Proline-Specific Fungal Peptidases: Genomic Analysis and Identification of Secreted DPP4 in Alkaliphilic and Alkalitolerant Fungi
Abstract
:1. Introduction
2. Materials and Methods
2.1. Materials
2.2. In Silico PSP Analysis
2.3. Fungal Strains
2.4. Culture Media
2.5. Obtaining Submerged Cultures
2.6. Measuring the Enzymatic Activity of Proline-Specific Peptidase
2.7. Optimizing the Culture Medium and Mycelium Cultivation Period
2.8. Determination of the pH Activity Optimum of DPP4
2.9. Determiniation of the pH Stability of DPP4
2.10. Determination of PSP Stability in the Presence of NaCl
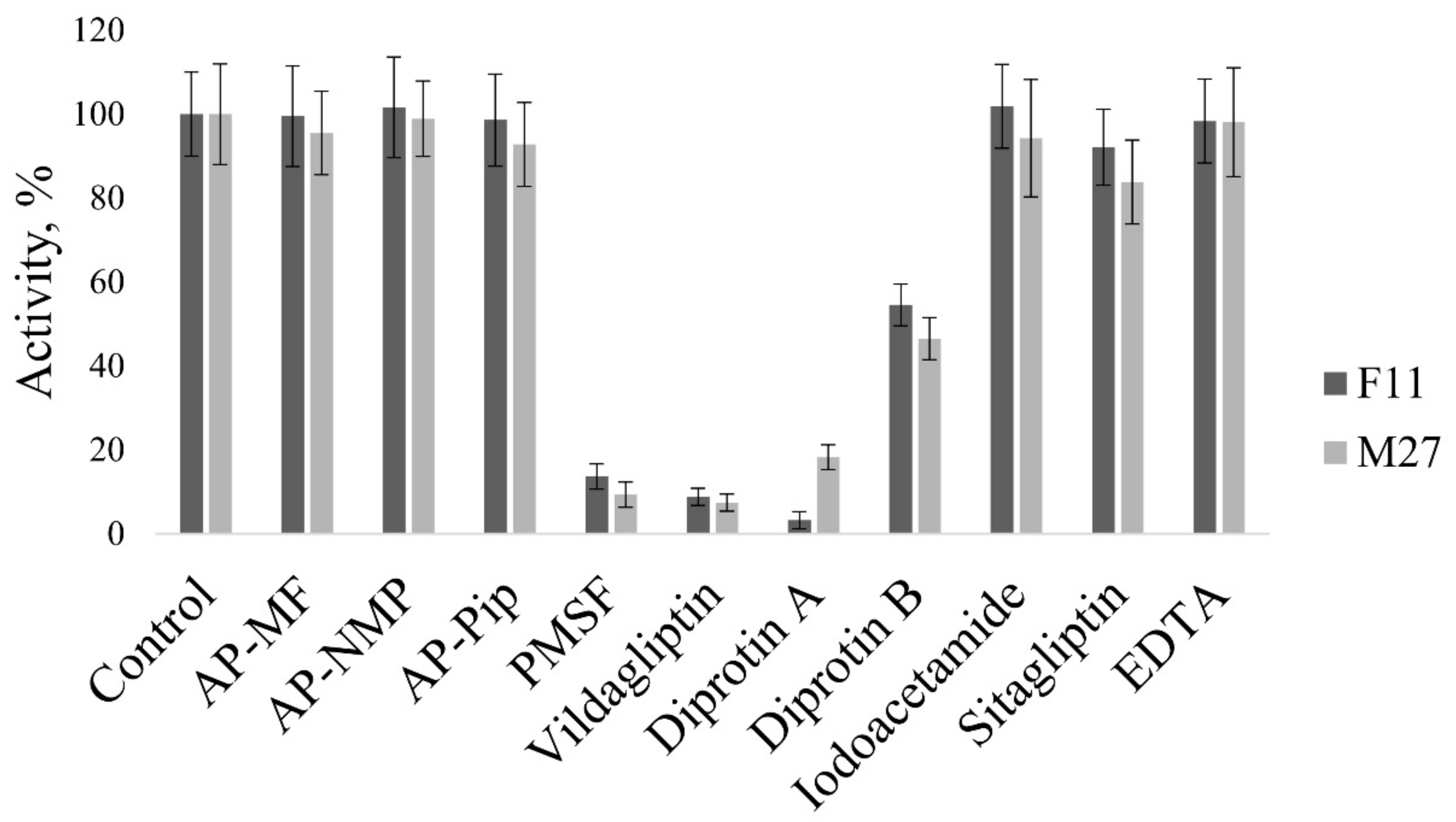
2.11. Studying the Effect of Peptidase Inhibitors on PSP Activity
3. Results and Discussion
3.1. Bioinformatic Analysis of Amino Acid Sequences of PSP of Higher Fungi
3.2. Biochemical Identification of PSP from Alkaliphilic and Alkali-tolerant Fungi
4. Conclusions
Author Contributions
Funding
Data Availability Statement
Conflicts of Interest
References
- Rampelotto, P.H. Extremophiles and extreme environments. Life 2013, 3, 482–485. [Google Scholar] [CrossRef] [PubMed]
- Selbmann, L.; Egidi, E.; Isola, D.; Onofri, S.; Zucconi, L.; de Hoog, G.S.; Chinaglia, S.; Testa, L.; Tosi, S.; Balestrazzi, A.; et al. Biodiversity, evolution and adaptation of fungi in extreme environments. Plant Biol. 2013, 147, 237–246. [Google Scholar] [CrossRef] [Green Version]
- Egorova, A.S.; Gessler, N.N.; Ryazanova, L.P.; Kulakovskaya, T.V.; Belozerskaya, T.A. Stress resistance mechanisms in the indicator fungi from highly radioactive Chernobyl zone sites. Mikrobiologiia 2015, 84, 184–191. [Google Scholar] [CrossRef] [PubMed]
- Wang, M.; Tian, J.; Xiang, M.; Liu, X. Living strategy of cold-adapted fungi with the reference to several representative species. Mycology 2017, 8, 178–188. [Google Scholar] [CrossRef] [PubMed] [Green Version]
