubes Depending on Their Diameter and Concentration in Solid Nanocomposites by Vibrational Spectroscopy. Spectrochim. Acta Part A Mol. Biomol. Spectrosc. 2020, 227, 117682. [Google Scholar] [CrossRef]
- Savelyev, M.S.; Gerasimenko, A.Y.; Vasilevsky, P.N.; Fedorova, Y.O.; Groth, T.; Ten, G.N.; Telyshev, D.V. Spectral Analysis Combined with Nonlinear Optical Measurement of Laser Printed Biopolymer Composites Comprising Chitosan/SWCNT. Anal. Biochem. 2020, 598, 113710. [Google Scholar] [CrossRef]
- Loseva, E.V.; Mezentseva, M.V.; Russu, L.I.; Loginova, N.A.; Panov, N.V.; Shchetvin, M.N.; Suetina, I.A. Suppression of Cytokine Synthesis in Spleen and Brain and Small Changes in C-Fos Expression in Rat Brain after Intranasal Administration of Single-Walled Carbon Nanotubes. Nanotechnol. Russ. 2016, 11, 237–246. [Google Scholar] [CrossRef]
- Monteiro, S.H.M.C.; Silva, E.K.; Guimarães, J.T.; Freitas, M.Q.; Meireles, M.A.A.; Cruz, A.G. High-Intensity Ultrasound Energy Density: How Different Modes of Application Influence the Quality Parameters of a Dairy Beverage. Ultrason. Sonochem. 2020, 63, 104928. [Google Scholar] [CrossRef]
- Savelyev, M.S.; Vasilevsky, P.N.; Shaman, Y.P.; Tolbin, A.Y.; Gerasimenko, A.Y.; Selishchev, S.V. Limitation of Laser Radiation Power by Carbon Materials with a Nonlinear Optical Threshold Effect at a Flat-Top Pulse Shape. Tech. Phys. 2023, 68, 476. [Google Scholar] [CrossRef]
- Ajami, A.; Husinsky, W.; Liska, R.; Pucher, N. Two-Photon Absorption Cross Section Measurements of Various Two-Photon Initiators for Ultrashort Laser Radiation Applying the Z-Scan Technique. J. Opt. Soc. Am. B 2010, 27, 2290. [Google Scholar] [CrossRef]
- Sheik-Bahae, M.; Said, A.A.; Wei, T.-H.; Hagan, D.J.; Van Stryland, E.W. Sensitive Measurement of Optical Nonlinearities Using a Single Beam. IEEE J. Quantum Electron. 1990, 26, 760–769. [Google Scholar] [CrossRef]
- Mosmann, T. Rapid colorimetric assay for cellular growth and survival: Application to proliferation and cytotoxicity assays. J. Immunol. Methods 1983, 65, 55. [Google Scholar] [CrossRef] [PubMed]








| Composition of Hydrogel | Conductivity, mS/cm | MTT Assay | Reference |
|---|---|---|---|
| PANi/polyethyleneglycol diacrylate (PEGDA) | 0.001 | 0.4–0.8 | [22] |
| PCL/chitosan | 0.21 | 0.1–0.5 | [23] |
| nano graphene oxide/chitosan | 1 | 0.9–1.1 | [24] |
| PPy/chitosan | 1.3 | 0.4–0.6 | [25] |
| PPy nanoparticles/collagen | 2.2 | 0.4–1.2 | [26] |
| PEDOT/chitosan | 4.68 | 0.7–0.8 | [27] |
| CNT/poly(L-lactic acid) | 6 | 0.4–1 | [28] |
| PANi/graphene (PAG)/chitosan/gelatin matrix | 0.1–10 | 0.4–0.85 | [29] |
| gelatin-graft-PANi/periodateoxidized alginate/polyethylenimine | 3.12–13.4 | 1–1.1 | [30] |
| Hydrogels | Percentage by Weight of Gelatin ωg, wt. % | Linear Absorption Coefficient α, cm−1 | Two-Photon Absorption Cross Section σtpa, GM | Threshold Exposure of Laser Radiation Fth, J/cm2 | Linear Refractive Index n0, a.u. | Nonlinear Refractive Index n2, 10−12 cm2/W | Dynamic Viscosity Coefficient η, mPa∙s |
