Nano-Silicon Triggers Rapid Transcriptomic Reprogramming and Biochemical Defenses in Brassica napus Challenged with Sclerotinia sclerotiorum
Abstract
1. Introduction
2. Materials and Methods
2.1. Plant Material and Silicon Application
2.2. Inoculation with Sclerotinia sclerotiorum
2.3. Measurement of Disease Index
2.4. Antagonistic Experiments
2.5. Enzyme Assay
2.6. Measurement of H2O2 and MDA Content
2.7. Measurement of Oxygen Free Radical Content
2.8. Measurement of Mineral Elements and Soluble Sugar, Lignin, and Cellulose
2.9. RNA-Seq Analysis
2.10. Construction of Gene Co-Expression Networks via WGCNA
3. Results
3.1. Enhancement of Stem-Rot Resistance in Brassica napus by Silicon Application
3.2. Effects of Silicon on Potassium (K), Calcium (Ca), and Sodium (Na) Content in Stems and Leaves of Rapeseed
3.3. Effects of Silicon on Soluble Sugar, Lignin, and Cellulose Levels in Leaves and Stems of Rapeseed
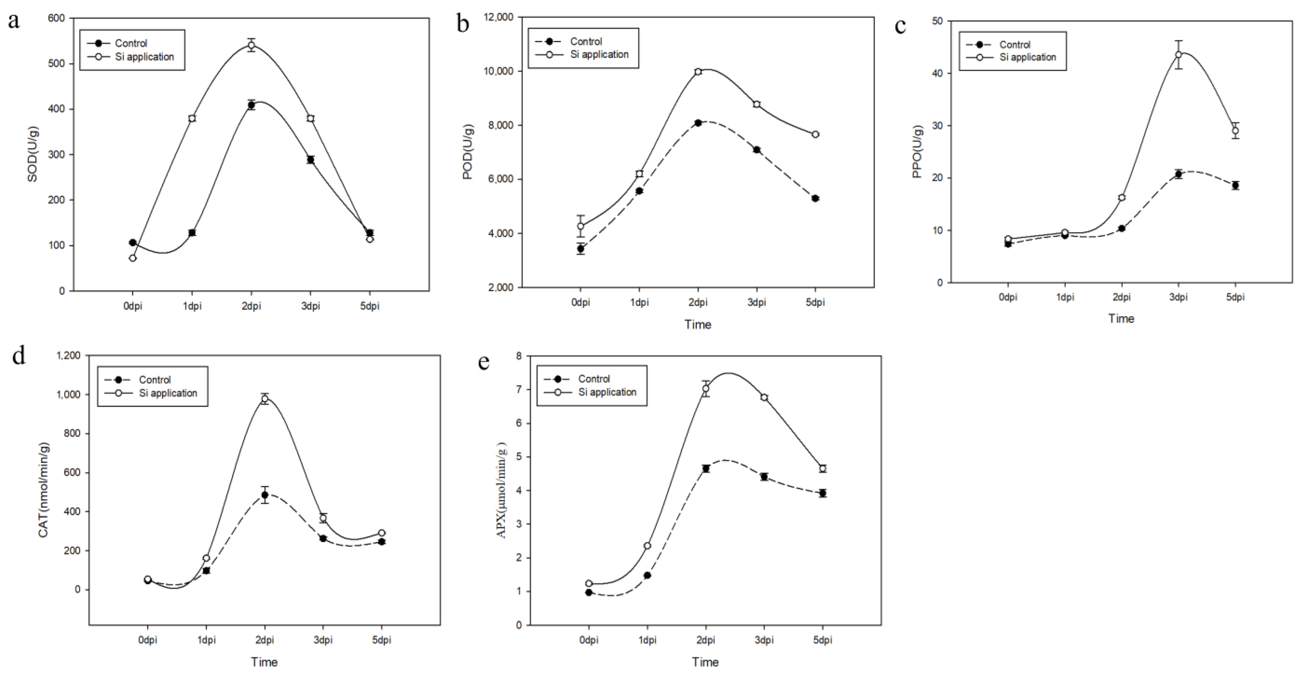
3.4. Effects of Silicon on Antioxidant Enzyme Activities in Rapeseed following Inoculation with Sclerotinia sclerotiorum
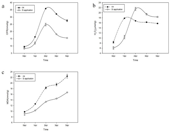
3.5. Effects of Silicon on OFR, H2O2, and MDA Content in Rapeseed following Inoculation with Sclerotinia sclerotiorum
3.6. Transcriptomic Analysis Unveils Rapid and Robust Silicon-Induced Differential Gene Expression in Brassica napus Challenged with Sclerotinia sclerotiorum
3.7. Identification and Functional Classification of Hub Genes Correlated with Silicon-Mediated Disease Resistance
4. Discussion
5. Conclusions
Supplementary Materials
Author Contributions
Funding
Data Availability Statement
Conflicts of Interest
References
- Derbyshire, M.C.; Denton-Giles, M. The control of sclerotinia stem rot on oilseed rape (Brassica napus): Current practices and future opportunities. Plant Pathol. 2016, 65, 859–877. [Google Scholar] [CrossRef]
- Kalaydzhiev, H.R.; Ivanova, P.; Stoyanova, M.; Pavlov, A.; Rustad, T.; Silva, C.L.M.; Chalova, V. Valorization of Rapeseed Meal: Influence of Ethanol Antinutrients Removal on Protein Extractability, Amino Acid Composition and Fractional Profile. Waste Biomass Valoriz. 2020, 11, 2709–2719. [Google Scholar] [CrossRef]
- Chmielewska, A.; Kozlowska, M.; Rachwał, D.; Wnukowski, P.; Amarowicz, R.; Nbesny, E.; Rosicka-Kaczmarek, J. Canola/rapeseed protein-nutritional value, functionality and food application: A review. Crit. Rev. Food Sci. Nutr. 2020, 61, 3836–3856. [Google Scholar] [CrossRef] [PubMed]
- Hossain, Z.; Johnson, E.N.; Wang, L.; Blackshaw, R.; Gan, Y. Comparative analysis of oil and protein content and seed yield of five Brassicaceae oilseeds on the Canadian prairie. Ind. Crops Prod. 2019, 136, 77–86. [Google Scholar] [CrossRef]
- Grau, B.; Bernat, E.; Puig, R.; Riba, J.R.; Rius, A. Environmental life cycle assessment of rapeseed straight vegetable oil as self-supply agricultural biofuel. Renew. Energy 2013, 50, 142–149. [Google Scholar] [CrossRef]
- van der Velde, M.; Bouraoui, F.; Aloe, A. Pan-European regional-scale modelling of water and N efficiencies of rapeseed cultivation for biodiesel production. Glob. Chang. Biol. 2009, 1, 24–37. [Google Scholar] [CrossRef]