- Kladwang, W.; Bhumirattana, A.; Hywel-Jones, N. Alkaline-tolerant fungi from Thailand. Fungal Divers. 2003, 13, 69–84. [Google Scholar]
- Grum-Grzhimaylo, A.A.; Georgieva, M.L.; Bondarenko, S.A.; Debets, A.J.; Bilanenko, E.N. On the diversity of fungi from soda soils. Fungal Divers. 2016, 76, 27–74. [Google Scholar] [CrossRef] [Green Version]
- Tiquia-arashiro, S.M.; Grube, M. (Eds.) Fungi in Extreme Environments: Ecological Role and Biotechnological Significance; Springer: Cham, Switzerland, 2019; 626p. [Google Scholar] [CrossRef]
- Grum-Grzhimaylo, A.A.; Debets, A.J.M.; van Diepeningen, A.D.; Georgieva, M.L.; Bilanenko, E.N. Sodiomyces alkalinus, a new holomorphic alkaliphilic ascomycete within the Plectosphaerellaceae. Pers. Mol. Phylogeny Evol. Fungi 2013, 31, 147–158. [Google Scholar] [CrossRef] [PubMed] [Green Version]
- Grum-Grzhimaylo, A.A.; Falkoski, D.L.; van den Heuvel, J.; Valero-Jiménez, C.A.; Min, B.; Choi, I.G.; Lipzen, A.; Daum, C.G.; Aanen, D.K.; Tsang, A.; et al. The obligate alkalophilic soda-lake fungus Sodiomyces alkalinus has shifted to a protein diet. Mol. Ecol. 2018, 27, 4808–4819. [Google Scholar] [CrossRef] [PubMed] [Green Version]
- Betts, M.J.; Russell, R.B. Amino acid properties and consequences of substitutions. In Bioinformatics for Geneticists; Barnes, M.R., Gray, I.C., Eds.; John Wiley & Sons Ltd.: Chichester, West Sussex, UK, 2007; pp. 311–342. [Google Scholar]
- Wu, G.; Bazer, F.W.; Burghardt, R.C.; Johnson, G.A.; Kim, S.W.; Knabe, D.A.; Li, P.; Li, X.; McKnight, J.R.; Satterfield, M.C.; et al. Proline and hydroxyproline metabolism: Implications for animal and human nutrition. Amino Acids 2011, 40, 1053–1063. [Google Scholar] [CrossRef] [PubMed] [Green Version]
- Kõiv, V.; Tenson, T. Gluten-degrading bacteria: Availability and applications. Appl. Microbiol. Biotechnol. 2021, 105, 3045–3059. [Google Scholar] [CrossRef] [PubMed]
