Repurposing Benzimidazoles against Causative Agents of Chromoblastomycosis: Albendazole Has Superior In Vitro Activity Than Mebendazole and Thiabendazole
Abstract
1. Introduction
2. Materials and Methods
2.1. Strains and Growth Conditions
2.2. Screening for Antifungal Activity in a Collection of Substances
2.3. Determination of the Minimum Inhibitory Concentration of Hit Drugs
2.4. Determination of the Minimum Fungicidal Concentration of Hit Drugs
2.5. Synergism of Hit Drugs with Itraconazole and Terbinafine
2.6. Evaluation of Cytotoxicity and Determination of the Selectivity Index (SI)
2.7. Urease Production
2.8. Melanin Production
3. Results
3.1. NIH Clinical Collection Initial Screening
3.2. Applicability in the CBM Treatment
3.3. Antifungal Activity
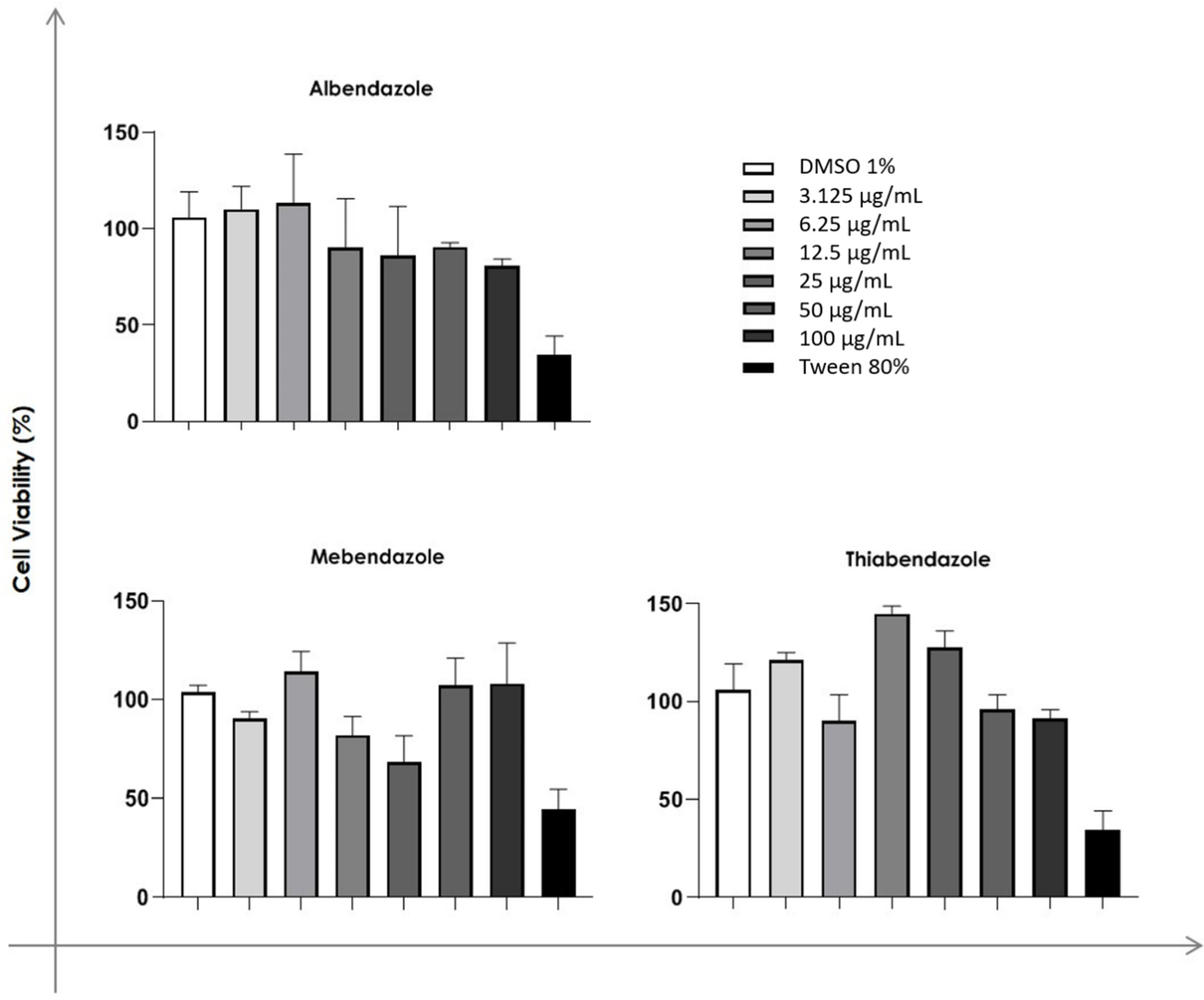
3.4. Evaluation of Cytotoxicity and Determination of the Selectivity Index (SI) of Benzimidazoles
3.5. Analysis of Synergism with Itraconazole and Terbinafine
3.6. Virulence Factor Expression in the Presence of Albendazole
4. Discussion
5. Conclusions
Supplementary Materials
Author Contributions
Funding
Institutional Review Board Statement
Informed Consent Statement
Data Availability Statement
Acknowledgments
Conflicts of Interest
References
- Queiroz-Telles, F.; Nucci, M.; Colombo, A.L.; Tobón, A.; Restrepo, A. Mycoses of Implantation in Latin America: An Overview of Epidemiology, Clinical Manifestations, Diagnosis and Treatment. Med. Mycol. 2011, 49, 225–236. [Google Scholar] [CrossRef] [PubMed]
- Queiroz-Telles, F.; de Hoog, S.; Santos, D.W.C.L.; Salgado, C.G.; Vicente, V.A.; Bonifaz, A.; Roilides, E.; Xi, L.; Azevedo, C.d.M.P.e.S.; da Silva, M.B.; et al. Chromoblastomycosis. Clin. Microbiol. Rev. 2017, 30, 233–276. [Google Scholar] [CrossRef] [PubMed]
- Butts, A.; DiDone, L.; Koselny, K.; Baxter, B.K.; Chabrier-Rosello, Y.; Wellington, M.; Krysan, D.J. A Repurposing Approach Identifies Off-Patent Drugs with Fungicidal Cryptococcal Activity, a Common Structural Chemotype, and Pharmacological Properties Relevant to the Treatment of Cryptococcosis. Eukaryot. Cell 2013, 12, 278–287. [Google Scholar] [CrossRef]
- Pushpakom, S.; Iorio, F.; Eyers, P.A.; Escott, K.J.; Hopper, S.; Wells, A.; Doig, A.; Guilliams, T.; Latimer, J.; McNamee, C.; et al. Drug Repurposing: Progress, Challenges and Recommendations. Nat. Rev. Drug Discov. 2019, 18, 41–58. [Google Scholar] [CrossRef]
- Projan, S.J. Why Is Big Pharma Getting out of Antibacterial Drug Discovery? Curr. Opin. Microbiol. 2003, 6, 427–430. [Google Scholar] [CrossRef]
- Robbins, N.; Wright, G.D.; Cowen, L.E. Antifungal Drugs: The Current Armamentarium and Development of New Agents. Microbiol. Spectr. 2016, 4, 4–5. [Google Scholar] [CrossRef] [PubMed]
- Perfect, J.R. The Antifungal Pipeline: A Reality Check. Nat. Rev. Drug Discov. 2017, 16, 603–616. [Google Scholar] [CrossRef] [PubMed]
- Vivot, A.; Jacot, J.; Zeitoun, J.-D.; Ravaud, P.; Crequit, P.; Porcher, R. Clinical Benefit, Price and Approval Characteristics of FDA-Approved New Drugs for Treating Advanced Solid Cancer, 2000–2015. Ann. Oncol. 2017, 28, 1111–1116. [Google Scholar] [CrossRef]
- Balkovec, J.M.; Hughes, D.L.; Masurekar, P.S.; Sable, C.A.; Schwartz, R.E.; Singh, S.B. Discovery and Development of First in Class Antifungal Caspofungin (CANCIDAS®)—A Case Study. Nat. Prod. Rep. 2014, 31, 15–34. [Google Scholar] [CrossRef]
- Ashley, E.S.D.; Lewis, R.; Lewis, J.S.; Martin, C.; Andes, D. Pharmacology of Systemic Antifungal Agents. Clin. Infect. Dis. 2006, 43, S28–S39. [Google Scholar] [CrossRef]