- Kasprzak, M.; Houdijk, J.; Kightley, S.; Olukosi, O.; White, G.; Carré, P.; Wiseman, J. Effects of rapeseed variety and oil extraction method on the content and ileal digestibility of crude protein and amino acids in rapeseed cake and softly processed rapeseed meal fed to broiler chickens. Anim. Feed. Sci. Technol. 2016, 213, 90–98. [Google Scholar] [CrossRef]
- Wang, Z.; Wan, L.; Xin, Q.; Chen, Y.; Zhang, X.; Dong, F.; Hong, D.; Yang, G. Overexpression of OsPGIP2 confers Sclerotinia sclerotiorum resistance in Brassica napus through increased activation of defense mechanisms. J. Exp. Bot. 2018, 69, 3141–3155. [Google Scholar] [CrossRef]
- Uloth, M.B.; Clode, P.; You, M.; Barbetti, M. Attack modes and defence reactions in pathosystems involving Sclerotinia sclerotiorum, Brassica carinata, B. juncea and B. napus. Ann. Bot. 2016, 1, 79–95. [Google Scholar] [CrossRef][Green Version]
- Liang, X.F.; Rollins, J.A. Mechanisms of broad host range necrotrophic pathogenesis in Sclerotinia sclerotiorum. Phytopathology 2018, 108, 1128–1140. [Google Scholar] [CrossRef]
- Yin, X.; Yi, B.; Chen, W.; Zhang, W.; Tu, J.; Fernando, W.D.; Fu, T. Mapping of QTLs detected in a Brassica napus DH population for resistance to Sclerotinia sclerotiorum in multiple environments. Euphytica 2010, 173, 25–35. [Google Scholar] [CrossRef]
- Zhao, J.; Udall, J.A.; Quijada, P.A.; Grau, C.R.; Meng, J.; Osborn, T.C. Quantitative trait loci for resistance to Sclerotinia sclerotiorum and its association with a homeologous non-reciprocal transposition in Brassica napus L. Theor. Appl. Genet. 2006, 112, 509–516. [Google Scholar] [CrossRef] [PubMed]
- Liu, R.H. Identification of prior candidate genes for Sclerotinia local resistance in Brassica napus using Arabidopsis cDNA microarray and Brassica-Arabidopsis comparative mapping. Sci. China Ser. C 2005, 48, 460. [Google Scholar] [CrossRef]
- Wen, Y.C.; Zhang, S.F.; Yi, B.; Wen, J.; Wang, J.P.; Zhu, J.C.; He, J.P.; Cao, J.H. Identification of QTLs involved in pod-shatter resistance in Brassica napus L. Crop Pasture Sci. 2012, 63, 1082. [Google Scholar] [CrossRef]
- Iquira, E.; Humira, S.; François, B. Association mapping of QTLs for sclerotinia stem rot resistance in a collection of soybean plant introductions using a genotyping by sequencing (GBS) approach. BMC Plant Biol. 2015, 15, 5. [Google Scholar] [CrossRef]
- Li, J.; Zhao, Z.; Hayward, A.; Cheng, H.; Fu, D. Integration analysis of quantitative trait loci for resistance to Sclerotinia sclerotiorum in Brassica napus. Euphytica 2015, 205, 483–489. [Google Scholar] [CrossRef]
- Wu, J.; Cai, G.; Tu, J.; Li, L.; Liu, S.; Luo, X.; Zhou, L.; Fan, C. Identification of QTLs for resistance to sclerotinia stem rot and BnaC.IGMT5.a as a candidate gene of the major resistant QTL SRC6 in Brassica napus. PLoS ONE 2013, 8, e67740. [Google Scholar] [CrossRef]
- Zhao, J.; Wang, J.; An, L.; Doerge, R.W.; Chen, Z.J.; Grau, C.R.; Meng, J.; Osborn, T.C. Analysis of gene expression profiles in response to Sclerotinia sclerotiorum in Brassica napus. Planta 2007, 227, 13–24. [Google Scholar] [CrossRef]