- Dunaevsky, Y.E.; Tereshchenkova, V.F.; Oppert, B.; Belozersky, M.A.; Filippova, I.Y.; Elpidina, E.N. Human proline specific peptidases: A comprehensive analysis. Biochim. Biophys. Acta Gen. Subj. 2020, 1864, 129636. [Google Scholar] [CrossRef] [PubMed]
- Stepniak, D.; Spaenij-Dekking, L.; Mitea, C.; Moester, M.; de Ru, A.; Baak-Pablo, R.; van Veelen, P.; Edens, L.; Koning, F. Highly efficient gluten degradation with a newly identified prolyl endoprotease: Implications for celiac disease. Am. J. Physiol. Gastrointest. Liver Physiol. 2006, 291, G621–G629. [Google Scholar] [CrossRef] [PubMed]
- Schulz, K.; Giesler, L.; Linke, D.; Berger, R.G. A prolyl endopeptidase from Flammulina velutipes for the possible degradation of celiac disease provoking toxic peptides in cereal proteins. Process Biochem. 2018, 73, 47–55. [Google Scholar] [CrossRef]
- Eugster, P.J.; Salamin, K.; Grouzmann, E.; Monod, M. Production and characterization of two major Aspergillus oryzae secreted prolyl endopeptidases able to efficiently digest proline-rich peptides of gliadin. Microbiology 2015, 161, 2277–2288. [Google Scholar] [CrossRef] [PubMed]
- Pennington, M.W.; Dunn, B.M. Peptide Synthesis Protocols; Humana Press: Totowa, NJ, USA, 1995. [Google Scholar]
- Protein Sequences. Available online: https://blast.ncbi.nlm.nih.gov/Blast.cgi (accessed on 22 December 2020).
- Enzyme Similarity Tool. Available online: https://efi.igb.illinois.edu/efi-est (accessed on 26 December 2020).
- Isoelectric Point Calculator. Available online: http://isoelectric.org/calculate.php (accessed on 26 December 2020).
- Domain Assignment. Available online: http://www.cbs.dtu.dk/services (accessed on 26 December 2020).
- Search for Conservative Domains. Available online: https://www.ncbi.nlm.nih.gov/Structure/bwrpsb/bwrpsb.cgi (accessed on 28 December 2020).