- Markham, A. Tavaborole: First Global Approval. Drugs 2014, 74, 1555–1558. [Google Scholar] [CrossRef] [PubMed]
- Patel, T.; Dhillon, S. Efinaconazole: First Global Approval. Drugs 2013, 73, 1977–1983. [Google Scholar] [CrossRef] [PubMed]
- McCormack, P.L. Isavuconazonium: First Global Approval. Drugs 2015, 75, 817–822. [Google Scholar] [CrossRef] [PubMed]
- Lee, A. Ibrexafungerp: First Approval. Drugs 2021, 81, 1445–1450. [Google Scholar] [CrossRef]
- Hoy, S.M. Oteseconazole: First Approval. Drugs 2022, 82, 1017–1023. [Google Scholar] [CrossRef]
- Hoenigl, M.; Sprute, R.; Egger, M.; Arastehfar, A.; Cornely, O.A.; Krause, R.; Lass-Flörl, C.; Prattes, J.; Spec, A.; Thompson, G.R.; et al. The Antifungal Pipeline: Fosmanogepix, Ibrexafungerp, Olorofim, Opelconazole, and Rezafungin. Drugs 2021, 81, 1703–1729. [Google Scholar] [CrossRef] [PubMed]
- Najafzadeh, M.J.; Badali, H.; Illnait-Zaragozi, M.T.; De Hoog, G.S.; Meis, J.F. In Vitro Activities of Eight Antifungal Drugs against 55 Clinical Isolates of Fonsecaea Spp. Antimicrob. Agents Chemother. 2010, 54, 1636–1638. [Google Scholar] [CrossRef]
- Badali, H.; Fernández-González, M.; Mousavi, B.; Illnait-Zaragozi, M.T.; González-Rodríguez, J.C.; de Hoog, G.S.; Meis, J.F. Chromoblastomycosis Due to Fonsecaea pedrosoi and F. monophora in Cuba. Mycopathologia 2013, 175, 439–444. [Google Scholar] [CrossRef]
- Coelho, R.A.; Brito-Santos, F.; Figueiredo-Carvalho, M.H.G.; Silva, J.V.D.S.; Gutierrez-Galhardo, M.C.; do Valle, A.C.F.; Zancopé-Oliveira, R.M.; Trilles, L.; Meyer, W.; Freitas, D.F.S.; et al. Molecular Identification and Antifungal Susceptibility Profiles of Clinical Strains of Fonsecaea Spp. Isolated from Patients with Chromoblastomycosis in Rio de Janeiro, Brazil. PLoS Negl. Trop. Dis. 2018, 12, e0006675. [Google Scholar] [CrossRef]
- Coelho, R.A.; Figueiredo-Carvalho, M.H.G.; Silva, J.V.d.S.; Correa-Junior, D.; Frases, S.; Zancopé-Oliveira, R.M.; Freitas, D.F.S.; Almeida-Paes, R. Does DHN-Melanin Always Protect Fungi against Antifungal Drugs? The Fonsecaea/Micafungin Paradigm. Microbiol. Res. 2022, 13, 201–209. [Google Scholar] [CrossRef]
- Dichiara, M.; Marrazzo, A.; Prezzavento, O.; Collina, S.; Rescifina, A.; Amata, E. Repurposing of Human Kinase Inhibitors in Neglected Protozoan Diseases. ChemMedChem 2017, 12, 1235–1253. [Google Scholar] [CrossRef] [PubMed]
- Charlton, R.L.; Rossi-Bergmann, B.; Denny, P.W.; Steel, P.G. Repurposing as a Strategy for the Discovery of New Anti-Leishmanials: The-State-of-the-Art. Parasitology 2018, 145, 219–236. [Google Scholar] [CrossRef] [PubMed]
- Miró-Canturri, A.; Ayerbe-Algaba, R.; Smani, Y. Drug Repurposing for the Treatment of Bacterial and Fungal Infections. Front. Microbiol. 2019, 10, 41. [Google Scholar] [CrossRef] [PubMed]
- Ekins, S.; Williams, A.J.; Krasowski, M.D.; Freundlich, J.S. In Silico Repositioning of Approved Drugs for Rare and Neglected Diseases. Drug Discov. Today 2011, 16, 298–310. [Google Scholar] [CrossRef]
- Beattie, S.R.; Krysan, D.J. Antifungal Drug Screening: Thinking Outside the Box to Identify Novel Antifungal Scaffolds. Curr. Opin. Microbiol. 2020, 57, 1–6. [Google Scholar] [CrossRef]
- Roy, S.; Dhaneshwar, S.; Bhasin, B. Drug Repurposing: An Emerging Tool for Drug Reuse, Recycling and Discovery. Curr. Drug Res. Rev. 2021, 13, 101–119. [Google Scholar] [CrossRef]
- Zhai, B.; Wu, C.; Wang, L.; Sachs, M.S.; Lin, X. The Antidepressant Sertraline Provides a Promising Therapeutic Option for Neurotropic Cryptococcal Infections. Antimicrob. Agents Chemother. 2012, 56, 3758–3766. [Google Scholar] [CrossRef]