- Zhao, J.; Buchwaldt, L.; Rimmer, S.R.; Sharpe, A.; Mcgregor, L.; Bekkaoui, D.; Hegedus, D. Patterns of differential gene expression in Brassica napus cultivars infected with Sclerotinia sclerotiorum. Mol. Plant Pathol. 2009, 10, 635–649. [Google Scholar] [CrossRef]
- Garg, H.; Li, H.; Sivasithamparam, K.; Barbetti, M.J. Differentially expressed proteins and associated histological and disease progression changes in cotyledon tissue of a resistant and susceptible genotype of brassica napus infected with Sclerotinia sclerotiorum. PLoS ONE 2013, 8, e65205. [Google Scholar] [CrossRef]
- Wen, L.; Tan, T.L.; Shu, J.B.; Chen, Y.; Liu, Y.; Yang, Z.F.; Zhang, Q.P.; Yin, M.Z.; Tao, J.; Guan, C.Y. Using proteomic analysis to find the proteins involved in resistance against Sclerotinia sclerotiorum in adult Brassica napus. Eur. J. Plant Pathol. 2013, 137, 505–523. [Google Scholar] [CrossRef]
- Dong, X.; Ji, R.; Guo, X.; Foster, S.J.; Chen, H.; Dong, C.; Liu, Y.; Hu, Q.; Liu, S. Expressing a gene encoding wheat oxalate oxidase enhances resistance to Sclerotinia sclerotiorum in oilseed rape (Brassica napus). Planta 2008, 228, 331–340. [Google Scholar] [CrossRef]
- Cunha, W.G.; Tinoco, M.L.P.; Pancoti, H.L.; Ribeiro, R.E.; Aragao, F.J.L. High resistance to Sclerotinia sclerotiorum in transgenic soybean plants transformed to express an oxalate decarboxylase gene. Plant Pathol. 2010, 59, 654–660. [Google Scholar] [CrossRef]
- Grison, R.; Grezes-Besset, B.; Schneider, M.; Lucante, N.; Olsen, L.; Leguay, J.J.; Toppan, A. Field tolerance to fungal pathogens of Brassica napus constitutively expressing a chimeric chitinase gene. Nat. Biotechnol. 1996, 14, 643–646. [Google Scholar] [CrossRef] [PubMed]
- Lan, H.Y.; Wang, C.H.; Zhang, L.H.; Liu, G.Z.; Wan, L.L.; Chen, Z.H.; Tian, Y.C. Studies on transgenic oilseed rape (Brassica napus) plants transformed with beta-1,3-glucanase and chitinase genes and its resistance to Sclerotinia sclerotiorium. Chin. J. Biotechnol. 2000, 16, 142–146. [Google Scholar]
- Mondal, K.K.; Bhattacharya, R.C.; Koundal, K.R.; Chatterjee, S.C. Transgenic Indian mustard (Brassica juncea) expressing tomato glucanase leads to arrested growth of Alternaria brassicae. Plant Cell Rep. 2007, 26, 247–252. [Google Scholar] [CrossRef]
- Wang, Z.; Fang, H.; Chen, Y.; Chen, K.; Li, G.; Gu, S.; Tan, X. Overexpression of BnWRKY33 in oilseed rape enhances resistance to Sclerotinia sclerotiorum. Mol. Plant Pathol. 2014, 15, 677–689. [Google Scholar] [CrossRef]
- Wang, Z.; Mao, H.; Dong, C.; Ji, R.; Liu, S. Overexpression of Brassica napus MPK4 enhances resistance to Sclerotinia sclerotiorum in oilseed rape. Mol. Plant-Microbe Interact. 2009, 22, 235–244. [Google Scholar] [CrossRef]
- Wu, J.; Wu, L.; Liu, Z.; Qian, L.; Wang, M.; Zhou, L.; Yang, Y.; Li, X. A plant defensin gene from Orychophragmus violaceus can improve Brassica napus resistance to Sclerotinia sclerotiorum. Afr. J. Biotechnol. 2009, 8, 6101–6109. [Google Scholar]