- Britton, H.T.S.; Robinson, R.A. Universal buffer solutions and the dissociation constant of veronal. J. Chem. Soc. 1931, 1456–1462. [Google Scholar] [CrossRef]
- Doumas, A.; van der Broek, P.; Affolter, M.; Monod, M. Characterization of the prolyl dipeptidyl peptidase gene (dppIV) from the koji mold Aspergillus oryzae. Appl. Environ. Microbiol. 1998, 64, 4809–4815. [Google Scholar] [CrossRef] [PubMed] [Green Version]
- Cooper, K.G.; Woods, J.P. Secreted dipeptidyl peptidase IV activity in the dimorphic fungal pathogen Histoplasma capsulatum. Infect. Immun. 2009, 77, 2447–2454. [Google Scholar] [CrossRef] [PubMed] [Green Version]







| Taxon | Species | APP1 | CND | DPP4 | EPR | LAP | PIP1 | PIP2 | PIP3 | POP | XPD |
|---|---|---|---|---|---|---|---|---|---|---|---|
| Taphrinomycotina | Taphrina deformans | 1 | 2 | 1 | 1 | 1 | 1 | ||||
| Saitoella complicata | 1 | 2 | 1 | 1 | 1 | 1 | 1 | 2 | |||
| Saccharomycotina | Saccharomyces cerevisiae | 1 | 2 | 2 | 2 | ||||||
| Wickerhamomyces anomalus | 1 | 2 | 3 | 2 | |||||||
| Candida albicans | 3 | 2 | 2 | 1 | 2 | ||||||
| Yarrowia lipolytica | 1 | 3 | 2 | 1 | 2 | ||||||
| Pezizomycotina | Mycosphaerella graminicola | 1 | 2 | 2 | 10 | 1 | 1 | 1 | 3 | ||
| Ascosphaera apis | 2 | 1 | 1 | 1 | 3 | ||||||
| Aspergillus fumigatus | 1 | 2 | 2 | 3 | 1 | 3 | |||||
| Penicillium chrysogenium | 1 | 2 | 1 | 1 | 1 | 1 | 3 | ||||
| Coccidioides immitis | 1 | 1 | 2 | 2 | 2 | ||||||
| Endocarpon pusillum | 1 | 2 | 1 | 1 | 1 | 2 | |||||
| Blumeria graminis | 1 | 2 | 1 | 2 | 1 | 1 | 1 | ||||
| Botrytis cinerea | 1 | 3 | 1 | 2 | 1 | 1 | 3 | ||||
| Drechslerella stenobrocha | 1 | 1 | 2 | 4 | 2 | ||||||
| Colletotrichum tofieldiae | 1 | 4 | 2 | 3 | 1 | 1 | 3 | ||||
| Sodiomyces alkalinus | 1 | 2 | 2 | 1 | 3 | ||||||
| Claviceps purpurea | 1 | 2 | 1 | 3 | 1 | 3 | |||||
| Hypocrella siamensis | 2 | ||||||||||
| Metarhizium anisopliae | 1 | 2 | 2 | 4 | 1 | 3 | |||||
| Moelleriella libera | 1 | 2 | 1 | 3 | 1 | 3 | |||||
| Pochonia chlamydosporia | 1 | 2 | 2 | 4 | 1 | 4 | |||||
| Beauveria bassiana | 2 | 2 | 2 | 4 | 1 | 1 | 1 | 3 | |||
| Cordyceps confragosa | 3 | 3 | 4 | 8 | 1 | 5 | |||||
| Isaria fumosorosea | 1 | 2 | 2 | 5 | 1 | 1 | 3 | ||||
| Torrubiella hemipterigena | 1 | 2 | 3 | 14 | 1 | 1 | 3 | ||||
| Fusarium langsethiae | 1 | 2 | 2 | 2 | 1 | 3 | |||||
| Fusarium poae | 1 | 2 | 2 | 1 | 1 | 3 | |||||
| Nectria haematococca | 1 | 3 | 2 | 1 | 1 | 4 | |||||
| Gaeumannomyces tritici | 1 | 2 | 2 | 5 | 2 | 3 | |||||
| Magnaporthe oryzae | 1 | 2 | 2 | 6 | 1 | 3 | |||||
| Magnaporthiopsis poae | 1 | 3 | 2 | 4 | 1 | 1 | |||||
| Sporothrix insectorum | 2 | 1 | 4 | 2 | 1 | 1 | |||||
| Pucciniomycotina | Puccinia graminis | 1 | 1 | 1 | 1 | 2 | 1 | 2 | |||
| Ustilaginomycotina | Tilletia indica | 1 | 2 | 1 | 1 | 1 | 1 | 1 | 1 | ||