- Rhein, J.; Morawski, B.M.; Hullsiek, K.H.; Nabeta, H.W.; Kiggundu, R.; Tugume, L.; Musubire, A.; Akampurira, A.; Smith, K.D.; Alhadab, A.; et al. Efficacy of Adjunctive Sertraline for the Treatment of HIV-Associated Cryptococcal Meningitis: An Open-Label Dose-Ranging Study. Lancet Infect. Dis. 2016, 16, 809–818. [Google Scholar] [CrossRef]
- Zhang, Q.; Liu, F.; Zeng, M.; Mao, Y.; Song, Z. Drug Repurposing Strategies in the Development of Potential Antifungal Agents. Appl. Microbiol. Biotechnol. 2021, 105, 5259–5279. [Google Scholar] [CrossRef]
- Wu, Y.; Totten, M.; Memon, W.; Ying, C.; Zhang, S.X. In Vitro Antifungal Susceptibility of the Emerging Multidrug-Resistant Pathogen Candida Auris to Miltefosine Alone and in Combination with Amphotericin B. Antimicrob. Agents Chemother. 2020, 64, e02063-19. [Google Scholar] [CrossRef]
- Li, L.; Gao, B.; Wen, Y.; Zhang, Z.; Chen, R.; He, Z.; Kaziem, A.E.; Shi, H.; Wang, M. Stereoselective Bioactivity, Toxicity and Degradation of the Chiral Triazole Fungicide Bitertanol. Pest Manag. Sci. 2019, 76, 343–349. [Google Scholar] [CrossRef] [PubMed]
- Yang, J.; Gao, L.; Yu, P.; Kosgey, J.C.; Jia, L.; Fang, Y.; Xiong, J.; Zhang, F. In Vitro Synergy of Azole Antifungals and Methotrexate against Candida albicans. Life Sci. 2019, 235, 116827. [Google Scholar] [CrossRef] [PubMed]
- Kathwate, G.H.; Shinde, R.B.; Karuppayil, S.M. Antiepileptic Drugs Inhibit Growth, Dimorphism, and Biofilm Mode of Growth in Human Pathogen Candida albicans. ASSAY Drug Dev. Technol. 2015, 13, 307–312. [Google Scholar] [CrossRef] [PubMed]
- Santos, D.W.C.L.; de Azevedo, C.d.M.P.E.S.; Vicente, V.A.; Queiroz-Telles, F.; Rodrigues, A.M.; de Hoog, G.S.; Denning, D.W.; Colombo, A.L. The Global Burden of Chromoblastomycosis. PLoS Negl. Trop. Dis. 2021, 15, e0009611. [Google Scholar] [CrossRef]
- Joffe, L.S.; Schneider, R.; Lopes, W.; Azevedo, R.; Staats, C.C.; Kmetzsch, L.; Schrank, A.; Del Poeta, M.; Vainstein, M.H.; Rodrigues, M.L. The Anti-Helminthic Compound Mebendazole Has Multiple Antifungal Effects against Cryptococcus neoformans. Front. Microbiol. 2017, 8, 535. [Google Scholar] [CrossRef]
- Arendrup, M.C.; Guinea, J.; Cuenca-Estrella, M.; Meletiadis, J.; Mouton, J.W.; Lagrou, K.; Howard, S.J.; Subcommittee on Antifungal Susceptibility Testing (AFST) of the ESCMID European Committee for Antimicrobial Susceptibility Testing (EUCAST). EUCAST DEFINITIVE DOCUMENT E.DEF 9.3.1—Method for the Determination of Broth Dilution Minimum Inhibitory Concentrations of Antifungal Agents for Conidia Forming Moulds. Clin. Microbiol. Infect. 2016, 22, 571.e1-4. [Google Scholar] [CrossRef]
- CLSI—Clinical and Laboratory Standars Institute. Reference Method for Broth Dilution Antifungal Susceptibility Testing of Filamentous Fungi; CLSI Document M38-A2; Approved Standard-Second Edition; Clinical and Laboratory Standards Institute: Wayne, PA, USA, 2008; Volume 28, ISBN 978-1-56238-668-9. [Google Scholar]
- Hafidh, R.R.; Abdulamir, A.S.; Vern, L.S.; Abu Bakar, F.; Abas, F.; Jahanshiri, F.; Sekawi, Z. Inhibition of Growth of Highly Resistant Bacterial and Fungal Pathogens by a Natural Product. Open Microbiol. J. 2011, 5, 96–106. [Google Scholar] [CrossRef]
- Dannaoui, E.; Afeltra, J.; Meis, J.F.; Verweij, P.E.; The Eurofung Network. In Vitro Susceptibilities of Zygomycetes to Combinations of Antimicrobial Agents. Antimicrob. Agents Chemother. 2002, 46, 2708–2711. [Google Scholar] [CrossRef]