- Ma, J.F. Role of silicon in enhancing the resistance of plants to biotic and abiotic stresses. Soil Sci. Plant Nutr. 2004, 50, 11–18. [Google Scholar] [CrossRef]
- Shah, S.; Xin, L.; Yang, C.; Lu, Z.; Shah, F.; Saddam, H.; Arooj, S.; Chen, Y. Silicon application increases drought tolerance of Kentucky bluegrass by improving plant water relations and morphophysiological functions. Sci. World J. 2014, 2014, 368694. [Google Scholar]
- Chen, D.Q.; Wang, S.W.; Yin, L.N.; Deng, X.P. How does silicon mediate plant water uptake and loss under water deficiency? Front. Plant Sci. 2018, 9, 281. [Google Scholar] [CrossRef] [PubMed]
- Muneer, S.; Jeong, B.R. Proteomic analysis of salt-stress responsive proteins in roots of tomato (Lycopersicon esculentum L.) plants towards silicon efficiency. Plant Growth Regul. 2015, 77, 133–146. [Google Scholar] [CrossRef]
- Garg, N.; Bhandari, P. Silicon nutrition and mycorrhizal inoculations improve growth, nutrient status, K+/Na+ ratio and yield of Cicer arietinum L. genotypes under salinity stress. Plant Growth Regul. 2016, 78, 371–387. [Google Scholar] [CrossRef]
- Chen, D.; Yin, L.; Deng, X.; Wang, S. Silicon increases salt tolerance by influencing the two-phase growth response to salinity in wheat (Triticum aestivum L.). Acta Physiol. Plant. 2014, 36, 2531–2535. [Google Scholar] [CrossRef]
- Abu-Muriefah, S.S. Effects of silicon on Faba Bean (Vicia faba L.) plants grown under heavy metal stress conditions. Afr. J. Agric. Sci. Technol. 2015, 3, 255–268. [Google Scholar]
- Adrees, M.; Ali, S.; Rizwan, M.; Zia-Ur-Rehman, M.; Ibrahim, M.; Abbas, F.; Farid, M.; Qayyum, M.F.; Irshad, M.K. Mechanisms of silicon-mediated alleviation of heavy metal toxicity in plants: A review. Ecotoxicol. Environ. Saf. 2015, 119, 186–197. [Google Scholar] [CrossRef]
- Wenbin, L.; He, W.; Fusuo, Z. Effects of silicon on anther dehiscence and pollen shedding in rice under high temperature stress. Acta Agron. Sin. 2005, 31, 134–136. [Google Scholar]
- Habibi, G. Effects of soil- and foliar-applied silicon on the resistance of grapevine plants to freezing stress. Acta Biol. Szeged. 2015, 59, 109–117. [Google Scholar]
- Shen, X.; Zhou, Y.; Duan, L.; Li, Z.; Eneji, A.E.; Li, J. Silicon effects on photosynthesis and antioxidant parameters of soybean seedlings under drought and ultraviolet-B radiation. J. Plant Physiol. 2010, 167, 1248–1252. [Google Scholar] [CrossRef]
- Yao, X.; Chu, J.; Cai, K.; Liu, L.; Shi, J.; Geng, W. Silicon improves the tolerance of wheat seedlings to ultraviolet-B stress. Biol. Trace Elem. Res. 2011, 143, 507–517. [Google Scholar] [CrossRef]
- Zhan, L.P.; Peng, D.L.; Wang, X.L.; Kong, L.A.; Peng, H.; Liu, S.M.; Liu, Y.; Huang, W.K. Priming effect of root-applied silicon on the enhancement of induced resistance to the root-knot nematode s in rice. BMC Plant Biol. 2018, 18, 50. [Google Scholar] [CrossRef]
- Liang, Y.; Nikolic, M.; Bélanger, R.; Gong, H.; Song, A. Silicon and Plant–Pathogen Interactions. In Silicon in Agriculture; Springer: Dordrecht, The Netherlands, 2015; pp. 181–196. [Google Scholar]