| Pseudozyma hubeiensis | 2 | 2 | 1 | 1 | 1 | 1 | 1 | 1 | |||
| Ustilago zeae | 2 | 2 | 1 | 1 | 1 | 1 | 1 | 1 | |||
| Agaricomycotina | Amanita muscaria | 2 | 2 | 1 | 3 | 1 | 3 | 1 | 2 | ||
| Agaricus bisporus | 1 | 2 | 1 | 1 | 2 | 1 | 4 | 2 | 1 | 2 | |
| Lentinula edodes | 2 | 2 | 1 | 2 | 1 | 1 | 4 | 1 | 1 | 2 | |
| Daedalea quercina | 2 | 2 | 1 | 3 | 1 | 8 | 1 | 1 | 2 | ||
| Calocera cornea | 2 | 2 | 1 | 3 | 1 | 7 | 1 | 1 | 2 |
| Species | Strains | The Gathering Place | Relation to pH |
|---|---|---|---|
| Acrostalagmus luteoalbus | V205 (CBS 137625) | Kulundinskaya steppe; lake | alkalitolerant |
| Chordomyces antarcticus | M27 (CBS 120045) | Kulundinskaya steppe; lake | alkalitolerant |
| Sodiomyces alkalinus | F11 (CBS 110278) | Mongolia; lake | alkalophile |
| Sodiomyces magadiensis | MAG5 (CBS 142933) | Kenya, soda soil on the shore of the lake Magadi | alkalophile |
| B39 (CBS 142937) | Russia; saline soil on the shore of the lake Baskunchak | alkalophile | |
| Sodiomyces tronii | MAG3 (CBS 137620) | Kenya, lake Magadi; the shore of the lake | alkalophile |
| Verticillium zaregamsianum | V201 (CBS 137621) | Transbaikalia; lake | alkalitolerant |
Publisher’s Note: MDPI stays neutral with regard to jurisdictional claims in published maps and institutional affiliations. |
© 2021 by the authors. Licensee MDPI, Basel, Switzerland. This article is an open access article distributed under the terms and conditions of the Creative Commons Attribution (CC BY) license (https://creativecommons.org/licenses/by/4.0/).
Share and Cite
Alkin, N.; Dunaevsky, Y.; Elpidina, E.; Beljakova, G.; Tereshchenkova, V.; Filippova, I.; Belozersky, M. Proline-Specific Fungal Peptidases: Genomic Analysis and Identification of Secreted DPP4 in Alkaliphilic and Alkalitolerant Fungi. J. Fungi 2021, 7, 744. https://doi.org/10.3390/jof7090744
Alkin N, Dunaevsky Y, Elpidina E, Beljakova G, Tereshchenkova V, Filippova I, Belozersky M. Proline-Specific Fungal Peptidases: Genomic Analysis and Identification of Secreted DPP4 in Alkaliphilic and Alkalitolerant Fungi. Journal of Fungi. 2021; 7(9):744. https://doi.org/10.3390/jof7090744
Chicago/Turabian StyleAlkin, Nikita, Yakov Dunaevsky, Elena Elpidina, Galina Beljakova, Valeria Tereshchenkova, Irina Filippova, and Mikhail Belozersky. 2021. "Proline-Specific Fungal Peptidases: Genomic Analysis and Identification of Secreted DPP4 in Alkaliphilic and Alkalitolerant Fungi" Journal of Fungi 7, no. 9: 744. https://doi.org/10.3390/jof7090744
APA StyleAlkin, N., Dunaevsky, Y., Elpidina, E., Beljakova, G., Tereshchenkova, V., Filippova, I., & Belozersky, M. (2021). Proline-Specific Fungal Peptidases: Genomic Analysis and Identification of Secreted DPP4 in Alkaliphilic and Alkalitolerant Fungi. Journal of Fungi, 7(9), 744. https://doi.org/10.3390/jof7090744