- Barchiesi, F.; Di Francesco, L.F.; Scalise, G. In Vitro Activities of Terbinafine in Combination with Fluconazole and Itraconazole against Isolates of Candida albicans with Reduced Susceptibility to Azoles. Antimicrob. Agents Chemother. 1997, 41, 1812–1814. [Google Scholar] [CrossRef]
- Gómez-López, A.; Cuenca-Estrella, M.; Mellado, E.; Rodríguez-Tudela, J.L. In Vitro Evaluation of Combination of Terbinafine with Itraconazole or Amphotericin B against Zygomycota. Diagn. Microbiol. Infect. Dis. 2003, 45, 199–202. [Google Scholar] [CrossRef]
- Hansen, J.; Bross, P. A Cellular Viability Assay to Monitor Drug Toxicity. Methods Mol. Biol. 2010, 648, 303–311. [Google Scholar] [CrossRef] [PubMed]
- Riss, T.L.; Moravec, R.A.; Niles, A.L.; Duellman, S.; Benink, H.A.; Worzella, T.J.; Minor, L. Cell Viability Assays. In Assay Guidance Manual; Markossian, S., Grossman, A., Brimacombe, K., Arkin, M., Auld, D., Austin, C., Baell, J., Chung, T.D.Y., Coussens, N.P., Dahlin, J.L., et al., Eds.; Eli Lilly & Company and the National Center for Advancing Translational Sciences: Bethesda, MD, USA, 2004. [Google Scholar]
- Mosmann, T. Rapid Colorimetric Assay for Cellular Growth and Survival: Application to Proliferation and Cytotoxicity Assays. J. Immunol. Methods 1983, 65, 55–63. [Google Scholar] [CrossRef] [PubMed]
- Christensen, W.B. Urea Decomposition as a Means of Differentiating Proteus and Paracolon Cultures from Each Other and from Salmonella and Shigella Types. J. Bacteriol. 1946, 52, 461–466. [Google Scholar] [CrossRef]
- Almeida-Paes, R.; De Oliveira, L.C.; Oliveira, M.M.E.; Gutierrez-Galhardo, M.C.; Nosanchuk, J.D.; Zancopé-Oliveira, R.M. Phenotypic Characteristics Associated with Virulence of Clinical Isolates from the Sporothrix Complex. BioMed Res. Int. 2015, 2015, 212308. [Google Scholar] [CrossRef] [PubMed]
- de Andrade, I.B.; Corrêa-Junior, D.; Alves, V.; Figueiredo-Carvalho, M.H.G.; Santos, M.V.; Almeida, M.A.; Valdez, A.F.; Nimrichter, L.; Almeida-Paes, R.; Frases, S. Cyclosporine Affects the Main Virulence Factors of Cryptococcus neoformans In Vitro. J. Fungi 2023, 9, 487. [Google Scholar] [CrossRef]
- Zimbres, A.C.G.; Reuwsaat, J.C.V.; Barcellos, V.A.; Joffe, L.S.; Fonseca, F.L.; Staats, C.C.; Schrank, A.; Kmetzsch, L.; Vainstein, M.H.; Rodrigues, M.L. Pharmacological Inhibition of Pigmentation in Cryptococcus. FEMS Yeast Res. 2019, 19, foy119. [Google Scholar] [CrossRef]
- Almeida, M.A.; Bernardes-Engemann, A.R.; Coelho, R.A.; Lugones, C.J.G.; de Andrade, I.B.; Corrêa-Junior, D.; de Oliveira, S.S.C.; Dos Santos, A.L.S.; Frases, S.; Rodrigues, M.L.; et al. Mebendazole Inhibits Histoplasma Capsulatum In Vitro Growth and Decreases Mitochondrion and Cytoskeleton Protein Levels. J. Fungi 2023, 9, 385. [Google Scholar] [CrossRef]
- de Brito, A.C.; Bittencourt, M. de J.S. Chromoblastomycosis: An Etiological, Epidemiological, Clinical, Diagnostic, and Treatment Update. An. Bras. Dermatol. 2018, 93, 495–506. [Google Scholar] [CrossRef]
- Gimenes, V.M.F.; Criado, P.R.; Martins, J.E.C.; Almeida, S.R. Cellular Immune Response of Patients with Chromoblastomycosis Undergoing Antifungal Therapy. Mycopathologia 2006, 162, 97–101. [Google Scholar] [CrossRef]
- Silva, A.A.d.L.; Criado, P.R.; Nunes, R.S.; da Silva, W.L.F.; Kanashiro-Galo, L.; Duarte, M.I.S.; Sotto, M.N.; Pagliari, C. In Situ Immune Response in Human Chromoblastomycosis—A Possible Role for Regulatory and Th17 T Cells. PLoS Negl. Trop. Dis. 2014, 8, e3162. [Google Scholar] [CrossRef]
- Queiróz, A.J.R.; Pereira Domingos, F.; Antônio, J.R. Chromoblastomycosis: Clinical Experience and Review of Literature. Int. J. Dermatol. 2018, 57, 1351–1355. [Google Scholar] [CrossRef]