- Germar, B. Some functions of silicic acid in cereals with special reference to resistance to mildew. Z. Pflanzenemhr Dung. Bodenk 1934, 35, 102–115. (In German) [Google Scholar] [CrossRef]
- Gascho, G. Silicon sources for agriculture. In Studies in Plant Science; Datnoff, L.E., Snyder, G.H., Korndörfer, G.H., Eds.; Elsevier Science: Amsterdam, The Netherlands, 2001; pp. 197–207. [Google Scholar]
- Menzies, J.G. Effects of soluble silicon on the parasitic fitness of Sphaerotheca fuliginea on Cucumis sativus. Phytopathology 1991, 81, 84. [Google Scholar] [CrossRef]
- Schmelzer, E. Cell polarization, a crucial process in fungal defence. Trends Plant Sci. 2002, 7, 411–415. [Google Scholar] [CrossRef] [PubMed]
- Nawrath, C. Unraveling the complex network of cuticular structure and function. Curr. Opin. Plant Biol. 2006, 9, 281–287. [Google Scholar] [CrossRef]
- Łaźniewska, J.; Macioszek, V.K.; Kononowicz, A.K. Plant-fungus interface: The role of surface structures in plant resistance and susceptibility to pathogenic fungi. Physiol. Mol. Plant Pathol. 2012, 78, 24–30. [Google Scholar] [CrossRef]
- Epstein, E. Silicon in Plants: Facts vs. Concepts; Elsevier Science: Amsterdam, The Netherlands, 2001. [Google Scholar]
- Sun, W.; Zhang, J.; Fan, Q.; Xue, G.; Li, Z.; Liang, Y. Silicon-enhanced resistance to rice blast is attributed to silicon-mediated defence resistance and its role as physical barrier. Eur. J. Plant Pathol. 2010, 128, 39–49. [Google Scholar] [CrossRef]
- Cai, K.; Gao, D.; Luo, S.; Zeng, R.; Yang, J.; Zhu, X. Physiological and cytological mechanisms of silicon-induced resistance in rice against blast disease. Physiol. Plant. 2008, 134, 324–333. [Google Scholar] [CrossRef] [PubMed]
- Cherif, M. Defense responses induced by soluble silicon in cucumber roots infected by Pythium spp. Phytopathology 1994, 84, 236. [Google Scholar] [CrossRef]
- Liang, Y.C.; Sun, W.C.; Si, J.; Rmheld, V. Effects of foliar- and root-applied silicon on the enhancement of induced resistance to powdery mildew in Cucumis sativus. Plant Pathol. 2005, 54, 678–685. [Google Scholar] [CrossRef]
- Dann, E.; Muir, S. Peas grown in media with elevated plant-available silicon levels have higher activities of chitinase and β-1,3-glucanase, are less susceptible to a fungal leaf spot pathogen and accumulate more foliar silicon. Australas. Plant Pathol. 2002, 31, 9–13. [Google Scholar] [CrossRef]
- Dallagnol, L.J.; Rodrigues, F.A.; DaMatta, F.M.; Mielli, M.V.B.; Pereira, S.C. Deficiency in silicon uptake affects cytological, physiological, and biochemical events in the rice—Bipolaris oryzae interaction. Phytopathology 2011, 101, 92–104. [Google Scholar] [CrossRef] [PubMed]
- Rodrigues, F.A.; Polanco, L.R.; Duarte, H.S.S.; Resende, R.S.; Do Vale, F.X.R. Photosynthetic gas exchange in common bean submitted to foliar sprays of potassium silicate, sodium molybdate and fungicide and infected with Colletotrichum lindemuthianum. J. Phytopathol. 2015, 163, 554–559. [Google Scholar] [CrossRef]
- Schurt, D.A.; Cruz, M.F.A.; Nascimento, K.J.T.; Filippi, M.C.C.; Rodrigues, F.A. Silicon potentiates the activities of defense enzymes in the leaf sheaths of rice plants infected by Rhizoctonia solani. Trop. Plant Pathol. 2014, 39, 457–463. [Google Scholar] [CrossRef]