|---|---|---|---|---|---|---|---|
| 1 | 3 ± 0.2 | 1.8 ± 0.1 | 580 ± 70 | 0.03 ± 0.01 | 1.372 ± 0.001 | 42 ± 2 | 4.8 ± 0.1 |
| 2 | 2 ± 0.2 | 1.8 ± 0.1 | 470 ± 70 | 0.04 ± 0.01 | 1.371 ± 0.001 | 40 ± 2 | 4.6 ± 0.1 |
| 3 | 1.5 ± 0.1 | 1.9 ± 0.1 | 440 ± 50 | 0.04 ± 0.01 | 1.369 ± 0.001 | 38 ± 2 | 3.6 ± 0.1 |
| 4 | 1 ± 0.1 | 1.8 ± 0.1 | 320 ± 30 | 0.05 ± 0.01 | 1.367 ± 0.001 | 32 ± 2 | 2.8 ± 0.1 |
| 5 | 0.5 ± 0.1 | 1.9 ± 0.1 | 260 ± 30 | 0.05 ± 0.01 | 1.365 ± 0.001 | 31 ± 2 | 2.3 ± 0.1 |
| 6 | 0 | 1.6 ± 0.1 | 160 ± 30 | 0.06 ± 0.01 | 1.361 ± 0.001 | 30 ± 2 | 1.9 ± 0.1 |
| Biocomposites | Number of Layers | Specific Resistance, Om·cm | Specific Conductance, mS·cm−1 |
|---|---|---|---|
| 1 | 5 | 53 ± 5 | 19 ± 2 |
| 4 | 59 ± 5 | 17 ± 2 | |
| 3 | 63 ± 7 | 16 ± 2 | |
| 2 | 76 ± 7 | 13 ± 2 | |
| 2 | 5 | 55 ± 5 | 18 ± 2 |
| 3 | 5 | 650 ± 50 | 2 ± 1 |
Disclaimer/Publisher’s Note: The statements, opinions and data contained in all publications are solely those of the individual author(s) and contributor(s) and not of MDPI and/or the editor(s). MDPI and/or the editor(s) disclaim responsibility for any injury to people or property resulting from any ideas, methods, instructions or products referred to in the content. |
© 2024 by the authors. Licensee MDPI, Basel, Switzerland. This article is an open access article distributed under the terms and conditions of the Creative Commons Attribution (CC BY) license (https://creativecommons.org/licenses/by/4.0/).
Share and Cite
Savelyev, M.S.; Kuksin, A.V.; Murashko, D.T.; Otsupko, E.P.; Kurilova, U.E.; Selishchev, S.V.; Gerasimenko, A.Y. Conductive Biocomposite Made by Two-Photon Polymerization of Hydrogels Based on BSA and Carbon Nanotubes with Eosin-Y. Gels 2024, 10, 711. https://doi.org/10.3390/gels10110711
Savelyev MS, Kuksin AV, Murashko DT, Otsupko EP, Kurilova UE, Selishchev SV, Gerasimenko AY. Conductive Biocomposite Made by Two-Photon Polymerization of Hydrogels Based on BSA and Carbon Nanotubes with Eosin-Y. Gels. 2024; 10(11):711. https://doi.org/10.3390/gels10110711
Chicago/Turabian StyleSavelyev, Mikhail S., Artem V. Kuksin, Denis T. Murashko, Ekaterina P. Otsupko, Ulyana E. Kurilova, Sergey V. Selishchev, and Alexander Yu. Gerasimenko. 2024. "Conductive Biocomposite Made by Two-Photon Polymerization of Hydrogels Based on BSA and Carbon Nanotubes with Eosin-Y" Gels 10, no. 11: 711. https://doi.org/10.3390/gels10110711
APA StyleSavelyev, M. S., Kuksin, A. V., Murashko, D. T., Otsupko, E. P., Kurilova, U. E., Selishchev, S. V., & Gerasimenko, A. Y. (2024). Conductive Biocomposite Made by Two-Photon Polymerization of Hydrogels Based on BSA and Carbon Nanotubes with Eosin-Y. Gels, 10(11), 711. https://doi.org/10.3390/gels10110711