- Bonifaz, A.; Paredes-Solís, V.; Saúl, A. Treating Chromoblastomycosis with Systemic Antifungals. Expert Opin. Pharmacother. 2004, 5, 247–254. [Google Scholar] [CrossRef] [PubMed]
- Andrade, T.S.; Castro, L.G.; Nunes, R.S.; Gimenes, V.M.; Cury, A.E. Susceptibility of Sequential Fonsecaea pedrosoi Isolates from Chromoblastomycosis Patients to Antifungal Agents. Mycoses 2004, 47, 216–221. [Google Scholar] [CrossRef] [PubMed]
- Queiroz-Telles, F.; Esterre, P.; Perez-Blanco, M.; Vitale, R.G.; Salgado, C.G.; Bonifaz, A. Chromoblastomycosis: An Overview of Clinical Manifestations, Diagnosis and Treatment. Med. Mycol. 2009, 47, 3–15. [Google Scholar] [CrossRef] [PubMed]
- McGinnis, M.R. Chromoblastomycosis and Phaeohyphomycosis: New Concepts, Diagnosis, and Mycology. J. Am. Acad. Dermatol. 1983, 8, 1–16. [Google Scholar] [CrossRef] [PubMed]
- Echt, D.S.; Liebson, P.R.; Mitchell, L.B.; Peters, R.W.; Obias-Manno, D.; Barker, A.H.; Arensberg, D.; Baker, A.; Friedman, L.; Greene, H.L. Mortality and Morbidity in Patients Receiving Encainide, Flecainide, or Placebo. The Cardiac Arrhythmia Suppression Trial. N. Engl. J. Med. 1991, 324, 781–788. [Google Scholar] [CrossRef]
- Jegasothy, B.V.; Pakes, G.E. Oxiconazole Nitrate: Pharmacology, Efficacy, and Safety of a New Imidazole Antifungal Agent. Clin. Ther. 1991, 13, 126–141. [Google Scholar]
- Villanueva-Lozano, H.; Treviño-Rangel, R.d.J.; González, G.M.; Hernández-Rodríguez, P.A.; Camacho-Ortiz, A.; Castillo-Reyna, L.; Galindo-Alvarado, S.G.; Martínez-Reséndez, M.F. Clinical Evaluation of the Antifungal Effect of Sertraline in the Treatment of Cryptococcal Meningitis in HIV Patients: A Single Mexican Center Experience. Infection 2018, 46, 25–30. [Google Scholar] [CrossRef]
- Treviño-Rangel, R.d.J.; Villanueva-Lozano, H.; Méndez-Galomo, K.S.; Solís-Villegas, E.M.; Becerril-García, M.A.; Montoya, A.M.; Robledo-Leal, E.R.; González, G.M. In Vivo Evaluation of the Antifungal Activity of Sertraline against Aspergillus fumigatus. J. Antimicrob. Chemother. 2019, 74, 663–666. [Google Scholar] [CrossRef]
- Gowri, M.; Jayashree, B.; Jeyakanthan, J.; Girija, E.K. Sertraline as a Promising Antifungal Agent: Inhibition of Growth and Biofilm of Candida Auris with Special Focus on the Mechanism of Action in Vitro. J. Appl. Microbiol. 2020, 128, 426–437. [Google Scholar] [CrossRef]
- Bansal, Y.; Silakari, O. The Therapeutic Journey of Benzimidazoles: A Review. Bioorg. Med. Chem. 2012, 20, 6208–6236. [Google Scholar] [CrossRef] [PubMed]
- Ates-Alagoz, Z. Antimicrobial Activities of 1-H-Benzimidazole-Based Molecules. Curr. Top. Med. Chem. 2016, 16, 2953–2962. [Google Scholar] [CrossRef] [PubMed]
- Nixon, G.L.; McEntee, L.; Johnson, A.; Farrington, N.; Whalley, S.; Livermore, J.; Natal, C.; Washbourn, G.; Bibby, J.; Berry, N.; et al. Repurposing and Reformulation of the Antiparasitic Agent Flubendazole for Treatment of Cryptococcal Meningoencephalitis, a Neglected Fungal Disease. Antimicrob. Agents Chemother. 2018, 62, e01909-17. [Google Scholar] [CrossRef]
- Sutar, Y.; Fulton, S.R.; Paul, S.; Altamirano, S.; Mhatre, S.; Saeed, H.; Patel, P.; Mallick, S.; Bhat, R.; Patravale, V.B.; et al. Docusate-Based Ionic Liquids of Anthelmintic Benzimidazoles Show Improved Pharmaceutical Processability, Lipid Solubility, and in Vitro Activity against Cryptococcus neoformans. ACS Infect. Dis. 2021, 7, 2637–2649. [Google Scholar] [CrossRef]