- Dallagnol, L.J.; Rodrigues, F.A.; Pascholati, S.F.; Fortunato, A.A.; Camargo, L.E.A. Comparison of root and foliar applications of potassium silicate in potentiating post-infection defences of melon against powdery mildew. Plant Pathol. 2015, 64, 1085–1093. [Google Scholar] [CrossRef]
- Rahman, A.; Wallis, C.M.; Uddin, W. Silicon-induced systemic defense responses in perennial ryegrass against infection by Magnaporthe oryzae. Phytopathology 2015, 105, 748–757. [Google Scholar] [CrossRef]
- Fortunato, A.A.; Debona, D.; Bernardeli, A.M.A.; Rodrigues, F.A. Defence-related enzymes in soybean resistance to target spot. J. Phytopathol. 2015, 163, 731–742. [Google Scholar] [CrossRef]
- Guan, C.Y.; Li, F.Q.; Li, X.; Chen, S.Y.; Liu, Z.S. Resistance of the double-low rapeseed cultivar Xiangyou 15 (B. napus) to Sclerotinia Sclerotiorum. Acta Agron. Sin. 2003, 29, 715–718. [Google Scholar]
- Antonio, G.T.; Tania, Z.S.; Peregrino-Uriarte, A.B.; Yepiz-Plascencia, G. Hypoxia, reoxygenation and cytosolic manganese superoxide dismutase (cMnSOD) silencing in Litopenaeus vannamei: Effects on cMnSOD transcripts, superoxide dismutase activity and superoxide anion production capacity. Dev. Comp. Immunol. 2010, 34, 1230–1235. [Google Scholar]
- Wang, L.; Wang, Y.; Wang, X.; Li, Y.; Peng, F.; Wang, L. Regulation of POD activity by pelargonidin during vegetative growth in radish (Raphanus sativus L.). Sci. Hortic. 2014, 174, 105–111. [Google Scholar] [CrossRef]
- Ullah, S.; Kolo, Z.; Egbichi, I.; Keyster, M.; Ludidi, N. Nitric oxide influences glycine betaine content and ascorbate peroxidase activity in maize. South Afr. J. Bot. 2016, 105, 218–225. [Google Scholar] [CrossRef]
- Tang, W.; Newton, R.J. Increase of polyphenol oxidase and decrease of polyamines correlate with tissue browning in Virginia pine (Pinus virginiana Mill.). Plant Sci. 2004, 167, 621–628. [Google Scholar] [CrossRef]
- Sima, Y.H.; Yao, J.M.; Hou, Y.S.; Wang, L.; Zhao, L.C. Variations of hydrogen peroxide and catalase expression in Bombyx eggs during diapause initiation and termination. Arch. Insect Biochem. Physiol. 2011, 77, 72–80. [Google Scholar] [CrossRef] [PubMed]
- Castrejón, S.E.; Yatsimirsky, A.K. Cyclodextrin enhanced fluorimetric determination of malonaldehyde by the thiobarbituric acid method. Talanta 1997, 44, 951–957. [Google Scholar] [CrossRef] [PubMed]
- Elstner, E.F.; Heupel, A. Inhibition of nitrite formation from hydroxylammoniumchloride: A simple assay for superoxide dismutase. Anal. Biochem. 1976, 70, 616–620. [Google Scholar] [CrossRef]
- Zhao, L.C.; Wang, L.; Jiang, Y.J.; Hu, Y.Q.; Liu, H.J. Determination of Elemental Concentrations in Lichens Using ICP-AES/MS. Bio-Protocol 2017, 5, e2165. [Google Scholar] [CrossRef]
- Hua, H.X.; Guo, Y.H.; Liu, D.J. Determination of Silicon Concentration in the Plants by Colorimetric Molybdenum Blue Method. Mod. Agric. Sci. Technol. 2013, 24, 173–174. [Google Scholar]