- de Oliveira, H.C.; Joffe, L.S.; Simon, K.S.; Castelli, R.F.; Reis, F.C.G.; Bryan, A.M.; Borges, B.S.; Medeiros, L.C.S.; Bocca, A.L.; Del Poeta, M.; et al. Fenbendazole Controls In Vitro Growth, Virulence Potential, and Animal Infection in the Cryptococcus Model. Antimicrob. Agents Chemother. 2020, 64, e00286-20. [Google Scholar] [CrossRef] [PubMed]
- Berthet, N.; Faure, O.; Bakri, A.; Ambroise-Thomas, P.; Grillot, R.; Brugère, J.-F. In Vitro Susceptibility of Aspergillus Spp. Clinical Isolates to Albendazole. J. Antimicrob. Chemother. 2003, 51, 1419–1422. [Google Scholar] [CrossRef]
- Cruz, M.C.; Bartlett, M.S.; Edlind, T.D. In Vitro Susceptibility of the Opportunistic Fungus Cryptococcus neoformans to Anthelmintic Benzimidazoles. Antimicrob. Agents Chemother. 1994, 38, 378–380. [Google Scholar] [CrossRef] [PubMed][Green Version]
- Uribe, F.; Zuluaga, A.I.; Leon, W.; Restrepo, A. Histopathology of Chromoblastomycosis. Mycopathologia 1989, 105, 1–6. [Google Scholar] [CrossRef]
- Bayles, M.A. Chromomycosis. Treatment with Thiabendazole. Arch. Dermatol. 1971, 104, 476–485. [Google Scholar] [CrossRef]
- Ollé-Goig, J.E.; Domingo, J. A Case of Chromomycosis Treated with Thiabendazole. Trans. R. Soc. Trop. Med. Hyg. 1983, 77, 773–774. [Google Scholar] [CrossRef]
- Solano, E.; Hidalgo, H.; Castro, A.; Montero-Gei, F. [Chromomycosis. Treatment with a combination of thiabendazole and 5-fluorocytosine, 6-year follow-up]. Med. Cutan. Ibero. Lat. Am. 1983, 11, 413–418. [Google Scholar] [PubMed]
- Michel, P.; Le Jeannic, P.; Andriantsimahavandy, A.; Mouden, J.C.; Coulanges, P. [Treatment effectiveness of chromomycoses by surgery-thiabendazole in Madagascar (Fort Dauphin)]. Med. Trop. 1999, 59, 307–308. [Google Scholar]
- Esterre, P.; Inzan, C.K.; Ramarcel, E.R.; Andriantsimahavandy, A.; Ratsioharana, M.; Pecarrere, J.L.; Roig, P. Treatment of Chromomycosis with Terbinafine: Preliminary Results of an Open Pilot Study. Br. J. Dermatol. 1996, 134 (Suppl. S46), 33–36, discussion 40. [Google Scholar] [CrossRef] [PubMed]
- Dayan, A.D. Albendazole, Mebendazole and Praziquantel. Review of Non-Clinical Toxicity and Pharmacokinetics. Acta Trop. 2003, 86, 141–159. [Google Scholar] [CrossRef]
- Marslin, G.; Siram, K.; Liu, X.; Khandelwal, V.K.M.; Xiaolei, S.; Xiang, W.; Franklin, G. Solid Lipid Nanoparticles of Albendazole for Enhancing Cellular Uptake and Cytotoxicity against U-87 MG Glioma Cell Lines. Molecules 2017, 22, 2040. [Google Scholar] [CrossRef]
- Pettarin, M.; Bolger, M.B.; Chronowska, M.; Kostewicz, E.S. A Combined in Vitro In silico Approach to Predict the Oral Bioavailability of Borderline BCS Class II/IV Weak Base Albendazole and Its Main Metabolite Albendazole Sulfoxide. Eur. J. Pharm. Sci. 2020, 155, 105552. [Google Scholar] [CrossRef]
- Gómez, B.L.; Nosanchuk, J.D. Melanin and Fungi. Curr. Opin. Infect. Dis. 2003, 16, 91–96. [Google Scholar] [CrossRef]
- Koehler, A.; Heidrich, D.; Pagani, D.M.; Corbellini, V.A.; Scroferneker, M.L. Melanin and Chromoblastomycosis Agents: Characterization, Functions, and Relation with Antifungals. J. Basic Microbiol. 2021, 61, 203–211. [Google Scholar] [CrossRef]
- Alviano, D.S.; Franzen, A.J.; Travassos, L.R.; Holandino, C.; Rozental, S.; Ejzemberg, R.; Alviano, C.S.; Rodrigues, M.L. Melanin from Fonsecaea pedrosoi Induces Production of Human Antifungal Antibodies and Enhances the Antimicrobial Efficacy of Phagocytes. Infect. Immun. 2004, 72, 229–237. [Google Scholar] [CrossRef]
- De Souza, T.F.; Scroferneker, M.L.; da Costa, J.M.; Carissimi, M.; Corbellini, V.A. Secretion of Five Extracellular Enzymes by Strains of Chromoblastomycosis Agents. Rev. Inst. Med. Trop. Sao Paulo 2008, 50, 269–272. [Google Scholar] [CrossRef]
- Montoya, A.M.; Montesino, C.A.; Carrión-Álvarez, D.; González, G.M.; Rojas, O.C. A Comparative Study of Extracellular Enzymes from Chromoblastomycosis Agents Reveals the Potential Association of Phospholipase with the Severity of the Lesions. Microb. Pathog. 2020, 147, 104367. [Google Scholar] [CrossRef] [PubMed]
- Al-Fakih, A.A. Overview on the Fungal Metabolites Involved in Mycopathy. Open J. Med. Microbiol. 2014, 4, 38–63. [Google Scholar] [CrossRef]
- Fernandes, C.; Prados-Rosales, R.; Silva, B.M.A.; Nakouzi-Naranjo, A.; Zuzarte, M.; Chatterjee, S.; Stark, R.E.; Casadevall, A.; Gonçalves, T. Activation of Melanin Synthesis in Alternaria Infectoria by Antifungal Drugs. Antimicrob. Agents Chemother. 2015, 60, 1646–1655. [Google Scholar] [CrossRef] [PubMed]
- Thammasit, P.; Iadnut, A.; Mamoon, K.; Khacha-Ananda, S.; Chupradit, K.; Tayapiwatana, C.; Kasinrerk, W.; Tragoolpua, Y.; Tragoolpua, K. A Potential of Propolis on Major Virulence Factors of Cryptococcus neoformans. Microb. Pathog. 2018, 123, 296–303. [Google Scholar] [CrossRef] [PubMed]
- Mulia, R.C.; Djawad, K.; Adriani, A.; Idrus, I. Office-made 4% Albendazole Cream is an Effective Alternative Therapy for Cutaneous Larva Migrans: A Report of Three Cases. Serbian J. Dermatol. Venereol. 2020, 12, 9–13. [Google Scholar] [CrossRef]



| Drug | Primary Use | % Growth Inhibition | Formulation | Class |
|---|---|---|---|---|
| Thiabendazole | Anthelmintic | 82 | Oral Topic | Benzimidazoles |
| Miglitol | Antidiabetic | 90 | Oral | - |
| Medroxyprogesterone | Contraceptive | 91 | Oral Injectable | - |
| Olopatadine (Patanol) | Antihistamine | 85 | Eye drops | - |
| Carmofur | Antineoplastic | 100 | Oral | Pyrimidine analogue |
| Mesoridazine (Serentil) | Antipsychotic | 86 | Oral Intravenous | Phenothiazines |
| Linezolid | Antibiotic | 87 | Oral Intravenous | Oxazolidinones |
| Tacrolimus | Immunosuppressant | 89 | Oral | Calcineurin inhibitors |
| Enalaprilat | Antihypertensive | 67 | Intravenous | Carboxylic acids |
| Albendazole | Anti-helminthic and anti-protozoal | 98 | Oral | Benzimidazoles |
| Oxiconazole (nitrate) | Antifungal | 91 | Topic | Imidazole |
| Mebendazole | Anthelmintic | 83 | Oral | Benzimidazoles |
| Floxuridine | Oncology drug | 86 | Injectable | Pyrimidine analogue |
| Sertraline | Antidepressant | 90 | Oral | Tetralin |
| Flecainide Acetate | Treatment of cardiac arrhythmia | 95 | Oral | Antiarrhythmics |
| Cotinine (nicotine) | Alkaloid found in tobacco, predominant metabolite of nicotine | 71 | Nasal spray Inhalant Transdermal Oral | - |
| Econazole nitrate | Antifungal | 94 | Topic | Imidazole |
| Miconazole nitrate | Antifungal | 99 | Topic Vaginal cream | Imidazole |
| Rabeprazole | Antiulcer | 61 | Oral | Benzimidazoles (antisecretory) |
| 5-Fluorouracil | Antineoplastic | 85 | Topic Intravenous | Halopyrimidine |
| 5-Fluorocytosine | Antifungal | 68 | Oral | Halopyrimidine |
| Species | Albendazole | Mebendazole | Thiabendazole | ||||||
|---|---|---|---|---|---|---|---|---|---|
| MIC | MFC | MFC:MIC Ratio | MIC | MFC | MFC:MIC Ratio | MIC | MFC | MFC:MIC Ratio | |
| C. carrionii | 2.5 | 20 | 8 | 2.5 | 2.5 | 1 | 5 | 5 | 1 |
| P. verrucosa | 0.625 | 40 | 64 | 5 | 10 | 2 | 5 | 20 | 4 |
| E. dermatitidis | 2.5 | >80 | >32 | 20 | >80 | >4 | 10 | 80 | 8 |
| E. heteromorpha | 2.5 | 80 | 32 | 5 | >80 | >16 | 10 | 80 | 8 |
| F. pedrosoi | 1.25 | 1.25 | 1 | 5 | 5 | 1 | 5 | 5 | 1 |
| F. monophora | 0.625 | 0.625 | 1 | 2.5 | 80 | 32 | 5 | 5 | 1 |