- Li, Y.Y.; Zheng, P. Determination of crude polysaccharides in pine pollen by Anthrone-Sulphuric Acid Colorimetry. J. Yunnan Norm. Univ. (Nat. Sci. Ed.) 2017, 4, 58–63. [Google Scholar]
- Nicholson, D.J.; Leavitt, A.T.; Francis, R.C. A Three-stage klason method for more accurate determinations of hardwood lignin content. Cellul. Chem. Technol. 2014, 48, 53–59. [Google Scholar]
- Kim, D.; Langmead, B.; Salzberg, S.L. HISAT: A fast spliced aligner with low memory requirements. Nat. Methods 2015, 4, 357–360. [Google Scholar] [CrossRef] [PubMed]
- Zhang, B.; Horvath, S. A general framework for weighted gene co-expression network analysis. Stat. Appl. Genet. Mol. Biol. 2005, 1, 17. [Google Scholar] [CrossRef] [PubMed]
- Langfelder, P.; Horvath, S. WGCNA: An R package for weighted gene co-expression network analysis. BMC Bioinform. 2008, 9, 559. [Google Scholar] [CrossRef]
- Qi, S.W.; Guan, C.Y.; Liu, C.L. Relationship between some enzyme activity and resistance to Sclerotinia sclerotiorum of rapeseed cultivars. Acta Agron. Sin. 2004, 30, 270–273. [Google Scholar]
- Aldon, D.; Mbengue, M.; Mazars, C.; Galaud, J.P. Calcium signalling in plant biotic interactions. Int. J. Mol. Sci. 2018, 19, 665. [Google Scholar] [CrossRef] [PubMed]
- Wang, M.; Zheng, Q.; Shen, Q.; Guo, S. The critical role of potassium in plant stress response. Int. J. Mol. Sci. 2013, 14, 7370–7390. [Google Scholar] [CrossRef]
- Cao, Y.P.; Dai, P.; Dai, S.Y. Effects of salt stress on the growth of Asparagus officinalis L. seedlings and on Na+, K+ and Ca2+ distribution in them. J. Southwest Univ. (Nat. Sci. Ed.) 2014, 36, 31–36. [Google Scholar]
- Yu, X.C.; Na, R.; Zhang, S.Y. Research Progress about calcium signal Involved in plant resistance to disease. Chin. Agric. Sci. Bull. 2012, 28, 12–16. [Google Scholar]
- Sarwar, M. Effects of potassium fertilization on population build up of rice stem borers (lepidopteron pests) and rice (Oryza sativa L.) yield. J. Clin. Oncol. 2012, 3, 6–9. [Google Scholar]
- Holzmueller, E.J.; Jose, S.; Jenkins, M.A. Influence of calcium, potassium, and magnesium on Cornus florida L. density and resistance to dogwood anthracnose. Plant Soil 2007, 290, 189–199. [Google Scholar] [CrossRef]
- Wang, X.D.; Wen, Y.Z. Effect of potassium on carbohydrate contents in stem and sheath and starch accumulation in kernel of wheat. Plant Nutr. Fertil. Sci. 2003, 9, 57–62. [Google Scholar]
- Kano, A.; Hosotani, K.; Gomi, K.; Yamasaki-Kokudo, Y.; Shirakawa, C.; Fukumoto, T.; Ohtani, K.; Tajima, S.; Izumori, K.; Tanaka, K.; et al. D-Psicose induces upregulation of defense-related genes and resistance in rice against bacterial blight. J. Plant Physiol. 2011, 168, 1852–1857. [Google Scholar] [CrossRef] [PubMed]
- Mutuku, J.M.; Cui, S.; Hori, C.; Takeda, E.Y.; Tobimatsu, F.Y. The structural integrity of lignin is crucial for resistance against Striga hermonthica parasitism in rice. Plant Physiol. 2019, 179, 1796–1809. [Google Scholar] [CrossRef] [PubMed]
- Santiago, R.; Barros-Rios, J.; Malvar, R. Impact of cell wall composition on maize resistance to pests and diseases. Int. J. Mol. Sci. 2013, 14, 6960–6980. [Google Scholar] [CrossRef]