| F. nubica | 0.625 | 40 | 64 | 5 | >80 | >16 | 5 | 5 | 1 |
| R. similis | 1.25 | >80 | >64 | 5 | >80 | >16 | 10 | 40 | 4 |
| Species | Selectivity Index (SI) | ||||
|---|---|---|---|---|---|
| Thiabendazole | Mebendazole | Albendazole | Albendazole | ||
| Vero 24 h | Vero 24 h | Vero 24 h | Vero 96 h | HaCat 96 h | |
| C. carrionii | 99.50 | 135.59 | 150.94 | 104.62 | 34.04 |
| P. verrucosa | 99.50 | 67.79 | 603.76 | 418.49 | 136.16 |
| E. dermatitidis | 49.75 | 16.94 | 150.94 | 104.62 | 34.04 |
| E. heteromorpha | 49.75 | 67.79 | 150.94 | 104.62 | 34.04 |
| F. pedrosoi | 99.50 | 67.79 | 301.88 | 209.24 | 68.08 |
| F. monophora | 99.50 | 135.59 | 603.76 | 418.49 | 136.16 |
| F. nubica | 99.50 | 67.79 | 603.76 | 418.49 | 136.16 |
| R. similis | 49.75 | 67.79 | 301.88 | 209.24 | 68.08 |
| Species | FICI Albendazole + Itraconazole | FICI Albendazole + Terbinafine |
|---|---|---|
| C. carrionii | 1.06 | 1.06 |
| P. verrucosa | 1.125 | 2.12 |
| E. dermatitidis | 1.06 | 1.06 |
| E. heteromorpha | 1.03 | 1.06 |
| F. pedrosoi | 1 | 1.12 |
| F. monophora | 1.50 | 1.12 |
| F. nubica | 1.25 | 1.12 |
| R. similis | 0.62 | 2 |
Disclaimer/Publisher’s Note: The statements, opinions and data contained in all publications are solely those of the individual author(s) and contributor(s) and not of MDPI and/or the editor(s). MDPI and/or the editor(s) disclaim responsibility for any injury to people or property resulting from any ideas, methods, instructions or products referred to in the content. |
© 2023 by the authors. Licensee MDPI, Basel, Switzerland. This article is an open access article distributed under the terms and conditions of the Creative Commons Attribution (CC BY) license (https://creativecommons.org/licenses/by/4.0/).
Share and Cite
Coelho, R.A.; Figueiredo-Carvalho, M.H.G.; Almeida-Silva, F.; de Souza Rabello, V.B.; de Souza, G.R.; Sangenito, L.S.; Joffe, L.S.; Santos, A.L.S.d.; da Silva Lourenço, M.C.; Rodrigues, M.L.; et al. Repurposing Benzimidazoles against Causative Agents of Chromoblastomycosis: Albendazole Has Superior In Vitro Activity Than Mebendazole and Thiabendazole. J. Fungi 2023, 9, 753. https://doi.org/10.3390/jof9070753
Coelho RA, Figueiredo-Carvalho MHG, Almeida-Silva F, de Souza Rabello VB, de Souza GR, Sangenito LS, Joffe LS, Santos ALSd, da Silva Lourenço MC, Rodrigues ML, et al. Repurposing Benzimidazoles against Causative Agents of Chromoblastomycosis: Albendazole Has Superior In Vitro Activity Than Mebendazole and Thiabendazole. Journal of Fungi. 2023; 9(7):753. https://doi.org/10.3390/jof9070753
Chicago/Turabian StyleCoelho, Rowena Alves, Maria Helena Galdino Figueiredo-Carvalho, Fernando Almeida-Silva, Vanessa Brito de Souza Rabello, Gabriela Rodrigues de Souza, Leandro Stefano Sangenito, Luna Sobrino Joffe, André Luis Souza dos Santos, Maria Cristina da Silva Lourenço, Marcio L. Rodrigues, and et al. 2023. "Repurposing Benzimidazoles against Causative Agents of Chromoblastomycosis: Albendazole Has Superior In Vitro Activity Than Mebendazole and Thiabendazole" Journal of Fungi 9, no. 7: 753. https://doi.org/10.3390/jof9070753
APA StyleCoelho, R. A., Figueiredo-Carvalho, M. H. G., Almeida-Silva, F., de Souza Rabello, V. B., de Souza, G. R., Sangenito, L. S., Joffe, L. S., Santos, A. L. S. d., da Silva Lourenço, M. C., Rodrigues, M. L., & Almeida-Paes, R. (2023). Repurposing Benzimidazoles against Causative Agents of Chromoblastomycosis: Albendazole Has Superior In Vitro Activity Than Mebendazole and Thiabendazole. Journal of Fungi, 9(7), 753. https://doi.org/10.3390/jof9070753