- Ma, Q.H.; Zhu, H.H.; Han, J.Q. Wheat ROP proteins modulate defense response through lignin metabolism. Plant Sci. 2017, 262, 32–38. [Google Scholar] [CrossRef] [PubMed]
- Shimono, M.; Koga, H.; Akagi, A.; Hayashi, N.; Goto, S.; Sawada, M.; Kurihara, T.; Matsushita, A.; Sugano, S.; Jiang, C.J.; et al. Rice WRKY45 plays important roles in fungal and bacterial disease resistance. Mol. Plant Pathol. 2012, 13, 83–94. [Google Scholar] [CrossRef]
- Boavida, L.C.; Qin, P.; Broz, M.; Becker, J.D.; McCormick, S. Arabidopsis Tetraspanins are confined to discrete expression domains and cell types in reproductive tissues and form homo- and heterodimers when expressed in yeast. Plant Physiol. 2013, 163, 696–712. [Google Scholar] [CrossRef]
- Yoshida, T.; Nishimura, N.; Kitahata, N.; Kuromori, T.; Ito, T.; Asami, T.; Shinozaki, K.; Hirayama, T. ABA-Hypersensitive Germination3 Encodes a Protein Phosphatase 2C (AtPP2CA) That Strongly Regulates Abscisic Acid Signaling during Germination among Arabidopsis Protein Phosphatase 2Cs. Plant Physiol. 2006, 140, 115–126. [Google Scholar] [CrossRef]
- Day, I.S.; Reddy, V.S.; Ali, G.S.; Reddy, A. Analysis of EF-hand-containing proteins in Arabidopsis. Genome Biol. 2002, 10, research0056.1. [Google Scholar]
Disclaimer/Publisher’s Note: The statements, opinions and data contained in all publications are solely those of the individual author(s) and contributor(s) and not of MDPI and/or the editor(s). MDPI and/or the editor(s) disclaim responsibility for any injury to people or property resulting from any ideas, methods, instructions or products referred to in the content. |
© 2023 by the authors. Licensee MDPI, Basel, Switzerland. This article is an open access article distributed under the terms and conditions of the Creative Commons Attribution (CC BY) license (https://creativecommons.org/licenses/by/4.0/).
Share and Cite
Zhang, Q.; Wang, J.; Wang, J.; Liu, M.; Ma, X.; Bai, Y.; Chen, Q.; Sheng, S.; Wang, F. Nano-Silicon Triggers Rapid Transcriptomic Reprogramming and Biochemical Defenses in Brassica napus Challenged with Sclerotinia sclerotiorum. J. Fungi 2023, 9, 1108. https://doi.org/10.3390/jof9111108
Zhang Q, Wang J, Wang J, Liu M, Ma X, Bai Y, Chen Q, Sheng S, Wang F. Nano-Silicon Triggers Rapid Transcriptomic Reprogramming and Biochemical Defenses in Brassica napus Challenged with Sclerotinia sclerotiorum. Journal of Fungi. 2023; 9(11):1108. https://doi.org/10.3390/jof9111108
Chicago/Turabian StyleZhang, Qiuping, Jiaqi Wang, Jiajia Wang, Mulan Liu, Xiao Ma, Yang Bai, Qiang Chen, Song Sheng, and Feng Wang. 2023. "Nano-Silicon Triggers Rapid Transcriptomic Reprogramming and Biochemical Defenses in Brassica napus Challenged with Sclerotinia sclerotiorum" Journal of Fungi 9, no. 11: 1108. https://doi.org/10.3390/jof9111108
APA StyleZhang, Q., Wang, J., Wang, J., Liu, M., Ma, X., Bai, Y., Chen, Q., Sheng, S., & Wang, F. (2023). Nano-Silicon Triggers Rapid Transcriptomic Reprogramming and Biochemical Defenses in Brassica napus Challenged with Sclerotinia sclerotiorum. Journal of Fungi, 9(11), 1108. https://doi.org/10.3390/jof9111108